Sensitivity of Stand-Level Biomass to Climate for Three Conifer Plantations in Northeast China
Abstract
1. Introduction
2. Materials and Methods
2.1. Study Site and Data Description
2.2. Calculation of Variables and Biomass
2.3. Climate Data
2.4. Development of Stand Biomass Model
2.4.1. Basic Model
2.4.2. Climate-Sensitive Stand Biomass Model
2.5. Weight Function for Heteroskedasticity
2.6. Model Evaluation
3. Results
3.1. Model Development and Fitting
3.2. Model Evaluation
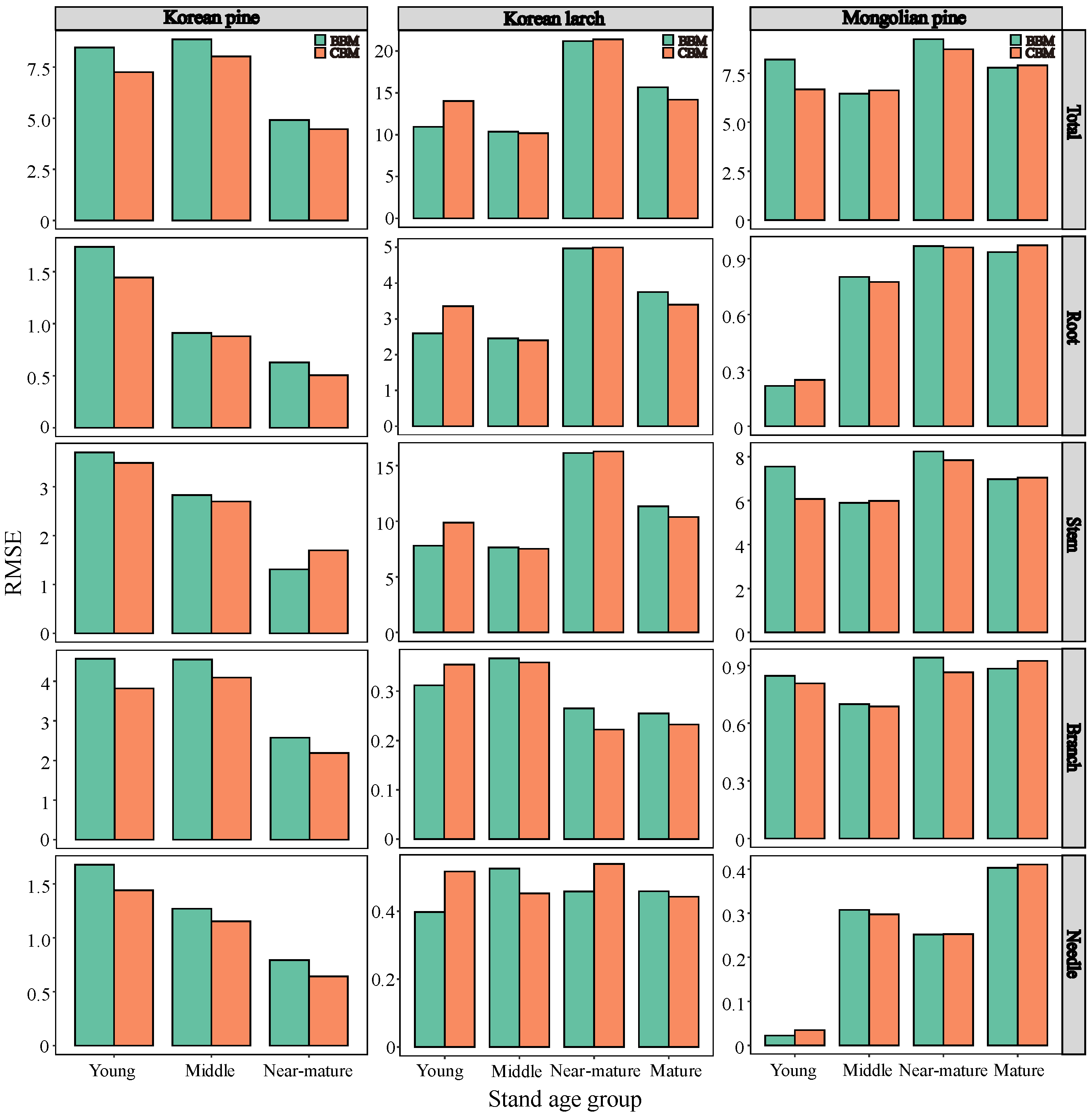
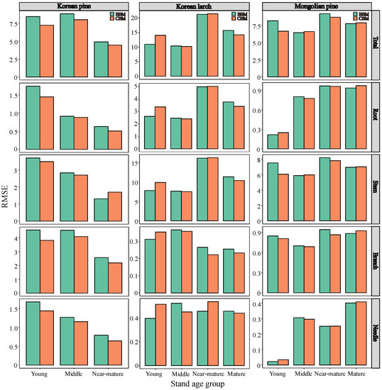
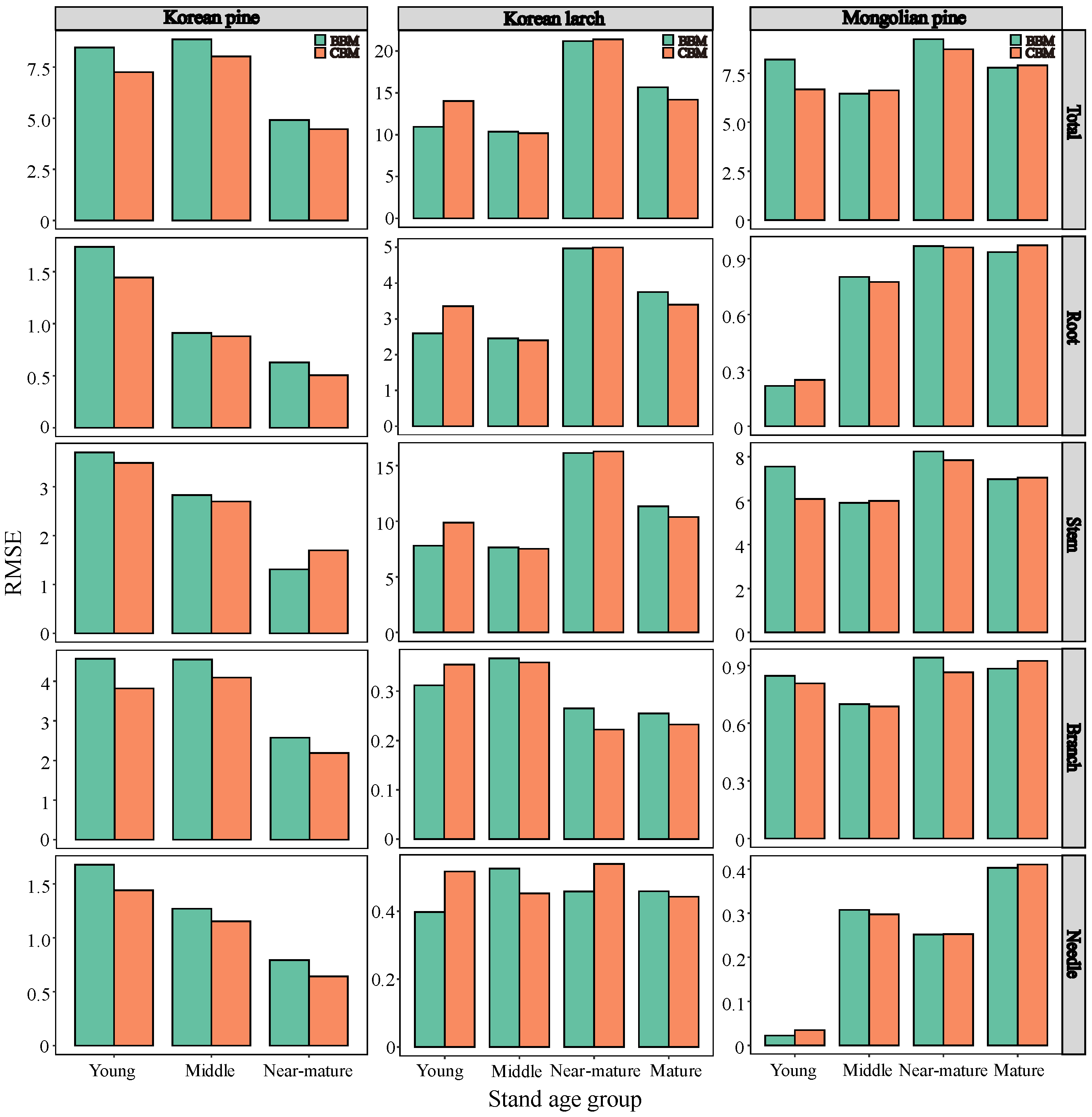
3.3. Comparison of Prediction Accuracy between BBMs and CBMs
3.4. Simulation of Climate Effects on Stand Biomass
4. Discussion
4.1. Determination of Stand Variables in the BBMs
4.2. Performance of BBMs and CBMs
4.3. Effect of Climate on Stand Biomass
4.4. Comparison with Previous Studies
5. Conclusions
Author Contributions
Funding
Data Availability Statement
Acknowledgments
Conflicts of Interest
References
- Lloyd, J.; Farquhar, G.D. Effects of rising temperatures and CO2 on the physiology of tropical forest trees. Philos. Trans. R. Soc. Lond. B Biol. Sci. 2008, 363, 1811–1817. [Google Scholar] [CrossRef] [PubMed]
- Bathurst, J.C.; Iroumé, A.; Cisneros, F.; Fallas, J.; Iturraspe, R.; Novillo, M.G.; Urciuolo, A.; Bièvre, B.D.; Borges, V.G.; Coello, C.; et al. Forest impact on floods due to extreme rainfall and snowmelt in four Latin American environments 1: Field data analysis. J. Hydrol. 2011, 400, 281–291. [Google Scholar] [CrossRef]
- Clark, J.S.; Iverson, L.; Woodall, C.W.; Allen, C.D.; Bell, D.M.; Bragg, D.C.; D’Amato, A.W.; Davis, F.W.; Hersh, M.H.; Ibanez, I.; et al. The impacts of increasing drought on forest dynamics, structure, and biodiversity in the United States. Glob. Chang. Biol. 2016, 22, 2329–2352. [Google Scholar] [CrossRef] [PubMed]
- Pearson, R.G.; Dawson, T.P. Predicting the impacts of climate change on the distribution of species: Are bioclimate envelope models useful? Global Ecol. Biogeogr. 2003, 12, 361–371. [Google Scholar] [CrossRef]
- Gustafson, E.J.; Kern, C.C.; Miranda, B.R.; Sturtevant, B.R.; Bronson, D.R.; Kabrick, J.M. Climate adaptive silviculture strategies: How do they impact growth, yield, diversity and value in forested landscapes? For. Ecol. Manag. 2020, 470, 118208. [Google Scholar] [CrossRef]
- Flannigan, M.D.; Stocks, B.J.; Wotton, B.M. Climate change and forest fires. Sci. Total Environ. 2000, 262, 221–229. [Google Scholar] [CrossRef]
- Fu, L.; Sun, W.; Wang, G. A climate-sensitive aboveground biomass model for three larch species in northeastern and northern China. Trees 2017, 31, 557–573. [Google Scholar] [CrossRef]
- Guo, H.; Lei, X.; You, L.; Zeng, W.; Lang, P.; Lei, Y. Climate-sensitive diameter distribution models of larch plantations in north and northeast China. For. Ecol. Manag. 2022, 506, 119947. [Google Scholar] [CrossRef]
- Temesgen, H.; Affleck, D.; Poudel, K.; Gray, A.; Sessions, J. A review of the challenges and opportunities in estimating above ground forest biomass using tree-level models. Scand. J. For. Res. 2015, 11, 326–335. [Google Scholar] [CrossRef]
