Douglas Fir Multiproxy Tree-Ring Data Glimpse MIS 5 Environment in the U.S. Pacific Northwest
Abstract
1. Introduction
2. Methods
2.1. Dendrochronology
2.2. Stable Isotopes
2.3. Spectral Analysis
2.4. Radiocarbon Dating
3. Results and Discussion
3.1. Tree-Ring Multi-Parameter Records
3.2. Interpretation of 14C Dating
3.3. Stable Isotopes
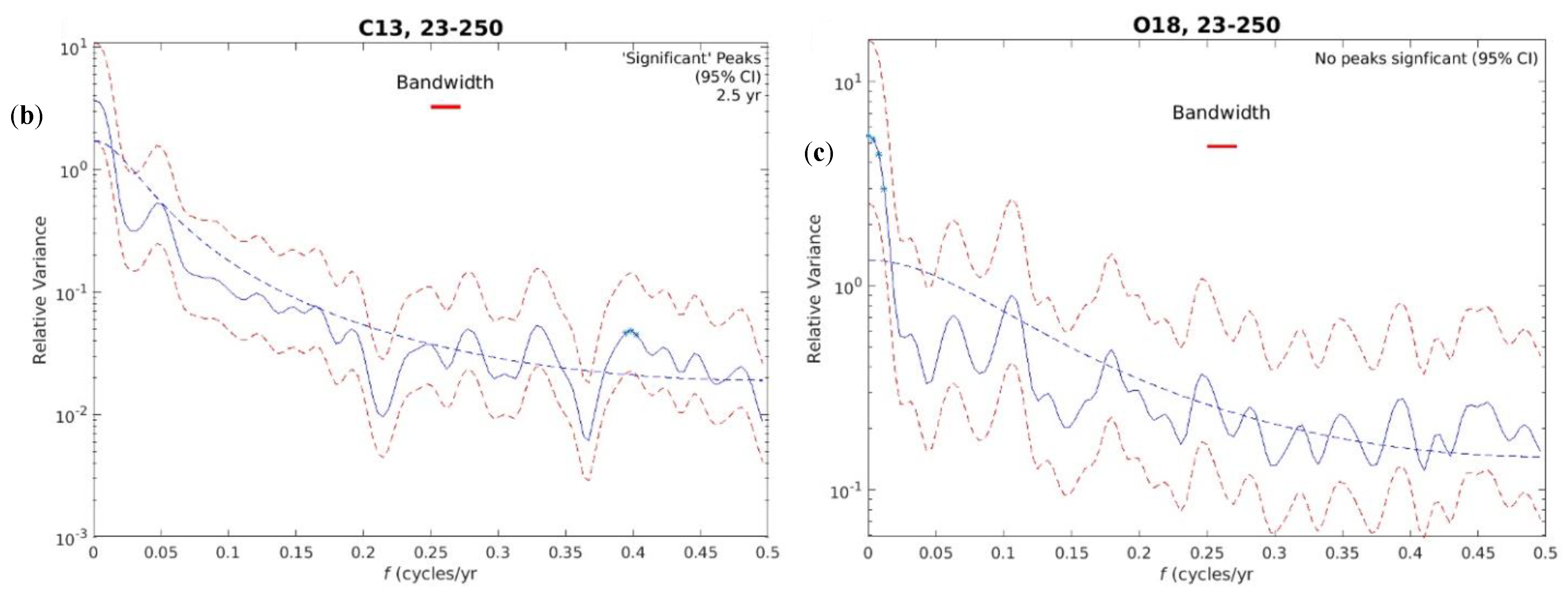
3.4. Spectral Properties of the Tree-Ring Records
4. Conclusions
Supplementary Materials
Author Contributions
Funding
Institutional Review Board Statement
Informed Consent Statement
Data Availability Statement
Acknowledgments
Conflicts of Interest
References
- Kageyama, M.; Braconnot, P.; Harrison, S.P.; Haywood, A.M.; Jungclaus, J.; Otto-Bliesner, B.L.; Peterschmitt, J.-Y.; Abe-Ouchi, A.; Albani, S.; Bartlein, P.J.; et al. PMIP4-CMIP6: The contribution of the Paleoclimate Modelling Intercomparison Project to CMIP6. Geosci. Model Dev. Discuss. 2018, 11, 1033–1057. [Google Scholar] [CrossRef]
- Bradbury, J.P.; Grosjean, M.; Stine, S.; Sylvestre, F. Full and Late Glacial lake records along the PEP1 transect: Their role in developing interhemispheric paleoclimate interactions. In Interhemispheric Climate Linkages; Markgraf, V., Ed.; Academic Press: Cambridge, MA, USA, 2001; pp. 265–292. [Google Scholar]
- Markgraf, V.; Diaz, H.F. The past ENSO record: A synthesis. In El Niño and the Southern Oscillation: Multiscale Variability and Global Impacts; Diaz, H.F., Markgraf, V., Eds.; Cambridge University Press: Cambridge, UK, 2001; pp. 465–488. [Google Scholar]
- Labeyrie, L.; Cole, J.; Alverson, K.; Stocker, T. The History of Climate Dynamics in the Late Quaternary. In Paleoclimate, Global Change and the Future. Global Change—The IGBP Series; Alverson, K.D., Pedersen, T.F., Bradley, R.S., Eds.; Springer: Berlin/Heidelberg, Germany, 2003. [Google Scholar] [CrossRef]
- The Gymnosperm Database. Pseudotsuga Menziesii. Edited by Christopher J. Earle. 2021. Available online: https://www.conifers.org/pi/Pseudotsuga_menziesii.php (accessed on 5 December 2022).
- Brubaker, L.B. Climate change and the origin of old-growth Douglas-fir forests in the Puget Sound Lowland. In Wildlife and Vegetation of Unmanaged Douglas-Fir Forests; Ruggiero, L.F., Aubry, K.B., Carey, A.B., Huff, M.H., Eds.; USDA Forest Service: Washington, DC, USA, 1991; General Technical Report PNW-GTR-285. [Google Scholar]
