Changes in the Concentrations of Trace Elements and Supply of Nutrients to Silver Fir (Abies alba Mill.) Needles as a Bioindicator of Industrial Pressure over the Past 30 Years in Świętokrzyski National Park (Southern Poland)
Abstract
:1. Introduction
2. Materials and Methods
2.1. Characteristics of the Forest Area
2.2. Collection of Material for Research in 1986 and 2018
2.3. Analytical Methodology (Fir Needles and Soils) in 1986 and 2018
2.4. Statistical Analysis
3. Study Results
3.1. Soil Basic Characteristics
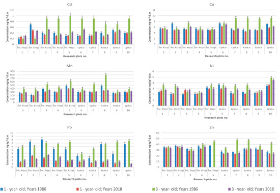
3.2. Foliage Chemistry
4. Discussion
5. Conclusions
Author Contributions
Funding
Institutional Review Board Statement
Informed Consent Statement
Data Availability Statement
Conflicts of Interest
References
- Świercz, A.; Smorzewska, E.; Bogdanowicz, M. State of scots pine needles’ epicuticular waxes and content of microelements in bioindication. Ecol. Chem. Eng. 2014, 21, 367–375. [Google Scholar] [CrossRef]
- Szwed, M.; Żukowski, W.; Kozłowski, R. The presence of selected elements in the microscopic image of pine needles as an effect of cement and lime pressure within the region of Białe Zagłębie (Central Europe). Toxics 2021, 9, 15. [Google Scholar] [CrossRef]
- Feliciano, M.S.; Pio, C.A.; Vermeulen, A.T. Evaluation of SO2 dry deposition over short vegetation in Portugal. Atmos. Environ. 2001, 35, 3633–3643. [Google Scholar] [CrossRef]
- Grennfelt, P.; Engleryd, A.; Forsius, M. Acid rain and air pollution: 50 years of progress in environmental science and policy. Ambio 2020, 49, 849–864. [Google Scholar] [CrossRef] [Green Version]
- Likus-Cieślik, J.; Socha, J.; Gruba, P.; Pietrzykowski, M. The current state of environmental pollution with sulfur dioxide (SO2) in Poland (Central Europe) based on sulfur concentration in Scots pine (Pinussylvestris L.) needles. Environ. Pollut. 2020, 258, 113559. [Google Scholar] [CrossRef] [PubMed]
- Schulze, E.D.; Oren, R.; Lange, O.L. Processes leading to forest decline: A synthesis. Ecol. Stud. 1989, 77, 460–468. [Google Scholar]
- Tomlinson, G.H. Acidic deposition, nutrient leaching and forest growth. Biogeochemistry 2003, 65, 51–81. [Google Scholar] [CrossRef]
- Schweinfurth, P.S. An introduction to coal quality. In The National Coal Resource; Pierce, B.S., Dennen, K.O., Eds.; US Geological Survey: Reston, VA, USA, 2009. [Google Scholar]
- Guala, S.; Vega, F.A.; Covelo, E.F. Modification of a soil–vegetation nonlinear interaction model with acid deposition for simplified experimental applicability. Ecoogical Model. 2009, 220, 2137–2141. [Google Scholar] [CrossRef]
- Liu, K.H.; Fang, Y.T.; Yu, F.M.; Liu, Q.; Li, F.R.; Peng, S.L. Soil Acidification in Response to Acid Deposition in Three Subtropical Forests of Subtropical China. Pedosphere 2010, 20, 399–408. [Google Scholar] [CrossRef]
