Abstract
Soil aggregates are the basic structural components of soil, which are important factors that can predict erosion resistance. However, few researchers have investigated the effects of forest conversion on the stability of soil aggregates, particularly in subtropical forests. In this study, soils from various depths (0 to 30 cm) were collected from four forest types (transformed from broadleaved forests (BMF) to combined coniferous broadleaved (CBMF), Chinese fir (FF), and bamboo forests (BF)) to determine the impacts of forest conversion on the physical and chemical properties of soil, water-stable soil aggregates, and aggregate-associated humic substances. The results showed that forest conversion had no effects on the soil’s physical properties, or the humic substances in bulk soil, but had significant effects on soil aggregates. In addition, the conversion of broadleaved forest to Chinese fir forest increased the soil stability, and to bamboo forest, decreased the soil stability. Finally, the soil’s physicochemical properties were closely related to aggregate-associated humic substances. In summary, specific forest management measures should be applied to strengthen the positive impacts and reduce the negative impacts associated with forest conversion.
1. Introduction
Soil aggregates comprise the basic structural components of soil [1,2], which can determine the biogeochemical C, N, and P cycles [3,4], and are also an important factor in predicting erosion resistance [5]. Soil aggregates are composed of soil particles that are repeatedly bound by organic-inorganic colloid compounds [2,3,4,6]. Soil organic matter can serve as a binder, and combine with clay particles to form soil aggregates [7,8] Moreover, soil organic matter may be coated by mineral particulates to create new aggregates, which can reduce mineralization decomposition and improve stability [9].
Humic substances are dominant in the natural compounds of soil organic matter [10], which are recalcitrant and rich in functional groups that can interact with mineral surfaces, thereby acting as a persistent binder [11]. Humic substances are also critical for resisting microbial degradation and sustaining soil health [10]. Furthermore, the effects of soil organic matter on intergranular cohesion and soil hydrophobicity within aggregates depend on the composition of humic substances [12]. The composition of humic substances has been operationally divided into humic acids, fulvic acids, and humin [13,14] Humic acid and fulvic acid are the important components of dissolved organic matter [15]. Compared with humic acid and fulvic acid, humin has a larger molecular weight and a higher degree of polymerization [13]; it is also difficult to isolate and purify [16]. Therefore, we focused mainly on the changes in humic acid and fulvic acid when studying the humic substances in soil aggregates.
Over the last decade, the large-scale conversion of natural forests to plantations has become increasingly common in many subtropical regions [6]. Forest conversion can modify the composition of surface plants, which in turn alters soil conditions through changes in plant roots, litter, and soil microbial communities [17]. Previous research has revealed soil organic matter and pH-driven changes in bacterial communities following forest conversion [6]. Further, the dynamics of nitrogen, phosphorus stocks [18,19,20], soil organic carbon dynamics [21], carbon-degrading enzyme activities [22], soil hydrolytic and oxidative enzyme activities [23], fungal communities [24], and microbial co-occurrence networks [25] were affected by forest conversion. However, soil aggregates can be affected by plant root growth, physical and chemical properties, microbial activities, and artificial management [26]. Therefore, forest conversion could be a driving factor that alters soil aggregates.
The Feng Yang Mountain Nature Reserve is a type of forest ecological nature reserve, which was originally a native broadleaved forest (BMF) [27]. In the 1970s, forest management activities such as logging resulted in the creation of several new forest types, such as combined coniferous and broadleaved forests (CBMF), Chinese fir forests (FF), and bamboo forests (BF) [28]. In our previous studies, the creation of several new forest types altered the saturated hydraulic conductivity [28], organic carbon chemical composition [27], and nanoscale pores [17], as well as the bacterial community composition and diversity of soils [29]. However, there is limited research on soil aggregates, particularly aggregate-associated humic substances.
Consequently, the aim of the present study was to determine the influences of forest conversion on water-stable soil aggregates and aggregate-associated humic substances. According to previous studies, we proposed the following assumptions, (1) forest conversion affects the physical and chemical properties of the soil; (2) forest conversion impacts the water-stable aggregate size distribution within the soil; (3) forest conversion influences humic substances. These results will provide insights into the effects of forest conversion on the stability of soil aggregates and associated humic substances, which will be useful for the management of converted forests.
2. Materials and Methods
2.1. Study Sites
Field experiments were conducted at the Feng Yang Mountain Nature Reserve (119°06′ E~119°15′ E, 27°46′ N~27°58′ N) in Lishui City, Zhejiang Province, China. This nature reserve is located in the hilly Fujian-Zhejiang region, with a range of 15,171.4 hm2. The soil type in the study area was yellow-brown soil. The experimental area was located in a warm and humid subtropical climate zone, with an average annual temperature of 12.3 °C and precipitation of 2438 mm [30]. The elevation of the study area ranges from 1300 to 1400 m above sea level.
2.2. Experimental Treatments
From 1971 to 1973, intensive selective deforestation and reforestation were conducted, and portions of the native forests (broadleaved forest) were converted to mixed evergreen broadleaved forests, coniferous forests, coniferous/broadleaved mixed forests, and bamboo forests. The four forest types formed in the study area are presented in Table 1. Subsequent to the establishment of the nature reserve in 1975, the entire study area has been protected from anthropogenic disturbances. No fire or insect infestation disturbances have been recorded [29].
Table 1.
General status of the trees in sample plots.
In each of the four forest types (broadleaved forest, coniferous and broadleaved forest, Chinese fir forest, bamboo forest), we selected three stands of similar slope positions, resulting in a total of 12 sampling stands. In each sampled stand, a 20 m × 20 m plot was randomly established to represent the stand and was at least 500 m away from the forest edge.
2.3. Soil Sampling
Soil samples were collected from five random locations at every site from three soil depth layers (0–10 cm, 10–20 cm, and 20–30 cm). These soil samples were mixed in the laboratory to produce one composite soil sample, after which the following measurements were made.
2.4. Analysis of Physical and Chemical Soil Properties
The soil pH was measured using a PB-10 pH meter (Sartorius GmbH, Göttingen, Germany), whereas the soil total organic carbon (TOC) and total nitrogen (TN) contents were measured with an elemental analyzer (Vario EL III, ELementar, Germany). The bulk density, total capillary porosity, capillary porosity, and non-capillary porosity were determined using the ring knife method [31].