- Gugger, P.F.; Sugita, S. Glacial populations and postglacial migration of Douglas-fir based on fossil pollen and macrofossil evidence. Quat. Sci. Rev. 2010, 29, 2052–2070. [Google Scholar] [CrossRef]
- Bartlein, P.J.; Anderson, K.H.; Anderson, P.M.; Edwards, M.E.; Mock, C.J.; Thompson, R.S.; Webb, R.S.; Whitlock, C. Paleoclimate simulations for North America over the past 21,000 years: Features of the simulated climate and comparisons with paleoenvironmental data. Quat. Sci. Rev. 1998, 17, 549–585. [Google Scholar] [CrossRef]
- Little, E.L.; Viereck, L.A. Atlas of United States Trees, Volume 1: Conifers and Important Hardwoods; U.S. Dept. of Agriculture, Forest Service: Washington, DC, USA, 1971.
- Zhang, Q.-B.; Hebda, R.J. Abrupt climate change and variability in the past four millennia of the southern Vancouver Island, Canada. Geophys. Res. Lett. 2005, 32, L16708. [Google Scholar] [CrossRef]
- de Graauw, K.K.; Towner, R.H.; Grissino-Mayer, H.D.; Kessler, N.V.; Knighton-Wisor, J.; Steffen, A.; Doerner, J.P. Historical dendroarchaeology of two log structures in the Valles Caldera National Preserve, New Mexico, USA. Dendrochronologia 2014, 32, 336–342. [Google Scholar] [CrossRef]
- Klesse, S.; DeRose, R.J.; Babst, F.; Black, B.A.; Anderegg, L.D.L.; Axelson, J.; Ettinger, A.; Griesbauer, H.; Guiterman, C.H.; Harley, G.; et al. Continental-scale tree-ring-based projection of Douglas-fir growth: Testing the limits of space-for-time substitution. Glob. Change Biol. 2020, 26, 5146–5163. [Google Scholar] [CrossRef]
- Balanzategui, D.; Nordhauß, H.; Heinrich, I.; Biondi, F.; Miley, N.; Hurley, A.G.; Ziaco, E. Wood anatomy of Douglas-fir in Eastern Arizona and its relationship with Pacific Basin climate. Front. Plant Sci. 2021, 12, 1812. [Google Scholar] [CrossRef]
- Brookes, W.; Daniels, L.D.; Copes-Gerbitz, K.; Baron, J.N.; Carroll, A.L. A disrupted historical fire regime in central British Columbia. Front. Ecol. Evol. 2021, 9, 420. [Google Scholar] [CrossRef]
- Klamath Inventory and Monitoring Network, 2017. Coast Douglas-fir (Pseudotsuga menziesii menziesii). Klamath Inventory and Monitoring Network Featured Creature, National Park Service, Dept. of Interior, prepared by Linda Mutch. Available online: https://irma.nps.gov/DataStore/DownloadFile/583841 (accessed on 5 December 2022).
