Species Composition and Diversity of Middle-Aged Trees among Different Urban Green Space Types and Tree Age Classes in Changchun, Northeast China
Abstract
1. Introduction
2. Materials and Methods
2.1. Study Area
2.2. Habitat Classification of Middle-Aged Trees
2.3. Field Survey
2.4. Data Analysis
3. Results
3.1. Species Composition and Importance Value of Middle-Aged Trees in Changchun
3.2. Structural Characteristics and Distribution of Middle-Aged Trees among Different Types of Green Spaces
3.3. Species Diversity Characteristics of Middle-Aged Trees among Different Types of Green Spaces and Different Age Classes
3.4. PCA Analysis of Species Composition of Middle-Aged Trees among Different Types of Green Spaces and Different Age Classes
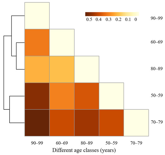
3.5. Species Dissimilarity of Middle-Aged Trees among Different Types of Green Spaces and Different Age Classes
4. Discussion
4.1. General Species Composition of Middle-Aged Trees in Changchun
4.2. Species Composition, Diversity Attributes, and Differentiation of Middle-Aged Trees in Different Types of Green Spaces
4.3. Species Composition, Diversity Attributes, and Differentiation of Middle-Aged Trees in Different Age Classes
5. Conclusions and Implications
Author Contributions
Funding
Conflicts of Interest
Appendix A
| Species Name | Abbreviation | Species Name | Abbreviation |
|---|---|---|---|
| Abies holophylla Maxim. | Abi hol | Phellodendron amurense Rupr. | Phe amu |
| Abies nephrolepis (Trautv.) Maxim | Abi nep | Picea jezoensis | Pic jez |
| Acer mandshuricum Maxim. | Ace man | Picea koraiensis Nakai | Pic kor |
| Acer negundo L. | Ace neg | Picea wilsonii Mast. | Pic wil |
| Acer pictum subsp. mono (Maxim.) H. Ohashi | Ace pic | Pinus densiflora Sieb.et Zucc. | Pin den |
| Acer triflorum Kom. | Ace tri | Pinus koraiensis Siebold et Zuccarini | Pin kor |
| Acer truncatum Bunge | Ace tru | Pinus strobus L. | Pin str |
| Actinidia arguta (Sieb. et Zucc.) Planch. ex Miq. | Act arg | Pinus sylvestris var. mongolica Litv. | Pin syl mon |
| Alnus mandshurica (Callier) Hand.-Mazz. | Alm man | Pinus sylvestris var. sylvestriformis (Takenouchi) Cheng et C. D. Chu | Pin syl syl |
| Amygdalus davidiana (Carr.) C. de Vos | Amy dav | Pinus tabulaeformis Carriere | Pin tab |
| Armeniaca mandshurica (Maxim.) Skv. | Arm man | Pinus tabuliformis var. mukdensis (Uyeki ex Nakai) Uyeki | Pin tab muk |
| Armeniaca sibirica (L.) Lam. | Arm sib | Populus × canadensis Moench | Pop can |
| Betula dahurica Pall. | Bet dah | Populus × xiaohei T. S. Hwang et Liang | Pop xia |
| Betula platyphylla Suk. | Bet pla | Populus alba var. pyramidalis Bunge | Pop alb pyr |
| Celtis bungeana Bl. | Cel bun | Populus davidiana Dode | Pop dav |
| Cerasus tomentosa (Thunb.) Wall | Cer tom | Populus girinensis Skv. | Pop gir |
| Cornus controversa Hemsl. | Cor con | Populus pseudo simonii Kitagawa | Pop pse |
| Crataegus pinnatifida Bge. | Cra pin | Populus simonii Carr. | Pop sim |
| Euonymus maackii Rupr. | Euo maa | Populus ussuriensis Kom. | Pop uss |