2.5. Soil Aggregate Analysis
A wet-sieving method was employed to determine the soil aggregate size fraction [10,32]. First, the samples were sifted through 1.0, 0.5, and 0.25 mm sieves, to obtain four size fractions at the macro-aggregate scale, namely >1.0, 0.5–1.0, 0.25–0.5, and <0.25 mm. Second, according to the mass percentage of the aggregates obtained from dry sieving, a composite soil for wet sieving was prepared. The measurement of water-stable soil aggregates was conducted using an aggregate analyzer, where the set of sieves was kept consistent with those used for dry sieving (1.0, 0.5, and 0.25 mm). Third, the aggregate analyzer was shaken for 30 min, after which the soil was rinsed from every sieve, oven-dried, and weighed. The mean weight diameter (MWD), the geometric mean diameter (GMD), and the fractal dimension (D) were expressed by the following relationships:
where, is the average soil aggregate diameter with ; is the mass percentage of soil aggregates with ; is the average soil aggregate diameter with the maximum particle size; is the soil mass less than (g); is the total soil mass (g).
The horizontal and vertical coordinates of and were drawn, respectively. The 3-D was the slope of the experimental lines of and , and the D value was calculated by the associated equation.
2.6. Soil Humic Substances
The humic substances in bulk soil, or every aggregate fraction, were extracted from the soil with pyrophosphate-sodium hydroxide-sodium in a 50 °C water bath. The suspended materials were then separated by centrifugation at 3500 rpm for 5 min. The resulting supernatant was filtered through a 0.45 μm membrane, and then continuously supplied with pyrophosphate-sodium hydroxide-sodium until the solution was colorless, and the supernatant contained humic substances [10].
Furthermore, to extract the humic acid from the humic substances, the supernatant was acidified with H2SO4 (pH ≤ 1.5) and heated at 80 °C for 30 min. The suspended materials were filtered in the laboratory overnight, and the residues on the filter paper were percolated with H2SO4 until the precipitate was colorless. Finally, the remaining residues were dissolved at 60 °C with NaOH to separate the humic acids. The fulvic acid level was measured by subtracting the humic acid from the humic substances [10].
2.7. Statistical Analyses
The Duncan test (SPSS 26) was employed to reveal the effects of forest conversion on the physicochemical properties, aggregate stability, and humic substances of the soil. To test the effects of forest type and soil layers on the soil’s physicochemical properties, aggregate stability, and humic substances, we conducted a two-way ANOVA using SPSS 26. A three-way ANOVA was employed to assess the effects of forest type, soil layer, and soil aggregate size class on the soil humic substances using SPSS 26. The Pearson test was performed using R software (R 3.4.3) to reveal the relationships between the aggregate stability, aggregate-associated humic substances, and physicochemical properties of the soil samples. Additional charts were created using Origin 2015 (OriginLab Corporation, Northampton, MA, USA).
3. Results
3.1. Physicochemical Soil Properties
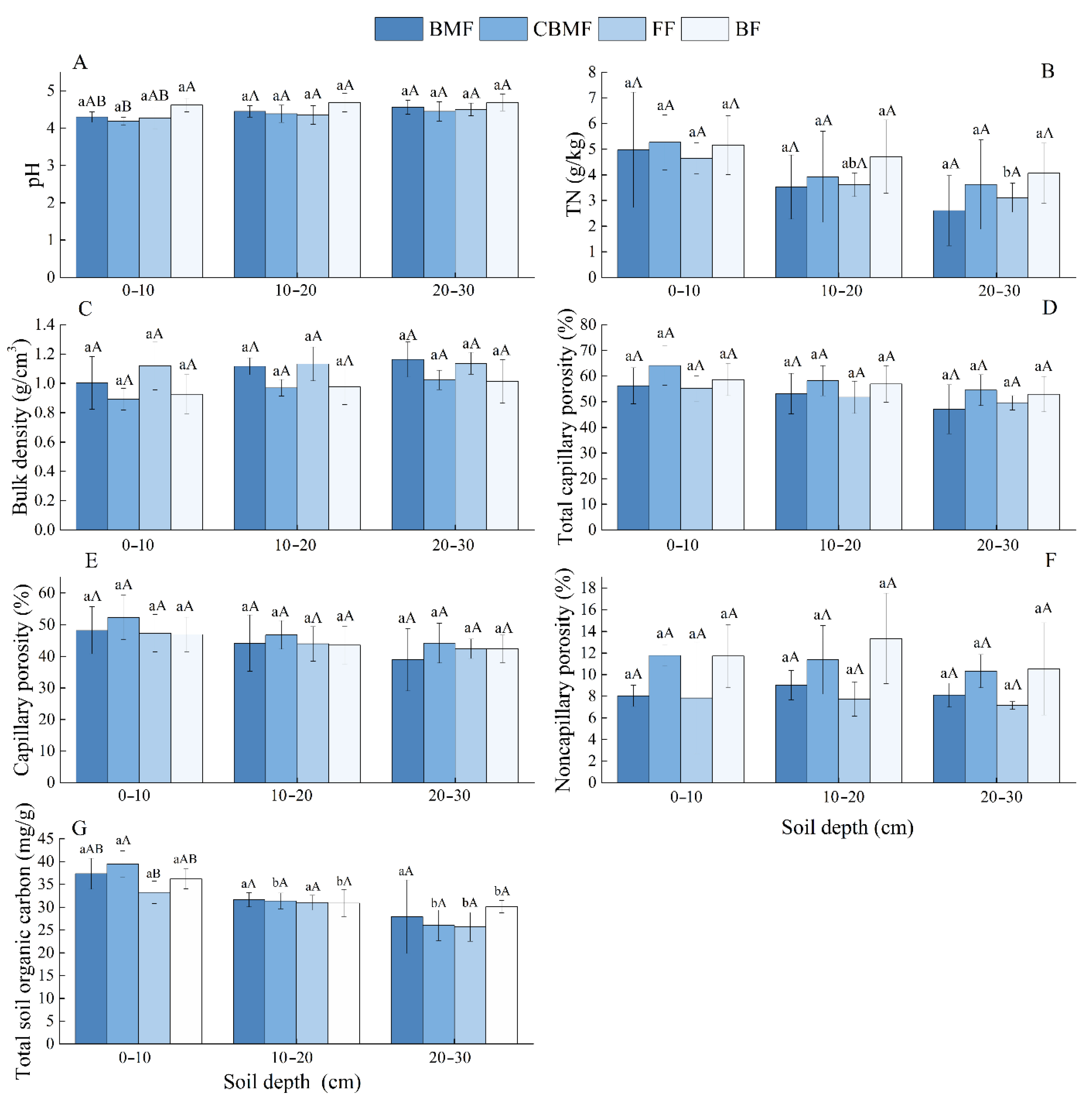
Within the 0–10 cm layer, the pH in the CBMF was significantly lower than the pH in the BF (p < 0.05) (Figure 1A). For all forest type treatments, there were no significant differences in the pH between all soil layers (Figure 1A). However, the forest types induced significant differences in pH (p < 0.05). Conversely, for all soil layers, there were no significant differences in the TN between all forest types (Figure 1B). For the FF treatment, the TN in the 0–10 cm layer was significantly higher than the TN in the 20–30 cm layer (Figure 1B). The SOC was higher in the CBMF than in the FF in the 0–10 cm soil layer; for the CBMF and BF, the SOC was higher in the 0–10 cm soil layer than in the 10–20 cm and 20–30 cm soil layers; the FF 0–10 cm and 10–20 cm soil layers contained more SOC than in the 20–20 cm soil layer (p < 0.05) (Figure 1G). Further, for the bulk density, total capillary porosity, capillary porosity, and non-capillary porosity, there were no significant differences between all forest types and soil depths (Figure 1C–F).