- Tappeiner, J.C.; Huffman, D.; Marshall, D.; Spies, T.A.; Bailey, J.D. Density, ages, and growth rates in old-growth and young-growth forests in coastal Oregon. Can. J. For. Res. 1997, 27, 638–648. [Google Scholar] [CrossRef]
- Hammond, C.M.; Meier, D.; Beckstrand, D. Paleo-landslides in the Tyee Formation and highway construction, central Oregon Coast Range. In Volcanoes to Vineyards: Geologic Field Trips through the Dynamic Landscape of the Pacific Northwest: Geological Society of America Field Guide; O’Connor, J.E., Dorsey, R.J., Madin, I.P., Eds.; Geological Society of America: Boulder, CO, USA, 2009; Volume 15, pp. 481–494. [Google Scholar] [CrossRef]
- Cornforth Consultants. Geotechnical Data Report- Phase 2A. Supplemental Geotechnical Investigation; Pioneer Mountain to Eddyville Section US Route 20 Relocation Design and Construction; Cornforth Consultants, Inc.: Portland, OR, USA, 2008; Available online: https://people.wou.edu/~taylors/g322/HWY20_ODOT_Project.pdf (accessed on 10 October 2022).
- Holmes, R.L. Computer-assisted quality control in tree-ring dating and measurement. Tree-Ring Bull. 1983, 43, 69–75. [Google Scholar]
- Cook, E.R.; Krusic, P.J.; Holmes, R.H.; Peters, K. Program ARSTAN, Version 41d, 2007. Available online: http://www.ldeo.columbia.edu/tree-ring-laboratory (accessed on 10 October 2022).
- McCarroll, D.; Duffy, J.E.; Loader, N.J.; Young, G.H.; Davies, D.; Miles, D.; Bronk Ramsey, C. Are there enormous age-trends in stable carbon isotope ratios of oak tree rings? Holocene 2020, 30, 1637–1642. [Google Scholar] [CrossRef]
- Leavitt, S.W.; Danzer, S.R. Method for batch processing small wood samples to holocellulose for stable-carbon isotope analysis. Anal. Chem. 1993, 65, 87–89. [Google Scholar] [CrossRef]
- Panyushkina, I.P.; Leavitt, S.W.; Thompson, T.A.; Schneider, A.F.; Lange, T. Environment and paleoecology of a 12 ka mid-North American Younger Dryas forest chronicled in tree rings. Quat. Res. 2008, 70, 433–441. [Google Scholar] [CrossRef]
- Sternberg, L.S.L. Oxygen and hydrogen isotope measurements in plant cellulose analysis. In Plant Fibres. Modern Methods of Plant Analysis V; Linskens, H.F., Jackson, J.F., Eds.; Springer: New York, NY, USA, 1989; pp. 1089–1099. [Google Scholar]
- Bloomfield, P. Fourier Analysis of Time Series: An Introduction; Wiley: New York, NY, USA, 2000. [Google Scholar]
- Torrence, C.; Compo, G.P. A practical guide to wavelet analysis. Bull. Am. Meteorol. Soc. 1998, 79, 61–78. [Google Scholar] [CrossRef]
- Grinsted, A.; Moore, J.C.; Jevrejeva, S. Application of cross wavelet transform and wavelet coherence to geophysical time series. Nonlinear Process. Geophys. 2004, 11, 561–566. [Google Scholar] [CrossRef]
- Chatfield, C. The Analysis of Time Series: An Introduction; Chapman and Hall/CRC Press: Boca Raton, FL, USA, 2004. [Google Scholar]
- Black, B.A.; Dunham, J.B.; Blundon, B.W.; Brim-Box, J.; Tepley, A.J. Long-term growth-increment chronologies reveal diverse influences of climate forcing on freshwater and forest biota in the Pacific Northwest. Glob. Change Biol. 2015, 21, 594–604. [Google Scholar] [CrossRef]
