Sesquiterpene Induction by the Balsam Woolly Adelgid (Adelges piceae) in Putatively Resistant Fraser Fir (Abies fraseri)
Abstract
:1. Introduction
2. Materials and Methods
2.1. Foliage Collection
2.2. Extractions and Analytical Methods
2.3. Statistical Analysis
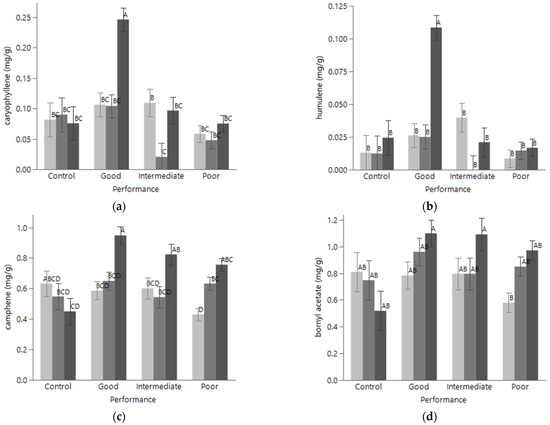
3. Results
4. Discussion
5. Conclusions
Supplementary Materials
Author Contributions
Funding
Data Availability Statement
Acknowledgments
Conflicts of Interest
References
- War, A.R.; Sharma, H.C.; Paulraj, M.G.; War, M.Y.; Ignacimuthu, S. Herbivore Induced Plant Volatiles. Plant Signal Behav. 2011, 6, 1973–1978. [Google Scholar] [CrossRef] [PubMed] [Green Version]
- Dicke, M. Plant Phenotypic Plasticity in the Phytobiome: A Volatile Issue. Curr. Opin. Plant Biol. 2016, 32, 17–23. [Google Scholar] [CrossRef] [PubMed]
- Meiners, T. Chemical Ecology and Evolution of Plant–Insect Interactions: A Multitrophic Perspective. Curr. Opin. Insect Sci. 2015, 8, 22–28. [Google Scholar] [CrossRef] [PubMed]
- Arimura, G.; Matsui, K.; Takabayashi, J. Chemical and Molecular Ecology of Herbivore-Induced Plant Volatiles: Proximate Factors and Their Ultimate Functions. Plant Cell Physiol. 2009, 50, 911–923. [Google Scholar] [CrossRef] [Green Version]
- Poelman, E.H.; Kessler, A. Keystone Herbivores and the Evolution of Plant Defenses. Trends Plant Sci. 2016, 21, 477–485. [Google Scholar] [CrossRef]
- Woodard, A.M.; Ervin, G.N.; Marsico, T.D. Host Plant Defense Signaling in Response to a Coevolved Herbivore Combats Introduced Herbivore Attack. Ecol. Evol. 2012, 2, 1056–1064. [Google Scholar] [CrossRef]
- Lagalante, A.F.; Montgomery, M.E.; Calvosa, F.C.; Mirzabeigi, M.N. Characterization of Terpenoid Volatiles from Cultivars of Eastern Hemlock (Tsuga canadensis). J. Agric. Food Chem. 2007, 55, 10850–10856. [Google Scholar] [CrossRef]
- Lagalante, A.F.; Montgomery, M.E. Analysis of Terpenoids from Hemlock (Tsuga) Species by Solid-Phase Microextraction/Gas Chromatography/Ion-Trap Mass Spectrometry. J. Agric. Food Chem. 2003, 51, 2115–2120. [Google Scholar] [CrossRef]
- Snoeren, T.A.L.; Kappers, I.F.; Broekgaarden, C.; Mumm, R.; Dicke, M.; Bouwmeester, H.J. Natural Variation in Herbivore-Induced Volatiles in Arabidopsis Thaliana. J. Exp. Bot. 2010, 61, 3041–3056. [Google Scholar] [CrossRef] [Green Version]
- Peterson, J.A.; Ode, P.J.; Oliveira-Hofman, C.; Harwood, J.D. Integration of Plant Defense Traits with Biological Control of Arthropod Pests: Challenges and Opportunities. Front. Plant Sci. 2016, 7, 1794. [Google Scholar] [CrossRef] [Green Version]
- Burns, R.M.; Honkala, B.H. Silvics of North America: Conifers; United States Department of Agriculture (USDA), Forest Service: Washington, DC, USA, 1990; Volume 1, pp. 47–51.