Figure 1.
Physicochemical properties of experimental soils. (A), soil pH; (B), soil total nitrogen (TN) content; (C), soil bulk density; (D), soil total capillary porosity; (E), soil capillary porosity; (F), soil nanocapillary porosity; (G), total soil organic carbon (TOC) content. Note: BMF, broadleaved forest; CBMF, coniferous and broadleaved forest; FF, Chinese fir forest; BF, bamboo forest. TN, total nitrogen. TOC, total organic carbon. Upper case letters (A, B) indicate significant difference between different forest types in the same soil layer. Lower case letters (a, b) indicate significant variations between different soil layers within the same forest type.
3.2. Size Distribution of Water-Stable Soil Aggregates
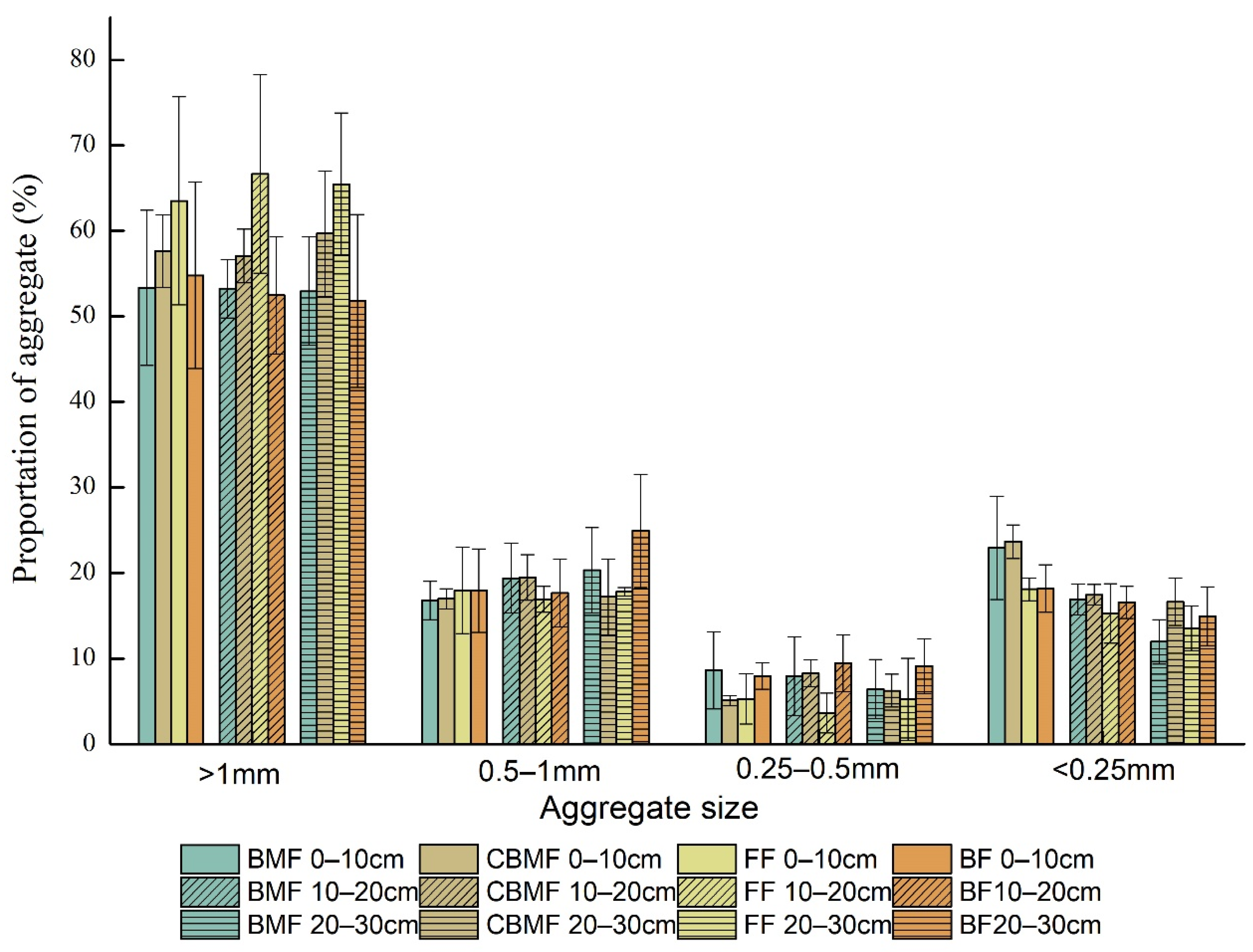
There were some variabilities in the distribution of different aggregate sizes (Figure 2). The dominant aggregate size (>1 mm), which comprised 51.8–66.7% of most soils, was significantly affected by the forest type (p < 0.001) (Table 2). When the aggregate size was >1 mm, its proportion in the FF was significantly higher than in the other forest types at the 10–20 cm and 20–30 cm soil depths (p < 0.05) (Figure 2). When the aggregate size was from 0.5 to 1 mm, its proportion in the BF was significantly higher than in the BMF and CBMF at the 20–30 cm soil depth (p < 0.05). There were no significant differences between different forest types at the 0–10 cm and 10–20 cm soil depths. When the aggregate sizes ranged from 0.25 to 0.5 mm, or had a size <0.25 mm, their proportion in the FF was lower than in the other forest types for all soil depths (Figure 2). Additionally, ANOVA analysis revealed that the soil depth had no significant effect on the proportional differences of aggregates across all sizes (Table 2).