- Dziak, R.P.; Black, B.A.; Wei, Y.; Merle, S.G. Assessing local impacts of the 1700 CE Cascadia earthquake and tsunami using tree-ring growth histories: A case study in South Beach, Oregon, USA. Nat. Hazards Earth Syst. Sci. 2021, 21, 1971–1982. [Google Scholar] [CrossRef]
- Kudsk, S.; Olsen, J.; Hodgins, G.; Molnár, M.; Lange, T.; Nordby, J.; Jull, A.J.T.; Varga, T.; Karoff, C.; Knudsen, M. An intercomparison project on 14C from single-year tree rings. Radiocarbon 2021, 63, 1445–1452. [Google Scholar] [CrossRef]
- Slota, P.J.; Jull, A.J.T.; Linick, T.W.; Toolin, L.J. Preparation of small samples for 14C accelerator targets by catalytic reduction of CO. Radiocarbon 1987, 29, 303–306. [Google Scholar] [CrossRef]
- Pigati, J.S.; Quade, J.; Wilson, J.; Jull AJ, T.; Lifton, N.A. Development of a low-level vacuum extraction system for 14C dating of old (40–60ka) samples. Quat. Int. 2007, 166, 4–14. [Google Scholar] [CrossRef]
- Hogg, A.G.; Lowe, D.J.; Hendy, C.H. University of Waikato radiocarbon dates I. Radiocarbon 1987, 29, 263–301. [Google Scholar] [CrossRef]
- Stuiver, M.; Polach, H. Discussion: Reporting of 14C data. Radiocarbon 1977, 19, 355–363. [Google Scholar] [CrossRef]
- McCarroll, D.; Loader, N.J. Stable isotopes in tree rings. Quat. Sci. Rev. 2004, 23, 771–801. [Google Scholar] [CrossRef]
- Leavitt, S.W. Tree-ring C-H-O isotope variability and sampling. Sci. Total Environ. 2010, 408, 5244–5253. [Google Scholar] [CrossRef]
- Imbrie, J.; Hays, J.D.; McIntyre, A.; Mix, A.C.; Morley, J.J.; Pisias, N.G.; Prell, W.L.; Shackleton, N.J. The orbital theory of Pleistocene climate: Support from a revised chronology of the marine δ18O record. In Milankovitch and Climate; Berger, A., Imbrie, J., Hays, J., Kukla, G.J., Saltzman, E., Eds.; D. Reidel Publishing: Boston, MA, USA, 1984; pp. 269–305. [Google Scholar]
- van Meerbeeck, C.J.; Renssen, H.; Roche, D.M. How did Marine Isotope Stage 3 and Last Glacial Maximum climates differ? Perspectives from equilibrium simulations. Clim. Past 2009, 5, 33–51. [Google Scholar] [CrossRef]
- Hart, R.; Peterson, C. Episodically buried forests in the Oregon surf zone. Or. Geol. 1997, 59, 131–144. [Google Scholar]
- Smyth, W.D.; Hart, R.A.; Reimer, P.J. Pleistocene Forests preserved in Oregon coast sediments. Eos Trans. Am. Geophys. Union 2005, 86, 2–3. [Google Scholar] [CrossRef]
- Railsback, L.B.; Gibbard, P.L.; Head, M.J.; Voarintsoa, N.R.G.; Toucanne, S. An optimized scheme of lettered marine isotope substages for the last 1.0 million years, and the climatostratigraphic nature of isotope stages and substages. Quat. Sci. Rev. 2015, 111, 94–106. [Google Scholar] [CrossRef]
- Shin, J.; Nehrbass-Ahles, C.; Grilli, R.; Chowdhry Beeman, J.; Parrenin, F.; Teste, G.; Landais, A.; Schmidely, L.; Silva, L.; Schmitt, J.; et al. Millennial-scale atmospheric CO2 variations during the Marine Isotope Stage 6 period (190–135 ka). Clim. Past 2020, 16, 2203–2219. [Google Scholar] [CrossRef]
- Shackleton, N.J.; Sánchez-Goñi, M.F.; Pailler, D.; Lancelot, Y. Marine Isotope Substage 5e and the Eemian Interglacial. Glob. Planet. Change 2003, 36, 151–155. [Google Scholar] [CrossRef]
