Characterization of Paulownia elongata x fortunei (BIO 125 clone) Roundwood from Plantations in Northern Italy
Abstract
1. Introduction
2. Materials and Methods
2.1. Plantation Characteristics
2.2. Data Collection
- Dimension and growth: crown insertion height (m); plant total height (m); breast height, large, middle, and top diameter (cm); bark thickness (mm); under-bark log volume (m3); annual ring number and thickness (cm); annual growth rate (cm year−1).
- Defects: pith width (mm); eccentric pith (%); buttress height (cm); taper (cm m−1); simple and multiple sweep (%); ovality (%); knots (n); rot; scars; wind shakes (m); number of plants broken by the wind (n); sun scald of the rhytidome.
- Mass and volume of fresh small logs: the over-bark volume (m3) and the mass (kg) of short logs were measured to determine roundwood density (kg m−3).
2.3. Data Analysis
2.4. Quality Assessment
3. Results
3.1. Dimension and Growth
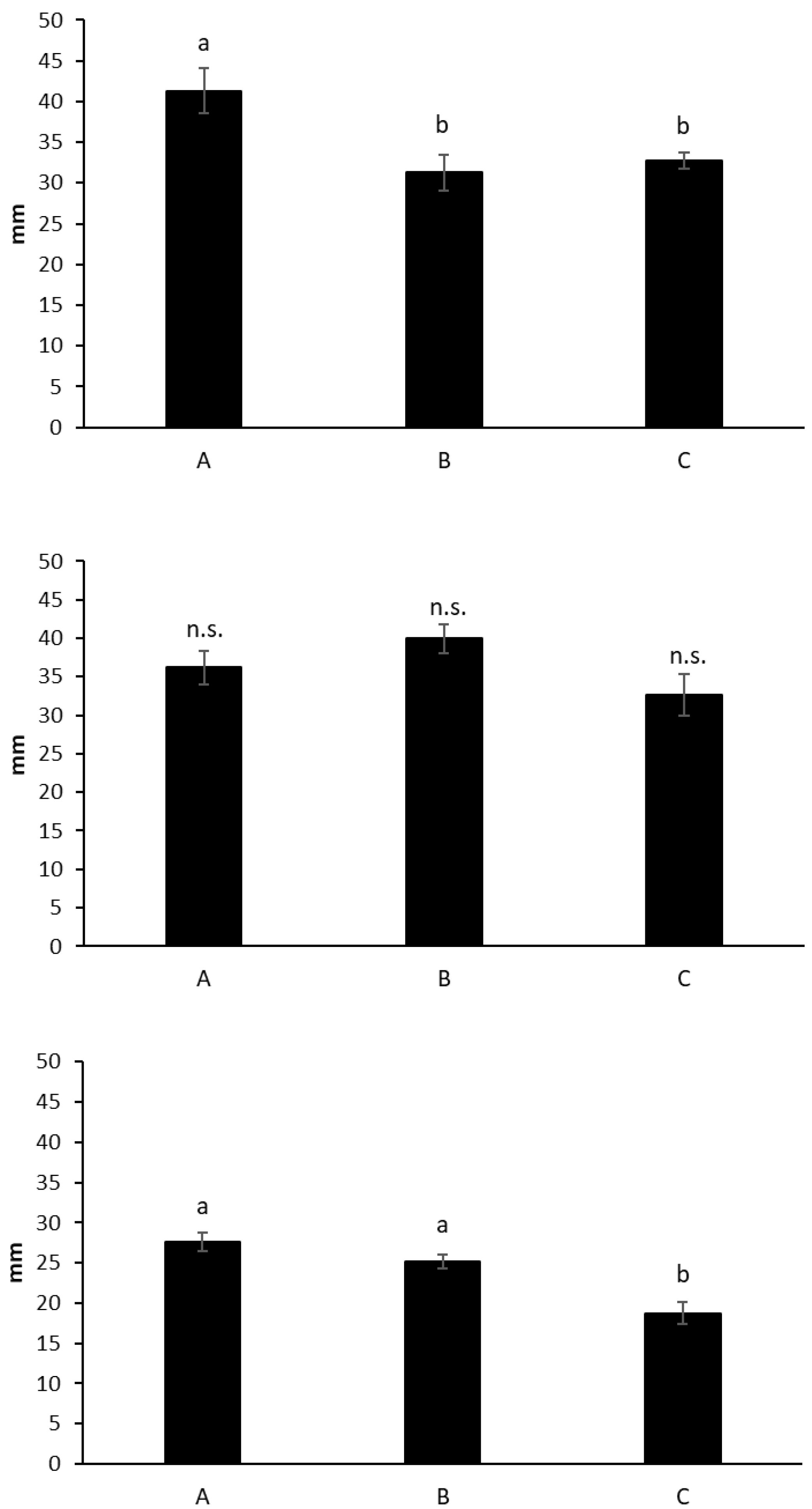
3.2. Defects
3.3. Mass and Volume of Fresh Small Logs
3.4. Quality Assessment
4. Discussion
Quality Assessment
5. Conclusions
Author Contributions
Funding
Data Availability Statement
Acknowledgments
Conflicts of Interest
References
- Zhu, Z.-H.; Chao, C.-J.; Lu, X.-Y.; Xiong, Y.-G. Paulownia in China: Cultivation and Utilization; Asian Network for Biological Sciences and International Development Research Centre, IDRC: Ottawa, ON, Canada, 1986; ISBN 9971845466. [Google Scholar]
- Yadav, N.K.; Vaidya, B.N.; Henderson, K.; Lee, J.F.; Stewart, W.M.; Dhekney, S.A.; Joshee, N. A Review of Paulownia Biotechnology: A Short Rotation, Fast Growing Multipurpose Bioenergy Tree. Am. J. Plant Sci. 2013, 4, 2070–2082. [Google Scholar] [CrossRef]
- Sun, D.; Dickinson, G.R. A Screening Trial of 28 Species Conducted on Non-Saline and Saline Soils in Dry Tropical Northeast Australia. J. Sustain. For. 1997, 5, 1–13. [Google Scholar] [CrossRef]
- Tang, R.C.; Carpenter, S.B.; Wittwer, R.F.; Graves, D.H. Paulownia—A Crop Tree for Wood Products and Reclamation of Surface-Mined Land. South. J. Appl. For. 1980, 4, 19–24. [Google Scholar] [CrossRef]
- Jiang, Z.-F.; Huang, S.-Z.; Han, Y.-L.; Zhao, J.-Z.; Fu, J.-J. Physiological Response of Cu and Cu Mine Tailing Remediation of Paulownia Fortunei (Seem) Hemsl. Ecotoxicology 2012, 21, 759–767. [Google Scholar] [CrossRef]
- Kays, J.; Johnson, D.; Stringer, J. How to Produce and Market Paulownia; University of Maryland Extension Bulletin N. 319: College Park, MD, USA, 1998. [Google Scholar]