Figure 2.
Water-stable aggregate size distribution of different forest type soils. Note: BMF, broadleaved forest; CBMF, coniferous and broadleaved forest; FF, Chinese fir forest; BF, bamboo forest.
Table 2.
ANOVA analysis (p values) of the different forest types and soil depths affecting aggregate distribution, aggregate stability, and humic substances.
Forest type significantly influenced the MWD (p < 0.001), GMD (p < 0.001), and D (p < 0.05), whereas the soil depth and interactions had no significant effects (Table 3). Compared to the BMF, CBMF, and FF, the MWD and GMD of the BF were significantly decreased across all soil layers (Figure 3A,B). For all soil layers in the various forest types, the MWD and GMD values, in decreasing order, were as follows: FF, CBMF, BMF, and BF. In addition, for all forest types, there were no significant differences in the MWD, GMD, and D between all soil layers (Figure 3A–C).
Table 3.
ANOVA analysis (p values) of the different forest types and soil depths affecting aggregate distribution, aggregate stability, and humic substances.
Figure 3.
Stability characteristics of the soil aggregates of different forest types and soil depths. (A), the mean weight diameter (MWD) of soil aggregates; (B), the mean geometric diameter (GMD) of soil aggregates; (C), the fractal dimension of soil aggregates. Note: BMF, broadleaved forest; CBMF, coniferous and broadleaved forest; FF, Chinese fir forest; BF, bamboo forest. Upper case letters (A, B) indicate significant variations between different forest types in the same soil layer. Lower case letters (a, b) indicate significant variations between different soil layers within the same forest type.
3.3. Distribution of Humic Substances in Bulk Soil
ANOVA analysis indicated that the soil depth significantly influenced humic substances, humic acid, and fulvic acid, whereas forest types and their interactions had no significant effects on humic substances or fulvic acid (Table 4). For the BMF, CBMF, and FF, the presence of humic acid in the 0–10 cm soil layer was significantly higher than in the 20–30 cm soil layer (p < 0.05) (Figure 4(A-1)). Humic acid in the BF was higher than in the other forest types at the 10–20 cm and 20–30 cm soil depths. The fulvic acid in the BMF was significantly lower than for the CBMF (p < 0.05), which decreased gradually with the deeper soil layers (Figure 4(A-2)). Humic substances at the 0–10 cm soil depth was significantly higher than at the 20–30 cm soil depth across all forest types (p < 0.05) (Figure 4(A-3)). Humic acid, as the dominant component of humic substances, comprised more than 59% of the humic substances, except for the BF in the 10–20 cm layer (Figure 4B). Specifically, with increased soil depth, the proportion of humic acid in the BMF, CBMF, and FF increased, while the proportion of fulvic acid decreased (Figure 4B).
Table 4.
ANOVA analysis (p values) of the different forest types and soil depths affecting aggregate distribution, aggregate stability, and humic substances.
Figure 4.
Distribution of humic substances in bulk soils. A, the humic acid (A-1), fulvic acid (A-2), humic substance (A-3) in bulk soil among different forest types and depth; (B), the percentage of humic acid and fulvic acid in bulk soil among different forest types and depth. Note: BMF, broadleaved forest; CBMF, coniferous and broadleaved forest; FF, Chinese fir forest; BF, bamboo forest. Upper case letters (A, B) indicate significant variations between different forest types in the same soil layer. Lower case letters (a, b) indicate significant differences between different soil layers within the same forest type.
3.4. Distribution of Humic Substances in Aggregate Fractions
According to ANOVA analysis (Table 5), the forest type, soil depth, aggregate size, and the interactions between the forest type and soil depth had significant effects on the distribution of aggregate-associated humic substances, humic acid, and fulvic acid (p < 0.05).
Table 5.
ANOVA results for the effects of forest type, soil depth, aggregate size and their interactions in the distribution of aggregate-associated humic substances.
Similar to the humic substances in bulk soils, the concentrations of aggregate-associated humic substances in the four forest types under study were higher at the 0–10 cm soil depth than at the 10–20 cm and 20–30 cm soil depths (Figure 5). For humic acid, there were no significant differences between all forest types at the 0–10 cm soil depth (p < 0.05) (Figure 5B). At the 20–30 cm soil depth, the humic acid in the FF was significantly higher than in the other forest types. At the 0–10 cm soil depth, the humic substances and fulvic acid in the BMF were higher than in the other forest types; however, at the 20–30 cm soil depth, the humic substances and fulvic acid in the BMF were the lowest (Figure 5A,B). The humic substances, humic acid, and fulvic acid in the 0.5–1 mm aggregate size was lower than in the other aggregate sizes for all forest types and soil depths (Figure S1). The humic acids in the >1 mm aggregate size was higher than in the other aggregate sizes for all forest types and soil depths (Figure S1). However, for humic substances and fulvic acid, there were no significant differences between the >1, 0.25–0.5, and <0.25 aggregate sizes for all forest types and soil depths (except for the fulvic acid between the >1 and <0.25 aggregate size in the BMF at the 20–30 cm soil depth) (Figure S1).
Figure 5.
The humic substance (A), humic acids (B) and fulvic acid (C) content in the four aggregate sizes among different forest types and depth Note: BMF, broadleaved forest; CBMF, coniferous and broadleaved forest; FF, Chinese fir forest; BF, bamboo forest. Upper case (A, B) letters indicate significant difference between different forest types in the same soil layer. Lower case letters (a, b) indicate significant variations between different soil layers within the same forest type.
3.5. Correlations Analysis
In accordance with the partial correlation analysis between the physicochemical properties, aggregate stability, and aggregate-associated humic substances in the soil (Figure 6), the pH was found to be significantly negatively correlated with the MWD and GMD (p < 0.05), but not significantly correlated with aggregate-associated humic substances. The MWD and GMD were significantly positively correlated with the BD, but significantly negatively correlated with the TOC, TN, TP, and NCP (p < 0.01). The TOC, TN, TP, and CP were significantly positively correlated with humic substances, humic acid and fulvic acid in the four aggregate sizes, whereas the BD was significantly negatively correlated with humic substances, humic acid and fulvic acid in the four aggregate sizes (p < 0.01).