- González-Elizondo, M.; Jurado, E.; Návar, J.; González-Elizondo, M.C.; Villanueva, J.; Aguirre, O.; Jiménez, J. Tree-rings and climate relationships for Douglas-fir chronologies from the Sierra Madre Occidental, Mexico: A 1681–2001 rain reconstruction. For. Ecol. Manag. 2005, 213, 39–53. [Google Scholar] [CrossRef]
- Griffin, D.; Meko, D.M.; Touchan, R.; Leavitt, S.W.; Woodhouse, C.A. Latewood chronology development for summer-moisture reconstruction in the U.S. Southwest. Tree-Ring Res. 2011, 67, 87–101. [Google Scholar] [CrossRef]
- Griffin, D.; Woodhouse, C.A.; Meko, D.M.; Stahle, D.W.; Faulstich, H.L.; Carrillo, C.; Touchan, R.; Castro, C.L.; Leavitt, S.W. North American monsoon precipitation reconstructed from tree-ring latewood. Geophys. Res. Lett. 2013, 40, 954–958. [Google Scholar] [CrossRef]
- Restaino, C.M.; Peterson, D.L.; Littell, J. Douglas fir growth decreases with drought. Proc. Natl. Acad. Sci. USA 2016, 113, 9557–9562. [Google Scholar] [CrossRef]
- Rebetz, M.; Saurer, M.; Cherubini, P. To what extent can oxygen isotopes in tree rings and precipitation be used to reconstruct past atmospheric temperature? A case study. Clim. Change 2003, 61, 237–248. [Google Scholar] [CrossRef]
- Panek, J.A.; Waring, R.H. Stable carbon isotopes as indicators of limitations to forest growth imposed by climate stress. Ecol. Appl. 1997, 7, 854–863. [Google Scholar] [CrossRef]
- Lévesque, M.; Saurer, M.; Siegwolf, R.; Eilmann, B.; Brang, P.; Bugmann, H.; Rigling, A. Drought response of five conifer species under contrasting water availability suggests high vulnerability of Norway spruce and European larch. Glob. Change Biol. 2013, 19, 3184–3199. [Google Scholar] [CrossRef]
- Roden, J.S.; Bowling, D.R.; McDowell, N.G.; Bond, B.J.; Ehleringer, J.R. Carbon and oxygen isotope ratios of tree ring cellulose along a precipitation transect in Oregon, United States. J. Geophys. Res. 2005, 110, G02003. [Google Scholar] [CrossRef]
- Barnard, H.R.; Brooks, J.R.; Bond, B.A. Applying the dual-isotope conceptual model to interpret physiological trends under uncontrolled conditions. Tree Physiol. 2012, 32, 1183–1198. [Google Scholar] [CrossRef]
- Lee, E.H.; Beedlow, P.A.; Brooks, J.R.; Tingey, D.T.; Wickham, C.; Rugh, W. Physiological responses of Douglas-fir to climate and forest disturbances as detected by cellulosic carbon and oxygen isotope ratios. Tree Physiol. 2021, 42, 5–25. [Google Scholar] [CrossRef]
- Lee, E.H.; Beedlow, P.A.; Waschmann, R.S.; Cline, S.; Bollman, M.; Wickham, C.; Testa, N. Tree-ring history of Swiss needle cast impact on Douglas-fir growth in Western Oregon: Correlations with climatic variables. J. Plant Sci. Phytopathol. 2021, 5, 76–87. [Google Scholar]
- Stahle, D.W.; Burnette, D.J.; Villanueva, J.; Cerano, J.; Fye, F.K.; Griffin, R.D.; Cleaveland, M.K.; Stahle, D.K.; Edmondson, J.R.; Wolff, K.P. Tree-ring analysis of ancient baldcypress trees and subfossil wood. Quat. Sci. Rev. 2012, 34, 1–15. [Google Scholar] [CrossRef]
- Roig FALe-Quesne, C.; Boninsegna, J.A.; Briffa, K.R.; Lara, A.; Grudd, H.; Jones, P.D.; Villagrán, C. Climate variability 50,000 years ago in mid-latitude Chile as reconstructed from tree rings. Nature 2001, 410, 567–570. [Google Scholar] [CrossRef]