- Berenguer, E.; Ferreira, J.; Gardner, T.A.; Aragão, L.E.O.C.; de Camargo, P.B.; Cerri, C.E.; Durigan, M.; Cosme De Oliveira Junior, R.; Vieira, I.C.G.; Barlow, J. A large-scale field assessment of carbon stocks in human-modified tropical forests. Glob. Chang. Biol. 2014, 20, 3713–3726. [Google Scholar] [CrossRef]
- Sajdak, M.; Velázquez-Martí, B.; López-Cortés, I. Quantitative and qualitative characteristics of biomass derived from pruning Phoenix canariensis hort. ex Chabaud. and Phoenix dactilifera L. Renew. Energy 2014, 71, 545–552. [Google Scholar] [CrossRef]
- Hollinger, D.Y. Defining a landscape-scale monitoring tier for the North American Carbon Program. In Field Measurements for Forest Carbon Monitoring Field Measurements for Forest Carbon Monitoring; Hoover, C.M., Ed.; Springer: Berlin/Heidelberg, Germany, 2008; pp. 3–16. [Google Scholar]
- Ter-Mikaelian, M.T.; Korzukhin, M.D. Biomass equations for sixty-five North American tree species. For. Ecol. Manag. 1997, 97, 1–24. [Google Scholar] [CrossRef]
- Návar, J. Allometric equations for tree species and carbon stocks for forests of northwestern Mexico. For. Ecol. Manag. 2009, 257, 427–434. [Google Scholar] [CrossRef]
- Trautenmüller, J.W.; Péllico Netto, S.; Balbinot, R.; Watzlawick, L.F.; Dalla Corte, A.P.; Sanquetta, C.R.; Behling, A. Regression estimators for aboveground biomass and its constituent parts of trees in native southern Brazilian forests. Ecol. Indic. 2021, 130, 108025. [Google Scholar] [CrossRef]
- Parresol, B.R. Additivity of nonlinear biomass equations. Can. J. For. Res. 2001, 31, 865–878. [Google Scholar] [CrossRef]
- Forrester, D.I.; Tachauer, I.H.H.; Annighoefer, P.; Barbeito, I.; Pretzsch, H.; Ruiz-Peinado, R.; Stark, H.; Vacchiano, G.; Zlatanov, T.; Chakraborty, T.; et al. Generalized biomass and leaf area allometric equations for European tree species incorporating stand structure, tree age and climate. For. Ecol. Manag. 2017, 396, 160–175. [Google Scholar] [CrossRef]
- Luo, Y.; Wang, X.; Ouyang, Z.; Lu, F.; Feng, L.; Tao, J. A review of biomass equations for China’s tree species. Earth Syst. Sci. Data 2020, 12, 21–40. [Google Scholar] [CrossRef]
- Hosoda, K.; Iehara, T. Aboveground biomass equations for individual trees of Cryptomeria japonica, Chamaecyparis obtusa and Larix kaempferi in Japan. J. For. Res. 2010, 15, 299–306. [Google Scholar] [CrossRef]
- Kenzo, T.; Himmapan, W.; Yoneda, R.; Tedsorn, N.; Vacharangkura, T.; Hitsuma, G.; Noda, I. General estimation models for above-and below-ground biomass of teak (Tectona grandis) plantations in Thailand. For. Ecol. Manag. 2020, 457, 117701. [Google Scholar] [CrossRef]
- Henry, M.; Picard, N.; Trotta, C.; Manlay, R.; Valentini, R.; Bernoux, M.; Saint-André, L. Estimating tree biomass of sub-Saharan African forests: A review of available allometric equations. Silva Fenn. 2011, 45, 477–569. [Google Scholar] [CrossRef]
- Bi, H.; Turner, J.; Lambert, M.J. Additive biomass equations for native eucalypt forest trees of temperate Australia. Trees 2004, 18, 467–479. [Google Scholar] [CrossRef]
- Parresol, B.R. Assessing tree and stand biomass: A review with examples and critical comparisons. For. Sci. 1999, 45, 573–593. [Google Scholar]
- Snowdon, P. Ratio methods for estimating forest biomass. N. Z. J. For. Sci. 1992, 22, 54–62. [Google Scholar]