| Fraxinus chinensis subsp. rhynchophylla (Hance) E. Murray | Fra chi | Pterocarya stenoptera C. DC. | Pte ste |
| Fraxinus mandshurica Rupr. | Fra man | Pyrus ussuriensis Maxim. | Pyr uss |
| Ginkgo biloba L. | Gin bil | Quercus mongolica Fischer ex Ledebour | Que mon |
| Gleditsia japonica Miq. | Gle jap | Rhamnus ussuriensis J. Vass. | Rha uss |
| Hemiptelea davidii (Hance) Planch. | Hem dav | Robinia pseudoacacia L. | Rob pse |
| Juglans mandshurica Maxim. | Jug man | Salix babylonica L. | Sal bab |
| Juniperus rigida Sieb. et Zucc. | Jun rig | Salix matsudana f. tortuosa (Vilm.) Rehd. | Sal mat tor |
| Kalopanax septemlobus (Thunb.) Koidz | Kal sep | Salix matsudana Koidz | Sal mat |
| Larix gmelinii (Rupr.) Kuzen. | Lar gme | Syringa oblata Lindl. | Syr obl |
| Lavix olgensis Henry | Lar olg | Syringa reticulata subsp. amurensis (Ruprecht) P. S. Green & M. C. Chang | Syr ret |
| Lonicera maackii (Rupr.) Maxim. | Lon maa | Taxus cuspidata Sieb. et Zucc | Tax cus |
| Maackia amurensis Rupr. et Maxim | Maa amu | Tilia amurensis Rupr. | Til amu |
| Magnolia sieboldii | Mag sie | Tilia mandshurica Rupr. et Maxim. | Til man |
| Malus asiatica Nakai | Mal asi | Ulmus davidiana var. japonica (Rehd.) Nakai | Ulm dav |
| Malus baccata (L.) Borkh | Mal bac | Ulmus macrocarpa Hance | Ulm mac |
| Morus alba L. | Mor alb | Ulmus pumila L. | Ulm pum |
| Padus avium Miller | Pad avi | Xanthoceras sorbifolium Bunge | Xan sor |
References
- LY/T2738-2016; Forestry-Industrial Standard of the People’s Republic of China Technical Regulation for Surveyign of Old and Notable Trees. National Forestry and Grassland Administration: Beijing, China, 2016.
- Ma, J.; Wang, Q.L.; Qing, S.Q.; Yu, S.C.; Zhao, Z. Establishment and application of health evaluation system for reserve resources of Platycladus orientalis. J. Northwest For. Univ. 2022, 37, 90–97. [Google Scholar]
- Chen, S.; Guo, H.X.; Guan, K.L.; Deng, Y.W.; Xie, T.F.; Tan, G.W. Characteristics and Distribution Patterns of Ancient Tree Reserve Resources in Luhe County. Chin. J. Trop. Agric. 2022, 42, 49–55. [Google Scholar]
- Lindenmayer, D.B.; Laurance, W.F.; Franklin, J.F. Global decline in large old trees. Science 2012, 338, 1305–1306. [Google Scholar] [CrossRef]
- Sist, P.; Mazzei, L.; Blanc, L.; Rutishauser, E. Large trees as key elements of carbon storage and dynamics after selective logging in the Eastern Amazon. For. Ecol. Manag. 2014, 318, 103–109. [Google Scholar] [CrossRef]
- Ali, A.; Lin, S.-L.; He, J.-K.; Kong, F.-M.; Yu, J.-H.; Jiang, H.-S. Big-sized trees overrule remaining trees’ attributes and species richness as determinants of aboveground biomass in tropical forests. Glob. Change Biol. 2019, 25, 2810–2824. [Google Scholar] [CrossRef] [PubMed]
- Stephenson, N.L.; Das, A.; Condit, R.; Russo, S.; Baker, P.; Beckman, N.G.; Coomes, D.; Lines, E.; Morris, W.; Rüger, N. Rate of tree carbon accumulation increases continuously with tree size. Nature 2014, 507, 90–93. [Google Scholar] [CrossRef]