- Newton, L.P.; Hain, F.P. Host Interactions of the Balsam Woolly Adelgid Host interactions of the Balsam woolly adelgid. In Proceedings of the Third Symposium on Hemlock Woolly Adelgid in the Eastern United States, Asheville, NC, USA, 1–3 February 2005; USDA Forest Service, Forest Health Technology Enterprise Team: Asheville, NC, USA, 2005; pp. 199–209. [Google Scholar]
- Arthur, F.H.; Hain, F.P. Water Potential of Fraser Fir Infested with Balsam Woolly Adelgid (Homoptera: Adelgidae). Environ. Entomol. 1986, 15, 911–913. [Google Scholar] [CrossRef]
- Newton, L.; Frampton, J.; Hain, F. Host Resistance Screening for Balsam Woolly Adelgid: A Comparison of Seedlings From 12 Fir Species; General Technical Report (GTR); U.S. Department of Agriculture, Forest Service; Pacific Southwest Research Station: Albany, CA, USA, 2012; pp. 190–193.
- Amman, G.D.; Speers, C.F. Introduction and Evaluation of Predators from India and Pakistan for Control of the Balsam Woolly Aphid (Homoptera: Adelgidae) in North Carolina. Can. Entomol. 1971, 103, 528–533. [Google Scholar] [CrossRef]
- Potter, K.; Frampton, J.; Sidebottom, J. Impacts of Balsam Woolly Adelgid on the Southern Appalachian Spruce-Fir Ecosystem and the North Carolina Christmas Tree Industry. In Proceedings of the Third Symposium on Hemlock Woolly Adelgid in the Eastern United States, Asheville, NC, USA, 1–3 February 2005; USDA Forest Service, Forest Health Technology Enterprise Team: Asheville, NC, USA, 2005; pp. 25–41. [Google Scholar]
- Boncan, D.A.T.; Tsang, S.S.K.; Li, C.; Lee, I.H.T.; Lam, H.-M.; Chan, T.-F.; Hui, J.H.L. Terpenes and Terpenoids in Plants: Interactions with Environment and Insects. Int. J. Mol. Sci. 2020, 21, 7382. [Google Scholar] [CrossRef] [PubMed]
- Carlow, S.J.; Ayers, L.; Bailey, A.; John, B.; Richardson, A.; Shepherd, B.; Woosley, R.S.; Butcher, D.J. Determination of Volatile Compounds in Foliage of Fraser Fir (Abies Fraseri) and Balsam Fir (Abies Balsamea). Microchem. J. 2006, 83, 91–97. [Google Scholar] [CrossRef]
- Grégoire, D.M.; Quiring, D.T.; Royer, L.; Bauce, É. Relationship between an Exotic Phloem Feeder and Balsam Fir (Abies Balsamea L. (Mill.)) Foliar Chemistry: Implications for Two Native Defoliators. Arthropod-Plant Interact. 2014, 8, 361–371. [Google Scholar] [CrossRef]
- Fowler, G.; Zhang, J.; Hain, F.P.; Manville, J.F. The distribution pattern of two juvenile hormone related compounds in Fraser fir and the induced response to a balsam woolly adelgid infestation. Can. J. For. Res. 2001, 31, 1701–1707. [Google Scholar] [CrossRef]
- Thomas, A. The Ecology and Genetics of Eastern Hemlock and Fraser Fir Threatened by Invasive Adelgids. Ph.D. Thesis, North Carolina State University, Raleigh, NC, USA, 2021. [Google Scholar]
- Hollingsworth, R.G.; Hain, F.P. Balsam Woolly Adelgid (Homoptera: Adelgidae) Effects on Wood and Bark Structure of Fraser Fir and Silver Fir. Environ. Entomol. 1992, 21, 1103–1109. [Google Scholar] [CrossRef]