- Rinne, K.T.; Loader, N.J.; Switsur, V.R.; Treydte, K.S.; Waterhouse, J.S. Investigating the influence of sulphur dioxide (SO2) on the stable isotope ratios (δ13C and δ18O) of tree rings. Geochim. Cosmochim. Acta 2010, 74, 2327–2339. [Google Scholar] [CrossRef]
- Marcshner, H. Marschner’s Mineral Nutrition of Higher Plants, 3rd Edition; Academic Press: Cambridge, MA, USA, 2012. [Google Scholar]
- Kowalkowski, A.; Brogowski, Z.; Kocoń, J.; Swałdek, M. Stan odżywienia i zdrowotności jodły (Abies alba Mill.) w Świętokrzyskim Parku Narodowym. Rocz. Świętokrzyskie 1990, 17, 11–26. [Google Scholar]
- Szymura, T.H. Concentration of elements in silver fir (Abies alba Mill.) needles as a function of needles’ age. Trees 2009, 23, 211–217. [Google Scholar] [CrossRef]
- Gałuszka, A. The chemistry of soils, rocks and plant bioindicators in three ecosystems of the Holy Cross Mountains. Environ. Monit. Assess. 2005, 110, 55–70. [Google Scholar] [CrossRef] [PubMed]
- Novotný, R.; Černý, D.; Šrámek, V. Nutrition of Silver Fir (Abies alba Mill) Growing at the Upper Limit of its Occurrence in the Šumava National Park and Protected Landscape Area. J. For. Sci. 2010, 56, 381–388. [Google Scholar] [CrossRef] [Green Version]
- Bringmark, L.; Lundin, L.; Augustaitis, A. Trace Metal Budgets for Forested Catchments in Europe—Pb, Cd, Hg, Cu and Zn. Water Air Soil Pollut. 2013, 224, 1502. [Google Scholar] [CrossRef] [Green Version]
- Mauri, A.; de Rigo, D.; Caudullo, G. Abies alba in Europe: Distribution, habitat, usage and threats. In European Atlas of Forest Tree Species; Publication Office of the European Union: Luxembourg, 2016; pp. 48–49. [Google Scholar]
- Napa, Ü.; Ostonen, I.; Kabral, N. Biogenic and contaminant heavy metal pollution in Estonian coniferous forests. Reg. Environ. Change 2017, 17, 2111–2120. [Google Scholar] [CrossRef]
- Vitasse, Y.; Bottero, A.; Rebetez, M.; Conedera, M.; Augustin, S.; Brang, P.; Tinner, W. What is the potential of silver fir to thrive under warmer and drier climate? Eur. J. For. Res. 2019, 138, 547–560. [Google Scholar] [CrossRef]
- Filipiak, M. Changes of Abies alba crown state and stand quality class in the Sudety Mountains. Dendrobiology 2005, 54, 11–17. [Google Scholar]
- Migaszewski, Z.M.; Gałuszka, A.; Świercz, A.; Kucharczyk, J. Element concentrations in soils, and plants bioindicators in selected habitats of the Holy Cross Mountains, Poland. Water Air Soil Pollut. 2001, 129, 369–386. [Google Scholar] [CrossRef]
- Bruchwald, A.; Dmyterko, E. Stopień Uszkodzenia Drzewostanów Jodłowych Gór Świętokrzyskich. Sylwan 2016, 160, 299–308. [Google Scholar]
- Gazol, A.; Camarero, J.; Gutierrez, E.; Popa, I.; Andreu-Hayles, L.; Motta, R.; Nola, P.; Ribas, M.; Sanguesa-Barreda, G.; Urbinati, C.; et al. Distinct effects of climate warming on populations of silver fir (Abies alba) across Europe. J. Biogeogr. 2015, 42, 1150–1162. [Google Scholar] [CrossRef] [Green Version]
