Analysis and Tests of Lateral Resistance of Bolted and Screwed Connections of CLT
Abstract
:1. Introduction
2. Materials and Methods
2.1. Materials
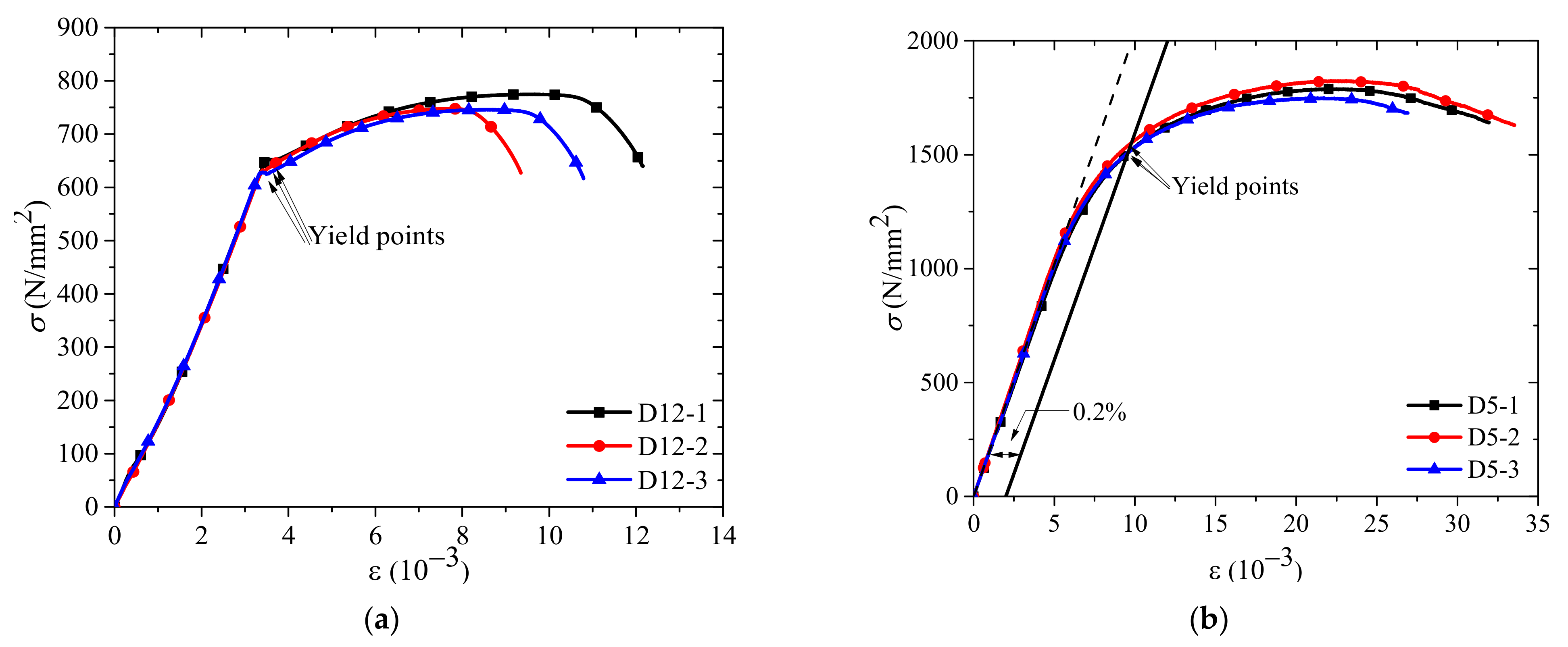
2.1.1. Specimens to Test the Material Properties
2.1.2. Bolted Connection Specimens
2.1.3. Screwed Connection Specimens
2.2. Methods
2.3. Analysis of the Lateral Resistancce
2.3.1. Yield Mode
2.3.2. Bolted Timber-to-CLT Connections
Single Shear Connections
- (1)
- Yield Mode Im
- (2)
- Yield Mode Is
- (3)
- Yield Mode II
- (4)
- Yield Mode IIIm
- (5)
- Yield Mode IIIs
- (6)
- Yield Mode IV
Double Shear Connection
2.3.3. Bolted Steel-to-CLT Connections
Thick Steel Plate
Thin Steel Plate
3. Results
3.1. Material Properties
3.1.1. Yield Strength of Fasteners
3.1.2. Embedment Strength
3.2. Test Results of the Bolted Timber-to-CLT Connections
3.2.1. Groups B1, B2, B3, B10, B11 and B12
3.2.2. Groups B4, B5, B6, B9, B13, B14 and B15
3.2.3. Groups B7, B8, B16, B17 and B18
3.3. Test Results of the Screwed Steel-to-CLT Connections
3.3.1. Groups S6 and S8
3.3.2. Groups S1, S2, S4 and S5
3.3.3. Groups S3 and S7
4. Discussion
5. Conclusions
- (1)
- The tests conducted in this study showed that the structural performance of the bolted connections of CLT can be different from that of the screwed connections, and the former develop better plasticity than the latter, due to the higher strength and more significant strain-hardening behavior of the screws, hence the different definitions of the yield load between the bolted and screwed connections.