- Beel, M.; Davis, S.; Murphy, J.; Piper, P. Product Potential of Paulownia Timber. Aust. For. 2005, 68, 3–8. [Google Scholar] [CrossRef]
- He, T.; Vaidya, B.; Perry, Z.; Parajuli, P.; Joshee, N. Paulownia as a Medicinal Tree: Traditional Uses and Current Advances. Eur. J. Med. Plants 2016, 14, 1–15. [Google Scholar] [CrossRef]
- Johnson, J.E.; Mitchem, D.O.; Kreh, R.E. Establishing Royal Paulownia on the Virginia Piedmont. New For. 2003, 25, 11–23. [Google Scholar] [CrossRef]
- Clatterbuck, W.K.; Hodges, D.G. Tree Crops for Marginal Farmland—Paulownia; The University of Tennessee Agricultural Extension Service: Knoxville, TN, USA, 2005; Volume 1, ISBN 1249150000. [Google Scholar]
- Beckjord, P.R.; McIntosh, M.S. Paulownia Tomentosa: Effects of Fertilization and Coppicing in Plantation Establishment. South. J. Appl. For. 1983, 7, 81–85. [Google Scholar] [CrossRef]
- Ayan, S.; Sivacioglu, A.; Bilir, N. Growth Variation of Paulownia Sieb, and Zucc. Species and Origins at the Nursery Stage in Kastamonu-Turkey. J. Environ. Biol. 2006, 27, 499–504. [Google Scholar]
- Mueller, J.P.; Luginbuhl, J.M.; Bergmann, B.A. Establishment and Early Growth Characteristics of Six Paulownia Genotypes for Goat Browse in Raleigh, NC, USA. Agrofor. Syst. 2001, 52, 63–72. [Google Scholar] [CrossRef]
- Bergmann, B.A. Five Years of Paulownia Field Trials in North Carolina. New For. 2003, 25, 185–199. [Google Scholar] [CrossRef]
- Berg, E.C.; Zarnoch, S.J.; McNab, W.H. Survivorship, Attained Diameter, Height and Volume of Three Paulownia Species after 9 Years in the Southern Appalachians, USA. J. For. Res. 2020, 31, 2181–2191. [Google Scholar] [CrossRef]
- Akyildiz, M.H.; Kol, H.S. Some Technological Properties and Uses of Paulownia (Paulownia Tomentosa Steud.) Wood. J. Environ. Biol. 2010, 31, 351–355. [Google Scholar]
- Koman, S.; Feher, S. Physical and Mechanical Properties of Paulownia Clone in Vitro 112. Eur. J. Wood Wood Prod. 2020, 78, 421–423. [Google Scholar] [CrossRef]
- Zuazo, V.H.D.; Bocanegra, J.A.J.; Torres, F.P.; Pleguezuelo, C.R.R.; Martínez, J.R.F. Biomass Yield Potential of Paulownia Trees in a Semi-Arid Mediterranean Environment (s Spain). Int. J. Renew. Energy Res. 2013, 3, 789–793. [Google Scholar] [CrossRef]
- Adach, W.; Zuchowski, J.; Moniuszko-Szajwaj, B.; Szumacher-Strabel, M.; Stochmal, A.; Olas, B.; Cieslak, A. Comparative Phytochemical, Antioxidant, and Hemostatic Studies of Extract and Four Fractions from Paulownia Clone in Vitro 112 Leaves in Human Plasma. Molecules 2020, 25, 4371. [Google Scholar] [CrossRef]