Figure 6.
Partial correlations between soil aggregate stability, soil aggregate-associated humic substances, and soil physicochemical properties (* p < 0.05; ** p < 0.01). Note: >1 mm, 0.5–1 mm, 0.25–0.5 mm, and <0.25 mm represent humic substance in >1 mm, 0.5–1 mm, 0.25–0.5 mm, and <0.25 mm aggregate size classes, respectively. MWD, mean weight diameter; GMD, geometric mean diameter; D, fractal dimension; TOC, total organic carbon; TN, total nitrogen; BD, bulk density; TP, total capillary porosity; CP, capillary porosity; NCP, non-capillary porosity.
4. Discussion
4.1. Physicochemical Soil Properties
Soil properties are affected by vegetation [33], where the plant type and coverage affect the soil pH [11]. In our study, the conversion from BMF to BF increased the pH of the topsoil, which was not consistent with previous studies [34]. It might be the case that the presence of litter in the BMF, and the decomposition of the litter produced acidic conditions, thus, decreasing the soil pH [35]. With greater soil depth, the pH of the four forest types did not change. This verified that the acidic conditions generated through the decomposition of litter were concentrated only at the soil surface.
Previous investigations indicated that forest conversion altered the bulk density and total capillary porosity of the soil [36]; however, these parameter indices were not markedly changed in this study, which was inconsistent with our first hypothesis. The potential reasons include that the forest has been protected since 1975 without anthropogenic disturbances [17,29], such as mechanical tillage or chemical fertilizers that might affect the physical properties of the soil [35,37]. Furthermore, the change in forest type did not impact the TN stocks. These results were not consistent with previous investigations [20,38,39], in that this study area was also protected. However, the stability of TN did not translate to no changes in the soil N components; the soil N pool and N components were intimately related to the forest type [40,41]. Therefore, further research and experimentation is required to elucidate the specific changes in N components.
4.2. Distribution of Differently Sized Water-Stable Aggregates in Soil
The MWD and GMD can be employed to evaluate the stability of soil [42]. In our study, the stability of the FF soil was the best, with that of BF being the worst. The reason behind this phenomenon was that the canopy density of FF is higher than that of the other forest types, with a greater quantity of litter. There was a large amount of organic matter in the litter, which enhanced the content of water-stable aggregates and promoted their stability. Furthermore, the decrease in BF might have been due to the decrease in organic matter. In previous studies, the conversion from broadleaved forest to bamboo plantation has also decreased the soil resident organic carbon [35,43]. The stable humic substances content also supported this conclusion (Figure 4), which warrants the further study of soil organic carbon in forest conversion.
However, there were some variations in the distribution of different aggregate sizes, which was consistent with our second hypothesis. The conversion from BMF to FF increased the population of the large aggregate size (>1 mm), while it decreased the presence of the small aggregate sizes (0.25–0.5, <0.25 mm). This was consistent with the above conclusion, as the content of >0.25 mm aggregates might be used as an evaluation index of soil aggregate stability [42,44], with the soil stability of the FF being the best. Further, the soil depth had no effects on the soil aggregate size or stability, which was not consistent with other studies [45,46]. The most probable explanation is that the plant root length of the four forest types can reach 30 cm, which might affect the stabilization of aggregates by physically binding or chemically bonding the soil [47,48].
4.3. Distribution of Humic Substances in Bulk Soil
Humic substances comprise one of the predominant cements for soil aggregates [10,49]; however, the results for humic substances were different from that of aggregates. Forest conversion had no effects on humic substances, which was reduced in the deeper soil layers; this was inconsistent with our first hypothesis. These results reveal that the changes in aggregates may be determined by further organic and inorganic adhesives [50,51,52]. Additionally, the accumulation of humic substances in the topsoil might be due to the decomposition of litter, as the organic matter from the decomposition of litter initially resides in the topsoil and is subsequently transported to the subsoil [10,53].
Furthermore, the humic substances content in the deeper soil layers of the bamboo stands was higher than that of the other forest types. Previous studies have demonstrated that bamboo forests contain more fine root biomass than other forest types. Additionally, compared with woody plants (BMF, CBMF, FF), the BF had higher annual growth and turnover rates [54]. Due to the stand age of our study area, the fine roots were mainly distributed in toper soil. Our previous study indicated that the soil texture among forest types and soil layers is not significantly different, though the organic transfer rate from topsoil to subsoil in BF might be faster than in other forest types. Changes in the proportion of humic substances revealed that humic acid was concentrated in the topsoil, whereas fulvic acid was concentrated in the subsoil. It has been demonstrated that the litter distribution can alter humic substances in great extent; although our results showed a high SOC in all forest types, the composition of the litter in different forest types and the associated soil microbial composition are also different [29,55]. The reasons behind both of these phenomena require further research.
4.4. Distribution of Humic Substances in Aggregate Fractions
The distribution of humic substances in aggregate fractions was significantly affected by the forest type, soil depth, and aggregate size, which was consistent with previous studies [10]. In earlier investigations, humic substances were concentrated more in macroaggregates than in microaggregates [56], and the concentration of humic substances also increased with increasing aggregate size [57]. However, for humic substances and fulvic acid, there were no significant differences between the >1, 0.25–0.5, and <0.25 aggregate sizes. It might be that physical protection by soil aggregates has a threshold, which determines the distribution of humic substances in aggregate fractions [12].
Pearson’s correlation analysis showed that the pH affected the soil aggregates; however, it did not affect the soil humic substances in aggregate fractions. This result was consistent with previous studies [10]. Furthermore, the soil bulk density, total capillary porosity, capillary porosity, and non-capillary porosity relating to the soil humic substances in the aggregate fractions might have been related to the entry of air and water into the aggregates. This would affect the decomposition of humic substances, and subsequently influence the distribution of humic substances in the aggregate fractions [58].
5. Conclusions
In summary, forest conversion does not significantly impact the physical properties of woodland soils. The conversion of broadleaved forests to Chinese fir forests increased the amount of large aggregates (>1 mm), while decreasing the small aggregates (0.25–0.5 and <0.25 mm), thereby enhancing soil stability. However, the conversion of broadleaved forest to bamboo forest decreased soil stability. Furthermore, the humic substances content was found to decrease in the deeper soil layers, but had no effect on the size of soil aggregates or soil stability. Forest conversion had no significant effects on the humic acid in the bulk soil; however, it did have considerable influences on the humic substances, humic acid and fulvic acid in aggregate fractions. Finally, the physicochemical properties of the soil were closely related to soil humic substances in the aggregate fractions during the forest conversion period. These results will be useful for enhancing forest management following forest conversion.
