Multifactorial Analysis of the Axle Load of Truck Sets during the Transport of Sawmill By-Products
Abstract
1. Introduction
2. Materials and Methods
2.1. Study Location and Truck Measurements
2.2. Characterization of the Sawmill by-Product Materials and the Determination of the Load and Trailer Volume
- Wood chips: Material coming from the chipping of the round wood, wood residues in sawmills, other fresh wood material in storage and processing centers. Bark content is allowed if it comes from the normal processing or chipping wood with bark. Max 30%. Optimal sizes: 25–30 mm length, 15–25 mm width, 5–10 mm thickness. Green parts of the tree, branches with leaves and needles are not allowed (Figure 1a).
- Sawdust: Fresh and clean softwood sawdust, from the sawmilling process. Fresh or dry material, as a result of sawing logs with circular saws or bandsaws. Bark content is allowed if it comes from the normal process of sawing wood with bark. Old and rotten sawdust is unacceptable. Content of stones, earth, mud, charcoal (after fires)—is not allowed (Figure 1b).
- Recycled wood: Recycled wood fibre—Grade A and B recycled wood is sourced from both commercial wood waste and civic amenity sites (Figure 1d).
- Slabs: slabs are pieces of unedged lumber resulted from the flanks of the log, with the interior side completed sawn, and the other side sawn on half of its length, with the length of at least 1 m and the width a maximum of 6 cm (Figure 1c).
2.3. Measurement of the Total Gross Vehicle Weight of the Transport Set, Tare and Load Weight
2.4. Measurement of the Axle Loads
2.5. Statistical Analyses
3. Results
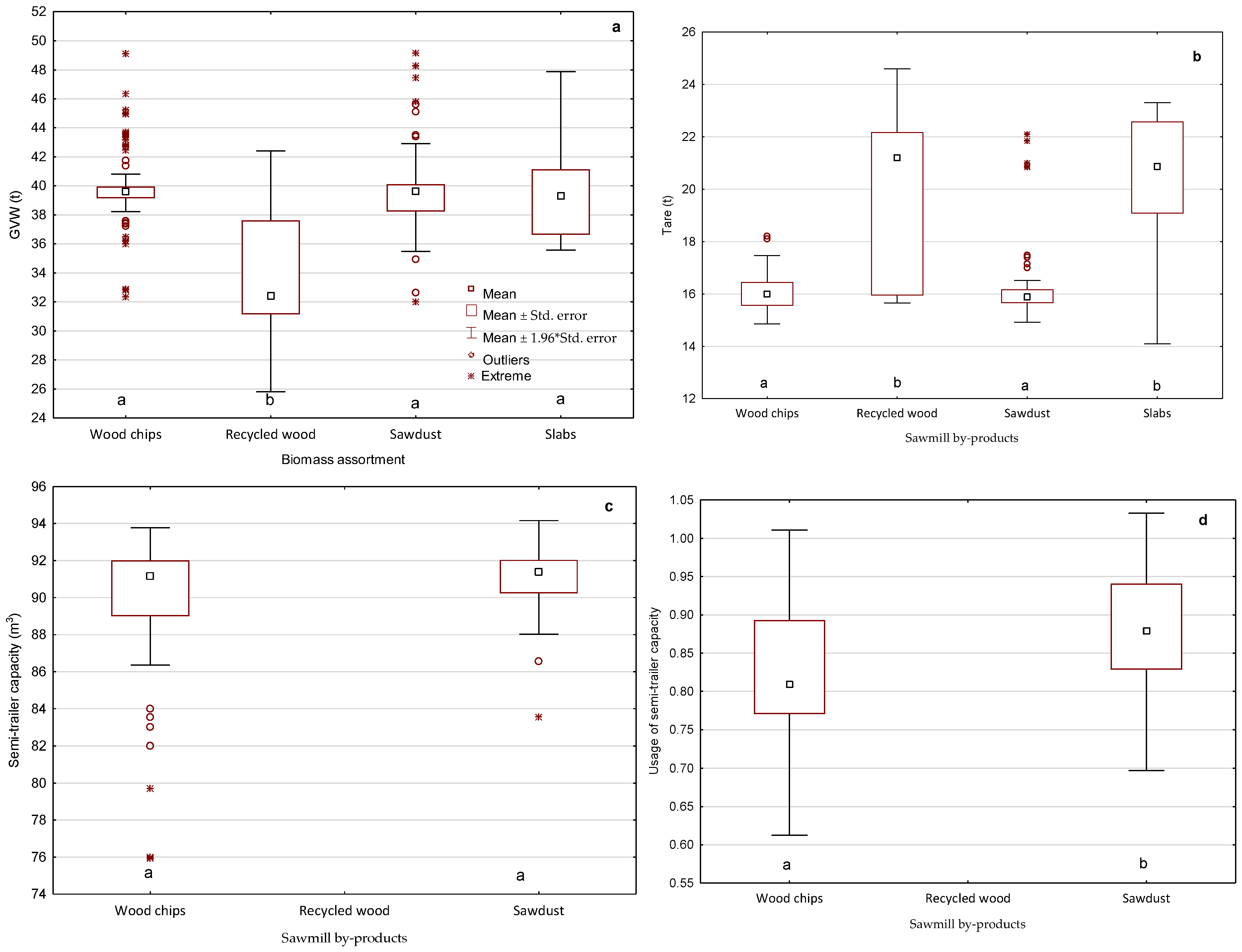
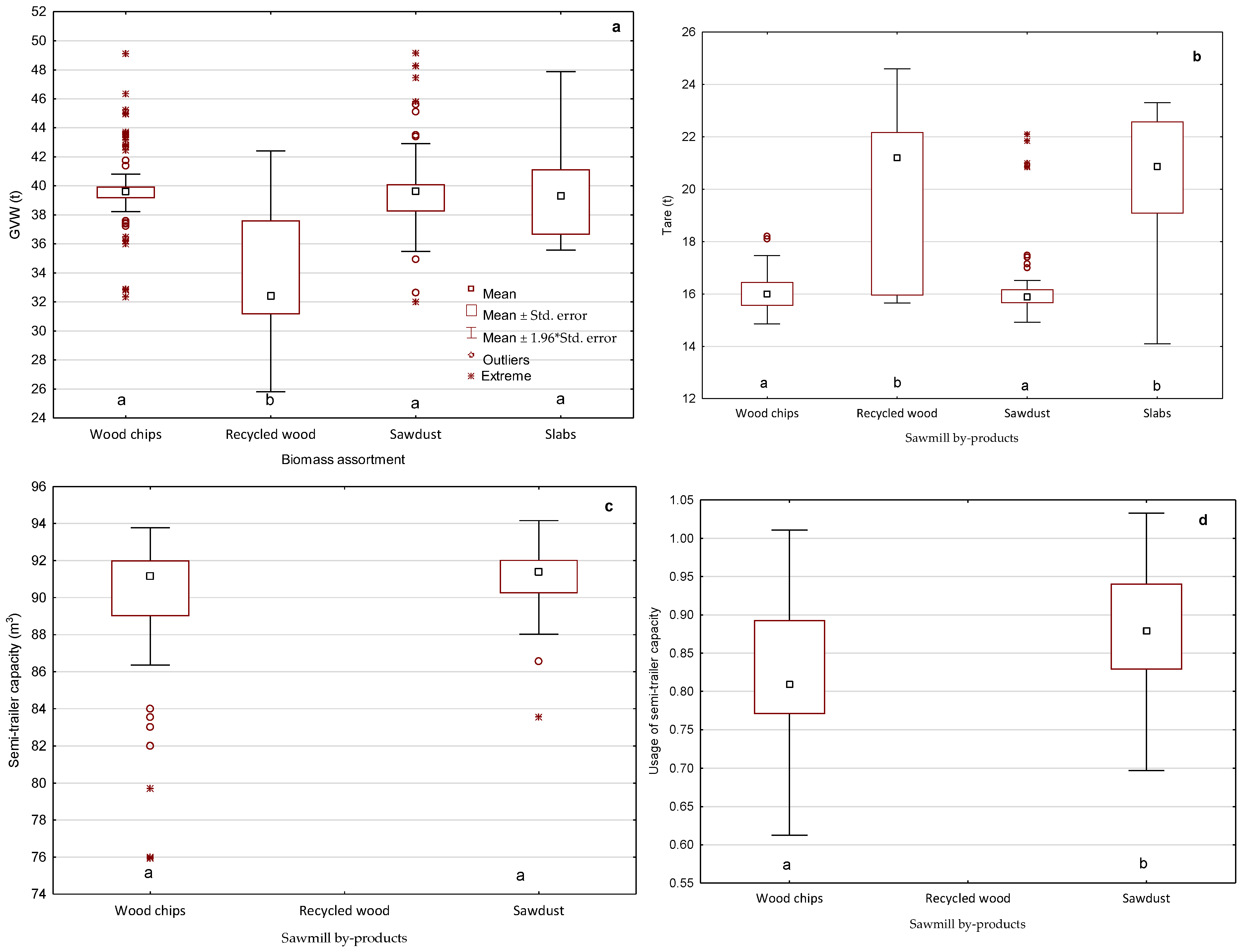
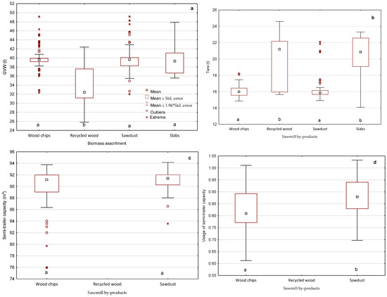
3.1. Analysis of the Parameters Characterizing the Transports of Sawmill By-Products
3.2. Static Load on the Individual Axle
3.3. Analysis of the Axle Load of the Transport Set, Depending on the Investigated Parameter
3.4. Distribution of the Total Gross Vehicle Weight of the Transport Set Per Axle