- Woods, C.L.; Cardelús, C.L.; DeWalt, S.J. Microhabitat associations of vascular epiphytes in a wet tropical forest canopy. J. Ecol. 2015, 103, 421–430. [Google Scholar] [CrossRef]
- Gilhen-Baker, M.; Roviello, V.; Beresford-Kroeger, D.; Roviello, G.N. Old growth forests and large old trees as critical organisms connecting ecosystems and human health. A review. Environ. Chem. Lett. 2022, 20, 1529–1538. [Google Scholar] [CrossRef]
- Chen, Q.J.; Guo, S.; Chen, C.P. Present situation and distribution of ancient and famous tree resources in Guangdong province. For. Investig. Plan. 2019, 44, 172–175+180. [Google Scholar]
- Jim, C.Y.; Zhang, H. Species diversity and spatial differentiation of old-valuable trees in urban Hong Kong. Urban For. Urban Green. 2013, 12, 171–182. [Google Scholar] [CrossRef]
- Fang, Q.C. Investigation and protection of ancient and famous trees in Hefei. Anhui Agric. Sci. Bull. 2020, 26, 72–73+100. [Google Scholar]
- Liu, J.; Zeng, D.H.; Tang, X.; Chen, W.Y. Research and analyze the present situation of ancient and famous tress in San Ya city. Trop. For. 2013, 41, 41–44. [Google Scholar]
- Pan, S.H. A preliminary report on the investigation of ancient and famous trees resources in Dalian area. J. Liaoning For. Sci. Technol. 2017, 2, 44–47. [Google Scholar]
- Wu, M.L.; Lin, L.N. Investigation and analysis of ancient and precious trees in Zhangzhou city. Fujian Sci. Technol. Trop. Crops 2018, 43, 31–38. [Google Scholar]
- Lai, P.Y.; Jim, C.Y.; Tang, G.D.; Hong, W.J.; Zhang, H. Spatial differentiation of heritage trees in the rapidly-urbanizing city of Shenzhen, China. Landsc. Urban Plan. 2019, 181, 148–156. [Google Scholar] [CrossRef]
- Zhang, H.; Lai, P.Y.; Jim, C.Y. Species diversity and spatial pattern of old and precious trees in Macau. Landsc. Urban Plan. 2017, 162, 56–67. [Google Scholar] [CrossRef]
- Lv, M.L.; Jiang, W.H. A case study of of ancient and famous trees and its subsequent resource in Kecheng district of Quzhou City, Zhejiang Province. Acta Agric. Jiangxi 2007, 19, 112–117. [Google Scholar]
- Chen, J. Current situation and countermeasures of protection and management of ancient and famous trees in Gaochun district of Nanjing. J. South China Agric. 2018, 12, 56–58. [Google Scholar]
- Deng, J.H. The measures for conservation and rejuvenation of ancient and valuable trees—A case study of conservation and rejuvenation of the ancient Ficus concinna in Songkou Yongtai. J. Fujian For. 2020, 3, 44–48. [Google Scholar]
- Lai, W.J.; He, X.P.; Mao, Z.C.; Zhang, Y. Status Quo of Ancient and Famous Tree Resources in Ninghai County and Protection and Management Countermeasures. Anhui Agric. Sci. 2018, 46, 73–78. [Google Scholar]
- Lu, A.Z. The Actually and Conservation Technique Study of Ancient and Famous Trees and Its Subsequent Resource in Shanghai District. Master’s Thesis, Zhejiang University, Hangzhou, China, 2008. [Google Scholar]
- Wang, J. Selection and analysis of road greening tree species in Changchun city. J. Flowers 2016, 12, 70–71. [Google Scholar]
