Staple Holding Strength of Furniture Frame Joints Constructed of Plywood and Solid Wood
Abstract
:1. Introduction
2. Material and Methods
Materials
3. Results and Discussions
3.1. Material Density
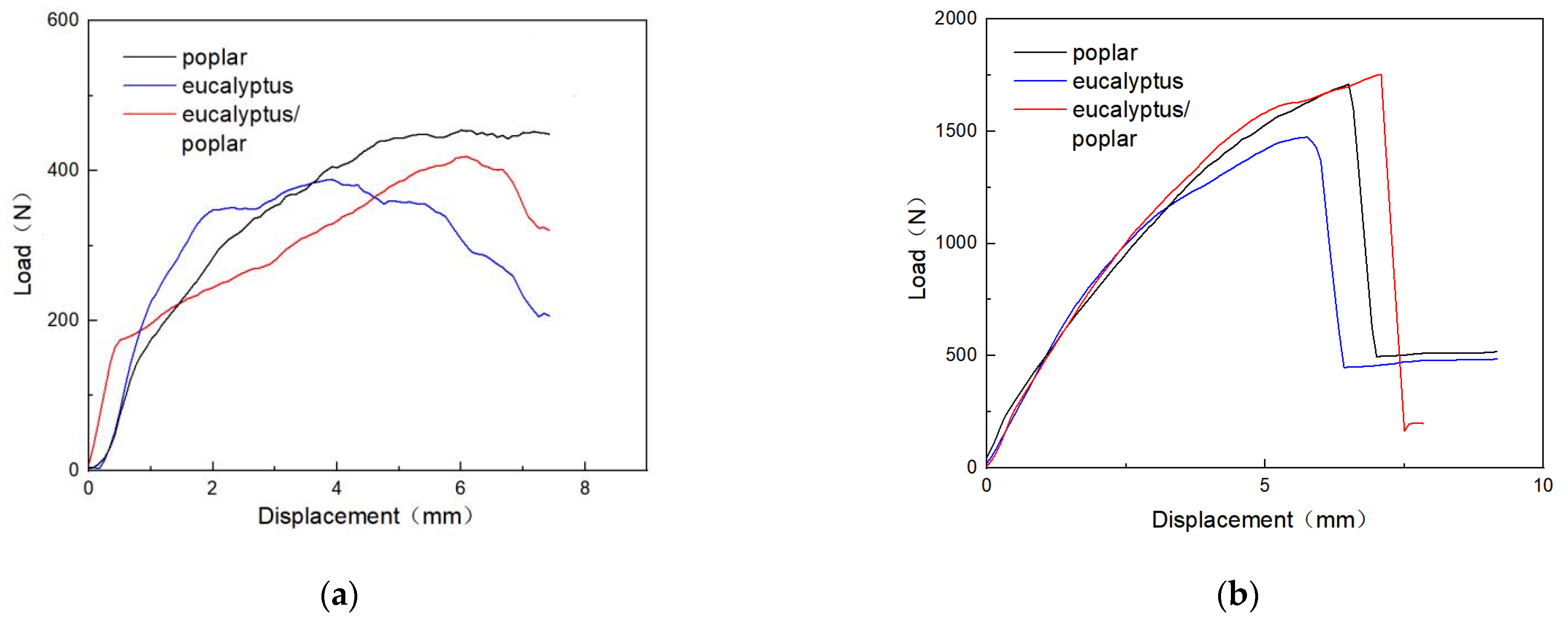
3.2. Edge and Face Withdrawal Strength
3.3. Lateral Edge Holding Strength
4. Conclusions
Author Contributions
Funding
Institutional Review Board Statement
Informed Consent Statement
Data Availability Statement
Conflicts of Interest
References
- Hu, W.; Zhang, J. Study on static lateral load-slip behavior of single-shear stapled connections in plywood for upholstered furniture frame construction. J. Wood Sci. 2021, 67, 40. [Google Scholar] [CrossRef]
- Hu, W.; Liu, N.; Guan, H. Experimental study of the contact forces and deformations of mortise-and-tenon joints considering the fits and grain orientations of the tenon. Bioresources 2019, 14, 8728–8737. [Google Scholar]
- Bingrui, C.; Haiyan, X.; Wengang, H. The design and evaluation of the three-dimensional corner joints used in wooden furniture frames: Experimental and numerical. Bioresources 2022, 17, 2143–2156. [Google Scholar]
- Hu, W.; Liu, Y.; Konukcu, A.C. Study on withdrawal loadresistance of screw in wood-based materials: Experimental and numerical. Wood Mater. Sci. Eng. 2022, 17, 2084699. [Google Scholar]
- Hu, W.; Zhang, J. Bolt-Bearing Yield Strength of Three-Layered Cross-Laminated Timber Treated with Phenol Formaldehyde Resin. Forests 2020, 11, 551. [Google Scholar] [CrossRef]
- Liu, X.Y.; Lv, M.Q.; Liu, M.; Lv, J.F. Repeated humidity cycling’s effect on physical properties of three kinds of wood-based panels. BioResources 2019, 14, 9444–9453. [Google Scholar] [CrossRef]
- Hu, W.; Chen, B.; Zhang, T. Experimental and numerical studies on mechanical behaviors of beech wood under compressive and tensile states. Wood Res. 2021, 66, 27–37. [Google Scholar] [CrossRef]
- Hu, W.; Chen, B. A methodology for optimizing tenon geometry dimensions of mortise-and-tenon joint wood products. Forests 2021, 12, 478. [Google Scholar] [CrossRef]
- Dix, B.; Thole, V.; Marutzky, R. Poplar and eucalyptus wood as raw material for wood-based panels. In Proceedings of the Eurowood Technical Workshop Proceedings, Florence, Italy, 31 May–1 June 1999. [Google Scholar]