- Jarzyna, K. Climatic hazards for native tree species in Poland with special regards to silver fir (Abies alba Mill.) and European beech (Fagus sylvatica L.). Theor. Appl. Climatol. 2021, 144, 581–591. [Google Scholar] [CrossRef]
- Ștefănuț, S.; Öllerer, K. Country-scale complementary passive and active biomonitoring of airborne trace elements for environmental risk assessment. Ecol. Indic. 2021, 125, 107357. [Google Scholar] [CrossRef]
- Steiness, E.; Friedland, A.J. Metal contamination of natural surface soils from long range atmospheric transport: Existing and missing knowledge. Environ. Rev. 2005, 14, 169–186. [Google Scholar] [CrossRef]
- Parzych, A.; Mochnacký, S.; Sobisz, Z.; Kurhaluk, N.; Polláková, N. Accumulation of heavy metals in needles and bark of Pinus species. Folia For. Pol. Ser. A-For. 2017, 59, 34–44. [Google Scholar] [CrossRef] [Green Version]
- Kostrzewski, A.; Majewski, M. Stan Geoekosystemów Polski w 2018 Roku; Integrated Monitoring of Natural Environment Poznań-Morasko: Poznań, Poland, 2019; pp. 1–108. [Google Scholar]
- Kostrzewski, A.; Majewski, M. 2018. Stan i Przemiany Środowiska Przyrodniczego Geoekosystemów Polski w Latach 1994–2015 w Oparciu o Realizację Programu Zintegrowanego Monitoringu Środowiska PrzyrodniczegoI; Biblioteka Monitoringu Środowiska: Warsaw, Poland, 2018; Volume 32. [Google Scholar]
- Maňkovská, B.; Godzik, B.; Badea, O.; Shparyk, Y.; Moravčík, P. Chemical and morphological characteristics of key tree species of the Carpathian Mountains. Environ. Pollut. 2004, 130, 41–54. [Google Scholar] [CrossRef]
- Musio, M.; Augustin, N.; Kahle, H.P.; Krall, A.; Kublin, E.; Unseld, R.; von Wilpert, K. Predicting magnesium concentration in needles of silver fir and Norway spruce—A case study. Ecol. Model. 2004, 179, 307–316. [Google Scholar] [CrossRef]
- Hüttl, R.F.; Schaaf, W. Mg Deficiency in Forest Ecosystems; Kluwer Academic Publishers: Dordrecht, The Netherlands, 1997. [Google Scholar]
- Borgulat, J.; Łukasik, W.; Staszewski, T. Mineral status of young silver fir stands in BeskidŚląski and Żywiecki Mountains. In Current Problems of Environmental Protection, Assesment of the State of Environment, Threats of the Environment, Applied Technologies in Environmental Protection; Sierka, E., Nadgórska-Socha, A., Eds.; University of Silesia: Katowice, Poland, 2017; p. 130. [Google Scholar]
- Siwek, M. Plants in postindustrial site, contaminated with heavy metals—Part II: Mechanisms of detoxification and strategies of plant adaptation to heavy metals. Wiadomości Bot. 2008, 52, 7–23. [Google Scholar]
- De Santoa, A.V.; Fierro, A.; Berg, B.; Rutigliano, F.A.; De Marco, A. Heavy metals and litter decomposition in coniferous forests. Soil Sci. 2002, 28, 63–78. [Google Scholar] [CrossRef]