- (2)
- Compared with the test results, the accuracy of the proposed analytical method and the equations for predicting the lateral resistance of the bolted and screwed connections of CLT was significantly enhanced by introducing the simplified equivalent embedment stress distribution.
- (3)
- The predicted lateral resistance and yield mode of the bolted and screwed connections of CLT using the proposed equations were consistent with the test results, and the correctness and the feasibility of the proposed analytical method and the equations were thus validated.
Author Contributions
Funding
Institutional Review Board Statement
Informed Consent Statement
Data Availability Statement
Acknowledgments
Conflicts of Interest
References
- Migda, W.; Szczepański, M.; Lasowicz, N.; Jakubczyk-Gałczyńska, A.; Jankowski, R. Non-linear analysis of Inter-Story Pounding between Wood-Framed Buildings during Ground Motion. Geosciences 2019, 9, 488. [Google Scholar] [CrossRef] [Green Version]
- Johanides, M.; Kubíncová, L.; Mikolášek, D.; Lokaj, A.; Sucharda, O.; Mynarčík, P. Analysis of Rotational Stiffness of the Timber Frame Connection. Sustainability 2021, 13, 156. [Google Scholar] [CrossRef]
- Gagnon, S.; Pirvu, C. CLT Handbook: Crosslaminated Timber (Canadian Edition); FPInnovations: Quebec, QC, Canada, 2019. [Google Scholar]
- Niederwestberg, J.; Zhou, J.; Chui, Y.H. Comparison of theoretical and laboratory out-of-plane shear stiffness values of cross laminated timber panels. Buildings 2018, 8, 146. [Google Scholar] [CrossRef] [Green Version]
- Sandoli, A.; Calderoni, B. The Rolling Shear Influence on the Out-of-Plane Behavior of CLT Panels: A Comparative Analysis. Buildings 2020, 10, 42. [Google Scholar] [CrossRef] [Green Version]
- Wu, G.; Zhong, Y.; Ren, H. Effects of Grain Pattern on the Rolling Shear Properties of Wood in Cross-Laminated Timber. Forests 2021, 12, 668. [Google Scholar] [CrossRef]
- Huo, L.; Wu, G.; Wang, H.; Zhu, E. Calculation of stability coefficient of cross-laminated timber members in axial compression. J. Build. Struct. 2021, 42, 107–116. [Google Scholar] [CrossRef]
- Ettelaei, A.; Taoum, A.; Shanks, J.; Nolan, G. Rolling Shear Properties of Cross-Laminated Timber Made from Australian Plantation Eucalyptus nitens under Planar Shear Test. Forests 2022, 13, 84. [Google Scholar] [CrossRef]
- Casagrande, D.; Rossi, S.; Sartori, T.; Tomasi, R. Proposal of an analytical procedure and a simplified numerical model for elastic response of single-storey timber shear-walls. Constr. Build. Mater. 2016, 102 Pt 2, 1101–1112. [Google Scholar] [CrossRef]
- Brandner, R.; Flatscher, G.; Ringhofer, A.; Schickhofer, G.; Thiel, A. Cross laminated timber (CLT): Overview and development. Eur. J. Wood Wood Prod. 2016, 74, 331–351. [Google Scholar] [CrossRef]
- Pei, S.; Lindt, J.V.D.; Popovski, M.; Berman, J.W.; Dolan, J.D.; Ricles, J.; Sause, R.; Blomgren, H.; Rammer, D.R. Cross-laminated timber for seismic regions: Progress and challenges for research and implementation. J. Struct. Eng. 2016, 142, E2514001. [Google Scholar] [CrossRef]
- Ceccotti, A. New technologies for construction of medium-rise buildings in seismic regions: The XLAM case. Struct. Eng. Int. 2008, 18, 156–165. [Google Scholar] [CrossRef]