- Castro, G.; Paganini, F. Mixed glued laminated timber of poplar and Eucalyptus grandis clones. Eur. J. Wood Wood Prod. 2003, 61, 291–298. [Google Scholar] [CrossRef]
- Hu, W.; Liu, N.; Guan, H. Optimal design of a furniture frame by reducing the volume of wood. Drewno 2019, 62, 85–97. [Google Scholar]
- Hu, W.; Liu, N. Numerical and Optimal Study on Bending Moment Capacity and Stiffness of Mortise-and-Tenon Joint for Wood Products. Forests 2020, 11, 501. [Google Scholar] [CrossRef]
- Erdil, Y.Z.; Kasal, A.; Eckelman, C. Theoretical analysis and design of joints in a representative sofa frame constructed of plywood and oriented strandboard. For. Prod. J. 2008, 58, 62–68. [Google Scholar]
- Yadama, V.; Zhang, J.; Syed, B.; Steele, P. Experimental Analysis of Multiple Staple Joints in Selected Wood and Wood-Based Materials. J. Test. Eval. 2002, 30, 400–407. [Google Scholar]
- Zhang, J.L.; Maupin, M. Face lateral and withdrawal resistances of staple joints in furniture-grade pine plywood. For. Prod. J. 2004, 54, 40–46. [Google Scholar]
- Efe, H.; Zhang, J.L.; Erdil, Y.Z.; Kasal, A. Moment Capacity of Traditional and Alternative T-Type End to Side Grain Furniture Joints. For. Prod. J. 2005, 55, 69–73. [Google Scholar]
- Wang, X.A.; Salenikovich, A.; Mohammad, M.; Echavarria, C.; Zhang, J. Moment capacity of oriented strandboard gusset-plate joints for upholstered furniture. Part 1: Static load. For. Prod. J. 2007, 57, 39–45. [Google Scholar]
- Kamperidou, V.; Vasileiou, V. Bending Capacity of Middle Joints of Upholstered Furniture Frames. DrvnaIndustrija 2012, 63, 255–261. [Google Scholar] [CrossRef]
- Demirel, S. Static and Fatigue Performance of Oriented Strandboard as Upholstered Furniture Frame Stock; Mississippi State University: Mississippi State, MS, USA, 2012. [Google Scholar]
- Demirel, S.; Zhang, J.; Jones, D.; Kitchens, S.; Martin, W.V.; Yu, H. Face lateral shear resistance of one-row multistaple joints in oriented strandboard. For. Prod. J. 2013, 63, 207–212. [Google Scholar] [CrossRef]
- Demirel, S.; Zhang, J.; Tor, O. Bending Moment Resistance of L-Shaped Two-Gusset-Plate Furniture Joints in Oriented Strandboard. Wood Fiber Sci. 2014, 48, 356–367. [Google Scholar]