- Mitchell, R.G. Infestation Characteristics of the Balsam Woolly Aphid in the Pacific Northwest; Pacific Northwestern Forest and Range Experiment Station: Portland, OR, USA, 1966. [Google Scholar]
- Hain, F.P.; Hollingsworth, R.G.; Arthur, F.H.; Sanchez, F.; Ross, R.K. Adelgid Host Interactions with Special Reference to the Balsam Woolly Adelgid in North America. In Forest Insect Guilds: Patterns of Interaction with Host Trees; U.S. Department of Agriculture, Forest Service, Northeastern Forest Experiment Station: Radnor, PA, USA, 1991; Volume NE-153, pp. 271–287. [Google Scholar]
- Johnson, R.H.; Hull-Sanders, H.M.; Meyer, G.A. Comparison of Foliar Terpenes between Native and Invasive Solidago Gigantea. Biochem. Syst. Ecol. 2007, 35, 821–830. [Google Scholar] [CrossRef]
- Williams, R.S.; Avakian, M.A. Colonization of Solidago Altissima by the Specialist Aphid Uroleucon Nigrotuberculatum: Effects of Genetic Identity and Leaf Chemistry. J. Chem. Ecol. 2015, 41, 129–138. [Google Scholar] [CrossRef]
- Thomas, A.M.; Williams, R.S.; Swarthout, R.F. Distribution of the Specialist Aphid Uroleucon nigrotuberculatum (Homoptera: Aphididae) in Response to Host Plant Semiochemical Induction by the Gall Fly Eurosta solidaginis (Diptera: Tephritidae). Environ. Entomol. 2019, 48, 1138–1148. [Google Scholar] [CrossRef]
- R Core Team. R: A Language and Environment for Statistical Computing; R v4.0.3; R Foundation for Statistical Computing: Vienna, Austria, 2020. [Google Scholar]
- Cao, G.; Shan, Q.; Li, X.; Cong, X.; Zhang, Y.; Cai, H.; Cai, B. Analysis of Fresh Mentha Haplocalyx Volatile Components by Comprehensive Two-Dimensional Gas Chromatography and High-Resolution Time-of-Flight Mass Spectrometry. Analyst 2011, 136, 4653–4661. [Google Scholar] [CrossRef] [PubMed]
- Lê Cao, K.-A.; Rohart, F.; González, I.; Déjean, S. MixOmics: Omics Data Integration Project. 2016. Available online: https://CRAN.R-project.org/package=mixOmics (accessed on 31 March 2022).
- Rohart, F.; Eslami, A.; Matigian, N.; Bougeard, S.; Lê Cao, K.-A. MINT: A Multivariate Integrative Method to Identify Reproducible Molecular Signatures across Independent Experiments and Platforms. BMC Bioinform. 2017, 18, 128. [Google Scholar] [CrossRef] [PubMed] [Green Version]
- Lasko, T.A.; Bhagwat, J.G.; Zou, K.H.; Ohno-Machado, L. The Use of Receiver Operating Characteristic Curves in Biomedical Informatics. J. Biomed. Inform. 2005, 38, 404–415. [Google Scholar] [CrossRef] [PubMed] [Green Version]
- SAS Institute. JMP Pro®; SAS Institute Inc.: Cary, NC, USA, 2019. [Google Scholar]
- Ruther, J. Retention Index Database for Identification of General Green Leaf Volatiles in Plants by Coupled Capillary Gas Chromatography—Mass Spectrometry. J. Chromatogr. A. 2000, 890, 313–319. [Google Scholar] [CrossRef]
- Bohlmann, J.; Crock, J.; Jetter, R.; Croteau, R. Terpenoid-Based Defenses in Conifers: CDNA Cloning, Characterization, and Functional Expression of Wound-Inducible (E)-α-Bisabolene Synthase from Grand Fir (Abies Grandis). Proc. Natl. Acad. Sci. USA 1998, 95, 6756–6761. [Google Scholar] [CrossRef] [PubMed] [Green Version]