3.5. Correlations between the Axle Load and the Gross Vehicle Weight
4. Discussion
5. Conclusions
Author Contributions
Funding
Data Availability Statement
Conflicts of Interest
Appendix A
| Axle Set | Permissible Load for the Axle or Axle Unit (t) | |||
|---|---|---|---|---|
| single no drive axle | 10 | |||
| single drive axle | 11.5 | |||
| Distances (d) between the component axles (m) | d < 1.0 | 1.0 ≤ d < 1.3 | 1.3 ≤ d < 1.8 | 1.8 ≤ d |
| double axle trailers and semi-trailers | 11 | 16 | 18 | 20 |
| double drive axle | 11.5 | 16 | 18 (19) | |
| two axles of the engine vehicles, where one component axle is a driving axle | 11.5 | 16 | ||
| Distances (d) between the component axles (m) | d < 1.3 | 1.3 < d ≤ 1.4 | 1.4 ≤ d < 1.8 | |
| triple axle trailers and semi-trailers | 21 | 24 | 27 | |
| three axles of the engine vehicles, where one component axle is a driving axle | 21 | 24 | 27 | |
Appendix B

References
- Mirski, R.; Dukarska, D.; Derkowski, A.; Czarnecki, R.; Dziurka, D. By-products of sawmill industry as raw materials for manufacture of chip-sawdust boards. J. Build. Eng. 2020, 32, 101460. [Google Scholar] [CrossRef]
- Mahmudi, H.; Flynn, P. Rail vs truck transport of biomass. Appl. Biochem. Biotechnol. 2006, 129, 88–103. [Google Scholar] [CrossRef] [PubMed]
- Moskalik, T.; Gendek, A. Production of Chips from Logging Residues and Their Quality for Energy: A Review of European Literature. Forests 2015, 10, 262. [Google Scholar] [CrossRef]
- Väätäinen, K.; Anttila, P.; Eliasson, L.; Enström, J.; Laitila, J.; Prinz, R.; Routa, J. Roundwood and Biomass Logistics in Finland and Sweden. Croat. J. For. Eng. 2021, 42, 24. [Google Scholar] [CrossRef]
- Flisberg, P.; Frisk, M.; Ronnqvist, M. FuelOpt: A decision support system for forest fuel logistics. J. Oper. Res. Soc. 2012, 63, 1600–1612. [Google Scholar] [CrossRef]