- Wang, Y.; Liu, Y.J. Research on the development of urbanization in Changchun. J. Chang. Univ. 2016, 26, 34–38. [Google Scholar]
- Zhao, J.; Zhao, D.; Sheng, L.; Wei, T.; Hui, J.; Yu, J. The actuality of ancient trees and its subsequent resources in Yangzhou City, Jiangsu Province. South China For. Sci. 2017, 45, 65–69. [Google Scholar]
- Lindenmayer, D.B.; Laurance, W.F.; Franklin, J.F.; Likens, G.E.; Banks, S.C.; Blanchard, W.; Gibbons, P.; Ikin, K.; Blair, D.; McBurney, L. New policies for old trees: Averting a global crisis in a keystone ecological structure. Conserv. Lett. 2014, 7, 61–69. [Google Scholar] [CrossRef]
- Le Roux, D.S.; Ikin, K.; Lindenmayer, D.B.; Manning, A.D.; Gibbons, P. Single large or several small? Applying biogeographic principles to tree-level conservation and biodiversity offsets. Biol. Conserv. 2015, 191, 558–566. [Google Scholar] [CrossRef]
- Lindenmayer, D.B.; Laurance, W.F. The unique challenges of conserving large old trees. Trends Ecol. Evol. 2016, 31, 416–418. [Google Scholar] [CrossRef]
- Stagoll, K.; Lindenmayer, D.B.; Knight, E.; Fischer, J.; Manning, A.D. Large trees are keystone structures in urban parks. Conserv. Lett. 2012, 5, 115–122. [Google Scholar] [CrossRef]
- Chang, Y.F.; Wang, Z.H.; Zhang, D.; Zhai, C.; Wang, T.; Yang, Y.H.; Wu, J.J. Analysis of Urban Woody Plant Diversity among Different Administrative Districts and the Enhancement Strategy in Changchun City, China. Sustain. 2022, 14, 7624. [Google Scholar] [CrossRef]
- Jim, C.Y.; Chen, W.Y. Legacy effect of trees in the heritage landscape of a peri-urban golf course. Urban Ecosyst. 2016, 19, 1717–1734. [Google Scholar] [CrossRef]
- Seburanga, J.L.; Zhang, Q. Heritage trees and landscape design in urban areas of Rwanda. J. For. Res. 2013, 24, 561–570. [Google Scholar] [CrossRef]
- Chen, W.Y.; Hua, J. Heterogeneity in resident perceptions of a bio-cultural heritage in Hong Kong: A latent class factor analysis. Ecosyst. Serv. 2017, 24, 170–179. [Google Scholar] [CrossRef]
- Ma, J. Study on Health Diagnosis of Reserve Resources of Platycladus orientalis and Sabina Chinensis. Master’s Thesis, Northwest A&F University, Xianyang, China, 2022. [Google Scholar]
- Zou, F.S. Shanghai Ancient Trees (Subsequent) Resources Present Situation Investigation and Analysis. Master’s Thesis, Shanghai Jiao Tong University, Shanghai, China, 2017. [Google Scholar]
- Li, Y.Y. The evolvement course and enlightenment of urban garden policy in new China. Sichuan For. Sci. Technol. 2012, 33, 104–107. [Google Scholar]
- Changchun Bureau of Statistics. Changchun Statistical Yearbook; Changchun Bureau of Statistics: Changchun, China, 2020. [Google Scholar]
- Jim, C.Y. Spatial differentiation and landscape-ecological assessment of heritage trees in urban Guangzhou (China). Landsc. Urban Plan. 2004, 69, 51–68. [Google Scholar] [CrossRef]
- CJJ/T85-2017; Standard for Classifification of Urban Green Space. Ministry of Housing and Urban-Rural Development of the People’s Republic of China: Beijing, China, 2017.