Supplementary Materials
The following are available online at https://www.mdpi.com/article/10.3390/f13020339/s1, Figure S1: Distribution of aggregate-associated humic substances; Table S1: Soil particle composition of different forest types and soil layer.
Author Contributions
Conceptualization, M.M. and J.Z.; investigation, J.L. and J.Z.; methodology, Z.J.; software, X.L.; validation, Y.Z.; writing—original draft, C.L. All authors have read and agreed to the published version of the manuscript.
Funding
This research was funded by the Scientific Research Project of Baishanzu National Park (2021KFLY05, 2021ZDLY01), the National Special Fund for Forestry Scientific Research in the Public Interest (Grant No. 201504406), and the Priority Academic Program Development of Jiangsu Higher Education Institutions (PAPD).
Data Availability Statement
The data presented in this study are available on request from the corresponding author.
Acknowledgments
We thank the Feng Yang Mountain Nature Reserve for its assistance with field work.
Conflicts of Interest
The authors declare no conflict of interest.
References
- Xu, P.; Zhu, J.; Wang, H.; Shi, L.; Zhuang, Y.; Fu, Q.; Chen, J.; Hu, H.; Huang, Q. Regulation of soil aggregate size under different fertilizations on dissolved organic matter, cellobiose hydrolyzing microbial community and their roles in organic matter mineralization. Sci. Total Environ. 2021, 755, 142595. [Google Scholar] [CrossRef]
- Bai, Y.; Zhou, Y.; He, H. Effects of rehabilitation through afforestation on soil aggregate stability and aggregate-associated carbon after forest fires in subtropical China. Geoderma 2020, 376, 114548. [Google Scholar] [CrossRef]
- Wei, K.; Chen, Z.H.; Zhang, X.P.; Liang, W.J.; Chen, L.J. Tillage effects on phosphorus composition and phosphatase activities in soil aggregates. Geoderma 2014, 217–218, 37–44. [Google Scholar] [CrossRef]
- Ranatunga, T.D.; Reddy, S.S.; Taylor, R.W. Phosphorus distribution in soil aggregate size fractions in a poultry litter applied soil and potential environmental impacts. Geoderma 2013, 192, 446–452. [Google Scholar] [CrossRef]
- Zhu, G.; Lei, D.; Shangguan, Z. Effects of soil aggregate stability on soil N following land use changes under erodible environment. Agric. Ecosyst. Environ. 2018, 262, 18–28. [Google Scholar] [CrossRef]
- Liu, T.; Wu, X.; Li, H.; Alharbi, H.; Yan, W. Soil organic matter, nitrogen and pH driven change in bacterial community following forest conversion. For. Ecol. Manag. 2020, 477, 118473. [Google Scholar] [CrossRef]
- Kravchenko, A.N.; Wang, A.N.W.; Smucker, A.J.M.; Rivers, M.L. Long-term Differences in Tillage and Land Use Affect Intra-aggregate Pore Heterogeneity. Soil Sci. Soc. Am. J. 2011, 75, 1658–1666. [Google Scholar] [CrossRef] [Green Version]
- Liang, A.; Zhang, Y.; Zhang, X.; Yang, X.; McLaughlin, N.; Chen, X.; Guo, Y.; Jia, S.; Zhang, S.; Wang, L.; et al. Investigations of relationships among aggregate pore structure, microbial biomass, and soil organic carbon in a Mollisol using combined non-destructive measurements and phospholipid fatty acid analysis. Soil Tillage Res. 2019, 185, 94–101. [Google Scholar] [CrossRef]
- Yao, Y.; Liu, J.; Wang, Z.; Wei, X.; Shao, M. Responses of soil aggregate stability, erodibility and nutrient enrichment to simulated extreme heavy rainfall. Sci. Total Environ. 2019, 709, 136150. [Google Scholar] [CrossRef]
- Wei, Y.; Wu, X.; Zeng, R.; Cai, C.; Guo, Z. Spatial variations of aggregate-associated humic substance in heavy-textured soils along a climatic gradient. Soil Tillage Res. 2020, 197, 104497. [Google Scholar] [CrossRef]
- Lucas-Borja, M.E.; Hedo, D.; Yang, Y.; Shen, Y.; Candel-Pérez, D. Nutrient, metal contents and microbiological properties of litter and soil along a tree age gradient in Mediterranean forest ecosystems. Sci. Total Environ. 2018, 650, 749–758. [Google Scholar] [CrossRef] [PubMed]
- Abiven, S.; Menasseri, S.; Chenu, C. The effects of organic inputs over time on soil aggregate stability—A literature analysis. Soil Biol. Biochem. 2009, 41, 1–12. [Google Scholar] [CrossRef]
- Qi, H.; Zhao, Y.; Zhao, X.; Yang, T.; Wei, Z. Effect of manganese dioxide on the formation of humin during different agricultural organic wastes compostable environments: It is meaningful carbon sequestration. Bioresour. Technol. 2019, 299, 122596. [Google Scholar] [CrossRef]
- Pulleman, M.M.; Bouma, J.; Essen, E.V.; Meijles, E.W. Soil Organic Matter Content as a Function of Different Land Use History. Soil Sci. Soc. Am. J. 2000, 64, 689–693. [Google Scholar] [CrossRef] [Green Version]
- Ali, J.; Li, Y.; Wang, X.; Zhao, J.; Xi, N.; Zhang, Z.; Xia, X. Climate-zone-dependent effect mechanism of humic acid and fulvic acid extracted from river sediments on aggregation behavior of graphene oxide. Sci. Total Environ. 2020, 721, 137682. [Google Scholar] [CrossRef] [PubMed]
- Xu, J.; Zhao, B.; Chu, W.; Mao, J.; Olk, D.C.; Xin, X.; Zhang, J. Altered humin compositions under organic and inorganic fertilization on an intensively cultivated sandy loam soil. Sci. Total Environ. 2017, 601–602, 356–364. [Google Scholar] [CrossRef]