- Patrício, M.S.; Monteiro, M.L.; Tomé, M. Biomass Equations for Castanea Sativa High Forest in the Northwest of Portugal. Acta Hort. 2005, 693, 727–732. [Google Scholar] [CrossRef]
- Balboa-Murias, M.Á.; Rodríguez-Soalleiro, R.; Merino, A.; Álvarez-González, J.G. Temporal variations and distribution of carbon stocks in aboveground biomass of radiata pine and maritime pine pure stands under different silvicultural alternatives. For. Ecol. Manag. 2006, 237, 29–38. [Google Scholar] [CrossRef]
- Bi, H.; Long, Y.; Turner, J.; Lei, Y.; Snowdon, P.; Li, Y.; Harper, R.; Zerihun, A.; Ximenes, F. Additive prediction of aboveground biomass for Pinus radiata (D. Don) plantations. For. Ecol. Manag. 2010, 259, 2301–2314. [Google Scholar] [CrossRef]
- Dong, L.; Zhang, L.; Li, F. Evaluation of stand biomass estimation methods for major forest types in the eastern Da Xing’an Mountains, northeast China. Forests 2019, 10, 715. [Google Scholar] [CrossRef]
- Xin, S.; Mahardika, S.B.; Jiang, L. Stand-level biomass estimation for Korean pine plantations based on four additive methods in Heilongjiang province, northeast China. Cerne 2022, 28. Available online: https://cerne.ufla.br/site/index.php/CERNE/article/view/3008 (accessed on 3 August 2022).
- Hyyppä, J.; Hyyppä, H.; Leckie, D.; Gougeon, F.; Yu, X.; Maltamo, M. Review of methods of small-footprint airborne laser scanning for extracting forest inventory data in boreal forests. Int. J. Remote Sens. 2008, 29, 1339–1366. [Google Scholar] [CrossRef]
- Newnham, G.J.; Armston, J.D.; Calders, K.; Disney, M.I.; Lovell, J.L.; Schaaf, C.B.; Strahler, A.H.; Danson, F.M. Terrestrial Laser Scanning for Plot-Scale Forest Measurement. Curr. For. Rep. 2015, 1, 239–251. [Google Scholar] [CrossRef]
- Demol, M.; Verbeeck, H.; Gielen, B.; Armston, J.; Burt, A.; Disney, M.; Duncanson, L.; Hackenberg, J.; Kükenbrink, D.; Lau, A.; et al. Estimating forest above-ground biomass with terrestrial laser scanning: Current status and future directions. Methods Ecol. Evol. 2022, 9, 89. [Google Scholar] [CrossRef]
- Castedo-Dorado, F.; Gómez-García, E.; Diéguez-Aranda, U.; Barrio-Anta, M.; Crecente-Campo, F. Aboveground stand-level biomass estimation: A comparison of two methods for major forest species in northwest Spain. Ann. For. Sci. 2012, 69, 735–746. [Google Scholar] [CrossRef]
- Chen, H.Y.H.; Luo, Y. Net aboveground biomass declines of four major forest types with forest ageing and climate change in western Canada’s boreal forests. Glob. Chang. Biol. 2015, 21, 3675–3684. [Google Scholar] [CrossRef] [PubMed]
- Bennett, A.C.; Penman, T.D.; Arndt, S.K.; Roxburgh, S.H.; Bennett, L.T. Climate more important than soils for predicting forest biomass at the continental scale. Ecography 2020, 43, 1692–1705. [Google Scholar] [CrossRef]
- Keith, H.; Mackey, B.G.; Lindenmayer, D.B. Re-evaluation of forest biomass carbon stocks and lessons from the world’s most carbon-dense forests. Proc. Natl. Acad. Sci. USA 2009, 106, 11635–11640. [Google Scholar] [CrossRef]
- Liu, Y.; Yu, G.; Wang, Q.; Zhang, Y. How temperature, precipitation and stand age control the biomass carbon density of global mature forests. Global Ecol. Biogeogr. 2014, 23, 323–333. [Google Scholar] [CrossRef]