- Windisch, J.; Väätäinen, K.; Anttila, P.; Nivala, M.; Laitila, J.; Asikainen, A.; Sikanen, L. Discrete-event simulation of an information-based raw material allocation process for increasing the efficiency of an energy wood supply chain. Appl. Energy 2015, 149, 315–325. [Google Scholar] [CrossRef]
- Eriksson, A.; Eliasson, L.; Sikanen, L.; Hansson, P.-A.; Jirjis, R. Evaluation of delivery strategies for forest fuels applying a model for Weather-driven Analysis of Forest Fuel Systems (WAFFS). Appl. Energy 2017, 188, 420–430. [Google Scholar] [CrossRef]
- Wolfsmayr, U.J.; Rauch, P. The primary forest fuel supply chain: A literature review. Biomass Bioenergy 2014, 60, 203–221. [Google Scholar] [CrossRef]
- Stolarski, M.J.; Stachowicz, P.; Sieniawski, W.; Krzyzaniak, M.; Olba-Zięty, E. Quality and Delivery Costs of Wood Chips by Railway vs. Road Transport. Energies 2021, 14, 6877. [Google Scholar] [CrossRef]
- Koirala, A.; Kizhal, A.R.; Roth, B.E. Perceiving Major Problems in Forest Products Transportation by Trucks and Trailers: A Cross-sectional Survey. Eur. J. Forest Eng. 2017, 3, 23–34. [Google Scholar]
- Ghaffariyan, M.R.; Acuna, M.; Brown, M. Analysing the effect of five operational factors on forest residue supply chain costs: A case study in Western Australia. Biomass Bioenergy 2013, 59, 486–493. [Google Scholar] [CrossRef]
- Tymendorf, Ł.; Trzciński, G. Multi-Factorial Load Analysis of Pine Sawlogs in Transport to Sawmill. Forests 2020, 11, 366. [Google Scholar] [CrossRef]
- Schroeder, R.; Jackson, B.; Ashton, S. Biomass Transportation and Delivery. In Sustainable Forestry for Bioenergy and Bio-Based Products: Trainers Curriculum Notebook; Hubbard, W., Biles, L., Mayfield, C., Ashton, S., Eds.; Southern Forest Research Partnership 2007. Inc.: Athens, GA, USA; pp. 145–148. Available online: http://www.forestbioenergy.net/training-materials/training-curriculum-notebook/ (accessed on 20 November 2013).
- Sosa, A.; Acuna, M.; McDonnell, K.; Devlin, G. Controlling moisture content and truck configurations to model and optimise biomass supply chain logistics in Ireland. Appl. Energy 2015, 137, 338–351. [Google Scholar] [CrossRef]