- Ceccotti, A.; Sandhaas, C.; Okabe, M.; Yasumura, M.; Minowa, C.; Kawai, N. SOFIE project—3D shaking table test on a seven-storey full-scale cross-laminated timber building. Earthq. Eng. Struct. Dyn. 2013, 42, 2003–2021. [Google Scholar] [CrossRef]
- Johansen, K.W. Theory of timber connections. Int. Assoc. Bridge Struct. Eng. 1949, 9, 249–262. [Google Scholar] [CrossRef]
- Wilkinson, T.L. Dowel Bearing Strength; FPL-RP-505; Forest Products Laboratory: Madison, WI, USA, 1991. [Google Scholar]
- Ehlbeck, J.; Werner, H. Softwood and hardwood embedding strength for dowel-type fasteners. In Proceedings of the 25th Meeting of the Working Commission W18-Timber Structures, International Council for Building Research Studies and Documentation (CIB/W18), Ahus, Sweden, 24–27 August 1992. [Google Scholar]
- Whale, L.R.J.; Smith, I.; Larsen, H.J. Design of nailed and bolted joints proposals for the revision of existing formulae in draft Eurocode 5 and CIB code. In Proceedings of the 20th Meeting of the Working Commission W18-Timber Structures, International Council for Building Research Studies and Documentation (CIB/W18), Dublin, Ireland, September 1987; International Council for Research and Innovation in Building and Construction: Rotterdam, The Netherlands, 1987. [Google Scholar]
- Ringhofer, A.; Brandner, R.; Blaß, H.J. Cross-laminated timber (CLT): Design approaches for dowel-type fasteners and connections. Eng. Struct. 2018, 171, 849–861. [Google Scholar] [CrossRef]
- Uibel, T.; Blaß, H.J. Load carrying capacity of joints with dowel type fasteners in solid wood panels. In Proceedings of the 39th Meeting of the Working Commission W18-Timber Structures, International Council for Building Research Studies and Documentation (CIB/W18), Florence, Italy, 28–31 August 2006. [Google Scholar]
- Uibel, T.; Blaß, H.J. Edge joints with dowel type fasteners in cross-laminated timber. In Proceedings of the 40th Meeting of the Working Commission W18-Timber Structures, International Council for Building Research Studies and Documentation (CIB/W18), Bled, Slovenia, 28–31 August 2007. [Google Scholar]
- Wallner-Novak, M.; Augustin, M.; Koppelhuber, J.; Pock, K. Cross-Laminated Timber Structural Design Volume 2—Applications; Proholz Austria: Vienna, Austria, 2018. [Google Scholar]
- Gustafsson, A. KL-Trahandbok; Foreningen Sveriges Skogsindustrier: Skelleftea, Sweden, 2017. (In Swedish) [Google Scholar]
- Tuhkanen, E.; Mölder, J.; Schickhofer, G. Influence of number of layers on embedment strength of dowel-type connections for glulam and cross-laminated timber. Eng. Struct. 2018, 176, 361–368. [Google Scholar] [CrossRef]
- Muñoz, W.; Mohammad, M.; Gagnon, S. Lateral and withdrawal resistance of typical CLT connections. In Proceedings of the 11th world conference on timber engineering (WCTE 2010), Riva del Garda, Italy, 20–24 June 2010. [Google Scholar]
- Kennedy, S.; Salenikovich, A.; Muñoz, W.; Mohammad, M. Design equations for dowel embedment strength and withdrawal resistance for threaded fasteners in CLT. In Proceedings of the 13th world conference on timber engineering (WCTE 2014), Quebec, QC, Canada, 10–14 August 2014. [Google Scholar]
- CSA O86–19; Engineering Design in Wood. Canadian Standard Association: Mississauga, ON, Canada, 2019.