- Meng, M.; Chen, H.Y.H.; Lin, J.; Liu, X.; Guo, X.; Yuan, Y.; Zhang, J. Long term forest conversion affected soil nanoscale pores in subtropical China. Catena 2020, 185, 104289. [Google Scholar] [CrossRef]
- Yang, Z.; Chen, S.; Liu, X.; Xiong, D.; Xu, C.; Arthur, M.A.; McCulley, R.L.; Shi, S.; Yang, Y. Loss of soil organic carbon following natural forest conversion to Chinese fir plantation. For. Ecol. Manag. 2019, 449, 117476. [Google Scholar] [CrossRef]
- Luo, X.; Hou, E.; Chen, J.; Li, J.; Wen, D. Dynamics of carbon, nitrogen, and phosphorus stocks and stoichiometry resulting from conversion of primary broadleaf forest to plantation and secondary forest in subtropical China. Catena 2020, 193, 104606. [Google Scholar] [CrossRef]
- Gao, F.; Cui, X.; Sang, Y.; Song, J. Changes in soil organic carbon and total nitrogen as affected by primary forest conversion. For. Ecol. Manag. 2020, 463, 118013. [Google Scholar] [CrossRef]
- Jiang, Y.; Luo, C.; Zhang, D.; Ostle, N.J.; Zhang, G. Radiocarbon evidence of the impact of forest-to-plantation conversion on soil organic carbon dynamics on a tropical island. Geoderma 2020, 375, 114484. [Google Scholar] [CrossRef]
- Luo, X.; Hou, E.; Zhang, L.; Zang, X.; Yi, Y.; Zhang, G.; Wen, D. Effects of forest conversion on carbon-degrading enzyme activities in subtropical China. Sci. Total Environ. 2019, 696, 133968. [Google Scholar] [CrossRef]
- Xu, G.; Long, Z.; Ren, P.; Ren, C.; Hu, S. Differential responses of soil hydrolytic and oxidative enzyme activities to the natural forest conversion. Sci. Total Environ. 2020, 716, 136414. [Google Scholar] [CrossRef] [PubMed]
- Zheng, N.; Yu, Y.; Wang, J.; Chapman, S.J.; Zhang, Y. The conversion of subtropical forest to tea plantation changes the fungal community and the contribution of fungi to N2O production. Environ. Pollut. 2020, 265, 115106. [Google Scholar] [CrossRef] [PubMed]
- Nakayama, M.; Imamura, S.; Taniguchi, T.; Tateno, R. Does conversion from natural forest to plantation affect fungal and bacterial biodiversity, community structure, and co-occurrence networks in the organic horizon and mineral soil? For. Ecol. Manag. 2019, 446, 238–250. [Google Scholar] [CrossRef]
- Bodner, G.; Leitner, D.; Kaul, H.P. Coarse and fine root plants affect pore size distributions differently. Plant Soil 2014, 380, 133–151. [Google Scholar] [CrossRef] [Green Version]
- Guo, X.; Meng, M.; Zhang, J.; Chen, H. Vegetation change impacts on soil organic carbon chemical composition in subtropical forests. Sci. Rep. 2016, 6, 29607. [Google Scholar] [CrossRef] [PubMed]
- Hao, M.; Zhang, J.; Meng, M.; Chen, H.Y.H.; Guo, X.; Liu, S.; Ye, L. Impacts of changes in vegetation on saturated hydraulic conductivity of soil in subtropical forests. Sci. Rep. 2019, 9, 8372. [Google Scholar] [CrossRef] [Green Version]
- Meng, M.; Lin, J.; Guo, X.; Liu, X.; Wu, J.; Zhao, Y.; Zhang, J. Impacts of forest conversion on soil bacterial community composition and diversity in subtropical forests. Catena 2019, 175, 167–173. [Google Scholar] [CrossRef]
- Fang, X.; Zhang, J.; Meng, M.; Guo, X.; Fu, W. Forest-type shift and subsequent intensive management affected soil organic carbon and microbial community in southeastern China. Eur. J. For. Res. 2017, 136, 689–697. [Google Scholar] [CrossRef]
- Sheng, M.; Xiong, K.; Wang, L.; Li, X.; Li, R.; Tian, X. Response of soil physical and chemical properties to Rocky desertification succession in South China Karst. Carbonates Evaporites 2018, 33, 15–28. [Google Scholar] [CrossRef]
- Bach, E.M.; Hofmockel, K.S. Soil aggregate isolation method affects measures of intra-aggregate extracellular enzyme activity. Soil Biol. Biochem. 2014, 69, 54–62. [Google Scholar] [CrossRef]
- Miki, T. Microbe-mediated plant-soil feedback and its roles in a changing world. Ecol. Res. 2012, 27, 509–520. [Google Scholar] [CrossRef]
- Qin, H.; Wang, H.; Strong, P.J.; Li, Y.; Xu, Q.; Wu, Q. Rapid soil fungal community response to intensive management in a bamboo forest developed from rice paddies. Soil Biol. Biochem. 2014, 68, 177–184. [Google Scholar] [CrossRef]
- Wang, H.; Jin, J.; Yu, P.; Fu, W.; Morrison, L.; Lin, H.; Meng, M.; Zhou, X.; Lv, Y.; Wu, J. Converting evergreen broad-leaved forests into tea and Moso bamboo plantations affects labile carbon pools and the chemical composition of soil organic carbon. Sci. Total Environ. 2020, 711, 135225. [Google Scholar] [CrossRef] [PubMed]
- Li, H.; Yao, Y.; Zhang, X.; Zhu, H.; Wei, X. Changes in soil physical and hydraulic properties following the conversion of forest to cropland in the black soil region of Northeast China. Catena 2020, 198, 104986. [Google Scholar] [CrossRef]
- Tejada, M.; Gonzalez, J.L. Influence of two organic amendments on the soil physical properties, soil losses, sediments and runoff water quality. Geoderma 2008, 145, 325–334. [Google Scholar] [CrossRef]
- Wu, J.S.; Jiang, P.K.; Chang, S.X.; Xu, Q.F.; Lin, Y. Dissolved soil organic carbon and nitrogen were affected by conversion of native forests to plantations in subtropical China. Can. J. Soil Sci. 2010, 90, 27–36. [Google Scholar] [CrossRef]
- Gong, C.; Tan, Q.; Liu, G.; Xu, M. Forest thinning increases soil carbon stocks in China. For. Ecol. Manag. 2021, 482, 118812. [Google Scholar] [CrossRef]