- Trzciński, G.; Tymendorf, Ł. Deliveries of wood after the normative calculators wood density to determine the weight of the load. Sylwan 2017, 161, 451–459. [Google Scholar]
- Liimatainen, H.; Nykänen, L. Impacts of Increasing Maximum Truck Weight—Case Finland; Transport Research Centre Verne, Tampere University of Technology: Tampere, Finland, 2017; Available online: http://www.tut.fi/verne/aineisto/LiimatainenNyk%C3%A4nen.pdf (accessed on 10 January 2021).
- Directive (EU) 2015/719 of the European Parliament and of the Council of 29 April 2015 Amending Council Directive 96/53/EC Laying Down for Certain Road Vehicles Circulating within the Community the Maximum Authorised Dimensions in National and International Traffic and the Maximum Authorised Weights in International Traffic (Text with EEA Relevance). Available online: https://publications.europa.eu/en/publication-detail/-/publication/22b313fc-f3bc-11e4-a3bf-01aa75ed71a1/language-en (accessed on 4 September 2022).
- Asmoarp, V.; Enström, J.; Bergqvist, M.; von Hofsten, H. Improving Transport Efficiency–Final Report of the ETT 2014–2016 Project. Skogforsk, 2018, Arbetsrapport 962–2018. Available online: https://www.skogforsk.se/contentassets/d036107f3f2c49ff8d1bfb8d9e122ba1/arbetsrapport-962-2018.pdf (accessed on 1 July 2022).
- Palander, T.; Haavikko, H.; Kortelainen, E.; Kärhä, K.; Borz, S.A. Improving Environmental and Energy Efficiency in Wood Transportation for a Carbon-Neutral Forest Industry. Forests 2020, 11, 1194. [Google Scholar] [CrossRef]
- Liimatainen, H.; Pöllänen, M.; Nykänen, L. Impacts of increasing maximum truck weight—Case Finland. Eur. Transp. Res. Rev. 2020, 12, 14. [Google Scholar] [CrossRef]
- Venäläinen, P. Puutavaran ja hakkeen LHT-kuljetusselvitys. Assessment of LHT Transport of Timber and Chips. Metsätehon Rap. 2019, 250, 31. Available online: https://metsateho.fi/wp-content/uploads/Raportti_250_Puutavaran_ja_hakkeen_LHT-kuljetusselvitys.pdf (accessed on 26 September 2022). (In Finnish).