- Rodríguez-Seoane, P.; del Pozo, C.; Puy, N.; Bartrolí, J.; Domínguez, H. Hydrothermal Extraction of Valuable Components from Leaves and Petioles from Paulownia Elongata x Fortunei. Waste Biomass Valorization 2020, 12, 4525–4535. [Google Scholar] [CrossRef]
- Rodríguez-Seoane, P.; Díaz-Reinoso, B.; Domínguez, H. Supercritical CO2 Extraction of Antioxidants from Paulownia Elongata x Fortunei Leaves. Biomass Convers. Biorefinery 2022, 12, 3985–3993. [Google Scholar] [CrossRef]
- Icka, P.; Damo, R.; Icka, E. Paulownia Tomentosa, a Fast Growing Timber. Ann. Valahia Univ. Targoviste 2016, 10, 14–19. [Google Scholar] [CrossRef]
- Gyuleva, V.; Stankova, T.; Zhyanski, M.; Glushkova, M.; Andanova, E. Growth and Development of Paulownia Tomentosa and Paulownia Elongata x Fortunei in Glasshouse Experiment. Bulg. J. Soil Sci. 2020, 5, 126–142. [Google Scholar]
- Kadlec, J.; Novosadová, K.; Pokorný, R. Preliminary Results from a Plantation of Semi-Arid Hybrid of Paulownia Clone in Vitro 112® under Conditions of the Czech Republic from the First Two Years. Balt. For. 2020, 27, 18–25. [Google Scholar] [CrossRef]
- Berti, S.; Lauriola, M.P. Il legno di Paulownia: Generalità e prove di caratterizzazione. Sherwood Foreste Alberi Oggi 1997, 27, 5–7. [Google Scholar]
- Facciotto, G.; Bergante, S. Production performances of Robinia pseudoacacia L. and paulownia tomentosa steud. cultivated with high and very high density model in northern italy. In Proceedings of the 19th European Biomass Conference and Exhibition, Berlin, Germany, 6–10 June 2011; pp. 6–10. [Google Scholar]
- Buresti Lattes, E.; Mori, P. Progettazione, Realizzazione E Gestione Delle Piantagioni Da Legno Policicliche Di Tipo Naturalistico; Compagnia delle Foreste: Arezzo, Italy, 2016; ISBN 9788898850228. [Google Scholar]
- Ihaka, R.; Gentleman, R. R: A Language for Data Analysis and Graphics. J. Comput. Graph. Stat. 1996, 5, 299–314. [Google Scholar]
- Allegro, G.; Bisoffi, S.; Chiarabaglio, P.M.; Coaloa, D.; Castro, G.; Facciotto, G.; Giorcelli, A.; Vietto, L. Pioppicoltura. Produzioni Di Qualità Nel Rispetto Dell’ambiente; Istituto di Sperimentazione per la Pioppicoltura di Casale Monferrato: Alessandria, Italy, 2006. [Google Scholar]
- Wang, Q.; Shogren, J.F. Characteristics of the Crop-Paulownia System in China. CARD Work. Pap. 1991, 39, 145–152. [Google Scholar] [CrossRef]