- ANSI/AWC NDS-2018; National Design Specification for Wood Construction. American Wood Council: Washington, DC, USA, 2018.
- Shoichi, N.; Akihisa, K.; Takuro, M.; Kohei, K. Propose alternative design criteria for dowel type joint with CLT. RILEM Bookseries 2014, 9, 739–748. [Google Scholar] [CrossRef] [Green Version]
- Mahdavifar, V.; Sinha, A.; Barbosa, A.R.; Muszynski, L.; Gupta, R. Lateral and withdrawal capacity of fasteners on hybrid cross-laminated timber panels. J. Mater. Civil Eng. 2018, 30, 04018226. [Google Scholar] [CrossRef]
- GB 50017-2017; Standard for Design of Steel Structures. China Architecture & Building Press: Beijing, China, 2017. (In Chinese)
- ASTM D 5764-97a (Reapproved 2013); Standard Test Methods for Evaluating Dowel-BEARING Strength of Wood and Wood-Based Products. ASTM: West Conshohocken, PA, USA, 2013.
- GB 50005-2017; Standard for Design of Timber Structures. China Architecture & Building Press: Beijing, China, 2017. (In Chinese)
- ASTM D 5652-15; Standard Test Methods for bolted CONNECTIONS in Wood and Wood-Based Products. ASTM: West Conshohocken, PA, USA, 2015.
- ASTM A 370-17; Standard Test Methods and Definitions for Mechanical Testing of Steel Products. ASTM: West Conshohocken, PA, USA, 2017.
- ASTM F 606-16; Standard Test Methods for Determining the Mechanical Properties of Externally and Internally Threaded Fasteners, Washers, Direct Tension Indicators, and Rivets. ASTM: West Conshohocken, PA, USA, 2016.
- ASTM D 2395-17; Standard Test methods for Specific GRAVITY of Wood and Wood-Based Materials. ASTM: West Conshohocken, PA, USA, 2017.
- ASTM D 4442-20; Standard Test Methods for Direct Moisture Content Measurement of Wood and Wood-Base Materials. ASTM: West Conshohocken, PA, USA, 2020.
- Larsen, H.J.; Enjily, V. Practical Design of Timber Structures to Eurocode 5; Thomas Telford Limited: London, UK, 2009. [Google Scholar]
- EN 1995-1-1: 2004; Eurocode 5: Design of Timber Structures—Part 1-1: General—Common Rules and Rules for Buildings. CEN: Brussels, Belgium, 2004.
- Zhu, E.C.; Pan, J.L. Probing into the Problems in Design of Wood Structures; China Architecture & Building Press: Beijing, China, 2017. (In Chinese) [Google Scholar]
- Foschi, R.O. Load-slip characteristic of nails. Wood Sci. 1974, 7, 69–76. [Google Scholar]
- Jumaat, M.Z.; Murty, B. Yield load prediction of nailed timber joints using nail diameter and timber specific gravity. Wood Sci. Technol. 2004, 38, 599–615. [Google Scholar] [CrossRef]

























| Group | Type | Thread Diameter (mm) | Effective Diameter (mm) | Length (mm) |
|---|---|---|---|---|
| D12 * | Bolt of Grade 8.8 | 12.0 | 10.6 | 300 |
| D14 | Bolt of Grade 8.8 | 14.0 | 12.6 | 300 |