- Leavitt, S.W.; Panyushkina, I.P.; Lange, T.; Wiedenhoeft, A.; Cheng, L.; Hunter, R.D.; Hughes, J.; Pranschke, F.; Schneider, A.F.; Moran, J.; et al. Climate in the Great Lakes region between 14,000 and 4000 years ago from isotopic composition of conifer wood. Radiocarbon 2006, 48, 205–217. [Google Scholar] [CrossRef]
- Panyushkina, I.P.; Leavitt, S.W. Ancient boreal forests under the environmental instability of the glacial to post-glacial transition in the Great Lakes region (14,000–11,000 years BP). Can. J. For. Res. 2013, 43, 1032–1039. [Google Scholar] [CrossRef]
- Reinig, F.; Nievergelt, D.; Esper, J.; Friedrich, M.; Helle, G.; Hellmann, L.; Kromer, B.; Morganti, S.; Pauly, M.; Sookdeo, A.; et al. New tree-ring evidence for the Late Glacial period from the northern pre-Alps in eastern Switzerland. Quat. Sci. Rev. 2019, 186, 215–224. [Google Scholar] [CrossRef]
- Fritts, H.C. Tree Rings and Climate. London, New York and San Francisco; Academic Press: Cambridge, MA, USA, 1976; 567p. [Google Scholar]





| Parameter | TRW (Tree-Ring Width Parameter) | δ13C | Standard Deviation |
|---|---|---|---|
| TRW | 0.19 | ||
| δ13C | 0.10 | 0.47 | |
| δ18O | 0.35 * | 0.18 * | 0.69 |
| Tree | 10-Year | Sample ID | 14C pMC | Minimum Age | Average Age |
|---|---|---|---|---|---|
| Ring Group | with Error | 14C y BP | 14C y BP | ||
| #351A | 230–239 | Wk-38751 | 0.004 ± 0.019 | 62,440 | >62,255 |
| #351B | Wk-38794 | 0.006 ± 0.019 | 62,070 | ||
| #354A | 130–139 | Wk-38752 | −0.021 ± 0.020 | 62,500 | >62,315 |
| #354B | Wk-38795 | −0.020 ± 0.022 | 62,130 | ||
| #358A | 190–199 | Wk-38753 | −0.010 ± 0.020 | 62,800 | >63,430 |
| #358B | Wk-38796 | 0.000 ± 0.017 | 64,060 |
Publisher’s Note: MDPI stays neutral with regard to jurisdictional claims in published maps and institutional affiliations. |
© 2022 by the authors. Licensee MDPI, Basel, Switzerland. This article is an open access article distributed under the terms and conditions of the Creative Commons Attribution (CC BY) license (https://creativecommons.org/licenses/by/4.0/).
Share and Cite
Panyushkina, I.P.; Leavitt, S.W.; Meko, D.M.; Black, B.A.; Jull, A.J.T.; Van de Water, P.; Squire, J.; Testa, N.R. Douglas Fir Multiproxy Tree-Ring Data Glimpse MIS 5 Environment in the U.S. Pacific Northwest. Forests 2022, 13, 2161. https://doi.org/10.3390/f13122161
Panyushkina IP, Leavitt SW, Meko DM, Black BA, Jull AJT, Van de Water P, Squire J, Testa NR. Douglas Fir Multiproxy Tree-Ring Data Glimpse MIS 5 Environment in the U.S. Pacific Northwest. Forests. 2022; 13(12):2161. https://doi.org/10.3390/f13122161
Chicago/Turabian StylePanyushkina, Irina P., Steven W. Leavitt, David M. Meko, Bryan A. Black, A. J. Timothy Jull, Peter Van de Water, Joe Squire, and Nicholas R. Testa. 2022. "Douglas Fir Multiproxy Tree-Ring Data Glimpse MIS 5 Environment in the U.S. Pacific Northwest" Forests 13, no. 12: 2161. https://doi.org/10.3390/f13122161
APA StylePanyushkina, I. P., Leavitt, S. W., Meko, D. M., Black, B. A., Jull, A. J. T., Van de Water, P., Squire, J., & Testa, N. R. (2022). Douglas Fir Multiproxy Tree-Ring Data Glimpse MIS 5 Environment in the U.S. Pacific Northwest. Forests, 13(12), 2161. https://doi.org/10.3390/f13122161