- Melkikh, A.; Izmozherova, K.D. Active ion transport as the basis for water movement in plants. J. Theor. Biol. 2020, 500, 110332. [Google Scholar] [CrossRef]
- Fargašová, A. Distribúcia Kovov v Životnom Prostredí; Prírodovedecká Fakulta: Bratislava, Slovakia, 2009. [Google Scholar]
- Kabata-Pendias, A. Soil-plant transfer of trace elements—An environmental issue. Geoderma 2004, 122, 143–149. [Google Scholar] [CrossRef]
- Grešíková, S.; Janiga, M. Analysis of S, Cl, K, Ca, Cr, Mn, Fe, Zn, Rb, Sr, Mo, Ba and Pb concentrations in the needles of Abies alba and potential impact of paper mill industry. Oecologia Mont. 2017, 26, 47–55. [Google Scholar]
- Aznar, J.C.; Richer-Laflèche, M.; Bégin, C.; Bégin, Y. Lead Exclusion and Copper Translocation in Black Spruce Needles. Water Air Soil Pollut. 2009, 203, 139–145. [Google Scholar] [CrossRef]
- Ranger, J.; Marques, R.; Colin-Belgrand, M. Nutrient dynamics during the development of a Douglas-fir (Pseudotsuga menziesii Mirb.) stand. Acta Oecologica 1997, 18, 73–90. [Google Scholar] [CrossRef]
- Michopoulos, P.; Bourletsikas, A.; Kaoukis, K.; Daskalakou, E.; Karetsos, G.; Kostakis, M.; Thomaidis, N.S.; Pasias, I.N.; Kaberi, H.; Iliakis, S. The distribution and variability of heavy metals in a mountainous fir forest ecosystem in two hydrological years. Glob. NEST J. 2018, 20, 188–197. [Google Scholar] [CrossRef]
- Rautio, P.; Huttunen, S. Total vs. internal element concentrations in Scots pine needles along a sulphur and metal pollution gradient. Environ. Pollut. 2003, 122, 273–289. [Google Scholar] [CrossRef]
- Kuang, Y.W.; Wen, D.Z.; Zhou, G.Y.; Liu, S.Z. Distribution of elements in needles of Pinus massoniana (Lamb.) was uneven and affected by needle age. Environ. Pollut. 2007, 145, 146–153. [Google Scholar] [CrossRef]
- Gandoisa, L.; Probst, A. Localisation and mobility of trace metal in silver fir needles. Chemosphere 2012, 87, 204–210. [Google Scholar] [CrossRef] [Green Version]





| Transect A: Świety Krzyż | |||||||
|---|---|---|---|---|---|---|---|
| No. | Width | Length | Height above Sea Level | Age of Trees on the Surface | Crown Cover | Habitat | Classification 2019 WRB |
| 1 | 50.846315 | 21.038034 | 420 | 60–70 years | 0.6 | Abietetumpolonicum | Dystric Cambisols |
| 2 | 50.852648 | 21.039435 | 500 | 40–70 years | 0.6 | ||
| 3 | 50.858934 | 21.041205 | 550 | 50–80 years | 0.7 | Dystric Cambisols (Protospodic) | |
| 4 | 50.864055 | 21.043123 | 500 | 60–80 years | 0.8 | Dystric Cambisols | |
| 5 | 50.870758 | 21.045557 | 330 | 60–70 years | 0.4 | Gleyic Cambisols | |
| Transect B:Łysica | |||||||
| 6 | 50.880543 | 20.894290 | 420 | 60–70 years | 0.7 | Abietetumpolonicum | Dystric Cambisols |
| 7 | 50.885336 | 20.893479 | 500 | 40–70 years | 0.6 | Abietetumpolonicum | Dystric Cambisols |