- Vieilledent, G.; Gardi, O.; Grinand, C.; Burren, C.; Andriamanjato, M.; Camara, C.; Gardner, C.J.; Glass, L.; Rasolohery, A.; Rakoto Ratsimba, H.; et al. Bioclimatic envelope models predict a decrease in tropical forest carbon stocks with climate change in Madagascar. J. Ecol. 2016, 104, 703–715. [Google Scholar] [CrossRef]
- Zhang, H.; Wang, K.; Zeng, Z.; Du, H.; Zou, Z.; Xu, Y.; Zeng, F. Large-scale patterns in forest growth rates are mainly driven by climatic variables and stand characteristics. For. Ecol. Manag. 2019, 435, 120–127. [Google Scholar] [CrossRef]
- Leng, W.; He, H.S.; Bu, R.; Dai, L.; Hu, Y.; Wang, X. Predicting the distributions of suitable habitat for three larch species under climate warming in Northeastern China. For. Ecol. Manag. 2008, 254, 420–428. [Google Scholar] [CrossRef]
- He, X.; Lei, X.; Dong, L. How large is the difference in large-scale forest biomass estimations based on new climate-modified stand biomass models? Ecol. Indic. 2021, 126, 107569. [Google Scholar] [CrossRef]
- Peng, W.; Pukkala, T.; Jin, X.; Li, F. Optimal management of larch (Larix olgensis A. Henry) plantations in Northeast China when timber production and carbon stock are considered. Ann. For. Sci. 2018, 75, 513. [Google Scholar] [CrossRef]
- Zheng, L.; Zhao, Q.; Sun, Q.; Liu, L.; Zeng, D. Nitrogen addition elevated autumn phosphorus retranslocation of living needles but not resorption in a nutrient-poor Pinus sylvestris var. Mongolica plantation. For. Ecol. Manag. 2020, 468, 118174. [Google Scholar] [CrossRef]
- Liu, Y.-Y.; Wang, A.-Y.; An, Y.-N.; Lian, P.-Y.; Wu, D.-D.; Zhu, J.-J.; Meinzer, F.C.; Hao, G.-Y. Hydraulics play an important role in causing low growth rate and dieback of aging Pinus sylvestris var. mongolica trees in plantations of Northeast China. Plant Cell Environ. 2018, 41, 1500–1511. [Google Scholar] [CrossRef] [PubMed]
- Zhang, X.; Zhang, X.; Han, H.; Shi, Z.; Yang, X. Biomass Accumulation and Carbon Sequestration in an Age-Sequence of Mongolian Pine Plantations in Horqin Sandy Land, China. Forests 2019, 10, 197. [Google Scholar] [CrossRef]
- Li, F. Forest Mensuration, 4th ed.; China Forestry Publishing House: Beijing, China, 2019. (In Chinese) [Google Scholar]
- Wang, C. Biomass allometric equations for 10 co-occurring tree species in Chinese temperate forests. For. Ecol. Manag. 2006, 222, 9–16. [Google Scholar] [CrossRef]
- Dong, L. Developing Individual and Stand-Level Biomass Equations in Northeast China Forest Area. Ph.D. Thesis, Northeast Forestry University, Harbin, China, 2015. (In Chinese with an English abstract). [Google Scholar]
- Zhang, X.; Chhin, S.; Fu, L.; Lu, L.; Duan, A.; Zhang, J. Climate-sensitive tree height–diameter allometry for Chinese fir in southern China. Forestry 2019, 92, 167–176. [Google Scholar] [CrossRef]
- Mensah, S.; Veldtman, R.; Seifert, T. Allometric models for height and aboveground biomass of dominant tree species in South African Mistbelt forests. South. For. 2017, 79, 19–30. [Google Scholar] [CrossRef]
- Paré, D.; Bernier, P.; Lafleur, B.; Titus, B.D.; Thiffault, E.; Maynard, D.G.; Guo, X. Estimating stand-scale biomass, nutrient contents, and associated uncertainties for tree species of Canadian forests. Can. J. For. Res. 2013, 43, 599–608. [Google Scholar] [CrossRef]