- Zhao, J.; Xiong, G.; Yao, K.; Li, H. An Economic Analysis of the Crop-Pau1ownia System in Western Henan Province. In Proceedings of the Symposium of agroforestry systems in China; Nanjing Forestry University: Nanjing, China, 1986. (In Chinese) [Google Scholar]
- Langowski, A.; Rolbiecki, R.; Rolbiecki, S.; Ptach, W.; Wrobel, P. Effect of Sprinkler Irrigation on Growth of Paulownia Shan Tong Trees at First Two Years of Cultivation in Light Soil. Eng. Rural Dev. 2019, 18, 619–624. [Google Scholar] [CrossRef]
- Stepchich, A. ENVIRONMENTAL ASPECTS IN CULTIVATION OF PAULOWNIA IN BULGARIA. In Proceedings of the VIII International Scientific Agriculture Symposium, “Agrosym 2017”, Jahorina, Bosnia and Herzegovina, 5–8 October 2017; pp. 1704–1709. [Google Scholar]







| Site Characteristics | Plantation | ||
|---|---|---|---|
| A | B | C | |
| Location | Roncadello di Forlì (FC) | Fratta Terme di Bertinoro (FC) | Libolla di Ostellato (FE) |
| Longitude | 44°16′30.2″ N | 44°09′27.3″ N | 4°44′40.6″ N |
| Latitude | 12°02′42.4″ E | 12°06′15.8″ E | 11°54′13.3″ E |
| Environment | alluvial plain | piedmont plain | deltaic plain |
| Slope (%) | 0.1–0.2 | 0.5–0.8 | 0.05–0.1 |
| Elevation (masl) | 20 | 85 | 2 |
| Soil depth | very deep | very deep | very deep |
| CaCO3 (% in the first 50 cm) | 16 | 18 | 10 |
| pH | 8 | 8 | 8 |
| Texture * | silty loam | silty clay loam | silty clay loam |
| Average annual precipitation (2010–2018) (mm) ** | 724 | 787 | 686 |
| Average annual max. temp. (2010–2018) (°C) ** | 19.9 | 19.2 | 19.5 |
| Average annual min. temp. (2010–2018) (°C) ** | 8.6 | 9.1 | 9.2 |
| Surface (ha) | 1.2 | 9 | 5 |
| Planting | Winter 2016–2017 | May 2016 | 2014 |
| Plant spacing | 3.9 m × 3.9 m | 3.8 m × 3.8 m | 4 m × 4 m |
| Parameter (Unit) | Plantation | |||||
|---|---|---|---|---|---|---|
| A | B | C | ||||
| Evaluated trees (n) | 4 | 4 | 4 | |||
| Age (years) | 3 | 4 | 6 | |||
| Crown insertion height (m) | 4.9 | ±0.1 | 5.4 | ±0.1 | 5 | ± 0.1 |
| Total height (m) | - | - | 17.8 | ± 0.3 | ||
| Diameter at breast height (cm) | 24.3 | ±1 | 23.7 | ±0.2 | 25 | ± 0.5 |
| Large diameter (cm) | 29.2 | ±0.5 | 30.3 | ±0.9 | 31.9 | ± 0.4 |
| Middle diameter (cm) | 20.6 | ±0.7 | 21.5 | ±0.1 | 22.8 | ± 0.4 |
| Top diameter (cm) | 16.9 | ±0.8 | 19.7 | ±0.5 | 20.2 | ± 0.2 |
| Bark thickness at the top of the log (mm) | 3.6 | ±0.2 | 3.5 | ±0.3 | 4.6 | ± 0.7 |
| Bark thickness at the base of the log (mm) | 4.1 | ±0.4 | 3.3 | ±0.3 | 5.3 | ± 0.4 |
| Under-bark log volume (m3) | 0.5 | ±0.0 | 0.6 | ±0.0 | 0.6 | ±0.0 |