- Regulation Regulation of the Minister of Infrastructure of 31 December 2002 on the Technical Conditions of Vehicles and Their Necessary Equipment. Rozporządzenie. Rozporządzenie Ministra Infrastruktury z Dnia 31 grudnia 2002 r. w Sprawie Warunków Technicznych Pojazdów Oraz Zakresu ich Niezbędnego Wyposażenia. Available online: https://isap.sejm.gov.pl/isap.nsf/download.xsp/WDU20160002022/O/D20162022.pdf (accessed on 26 September 2022). (In Polish)
- Varin, P.; Saarenketo, T. Effect of Axle and Tyre Configurations on Pavement Durability—A Prestudy. ROADEX 2014. Available online: https://www.roadex.org/wp-content/uploads/2014/01/ROADEX_Axle_Tyre_Prestudy_15102014-Final.pdf (accessed on 26 September 2022).
- Pekkala, V. Tien Rasitukset Tieverkossa HCT- ja Muiden Puunkuljetusyhdistelmien Vaikutusten Vertailu. University of Oulu 2018. Loppuraportti 15.8.2018. Available online: https://www.metsateho.fi/wp-content/uploads/Tien_rasitukset_tieverkossa_LOPPURAPORTTI_20180825_VPe.pdf (accessed on 26 September 2022). (In Finnish).
- özturk, T.; Şentürk, N. Analisis of Pavement Construction on a Sample Forest Road Section in Sariyer Region. İstanbul Üniversitesi Orman Fakültesi Dergisi. Seri A 2009, 59, 55–70. [Google Scholar]
- Judycki, J. Equivalent axle load factors for design of rigid pavements derived from fatigue criteria. Balt. J. Road Bridge Eng. 2011, 6, 219–224. [Google Scholar] [CrossRef]
- Baumgras, J.E. Better load-weight distribution is needed for tandem-axle logging trucks. Res. Pap. NE-342. Upper Darby, PA: U.S. Department of Agriculture, Forest Service, Northeastern Forest Experiment Station. 1976, 9p. Available online: https://www.fs.usda.gov/ne/newtown_square/publications/research_papers/pdfs/scanned/OCR/ne_rp342.pdf (accessed on 10 September 2022).
- Owusu−Ababio, S.; Schmitt, R. Analysis of Data on Heavier Truck Weights. Case study of logging trucks. Transp. Res. Rec. J. Transp. Res. Board 2015, 2478, 82–92. [Google Scholar] [CrossRef]
- Šušnjar, M.; Horvat, D.; Pandur, Z.; Zorić, M. Axle Load Determination of Truck with Trailer and Truck with Semitrailer for Wood Transportation. Croat. J. For. Eng. 2011, 32, 379–388. [Google Scholar]
- Näsärö, O.P.; Korpilahti, A. Puutavarayhdistelmien Akselimassat ja Luormatilan Loko. (Axle Masses and Load Space of Timber Trucks.) Metsätehon Tuloskalvosarja 2015, 9/2015, 25p. Available online: https://metsateho.fi/wp-content/uploads/Tuloskalvosarja_2015_09_Puutavarayhdistelmien_akselimassat_2015_ak.pdf (accessed on 10 September 2022). (In Finnish).
- Trzciński, G.; Moskalik, T.; Wojtan, R. Total weight and axle loads of truck units in the transport of timber depending on the timber cargo. Forests 2018, 9, 164. [Google Scholar] [CrossRef]
- Owusu-Ababio, S.; Schmitt, R. Evaluation of Impacts of Allowing Heavier Log Loads in Northern Wisconsin During Spring Thaw. Wiscontin DOT. Putting Reserch To Work. 2014. Available online: https://wisconsindot.gov/documents2/research/WisDOT-Policy-Research-0092-11-16-final-report.pdf (accessed on 10 September 2022).