| 8 | 50.892685 | 20.895438 | 580 | 80–90 years | 0.4 | ||
| 9 | 50.892685 | 20.896885 | 500 | 40–120 years | 0.8 | ||
| 10 | 50.893896 | 20.897227 | 350 | 60–70 years | 0.8 | Dentario-Glandulosae-Fagetum/ | |
| Profile/No. | Level | Sampling Depth (cm) | Sands | Silt | Clay | pH H2O | pH KCl | CTOT | NTOT | Al+3 | Hh | S | V |
|---|---|---|---|---|---|---|---|---|---|---|---|---|---|
| 2–0.05 | 0.05–0.002 | >0.002 | % | cmol(+) ∙ kg−1 | % | ||||||||
| Mm | |||||||||||||
| Transect A Św. Krzyż I | O | 0–2 | - | - | - | 4.83 | 4.43 | 38.32 | 19.11 | 7.28 | 62.13 | 18.16 | 82. 2 |
| A | 5–15 | 55.00 | 42.00 | 3.00 | 4.12 | 3.64 | 5.75 | 3.12 | 6.11 | 16.08 | 1.07 | 18.7 | |
| Bw(Bbr) | 20–35 | 40.00 | 55.00 | 5.00 | 4.22 | 3.83 | - | - | 3.24 | 6.22 | 0.43 | 6.72 | |
| C | 50–60 | 27.00 | 57.00 | 6.00 | 4.61 | 4.13 | - | - | 3.01 | 4.13 | 0.14 | 4.21 | |
| Transect A Św. Krzyż V | O | 0–2 | - | - | - | 4.13 | 3.66 | 40.08 | 20.13 | 14.71 | 91.08 | 13.43 | 90.02 |
| A | 8–18 | 51.00 | 28.00 | 21.00 | 4.51 | 3.49 | 0.981 | 0.49 | 7.51 | 7.51 | 0.96 | 9.42 | |
| Bwg(Bbrgg) | 35–55 | 29.00 | 27.00 | 44.00 | 4.71 | 3.61 | - | - | 9.71 | 10.65 | 4.72 | 12.34 | |
| Cg(CGor) | 90–100 | 32.00 | 35.00 | 33.00 | 4.67 | 3.51 | - | -- | 5.06 | 6.11 | 5.9 | 11.713 | |
| Transect B Łysica VI | O | 0–3 | - | - | - | 4.81 | 4.23 | 37.44 | 15.11 | 6.42 | 57.93 | 13.73 | 71.33 |
| A | 5–12 | 31.00 | 62.00 | 7.00 | 4.33 | 3.65 | 2.98 | 1.63 | 9.11 | 14.31 | 0.53 | 15.07 | |
| Bw(Bbr) | 20–33 | 28.00 | 65.00 | 7.00 | 4.51 | 3.9 | - | 5.99 | 8.33 | 0.29 | 8.61 | ||
| C | 40–60 | 27.00 | 61.00 | 12.00 | 4.44 | 3.82 | - | - | 4.31 | 5.11 | 0.22 | 6.00 | |
| Transect B Łysica X | O | 0–2 | - | - | - | 4.63 | 3.72 | 23.16 | 11.73 | 4.85 | 44.98 | 9.03 | 53.88 |
| A | 4–15 | 33.00 | 61.00 | 6.00 | 4.40 | 3.81 | 4.11 | 3.08 | 8.55 | 15.98 | 1.22 | 12.31 | |
| Bw(Bbr) | 20–30 | 30.00 | 64.00 | 6.00 | 4.00 | 3.79 | - | - | 6.11 | 8 | 0.16 | 8.01 | |
| C | 40–55 | 34.00 | 59.00 | 7.00 | 4.31 | 4.01 | - | - | 4.04 | 5.43 | 0.13 | 5.34 | |
| Profile/No. | Level | Sampling Depth (cm) | Cd | Cu | Ni | Pb | Zn |
|---|---|---|---|---|---|---|---|
| mg∙kg−1 d.m | |||||||
| Transect A Św.Krzyż I | O | 0–2 | 0.39 | 9.77 | 20.34 | 49.88 | 120.11 |
| A | 5–15 | 0.22 | 8.99 | 19.5 | 56.8 | 131.62 | |
| Bw(Bbr) | 20–35 | 0.1 | 6.89 | 11.23 | 37.12 | 98.77 | |
| C | 50–60 | 0.26 | 4.94 | 8.94 | 23.89 | 55.6 | |
| Transect A Św.Krzyż V | O | 0–2 | 0.48 | 8.52 | 30.11 | 59.12 | 136.45 |
| A | 8–18 | 0.32 | 10.23 | 22.76 | 90.89 | 135.87 | |
| Bwg (Bbrgg) | 35–55 | 0.43 | 9.52 | 18.75 | 47.1 | 110.85 | |
| Cg(CGor) | 90–100 | 0.27 | 5.11 | 14.09 | 29.75 | 69.78 | |
| Transect B Łysica VI | O | 0–3 | 0.51 | 10.07 | 29.72 | 62.33 | 148.56 |
| A | 5–12 | 0.61 | 12.31 | 22.86 | 68.54 | 150.98 | |