| Number of growth rings at the base of the stem | 3 | ±0.0 | 4 | ±0.0 | 6 | ±0.0 |
| Number of growth rings at the top of the stem | 2 | ±0.0 | 3 | ±0.0 | 4.5 | ±0.3 |
| Pith thickness (mm) | 24.9 | ±3.3 n.s. | 23.6 | ±3.8 n.s. | 21.5 | ±0.3 n.s. |
| Eccentric pith (cm) | - | - | 2.8 | ±1.3 | ||
| Buttress height (cm) | 50 | ±4.1 | 43.3 | ±5.8 | 30 | ±12.2 |
| Taper (cm m−1) | 2.1 | ±0.1 | 1 | ±0.1 | 1.4 | ±0.9 |
| Ovality (%) | 5.8 | ±1.1 | 3.7 | ±1.8 | 2.1 | ±0.8 |
| Density of fresh roundwood, bark included (kg m−3) | 659 | ±49 | 589 | ±12 | 531 | ±94 |
| Parameter (Unit) | Tree Location at Plantation C | |||||
|---|---|---|---|---|---|---|
| Interior | Edge | |||||
| Diameter at breast height (cm) | 23.5 | ±0.5 | a | 30.6 | ±0.7 | b |
| Large diameter (cm) | 29.2 | ±0.7 | a | 35.2 | ±0.9 | b |
| Taper (cm m−1) | 1.4 | 0.1 | n.s. | 1.9 | ±0.0 | n.s. |
| Parameter (Unit) | Plantation | ||
|---|---|---|---|
| A | B | C | |
| Evaluated plants (n) | 4 | 4 | 4 |
| Plants with simple sweep (n) | 2 | 1 | 0 |
| Average simple sweep (%) | 10 | 7.5 | 0 |
| Plants with multiple sweep (n) | 0 | 1 | 0 |
| Average multiple sweep (%) | 0 | 21.6 | 0 |
| Plants with eccentric pith (n) | 0 | 0 | 2 |
| Average eccentric pith (cm) | 0 | 0 | 2.75 |
Publisher’s Note: MDPI stays neutral with regard to jurisdictional claims in published maps and institutional affiliations. |
© 2022 by the authors. Licensee MDPI, Basel, Switzerland. This article is an open access article distributed under the terms and conditions of the Creative Commons Attribution (CC BY) license (https://creativecommons.org/licenses/by/4.0/).
Share and Cite
Criscuoli, I.; Brunetti, M.; Goli, G. Characterization of Paulownia elongata x fortunei (BIO 125 clone) Roundwood from Plantations in Northern Italy. Forests 2022, 13, 1841. https://doi.org/10.3390/f13111841
Criscuoli I, Brunetti M, Goli G. Characterization of Paulownia elongata x fortunei (BIO 125 clone) Roundwood from Plantations in Northern Italy. Forests. 2022; 13(11):1841. https://doi.org/10.3390/f13111841
Chicago/Turabian StyleCriscuoli, Irene, Michele Brunetti, and Giacomo Goli. 2022. "Characterization of Paulownia elongata x fortunei (BIO 125 clone) Roundwood from Plantations in Northern Italy" Forests 13, no. 11: 1841. https://doi.org/10.3390/f13111841
APA StyleCriscuoli, I., Brunetti, M., & Goli, G. (2022). Characterization of Paulownia elongata x fortunei (BIO 125 clone) Roundwood from Plantations in Northern Italy. Forests, 13(11), 1841. https://doi.org/10.3390/f13111841