- Bucholz, E.; Frampton, J.; Jetton, R.; Tilotta, D.; Lucia, L. Effect of Different Headspace Concentrations of Bornyl Acetate on Fecundity of Green Peach Aphid and Balsam Woolly Adelgid. Scand. J. For. Res. 2017, 32, 397–405. [Google Scholar] [CrossRef]
- Plata-Rueda, A.; Campos, J.M.; da Silva Rolim, G.; Martínez, L.C.; Dos Santos, M.H.; Fernandes, F.L.; Serrão, J.E.; Zanuncio, J.C. Terpenoid Constituents of Cinnamon and Clove Essential Oils Cause Toxic Effects and Behavior Repellency Response on Granary Weevil, Sitophilus granarius. Ecotoxicol. Environ. Saf. 2018, 156, 263–270. [Google Scholar] [CrossRef]





| Performance | Sampling Period | Performance × Sampling Period | ||||
|---|---|---|---|---|---|---|
| Compound | F Ratio | Prob. > F | F Ratio | Prob. > F | F Ratio | Prob. > F |
| α-Pinene | 1.252 | 0.295 | 3.02 | 0.051 | 3.973 | <0.001 * |
| Camphene | 3.267 | 0.025 * | 10.373 | <0.001 * | 4.393 | <0.001 * |
| β-Pinene | 1.993 | 0.1199 | 1.642 | 0.196 | 1.194 | 0.311 |
| 3-Carene | 4.507 | 0.005 * | 7.337 | <0.001 * | 2.829 | 0.012 * |
| D limonene | 2.377 | 0.074 | 6.862 | 0.001 * | 2.551 | 0.021 * |
| Maltol | 9.734 | <0.001 * | 8.3 | <0.001 * | 4.352 | <0.001 * |
| Borneol | 6.448 | <0.001 * | 5.605 | 0.004 * | 3.381 | 0.003 * |
| Bornyl acetate | 1.715 | 0.169 | 3.414 | 0.035 * | 2.434 | 0.027 * |
| Caryophyllene | 9.459 | <0.001 * | 10.874 | <0.001 * | 6.675 | <0.001 * |
| Humulene | 10.184 | <0.001 * | 10.109 | <0.001 * | 8.247 | <0.001 * |
Publisher’s Note: MDPI stays neutral with regard to jurisdictional claims in published maps and institutional affiliations. |
© 2022 by the authors. Licensee MDPI, Basel, Switzerland. This article is an open access article distributed under the terms and conditions of the Creative Commons Attribution (CC BY) license (https://creativecommons.org/licenses/by/4.0/).
Share and Cite
Thomas, A.; Tilotta, D.C.; Frampton, J.; Jetton, R.M. Sesquiterpene Induction by the Balsam Woolly Adelgid (Adelges piceae) in Putatively Resistant Fraser Fir (Abies fraseri). Forests 2022, 13, 716. https://doi.org/10.3390/f13050716
Thomas A, Tilotta DC, Frampton J, Jetton RM. Sesquiterpene Induction by the Balsam Woolly Adelgid (Adelges piceae) in Putatively Resistant Fraser Fir (Abies fraseri). Forests. 2022; 13(5):716. https://doi.org/10.3390/f13050716
Chicago/Turabian StyleThomas, Austin, David C. Tilotta, John Frampton, and Robert M. Jetton. 2022. "Sesquiterpene Induction by the Balsam Woolly Adelgid (Adelges piceae) in Putatively Resistant Fraser Fir (Abies fraseri)" Forests 13, no. 5: 716. https://doi.org/10.3390/f13050716
APA StyleThomas, A., Tilotta, D. C., Frampton, J., & Jetton, R. M. (2022). Sesquiterpene Induction by the Balsam Woolly Adelgid (Adelges piceae) in Putatively Resistant Fraser Fir (Abies fraseri). Forests, 13(5), 716. https://doi.org/10.3390/f13050716