- Abeney, E.A. Timber transport by road in Ghana. Ghana J. For. 2003, 11, 52–60. Available online: https://www.fornis.net/sites/default/files/documents/Timber_transport.pdf (accessed on 10 October 2022).
- Hamsley, A.; Greene, W.G.; Siry, J.; Mendell, B. Improving timber trucking performance by reducing variability of log truck weights. South. J. Appl. For. 2007, 31, 12–16. [Google Scholar] [CrossRef]
- Brunos, P.; Ryś, D. The Effect of Flexible Pavement Mechanics on the Accuracy of Axle Load Sensors in Vehicle Weigh-in-Motion Systems. Sensors 2017, 17, 2053. [Google Scholar] [CrossRef] [PubMed]
- Burnos, P.; Gajda, J.; Sroka, R.; Wasilewska, M.; Dolega, C. High Accuracy Weigh-In-Motion Systems for Direct Enforcement. Sensors 2021, 21, 8046. [Google Scholar] [CrossRef]
- NIK. Wykonywanie Wybranych Zadań Przez Inspekcję Transportu Drogowego z Uwzględnieniem Funkcjonowania Centralnej Ewidencji Naruszeń (Performing Selected Tasks by the Road Transport Inspection, Taking into Account the Functioning of the Central Register of Violations). KAP-4101-003-00/2014. Najwyższa Izba Kontroli. 2014. Warsaw, Poland. Available online: https://www.nik.gov.pl/kontrole/wyniki-kontroli-nik/pobierz,kap~p_14_006_201407010932241404207144~01,typ,k.pdf (accessed on 10 October 2022). (In Polish)
- Gajda, J.; Sroka, R.; Burno, P. Sensor Data Fusion in Multi-Sensor Weigh-In-Motion Systems. Sensors 2020, 20, 3357. [Google Scholar] [CrossRef]
- Martin, A.M.; Owende, P.M.O.; O’Mahony, M.J.; Ward, S.M. Estimation of the Serviceability of Forest Access Roads. Int. J. For. Eng. 1999, 10, 55–61. [Google Scholar]
- Šušnjar, M.; Horvat, D.; Zorić, M.; Pandur, Z.; Vusić, D.; Tomašić, Ž. Comparison of Real Axle Loads and Wheel Pressure of Truck Units for Wood Transportation with Legal Restrictions. Pushing the Boundaries with Research and Innovation in Forest Engineering. FORMEC 2011, 9–13 October 2011, Graz, Austria. Available online: https://www.formec.org/images/proceedings/2011/formec2011_paper_susnjar_etal.pdf (accessed on 10 October 2022).
- Egger Wood Purchasing. A Partnership Approach to Wood Supply. Available online: https://www.egger.com/shop/en_GB/wood-purchasing/downloads (accessed on 26 September 2022).
- EMS—EGGER Management System. Responsible Editor Valid until Revision Classification Page. Raw Wood Material for ProDuction and Biomass. PW-ZDBIS007—RL—EN. Available online: https://www.egger.com/shop/pl_PL/support/downloads (accessed on 26 September 2022).
- Mikołajczak, E. The Profitability of Converting Sawmill by-Products into Energy. Drewno. Pract. Nauk. Donies. Komunik. 2012, 55, 188. Available online: http://drewno-wood.pl/archiwum/nr-188-2012 (accessed on 26 September 2022).
- FAO, ITTO and United Nations. Forest Product Conversion Factors. Rome. 2020. [CrossRef]
- Francescato, V.; Antonini, E.; Beromi, L.Z.; Metschina, C.; Chamber, S.; Schnedl, C.; Krajnc, N.; Gradziuk, P.; Koscik, K.; Nocentini, G.; et al. Wood Fuels Handbook. Production, Quality Requirements, Tradin. Biomass Trade Cetres. 2008. Available online: https://forestry.msuextension.org/wood-burning/pellets/WOOD_FUELS_HANDBOOK_BTC_EN.pdf (accessed on 10 September 2022).
- Trziński, G.; Tymendorf, Ł. Axle Load of Round Wood Transport Vehicles in Relation to Wood Assortment. The 3rd International Electronic Conference on Forests. Exploring New Discoveries and New Directions in Forests. 15–31 October 2022. Available online: https://sciforum.net/manuscripts/13043/slides.pdf (accessed on 10 November 2022).