| D16 | Bolt of Grade 8.8 | 16.0 | 14.6 | 300 |
| D5 | Self-Tapping Screws | 7.5 | 5.0 | 100 |
| D10 | Self-Tapping Screws | 12.0 | 10.0 | 100 |
| Longitudinal Direction | Transverse Direction | ||||||||||
|---|---|---|---|---|---|---|---|---|---|---|---|
| Group | Diameter d (mm) | a 1 (mm) | S0 2 (mm) | S1 3 (mm) | S2 4 (mm) | Group | Diameter d (mm) | a (mm) | S0 (mm) | S1 (mm) | S2 5 (mm) |
| B1 5 | 12 | 10 | 40 | 100 | 50 | B10 | 12 | 10 | 40 | 100 | 50 |
| B2 | 14 | 10 | 45 | 120 | 60 | B11 | 14 | 10 | 45 | 120 | 60 |
| B3 | 16 | 10 | 50 | 130 | 70 | B12 | 16 | 10 | 50 | 130 | 70 |
| B4 | 12 | 40 | 40 | 100 | 50 | B13 | 12 | 40 | 40 | 100 | 50 |
| B5 | 14 | 40 | 45 | 120 | 60 | B14 | 14 | 40 | 45 | 120 | 60 |
| B6 | 16 | 40 | 50 | 130 | 70 | B15 | 16 | 40 | 50 | 130 | 70 |
| B7 | 12 | 70 | 40 | 100 | 50 | B16 | 12 | 70 | 40 | 100 | 50 |
| B8 | 14 | 70 | 45 | 120 | 60 | B17 | 14 | 70 | 45 | 120 | 60 |
| B9 | 16 | 70 | 50 | 130 | 70 | B18 | 16 | 70 | 50 | 130 | 70 |
| Longitudinal Direction | Transverse Direction | ||||
|---|---|---|---|---|---|
| Group | Diameter d (mm) | Steel Plate Thickness a (mm) | Group | Diameter d (mm) | Steel Plate Thickness a (mm) |
| S1 * | 5 | 4 | S5 | 5 | 4 |
| S2 | 10 | 4 | S6 | 10 | 4 |
| S3 | 5 | 6 | S7 | 5 | 6 |
| S4 | 10 | 6 | S8 | 10 | 6 |
| Grain Orientation | d (mm) | Embedment Strength fh | Moisture Content | Oven-Dry Specific Gravity Sd | ||||
|---|---|---|---|---|---|---|---|---|
| Average (N/mm2) | COV | Predictions with NDS (N/mm2) | Average (%) | COV | Average (%) | COV | ||
| Parallel | 5 | 45.26 | 21.56 | 25.28 | 11.72 | 11.59 | 0.44 | 13.18 |
| 10 | 40.18 | 21.32 | 34.65 | 11.88 | 13.86 | 0.45 | 11.56 | |
| 12 | 35.51 | 17.46 | 33.88 | 11.18 | 7.35 | 0.44 | 16.98 | |
| 14 | 27.03 | 18.14 | 30.03 | 12.19 | 17.46 | 0.39 | 12.69 | |
| 16 | 32.38 | 17.68 | 33.11 | 11.54 | 12.94 | 0.43 | 17.69 | |
| Perpendicular | 5 | 32.34 | 29.17 | 24.23 | 11.46 | 9.04 | 0.43 | 11.60 |
| 10 | 22.73 | 29.10 | 19.72 | 11.54 | 12.21 | 0.43 | 19.06 | |
| 12 | 14.75 | 31.84 | 18.00 | 11.25 | 5.50 | 0.43 | 15.77 | |
| 14 | 11.11 | 35.11 | 14.46 | 12.20 | 24.46 | 0.39 | 16.36 | |
| 16 | 11.16 | 32.96 | 14.55 | 11.65 | 13.45 | 0.41 | 16.42 | |
| Direction of Loading | Group | Rc 1 (kN) | Rc,EU 2 (kN) | Rc,NDS 3 (kN) | Rt 4 (kN) | Yield Mode | Cc 5 | Cc,EU 6 | Cc,NDS 7 |
|---|---|---|---|---|---|---|---|---|---|
| Longitudinal direction | B1 | 7.62 | 7.65 | 7.65 | 7.71 | Is | 0.99 | 0.99 | 0.99 |
| B2 | 8.87 | 8.89 | 8.89 | 8.47 | Is | 1.05 | 1.05 | 1.05 | |
| B3 | 11.52 | 11.49 | 11.49 | 11.51 | Is | 1.00 | 1.00 | 1.00 | |
| B4 | 14.85 | 15.57 | 13.94 | 14.62 | IIIs | 1.02 | 1.07 | 0.95 | |
| B5 | 17.58 | 19.20 | 15.09 | 16.81 | IIIs | 1.05 | 1.14 | 0.90 | |