- Margalef, R. Information theory in ecology. Gen. Syst. 1958, 3, 36–71. [Google Scholar] [CrossRef]
- Mueller-Dombois, D.; Ellenberg, H. Aims and Methods of Vegetation Ecology; John Wiley and Sons: New York, NY, USA, 1974; p. 547. [Google Scholar] [CrossRef]
- Shannon, C.E. The mathematical theory of communication. 1963. MD Comput. 1997, 14, 306–317. [Google Scholar] [CrossRef]
- Pielou, E.C. The measurement of diversity in different types of biological collections. J. Theor. Biol. 1966, 13. [Google Scholar] [CrossRef]
- Yang, Y.B.; Bao, G.D.; Zhang, D.; Zhai, C. Spatial Distribution and Driving Factors of Old and Notable Trees in a Fast-Developing City, Northeast China. Sustain. 2022, 14, 7937. [Google Scholar] [CrossRef]
- McKinney, M.L. Urbanization as a major cause of biotic homogenization. Biol. Conserv. 2006, 127, 247–260. [Google Scholar] [CrossRef]
- Zhang, D.; Zheng, H.; He, X.; Ren, Z.; Zhai, C.; Yu, X.; Mao, Z.; Wang, P. Effects of forest type and urbanization on species composition and diversity of urban forest in Changchun, Northeast China. Urban Ecosyst. 2016, 19, 455–473. [Google Scholar] [CrossRef]
- Qian, S.H.; Qi, M.; Huang, L.; Zhao, L.; Lin, D.; Yang, Y.C. Biotic homogenization of China’s urban greening: A meta-analysis on woody species. Urban For. Urban Green. 2016, 18, 25–33. [Google Scholar] [CrossRef]
- Wania, A.; Kühn, I.; Klotz, S. Plant richness patterns in agricultural and urban landscapes in Central Germany—Spatial gradients of species richness. Landsc. Urban Plan. 2006, 75, 97–110. [Google Scholar] [CrossRef]
- Jim, C.Y.; Liu, H. Species diversity of three major urban forest types in Guangzhou City, China. For. Ecol. Manag. 2001, 146, 99–114. [Google Scholar] [CrossRef]
- Yu, Y.C. Japanese construction of Manchukuo—Take Changchun urban planning as an example. Archit. Cult. 2018, 4, 159–160. [Google Scholar]
- Núñez, M.B.S.; Tarazona, T.; Silla, F.; Delgado, L.E.S. Árboles viejos como indicadores de biodiversidad de vertebrados forestales amenazados de la provincia de Salamanca (España). Pirin. 2016, 171, 20. [Google Scholar] [CrossRef]
- Wang, X.; Svenning, J.-C.; Liu, J.; Zhao, Z.; Zhang, Z.; Feng, G.; Si, X.; Zhang, J. Regional effects of plant diversity and biotic homogenization in urban greenspace–The case of university campuses across China. Urban For. Urban Green. 2021, 62, 127170. [Google Scholar] [CrossRef]







| Types of Green Spaces | Abbreviation | Tree Habitats | Management Department |
|---|---|---|---|
| Park green spaces | PGS | Green spaces of comprehensive park, community park, special park, theme park | Management center of different parks |
| Road green spaces | RGS | Green spaces along railroads, highways, boulevards, roads, and streets | Garden and green department of Changchun city |
| Square green spaces | SGS | Green spaces of city squares and traffic circles | Garden and green department of Changchun city |