- Trzciński, G.; Sieniawski, W. The Impact of Timber Haulage on Loading of Forest Roads. In Raport 12/2010; Norwegian Forest and Landscape Institute: Honne, Norway, 2010; pp. 21–23. Available online: https://nibio.brage.unit.no/nibio-xmlui/bitstream/handle/11250/2469357/SoL-Rapport-2010-12.pdf?sequence=2&isAllowed=y (accessed on 10 November 2022).
- Mackenzie, C.J.T. The Use of Low Ground Pressure Vehicles for Timber Extraction on Forest and Weak Public Roads. Highland Timber Transport Group. Timber Transport Forum. Edinburgh. 2008.
- Šušnjar, M.; Pandur, Z.; Bačić, M.; Zorić, M. Raspodjela mase tovara i osovinskoga opterećenja šumskih kamionskih skupova pri prijevozu jelova celuloznoga drva. (Distribution of Load Masses and Axle Loads on Forest Truck Units during Transport of Fir Pulpwood). Nova Meh. Sumar. 2016, 37, 256568. Available online: https://hrcak.srce.hr/file/256568 (accessed on 10 November 2022).
- Trzciński, G.; Tymendorf, Ł.; Kozakiewicz, P. Parameters of Trucks and Loads in the Transport of Scots Pine Wood Biomass Depending on the Season and Moisture Content of the Load. Forests 2021, 12, 223. [Google Scholar] [CrossRef]
- Johansson, J.; Liss, J.-E.; Gullberg, T.; Björheden, R. Transport and handling of forest energy bundles—Advantages and problems. Biomass Bioenergy 2006, 30, 334–341. [Google Scholar] [CrossRef]
- Laitila, J.; Routa, J. Performance of a small and a medium sized professional chippers and the impact of storage time on Scots pine (Pinus sylvestris) stem wood chips characteristics. Silva Fenn. 2015, 49, 1382. [Google Scholar] [CrossRef]
- Kärhä, K.; Seuri, M.; Donagh, P.M.; Acuna, M.; Kanzian, C.; Petković, V.; Costa, L.H.S.; Krumov, T.; Bradley, A.; Röser, D.; et al. Global overview of industrial roundwood road transport. In Proceedings of the International Conference of Forest Engineering COFE-FORMEC-IUFRO 2022—One Big Family: Shaping Our Future, Oregon State University, Corvallis, OR, USA, 4–7 October 2022. [Google Scholar]
- ITF. Permissible Maximum Weights of Lorries in Europe. ITF 2019. Available online: https://www.itf-oecd.org/sites/default/files/docs/weights-2019.pdf (accessed on 10 October 2022).
- Strandström, M. Metsähakkeen Tuotantoketjut Suomessa Vuonna 2017. (Production Chains of Forest Chips in Finland in 2017). Metsätehon Tuloskalvosarja 2018, 11, 20. Available online: https://www.metsateho.fi/wp-content/uploads/Tuloskalvosarja_2018_11_Metsahakkeen_tuotantoketjut_2017.pdf (accessed on 10 November 2022). (In Finnish).
- Venäläinen, P.; Poikela, A. Puutavara- ja Hakeajoneuvojen Massojen Noston Vaikutukset. Metsäteho Oy. 2020, 258, 1–78. Available online: https://www.metsateho.fi/wp-content/uploads/Raportti-258-Puutavara-ja-hakeajoneuvojen-massojen.pdf (accessed on 10 October 2022). (In Finnish).