- González-García, M.; Hevia, A.; Majada, J.; Barrio-Anta, M. Above-ground biomass estimation at tree and stand level for short rotation plantations of Eucalyptus nitens (Deane & Maiden) Maiden in Northwest Spain. Biomass Bioenergy 2013, 54, 147–157. [Google Scholar]
- Tang, S.; Lang, K.; Li, H. Statistics and computation of biomathematical models (ForStat Course); Science Press: Beijing, China, 2008. (In Chinese) [Google Scholar]
- Fu, L.; Lei, Y.; Wang, G.; Bi, H.; Tang, S.; Song, X. Comparison of seemingly unrelated regressions with error-in-variable models for developing a system of nonlinear additive biomass equations. Trees 2016, 30, 839–857. [Google Scholar] [CrossRef]
- SAS Institute Inc. SAS/ETS® 9.3. User’s Guide; SAS Institute Inc.: Cary, NC, USA, 2011; p. 3302. [Google Scholar]
- Harvey, A.C. Estimating regression models with multiplicative heteroscedasticity. Econometrica 1976, 44, 461–465. [Google Scholar] [CrossRef]
- Zhao, D.; Kane, M.; Markewitz, D.; Teskey, R.; Clutter, M. Additive tree biomass equations for midrotation loblolly pine plantations. For. Sci. 2015, 61, 613–623. [Google Scholar] [CrossRef]
- Husch, B.; Beers, T.; Kershaw, J., Jr. Forest Mensuration; John Willey & Sons. Inc.: Hoboken, NJ, USA, 2003; p. 443. [Google Scholar]
- Oliver, C.D.; Larson, B.C. Forest Stand Dynamics; Biological Resource Management Series; John Wiley and Sons: McGraw-Hill, New York, NY, USA, 1990. [Google Scholar]
- Helms, J.A. (Ed.) Dictionary of Forestry; Society of American Foresters: Bethesda, MD, USA, 1998. [Google Scholar]
- Burkhart, H.E.; Tomé, M. Modeling Forest Trees and Stands; Springer: Dordrecht, The Netherlands, 2012; ISBN 978-94-007-1597-4. [Google Scholar]
- Calama, S.R.A.; Montero, G. Multilevel linear mixed model for tree diameter increment in stone pine (Pinus pinea): A calibrating approach. Silva. Fenn 2005, 39, 37–54. [Google Scholar] [CrossRef]
- Adame, P.; del Río, M.; Canellas, I. A mixed nonlinear height–diameter model for pyrenean oak (Quercus pyrenaica Willd.). For. Ecol. Manag. 2008, 256, 88–98. [Google Scholar] [CrossRef]
- Nedlo, J.E.; Martin, T.A.; Vose, J.M.; Teskey, R.O. Growing season temperatures limit growth of loblolly pine (Pinus taeda L.) seedlings across a wide geographic transect. Trees 2009, 23, 751–759. [Google Scholar] [CrossRef]
- Zhang, Q.-B.; Hebda, R.J. Variation in radial growth patterns of Pseudotsuga menziesii on the central coast of British Columbia, Canada. Can. J. For. Res. 2004, 34, 1946–1954. [Google Scholar] [CrossRef]
- Poorter, L.; Bongers, F.; Aide, T.M.; Almeyda Zambrano, A.M.; Balvanera, P.; Becknell, J.M.; Boukili, V.; Brancalion, P.H.S.; Broadbent, E.N.; Chazdon, R.L.; et al. Biomass resilience of Neotropical secondary forests. Nature 2016, 530, 211–214. [Google Scholar] [CrossRef]
- Bowman, D.M.J.S.; Williamson, G.J.; Keenan, R.J.; Prior, L.D. A warmer world will reduce tree growth in evergreen broadleaf forests: Evidence from A ustralian temperate and subtropical eucalypt forests. Global Ecol. Biogeogr. 2014, 23, 925–934. [Google Scholar] [CrossRef]
- Gea-Izquierdo, G.; Fonti, P.; Cherubini, P.; Martín-Benito, D.; Chaar, H.; Cañellas, I. Xylem hydraulic adjustment and growth response of Quercus canariensis Willd. to climatic variability. Tree Physiol. 2012, 32, 401–413. [Google Scholar] [CrossRef]