| Attached green spaces | AGS | Green spaces attached to government agencies, institutions, hospitals, hotels, public service facilities, schools, colleges, universities, and factories | Management by government agencies, institutions, hospitals, hotels, public service facilities, schools, colleges, universities, and factories |
| Species Name | Abundance | Species Frequency | RF (%) | RA (%) | RD (%) | IV (%) |
|---|---|---|---|---|---|---|
| Lavix olgensis Henry | 5818 | Signature | 3.84 | 26.00 | 8.11 | 12.65 |
| Pinus tabuliformis var. mukdensis (Uyeki ex Nakai) Uyeki | 3552 | Signature | 8.38 | 15.87 | 21.60 | 15.28 |
| Abies holophylla Maxim. | 2035 | Signature | 6.98 | 9.09 | 5.22 | 7.10 |
| Ulmus pumila L. | 1466 | Signature | 6.11 | 6.55 | 11.08 | 7.91 |
| Pinus koraiensis Siebold et Zuccarini | 1349 | Signature | 1.40 | 6.03 | 1.75 | 3.06 |
| Picea koraiensis Nakai | 1347 | Signature | 4.19 | 6.02 | 6.21 | 5.47 |
| Fraxinus mandshurica Rupr. | 1294 | Signature | 2.27 | 5.78 | 3.19 | 3.75 |
| Salix matsudana Koidz | 937 | Signature | 5.93 | 4.19 | 15.23 | 8.45 |
| Phellodendron amurense Rupr. | 639 | Signature | 3.32 | 2.86 | 2.20 | 2.79 |
| Maackia amurensis Rupr. et Maxim | 525 | Signature | 1.75 | 2.35 | 1.19 | 1.76 |
| Pinus sylvestris var. mongolica Litv. | 506 | Signature | 3.49 | 2.26 | 2.24 | 2.66 |
| Armeniaca sibirica (L.) Lam. | 472 | Signature | 6.98 | 2.11 | 2.42 | 3.84 |
| Tilia amurensis Rupr. | 321 | Signature | 2.27 | 1.43 | 2.59 | 2.10 |
| Malus baccata (L.) Borkh | 261 | Signature | 2.44 | 1.17 | 1.44 | 1.68 |
| Salix babylonica L. | 173 | Dominant | 1.75 | 0.77 | 2.70 | 1.74 |
| Padus avium Miller | 165 | Dominant | 2.97 | 0.74 | 1.31 | 1.67 |
| Syringa oblata Lindl. | 123 | Dominant | 0.17 | 0.55 | 0.13 | 0.29 |
| Larix gmelinii (Rupr.) Kuzen. | 113 | Dominant | 0.87 | 0.51 | 0.60 | 0.66 |
| Populus pseudo simonii Kitagawa | 110 | Dominant | 2.44 | 0.49 | 2.43 | 1.79 |
| Quercus mongolica Fischer ex Ledebour | 102 | Dominant | 1.22 | 0.46 | 0.58 | 0.75 |
| Betula platyphylla Suk. | 100 | Dominant | 0.52 | 0.45 | 0.33 | 0.43 |
| 9 Common | 633 | Common | 14.49 | 2.83 | 5.21 | 7.51 |
| 15 Occasional | 266 | Occasional | 8.38 | 1.19 | 1.65 | 3.74 |
| 19 Rare | 61 | Rare | 6.46 | 0.27 | 0.49 | 2.41 |
| 8 Solitary | 8 | Solitary | 1.40 | 0.04 | 0.10 | 0.51 |
| Type of Green Space | Preponderant Species | IV (%) | Preponderant Species | IV (%) |
|---|---|---|---|---|
| RGS | Lavix olgensis | 40.72 | Pinus tabuliformis var. mukdensis | 17.96 |
| SGS | Pinus tabuliformis var. mukdensis | 27.24 | Populus xiaohei | 12.08 |
| AGS | Pinus tabuliformis var. mukdensis | 13.98 | Salix matsudana | 13.69 |
| PGS | Pinus tabuliformis var. mukdensis | 15.08 | Lavix olgensis | 12.81 |
| Dissimilarity | PGS | AGS | RGS |
|---|---|---|---|
| AGS | Lar olg (13.36), Fra man (10.42), Pin kor (5.71), Phe amu (4.68), Sal mat (4.51) | ||