| Measure | Mean | SD | Min | Max | Q1 | Median | Q3 |
|---|---|---|---|---|---|---|---|
| Gross vehicle weight (t) | 39.25 | 3.41 | 25.82 | 49.16 | 38.30 | 39.54 | 40.08 |
| Tare (t) | 16.81 | 2.14 | 14.1 | 24.6 | 15.06 | 16.02 | 16.78 |
| Semi-trailer capacity (m3) | 90.43 | 2.91 | 75.94 | 94.16 | 90.03 | 91.30 | 92.00 |
| Bulk cubic meter (bulk m3) | 75.25 | 9.08 | 49.39 | 95.16 | 69.55 | 74.32 | 82.56 |
| Weight of load (t) | 22.44 | 4.03 | 3.13 | 32.92 | 21.74 | 23.26 | 24.00 |
| Usage of the semi-trailer capacity | 0.85 | 0.09 | 0.61 | 1.03 | 0.78 | 0.84 | 0.91 |
| Truck Unit Measurements | Number of Axles | Axle Load Values (t) | |||||||
|---|---|---|---|---|---|---|---|---|---|
| Axle | Mean | SD | Min | Max | Q1 | Median | Q3 | ||
| 197 Truck and semi-trailer (TST) | five-axle | 1 | 6.85 | 0.48 | 5.45 | 8.09 | 6.50 | 6.88 | 7.22 |
| 2 | 10.29 | 0.98 | 7.04 | 13.87 | 9.72 | 10.12 | 10.70 | ||
| 3 | 7.70 | 0.81 | 4.89 | 9.84 | 7.22 | 7.80 | 8.20 | ||
| 4 | 7.83 | 0.82 | 4.36 | 9.96 | 7.23 | 7.70 | 8.18 | ||
| 5 | 7.65 | 0.84 | 4.57 | 9.96 | 7.20 | 7.70 | 8.14 | ||
| 23 and 6 Truck and trailer (TT) | five-axle | 1 | 6.79 | 0.85 | 5.45 | 8.78 | 6.09 | 6.60 | 7.28 |
| 2 | 9.63 | 1.35 | 7.03 | 12.49 | 8.87 | 9.68 | 10.52 | ||
| 3 | 7.59 | 1.76 | 4.18 | 10.28 | 6.50 | 7.30 | 9.09 | ||
| 4 | 7.01 | 1.13 | 3.87 | 9.30 | 6.65 | 7.38 | 7.60 | ||
| 5 | 7.04 | 1.39 | 4.63 | 10.45 | 6.21 | 6.85 | 7.95 | ||
| six-axle | 1 | 6.78 | 1.17 | 5.32 | 8.65 | 6.06 | 6.41 | 7.64 | |
| 2 | 8.73 | 1.31 | 7.00 | 10.42 | 7.82 | 8.54 | 10.08 | ||
| 3 | 7.33 | 0.74 | 6.12 | 8.29 | 6.95 | 7.48 | 7.68 | ||
| 4 | 6.75 | 0.44 | 6.18 | 7.18 | 6.22 | 6.92 | 7.08 | ||
| 5 | 6.72 | 0.97 | 5.28 | 8.23 | 6.32 | 6.71 | 7.08 | ||
| 6 | 6.94 | 0.57 | 6.34 | 7.96 | 6.61 | 6.76 | 7.21 | ||
| Transport Set | ||
|---|---|---|
| TT | TST | |
| axle 1 | - | 0.3229 |
| axle 2 | 0.6859 | 0.6046 |
| axle 3 | 0.4404 | 0.6102 |
| axle 4 | 0.8015 | 0.6069 |
| axle 5 | 0.6815 | 0.6692 |
Publisher’s Note: MDPI stays neutral with regard to jurisdictional claims in published maps and institutional affiliations. |
© 2022 by the authors. Licensee MDPI, Basel, Switzerland. This article is an open access article distributed under the terms and conditions of the Creative Commons Attribution (CC BY) license (https://creativecommons.org/licenses/by/4.0/).
Share and Cite
Trzciński, G.; Tymendorf, Ł. Multifactorial Analysis of the Axle Load of Truck Sets during the Transport of Sawmill By-Products. Forests 2022, 13, 1992. https://doi.org/10.3390/f13121992
Trzciński G, Tymendorf Ł. Multifactorial Analysis of the Axle Load of Truck Sets during the Transport of Sawmill By-Products. Forests. 2022; 13(12):1992. https://doi.org/10.3390/f13121992
Chicago/Turabian StyleTrzciński, Grzegorz, and Łukasz Tymendorf. 2022. "Multifactorial Analysis of the Axle Load of Truck Sets during the Transport of Sawmill By-Products" Forests 13, no. 12: 1992. https://doi.org/10.3390/f13121992
APA StyleTrzciński, G., & Tymendorf, Ł. (2022). Multifactorial Analysis of the Axle Load of Truck Sets during the Transport of Sawmill By-Products. Forests, 13(12), 1992. https://doi.org/10.3390/f13121992