- Luo, D.; Huang, J.-G.; Jiang, X.; Ma, Q.; Liang, H.; Guo, X.; Zhang, S. Effect of climate and competition on radial growth of Pinus massoniana and Schima superba in China’s subtropical monsoon mixed forest. Dendrochronologia 2017, 46, 24–34. [Google Scholar] [CrossRef]
- Gao, Z.; Wang, Q.; Hu, Z.; Luo, P.; Duan, G.; Sharma, R.P.; Ye, Q.; Gao, W.; Song, X.; Fu, L. Comparing independent climate-sensitive models of aboveground biomass and diameter growth with their compatible simultaneous model system for three larch species in China. Int. J. Biomath. 2019, 12, 1950053. [Google Scholar] [CrossRef]
- Lie, Z.; Xue, L.; Jacobs, D.F. Allocation of forest biomass across broad precipitation gradients in China’s forests. Sci. Rep. 2018, 8, 10536. [Google Scholar] [CrossRef]
- Reich, P.B.; Luo, Y.; Bradford, J.B.; Poorter, H.; Perry, C.H.; Oleksyn, J. Temperature drives global patterns in forest biomass distribution in leaves, stems, and roots. Proc. Natl. Acad. Sci. USA 2014, 111, 13721–13726. [Google Scholar] [CrossRef] [PubMed]
- Stegen, J.C.; Swenson, N.G.; Enquist, B.J.; White, E.P.; Phillips, O.L.; Jørgensen, P.M.; Weiser, M.D.; Monteagudo Mendoza, A.; Núñez Vargas, P. Variation in above-ground forest biomass across broad climatic gradients. Global Ecol. Biogeogr. 2011, 20, 744–754. [Google Scholar] [CrossRef]
- Zhang, X.; Bai, X.; Chang, Y.; Chen, Z. Increased sensitivity of Dahurian larch radial growth to summer temperature with the rapid warming in Northeast China. Trees 2016, 30, 1799–1806. [Google Scholar] [CrossRef]
- Fu, L.; Lei, X.; Hu, Z.; Zeng, W.; Tang, S.; Marshall, P.; Cao, L.; Song, X.; Yu, L.; Liang, J. Integrating regional climate change into allometric equations for estimating tree aboveground biomass of Masson pine in China. Ann. For. Sci. 2017, 74, 981. [Google Scholar] [CrossRef]
- Fernández-de-Uña, L.; McDowell, N.G.; Cañellas, I.; Gea-Izquierdo, G. Disentangling the effect of competition, CO2 and climate on intrinsic water-use efficiency and tree growth. J. Ecol. 2016, 104, 678–690. [Google Scholar] [CrossRef]
- Stringham, T.K.; Snyder, K.A.; Snyder, D.K.; Lossing, S.S.; Carr, C.A.; Stringham, B.J. Rainfall Interception by Singleleaf Piñon and Utah Juniper: Implications for Stand-Level Effective Precipitation. Rangel. Ecol. Manag. 2018, 71, 327–335. [Google Scholar] [CrossRef]
- Sardans, J.; Peñuuelas, J.; Estiarte, M.; Prieto, P. Warming and drought alter C and N concentration, allocation and accumulation in a Mediterranean shrubland. Glob. Chang. Biol. 2008, 14, 2304–2316. [Google Scholar] [CrossRef]
- Wu, Z.; Dijkstra, P.; Koch, G.W.; Peñuelas, J.; Hungate, B.A. Responses of terrestrial ecosystems to temperature and precipitation change: A meta-analysis of experimental manipulation. Glob. Chang. Biol. 2011, 17, 927–942. [Google Scholar] [CrossRef]
- Zheng, D.; Hunt Jr, E.R.; Running, S.W. A daily soil temperature model based on air temperature and precipitation for continental applications. Clim. Res. 1993, 2, 183–191. [Google Scholar] [CrossRef]
- Saeed, I.A.M.; Rouse, D.I.; Harkin, J.M.; Smith, K.P. Effects of soil water content and soil temperature on efficacy of metham-sodium against Verticillium dahliae. Plant Dis. 1997, 81, 773–776. [Google Scholar] [CrossRef] [PubMed]