| RGS | Lar olg (9.60), Pin kor (8.45), Ulm pum (7.68), Pic kor (6.90), Abi hol (6.70) | Lar olg (17.62), Fra man (19.47), Abi hol (8.54), Phe amu (6.00), Ulm pum (5.03) | |
| SGS | Syr obl (10.75), Lar olg (8.22), Pin kor (6.82), Pic kor (5.52), Pop xia (5.46) | Syr obl (11.78), Far man (7.28), Sal mat (6.99), Phe amu (6.26), Pop xia (5.27) | Lar olg (17.31), Syr obl (12.08), Pop xia (6.44), Abi hol (6.20), Pin tab muk (5.08) |
| Dissimilarity | Age Class 50–59 Years | Age Class 60–69 Years | Age Class 70–79 Years | Age Class 80–89 Years |
|---|---|---|---|---|
| Age Class 60–69 years | Lar olg (9.46), Pin kor (8.78), Fra man (7.28), Pin tab muk (6.83), Ulm pum (6.78) | |||
| Age Class 70–79 years | Lar olg (11.59), Abi hol (9.57), Pin kor (8.80), Fra man (8.00), Phe amu (4.41) | Lar olg (21.16), Ulm pum (6.35), Abi hol (6.29), Arm sib (5.29), Sal mat (5.02) | ||
| Age Class 80–89 years | Ulm pum (9.84), Lar olg (8.12), Pin kor (7.14), Abi hol (6.83), Fra man (5.47) | Pin tab muk (13.25), Ace pic (8.46), Ulm pum (8.20), Abi hol (6.90), Phe amu (6.00) | Lar olg (19.22), Ulm pum (10.15), Sal mat (6.33), Ace pic (5.40), Phe amu (5.10) | |
| Age Class 90–99 years | Ulm pum (7.80), Lar log (7.76), Pin kor (6.60), Abi hol (6.14), Sal mat (4.37) | Pin tab muk (11.98), Abi hol (5.92), Ulm pum (5.61), Sal mat (5.27), Mal bac (5.16) | Lar olg (18.60), Ulm pum (8.98), Sal mat (7.69), Pin syl mon (5.47), Pin tab muk (5.15) | Ace pic (5.60), Phe amu (5.28), Mal bac (4.92), Gle jap (4.90), Sal bab (4.56) |
Publisher’s Note: MDPI stays neutral with regard to jurisdictional claims in published maps and institutional affiliations. |
© 2022 by the authors. Licensee MDPI, Basel, Switzerland. This article is an open access article distributed under the terms and conditions of the Creative Commons Attribution (CC BY) license (https://creativecommons.org/licenses/by/4.0/).
Share and Cite
Yang, Y.; Sheng, X.; Zhai, C.; Wang, Z.; Wu, J.; Zhang, D. Species Composition and Diversity of Middle-Aged Trees among Different Urban Green Space Types and Tree Age Classes in Changchun, Northeast China. Forests 2022, 13, 1997. https://doi.org/10.3390/f13121997
Yang Y, Sheng X, Zhai C, Wang Z, Wu J, Zhang D. Species Composition and Diversity of Middle-Aged Trees among Different Urban Green Space Types and Tree Age Classes in Changchun, Northeast China. Forests. 2022; 13(12):1997. https://doi.org/10.3390/f13121997
Chicago/Turabian StyleYang, Yibo, Xuewen Sheng, Chang Zhai, Zihan Wang, Junjie Wu, and Dan Zhang. 2022. "Species Composition and Diversity of Middle-Aged Trees among Different Urban Green Space Types and Tree Age Classes in Changchun, Northeast China" Forests 13, no. 12: 1997. https://doi.org/10.3390/f13121997
APA StyleYang, Y., Sheng, X., Zhai, C., Wang, Z., Wu, J., & Zhang, D. (2022). Species Composition and Diversity of Middle-Aged Trees among Different Urban Green Space Types and Tree Age Classes in Changchun, Northeast China. Forests, 13(12), 1997. https://doi.org/10.3390/f13121997