| Bw(Bbr) | 20–33 | 0.43 | 8.12 | 13.09 | 50.37 | 120.99 | |
| C | 40–60 | 0.27 | 4.43 | 10.02 | 22.81 | 100.07 | |
| Transect B Łysica X | O | 0–2 | 0.41 | 7.88 | 33.52 | 45.71 | 111.09 |
| A | 4–15 | 0.49 | 8.45 | 30.8 | 50.11 | 136.7 | |
| Bw(Bbr) | 20–30 | 0.37 | 9.25 | 14.72 | 35.78 | 125.66 | |
| C | 40–55 | 0.22 | 4.89 | 9.97 | 28.44 | 84.89 | |
| Year of Research | Annual SO2 Concentration in the Atmospheric Air, µg/m3 | The Average Concentration of Dissolved Substances in Rainwater, mg/dm−3 | |||||||
|---|---|---|---|---|---|---|---|---|---|
| S-SO4 | N-NO3 | N- NH4 | Pb | Na | K | Mg | Ca | ||
| 1986 * | 32.09 | 18.92 | 4.30 | 3.07 | 0.99 | - | - | 3.11 | - |
| 1995 | 24.85 | 4.10 | 1.21 | 1.11 | 0.44 | 0.75 | 0.78 | 0.90 | 4.31 |
| 2000 | 10.02 | 4.31 | 1.36 | 1.15 | 0.43 | 0.63 | 0.77 | 1.95 | 2.95 |
| 2001 | 10.30 | 2.94 | 1.23 | 1.08 | 0.31 | 0.92 | 0.49 | 2.91 | 3.15 |
| 2004 | 5.95 | 4.65 | 1.11 | 1.32 | 0.17 | 0.90 | 0.97 | 0.64 | 1.58 |
| 2011 | 4.49 | 3.33 | 1.92 | - | - | - | - | - | - |
| 2018 | 3.65 | 2.48 | 0.55 | 0.80 | 0.16 | 3.52 | 1.14 | 0.80 | 2.27 |
Publisher’s Note: MDPI stays neutral with regard to jurisdictional claims in published maps and institutional affiliations. |
© 2022 by the authors. Licensee MDPI, Basel, Switzerland. This article is an open access article distributed under the terms and conditions of the Creative Commons Attribution (CC BY) license (https://creativecommons.org/licenses/by/4.0/).
Share and Cite
Świercz, A.; Świątek, B.; Pietrzykowski, M. Changes in the Concentrations of Trace Elements and Supply of Nutrients to Silver Fir (Abies alba Mill.) Needles as a Bioindicator of Industrial Pressure over the Past 30 Years in Świętokrzyski National Park (Southern Poland). Forests 2022, 13, 718. https://doi.org/10.3390/f13050718
Świercz A, Świątek B, Pietrzykowski M. Changes in the Concentrations of Trace Elements and Supply of Nutrients to Silver Fir (Abies alba Mill.) Needles as a Bioindicator of Industrial Pressure over the Past 30 Years in Świętokrzyski National Park (Southern Poland). Forests. 2022; 13(5):718. https://doi.org/10.3390/f13050718
Chicago/Turabian StyleŚwiercz, Anna, Bartłomiej Świątek, and Marcin Pietrzykowski. 2022. "Changes in the Concentrations of Trace Elements and Supply of Nutrients to Silver Fir (Abies alba Mill.) Needles as a Bioindicator of Industrial Pressure over the Past 30 Years in Świętokrzyski National Park (Southern Poland)" Forests 13, no. 5: 718. https://doi.org/10.3390/f13050718
APA StyleŚwiercz, A., Świątek, B., & Pietrzykowski, M. (2022). Changes in the Concentrations of Trace Elements and Supply of Nutrients to Silver Fir (Abies alba Mill.) Needles as a Bioindicator of Industrial Pressure over the Past 30 Years in Świętokrzyski National Park (Southern Poland). Forests, 13(5), 718. https://doi.org/10.3390/f13050718