- Payn, T.; Carnus, J.-M.; Freer-Smith, P.; Kimberley, M.; Kollert, W.; Liu, S.; Orazio, C.; Rodriguez, L.; Silva, L.N.; Wingfield, M.J. Changes in planted forests and future global implications. For. Ecol. Manag. 2015, 352, 57–67. [Google Scholar] [CrossRef]








| Stand Variables | Korean Pine (n = 121) | Korean Larch (n = 90) | Mongolian Pine (n = 100) | |||
|---|---|---|---|---|---|---|
| Mean | Range (SDV) | Mean | Range (SDV) | Mean | Range (SDV) | |
| G (m2·ha−1) | 29.7 | 18.8–42.5 (5.2) | 24.7 | 11.0–35.8 (5.2) | 31.2 | 20.2–45.8 (5.4) |
| Ha (m) | 14.7 | 8.5–18.9 (2.2) | 19.6 | 11.5–26.3 (3.3) | 16.3 | 10.1–22.7 (2.4) |
| Age (years) | 45.7 | 19.0–65.0 (11.1) | 39.7 | 14.0–58.0 (14.6) | 34.0 | 18.0–49.0 (7.6) |
| N (trees·ha−1) | 989 | 350–4375 (561) | 981 | 400–2625 (452) | 1244 | 450–3200 (481) |
| Ele (m) | 434 | 567–434 (53) | 430 | 357–510 (40) | 424 | 338–546 (52) |
| Bt (Mg·ha−1) | 140.8 | 65.8–225.0 (32.25) | 144.5 | 35.1–235.7 (44.3) | 143.7 | 83.2–208.1 (26.1) |
| Br (Mg·ha−1) | 28.9 | 15.5–43.9 (5.8) | 30.1 | 6.5–50.0 (9.7) | 25.0 | 15.8–36.4 (4.4) |
| Bs (Mg·ha−1) | 77.6 | 40.3–117.9 (15.6) | 102.0 | 24.0–167.2 (31.7) | 95.4 | 51.4–140.1 (18.2) |
| Bb (Mg·ha−1) | 22.4 | 4.9–48.5 (8.62) | 10.7 | 4.4–15.6 (2.4) | 14.6 | 8.49–21.2 (2.7) |
| Bn (Mg·ha−1) | 12.0 | 4.3–20.1 (3.2) | 1.8 | 0.2–3.9 (0.7) | 8.7 | 5.2–12.8 (1.6) |
| Abbreviation | Descriptions |
|---|---|
| AMT (°C) | Annual Mean Temperature |
| MDR (°C) | Mean Diurnal Range (Mean of monthly (max temp–min temp)) |
| ISO | Isothermality (MDR/TAR) (×100) |
| TS (°C) | Temperature Seasonality (standard deviation ×100) |
| MTWM (°C) | Max Temperature of Warmest Month |
| MTCM (°C) | Min Temperature of Coldest Month |
| TAR (°C) | Temperature Annual Range (MTWM–MTCM) |
| MTWQ (°C) | Mean Temperature of Wettest Quarter |
| MTDQ (°C) | Mean Temperature of Driest Quarter |
| MTWQ2 (°C) | Mean Temperature of Warmest Quarter |
| MTCQ (°C) | Mean Temperature of Coldest Quarter |
| AP (mm) | Annual Precipitation |
| PWM (mm) | Precipitation of Wettest Month |
| PDM (mm) | Precipitation of Driest Month |
| PS (mm) | Precipitation Seasonality (Coefficient of Variation) |
| PWQ (mm) | Precipitation of Wettest Quarter |
| PDQ (mm) | Precipitation of Driest Quarter |
| PWQ2 (mm) | Precipitation of Warmest Quarter |
| PCQ (mm) | Precipitation of Coldest Quarter |
| AHM (°C/mm) | Annual Heat Moisture Index |
| TMIN (°C) | Annual Mean Minimum Temperature |
| TMAX (°C) | Annual Mean Maximum Temperature |
| SR (kJ m−2 day−1) | Solar Radiation |
| WS (m s−1) | Wind Speed |
| WVP (kPa) | Water Vapor Pressure |
| Species | Component | Model | R2 | RMSE | Weight Function |
|---|---|---|---|---|---|
| Korean pine | Total | 0.9355 | 8.1892 | G1.9634 | |
| Root | 0.9620 | 1.1353 | G−0.4090 | ||
| Stem | 0.9659 | 2.8822 | G0.2433 | ||
| Branch | 0.7556 | 4.2597 | G1.7071 | ||
| Needle | 0.8359 | 1.3138 | G−0.2815 | ||
| Korean larch | Total | 0.9032 | 13.7873 | G3.6132 | |
| Root | 0.8852 | 3.2863 | G0.3011 | ||
| Stem | 0.8993 | 10.0680 | G1.8698 | ||
| Branch | 0.9862 | 0.2800 | G−2.3285 | ||
| Needle | 0.6510 | 0.4398 | G3.0351 | ||
| Mongolian pine | Total | 0.9043 | 8.0629 | G5.3985 | |
| Root | 0.9601 | 0.8786 | G−0.7690 | ||
| Stem | 0.8422 | 7.2199 | G4.2850 | ||