- Demirel, S.; Kalayci, G. Measuring and estimating shear force of one stapled and one-row multi stapled wood joints. Maderas Cienc. Tecnol. 2020, 22, 395–404. [Google Scholar] [CrossRef]









| Poplar | Eucalyptus | Eucalyptus/Poplar | |
|---|---|---|---|
| Density (g/cm3) | 0.51(3) | 0.59(1) | 0.53(6) |
| Number of Staples | Plywood Specie | ||
|---|---|---|---|
| Poplar | Eucalyptus | Eucalyptus/Poplar | |
| 1 | 854(9) | 814(10) | 725(18) |
| 2 | 1263(7) | 1415(3) | 1380(20) |
| 3 | 1476(8) | 1585(12) | 1256(22) |
| 4 | 1498(5) | 1821(8) | 1275(13) |
| Wood Species | K1 | a | r-Square | p-Value | F1 | K1/F1 |
|---|---|---|---|---|---|---|
| Poplar | 855 | 0.57 | 0.96 | <0.0001 | 854 | 1 |
| Eucalyptus | 887 | 0.42 | 0.95 | <0.0001 | 814 | 1.01 |
| Eucalyptus/poplar | 817 | 0.41 | 0.67 | <0.0001 | 725 | 1.1 |
| Number of Staples | Plywood Species | ||
|---|---|---|---|
| Poplar | Eucalyptus | Eucalyptus/Poplar | |
| 1 | 485(7) | 487(7) | 442(8) |
| 2 | 954(2) | 920(3) | 945(6) |
| 3 | 1357(8) | 1328(7) | 1285(4) |
| 4 | 1761(3) | 1603(5) | 1807(3) |
Publisher’s Note: MDPI stays neutral with regard to jurisdictional claims in published maps and institutional affiliations. |
© 2022 by the authors. Licensee MDPI, Basel, Switzerland. This article is an open access article distributed under the terms and conditions of the Creative Commons Attribution (CC BY) license (https://creativecommons.org/licenses/by/4.0/).
Share and Cite
Miao, Y.; Pan, S.; Xu, W. Staple Holding Strength of Furniture Frame Joints Constructed of Plywood and Solid Wood. Forests 2022, 13, 2006. https://doi.org/10.3390/f13122006
Miao Y, Pan S, Xu W. Staple Holding Strength of Furniture Frame Joints Constructed of Plywood and Solid Wood. Forests. 2022; 13(12):2006. https://doi.org/10.3390/f13122006
Chicago/Turabian StyleMiao, Yanfeng, Sheng Pan, and Wei Xu. 2022. "Staple Holding Strength of Furniture Frame Joints Constructed of Plywood and Solid Wood" Forests 13, no. 12: 2006. https://doi.org/10.3390/f13122006
APA StyleMiao, Y., Pan, S., & Xu, W. (2022). Staple Holding Strength of Furniture Frame Joints Constructed of Plywood and Solid Wood. Forests, 13(12), 2006. https://doi.org/10.3390/f13122006