- Deng, X.; Yin, J.; Xu, L.; Shi, Y.; Xiong, Y. Effects of abandonment management on soil C and N pools in Moso bamboo forests. Sci. Total Environ. 2020, 729, 138949. [Google Scholar] [CrossRef]
- Cai, X.; Lin, Z.; Penttinen, P.; Li, Y.; Li, Y.; Luo, Y.; Yue, T.; Jiang, P.; Fu, W. Effects of conversion from a natural evergreen broadleaf forest to a Moso bamboo plantation on the soil nutrient pools, microbial biomass and enzyme activities in a subtropical area. For. Ecol. Manag. 2018, 422, 161–171. [Google Scholar] [CrossRef]
- Ai, X.; Wang, L.; Xu, D.; Rong, J.; Ai, S.; Liu, S.; Li, C.; Ai, Y. Stability of artificial soil aggregates for cut slope restoration: A case study from the subalpine zone of southwest China. Soil Tillage Res. 2021, 209, 104934. [Google Scholar] [CrossRef]
- Lin, Z.; Li, Y.; Tang, C.; Luo, Y.; Fu, W.; Cai, X.; Li, Y.; Yue, T.; Jiang, P.; Hu, S. Converting natural evergreen broadleaf forests to intensively managed moso bamboo plantations affects the pool size and stability of soil organic carbon and enzyme activities. Biol. Fertil. Soils 2018, 54, 467–480. [Google Scholar] [CrossRef]
- Chen, Z.; Luo, R.; Huang, Z.; Tu, W.; Ai, Y. Effects of different backfill soils on artificial soil quality for cut slope revegetation: Soil structure, soil erosion, moisture retention and soil C stock. Ecol. Eng. 2015, 83, 5–12. [Google Scholar] [CrossRef]
- Zhu, G.Y.; Shangguan, Z.P.; Deng, L. Variations in soil aggregate stability due to land use changes from agricultural land on the Loess Plateau, China. Catena 2021, 200, 105181. [Google Scholar] [CrossRef]
- Duan, L.; Sheng, H.; Yuan, H.; Zhou, Q.; Li, Z. Land use conversion and lithology impacts soil aggregate stability in subtropical China. Geoderma 2021, 389, 114953. [Google Scholar] [CrossRef]
- Wang, X.; Qi, J.-Y.; Zhang, X.-Z.; Li, S.-S.; Latif Virk, A.; Zhao, X.; Xiao, X.-P.; Zhang, H.-L. Effects of tillage and residue management on soil aggregates and associated carbon storage in a double paddy cropping system. Soil Tillage Res. 2019, 194, 104339. [Google Scholar] [CrossRef]
- Li, Z.; Yang, L.; Lu, W.; Guo, W.; Gong, X.; Xu, J.; Yu, D. Spatial patterns of leaf carbon, nitrogen stoichiometry and stable carbon isotope composition of Ranunculus natans C.A. Mey. (Ranunculaceae) in the arid zone of northwest China. Ecol. Eng. 2015, 77, 9–17. [Google Scholar] [CrossRef]
- Guan, S.; An, N.; Zong, N.; He, Y.; Shi, P.; Zhang, J.; He, N. Climate warming impacts on soil organic carbon fractions and aggregate stability in a Tibetan alpine meadow. Soil Biol. Biochem. 2018, 116, 224–236. [Google Scholar] [CrossRef]
- Zhong, Z.; Wu, S.; Lu, X.; Ren, Z.; Wu, Q.; Xu, M.; Ren, C.; Yang, G.; Han, X. Organic carbon, nitrogen accumulation, and soil aggregate dynamics as affected by vegetation restoration patterns in the Loess Plateau of China. Catena 2021, 196, 104867. [Google Scholar] [CrossRef]
- Xue, B.; Huang, L.; Huang, Y.; Zhou, F.; Li, F.; Kubar, K.A.; Li, X.; Lu, J.; Zhu, J. Roles of soil organic carbon and iron oxides on aggregate formation and stability in two paddy soils. Soil Tillage Res. 2019, 187, 161–171. [Google Scholar] [CrossRef]
- Xue, B.; Huang, L.; Huang, Y.; Ali Kubar, K.; Li, X.; Lu, J. Straw management influences the stabilization of organic carbon by Fe (oxyhydr)oxides in soil aggregates. Geoderma 2020, 358, 113987. [Google Scholar] [CrossRef]
- Xu, X.; Sun, Y.; Sun, J.; Cao, P.; Ruan, H. Cellulose dominantly affects soil fauna in the decomposition of forest litter: A meta-analysis. Geoderma 2020, 378, 114620. [Google Scholar] [CrossRef]
- Wei, X.; Yang, Y.; Shen, Y.; Chen, Z.; Dong, Y.; Wu, F.; Zhang, L. Effects of Litterfall on the Accumulation of Extracted Soil Humic Substances in Subalpine Forests. Front. Plant Sci. 2020, 11, 254. [Google Scholar] [CrossRef]
- Yang, C.; Zhang, X.; Ni, H.; Gai, X.; Zhong, Z. Soil carbon and associated bacterial community shifts driven by fine root traits along a chronosequence of Moso bamboo (Phyllostachys edulis) plantations in subtropical China. Sci. Total Environ. 2021, 752, 142333. [Google Scholar] [CrossRef]
- Bongiovanni, M.; Lobartini, J.C. Particulate organic matter, carbohydrate, humic acid contents in soil macro- and microaggregates as affected by cultivation. Geoderma 2006, 136, 660–665. [Google Scholar] [CrossRef]
- Six, J.; Paustian, K.; Elliott, E.T.; Combrink, C. Soil Structure and Organic Matter I. Distribution of Aggregate-Size Classes and Aggregate-Associated Carbon. Soil Sci. Soc. Am. J. 2000, 64, 681–689. [Google Scholar] [CrossRef]
- Lugato, E.; Simonetti, G.; Morari, F.; Nardi, S.; Berti, A.; Giardini, L. Distribution of organic and humic carbon in wet-sieved aggregates of different soils under long-term fertilization experiment. Geoderma 2010, 157, 80–85. [Google Scholar] [CrossRef]
Publisher’s Note: MDPI stays neutral with regard to jurisdictional claims in published maps and institutional affiliations. |
© 2022 by the authors. Licensee MDPI, Basel, Switzerland. This article is an open access article distributed under the terms and conditions of the Creative Commons Attribution (CC BY) license (https://creativecommons.org/licenses/by/4.0/).