| Branch | 0.9006 | 0.8421 | G3.7804 | ||
| Needle | 0.9681 | 0.2771 | G3.0351 |
| Species | Component | Model | R2 | RMSE | Weight Function |
|---|---|---|---|---|---|
| Korean pine | Total | 0.9485 | 7.3229 | G5.0038Ha−2.8167 | |
| Root | 0.9704 | 1.0022 | G3.5035Ha−3.0684 | ||
| Stem | 0.9702 | 2.6972 | G0.1154 | ||
| Branch | 0.8072 | 3.7838 | G3.1098 | ||
| Needle | 0.8694 | 1.1720 | G−0.3619 | ||
| Korean larch | Total | 0.9131 | 13.0636 | G1.2119 | |
| Root | 0.8969 | 3.1140 | G0.2987 | ||
| Stem | 0.9094 | 9.5530 | G1.0015 | ||
| Branch | 0.9871 | 0.2705 | G−1.3461 | ||
| Needle | 0.6472 | 0.4420 | G2.9085Ha−3.7538 | ||
| Mongolian pine | Total | 0.9143 | 7.6292 | G0.7929 | |
| Root | 0.9614 | 0.8638 | G−0.8651 | ||
| Stem | 0.8576 | 6.8581 | G1.5992 | ||
| Branch | 0.9130 | 0.7878 | G−0.5353 | ||
| Needle | 0.9683 | 0.2766 | G−1.4901 |
| Species | Component | BBMs | CBMs | ||||
|---|---|---|---|---|---|---|---|
| R2 | RMSE | RRMSE | R2 | RMSE | RRMSE | ||
| Korean pine | Total | 0.9319 | 8.4145 | 5.9746 | 0.9456 | 7.5212 | 5.3404 |
| Root | 0.9603 | 1.1607 | 4.0129 | 0.9688 | 1.0286 | 3.5562 | |
| Stem | 0.9638 | 2.9720 | 3.8324 | 0.9670 | 2.8380 | 3.6596 | |
| Branch | 0.7412 | 4.3843 | 19.5588 | 0.7991 | 3.8622 | 17.2344 | |
| Needle | 0.8272 | 1.3480 | 11.2762 | 0.8645 | 1.1937 | 9.9852 | |
| Korean larch | Total | 0.8970 | 14.2263 | 9.8430 | 0.9040 | 13.7346 | 9.5028 |
| Root | 0.8779 | 3.3884 | 11.2622 | 0.8863 | 3.2705 | 10.8702 | |
| Stem | 0.8923 | 10.4092 | 10.2084 | 0.8995 | 10.0603 | 9.8662 | |
| Branch | 0.9856 | 0.2860 | 2.6692 | 0.9863 | 0.2782 | 2.5966 | |
| Needle | 0.6230 | 0.4571 | 25.9293 | 0.6265 | 0.4549 | 25.8081 | |
| Mongolian pine | Total | 0.8986 | 8.2977 | 5.7737 | 0.9065 | 7.9672 | 5.5437 |
| Root | 0.9587 | 0.8937 | 3.5685 | 0.9591 | 0.8894 | 3.5512 | |
| Stem | 0.8327 | 7.4341 | 7.7931 | 0.8449 | 7.1578 | 7.5035 | |
| Branch | 0.8949 | 0.8657 | 5.9248 | 0.9053 | 0.8219 | 5.6248 | |
| Needle | 0.9669 | 0.2826 | 3.2603 | 0.9670 | 0.2820 | 3.2537 | |
Publisher’s Note: MDPI stays neutral with regard to jurisdictional claims in published maps and institutional affiliations. |
© 2022 by the authors. Licensee MDPI, Basel, Switzerland. This article is an open access article distributed under the terms and conditions of the Creative Commons Attribution (CC BY) license (https://creativecommons.org/licenses/by/4.0/).
Share and Cite
Xin, S.; Wang, J.; Mahardika, S.B.; Jiang, L. Sensitivity of Stand-Level Biomass to Climate for Three Conifer Plantations in Northeast China. Forests 2022, 13, 2022. https://doi.org/10.3390/f13122022
Xin S, Wang J, Mahardika SB, Jiang L. Sensitivity of Stand-Level Biomass to Climate for Three Conifer Plantations in Northeast China. Forests. 2022; 13(12):2022. https://doi.org/10.3390/f13122022
Chicago/Turabian StyleXin, Shidong, Junjie Wang, Surya Bagus Mahardika, and Lichun Jiang. 2022. "Sensitivity of Stand-Level Biomass to Climate for Three Conifer Plantations in Northeast China" Forests 13, no. 12: 2022. https://doi.org/10.3390/f13122022
APA StyleXin, S., Wang, J., Mahardika, S. B., & Jiang, L. (2022). Sensitivity of Stand-Level Biomass to Climate for Three Conifer Plantations in Northeast China. Forests, 13(12), 2022. https://doi.org/10.3390/f13122022