| B6 | 24.24 | 24.75 | 20.93 | 25.64 | IIIs | 0.95 | 0.97 | 0.82 | |
| B7 | 15.14 | 15.57 | 13.94 | 17.28 | IV | 0.88 | 0.90 | 0.81 | |
| B8 | 23.31 | 19.20 | 15.09 | 25.38 | IV | 0.92 | 0.76 | 0.59 | |
| B9 | 32.80 | 24.75 | 20.93 | 30.38 | IIIs | 1.08 | 0.81 | 0.69 | |
| Transverse direction | B10 | 7.62 | 7.65 | 7.65 | 7.53 | Is | 1.01 | 1.02 | 1.02 |
| B11 | 8.87 | 8.89 | 8.89 | 9.27 | Is | 0.96 | 0.96 | 0.96 | |
| B12 | 11.52 | 11.49 | 11.49 | 11.52 | Is | 1.00 | 1.00 | 1.00 | |
| B13 | 11.98 | 15.21 | 11.71 | 11.60 | IIIs | 1.03 | 1.31 | 1.01 | |
| B14 | 14.29 | 18.14 | 12.95 | 13.14 | IIIs | 1.09 | 1.38 | 0.99 | |
| B15 | 18.86 | 23.46 | 17.66 | 19.93 | IIIs | 0.95 | 1.18 | 0.89 | |
| B16 | 13.68 | 15.21 | 11.71 | 12.85 | IV | 1.06 | 1.18 | 0.91 | |
| B17 | 17.33 | 18.14 | 12.95 | 16.12 | IV | 1.08 | 1.13 | 0.80 | |
| B18 | 23.42 | 23.46 | 17.66 | 23.27 | IV | 1.01 | 1.01 | 0.76 |
| Direction of Loading | Group | Rc (kN) | Rc,EU (kN) | Rc,NDS (kN) | Rt (kN) | Yield Mode | Cc | Cc,EU | Cc,NDS |
|---|---|---|---|---|---|---|---|---|---|
| Longitudinal direction | S1 | 4.55 | 6.97 | 4.04 | 3.81 | Is | 1.19 | 1.83 | 1.06 |
| S2 | 9.19 | 13.21 | 8.41 | 9.74 | Is | 0.94 | 1.36 | 0.86 | |
| S3 | 5.52 | 7.89 | 4.58 | 5.40 | Is | 1.02 | 1.46 | 0.85 | |
| S4 | 9.95 | 14.31 | 9.11 | 10.55 | IIIs | 0.94 | 1.36 | 0.86 | |
| Transverse direction | S5 | 4.19 | 6.97 | 3.87 | 3.39 | Is | 1.24 | 2.06 | 1.14 |
| S6 | 3.56 | 13.21 | 7.84 | 3.86 | IV | 0.92 | 3.42 | 2.03 | |
| S7 | 4.02 | 7.89 | 4.39 | 3.85 | IV | 1.04 | 2.05 | 1.14 | |
| S8 | 4.15 | 14.31 | 8.48 | 4.07 | IV | 1.02 | 3.52 | 2.08 |
Publisher’s Note: MDPI stays neutral with regard to jurisdictional claims in published maps and institutional affiliations. |
© 2022 by the authors. Licensee MDPI, Basel, Switzerland. This article is an open access article distributed under the terms and conditions of the Creative Commons Attribution (CC BY) license (https://creativecommons.org/licenses/by/4.0/).
Share and Cite
Huo, L.; Zhu, E.; Niu, S.; Wu, G. Analysis and Tests of Lateral Resistance of Bolted and Screwed Connections of CLT. Forests 2022, 13, 375. https://doi.org/10.3390/f13030375
Huo L, Zhu E, Niu S, Wu G. Analysis and Tests of Lateral Resistance of Bolted and Screwed Connections of CLT. Forests. 2022; 13(3):375. https://doi.org/10.3390/f13030375
Chicago/Turabian StyleHuo, Liangliang, Enchun Zhu, Shuang Niu, and Guofang Wu. 2022. "Analysis and Tests of Lateral Resistance of Bolted and Screwed Connections of CLT" Forests 13, no. 3: 375. https://doi.org/10.3390/f13030375
APA StyleHuo, L., Zhu, E., Niu, S., & Wu, G. (2022). Analysis and Tests of Lateral Resistance of Bolted and Screwed Connections of CLT. Forests, 13(3), 375. https://doi.org/10.3390/f13030375

