Spatiotemporal Changes in Leaf Area and Carbon Sequestration of Terrestrial Vegetation in China over the Last Two Decades
Abstract
1. Introduction
2. Materials and Methods
2.1. Study Area
2.2. Data and Pre-Processing
2.3. Methods
2.3.1. Overall Methodology
2.3.2. Accuracy Assessment of PML_V2 GPP
2.3.3. Trend Analysis
2.3.4. Net Change in Total Leaf Area and Carbon Sequestration
2.3.5. Land Cover Change Patterns Derived from the Transition Matrix
2.3.6. Partial Correlation Analysis
3. Results
3.1. Accuracies of PML-V2 GPP Estimates
3.2. Spatiotemporal Changes in Leaf Area
3.3. Spatiotemporal Changes in Carbon Sequestration
3.4. Spatiotemporal Variations in the Different Land Cover Change Types
3.5. Divergent Leaf Area and Carbon Sequestration Changes Associated with the Main Land Cover Change Types
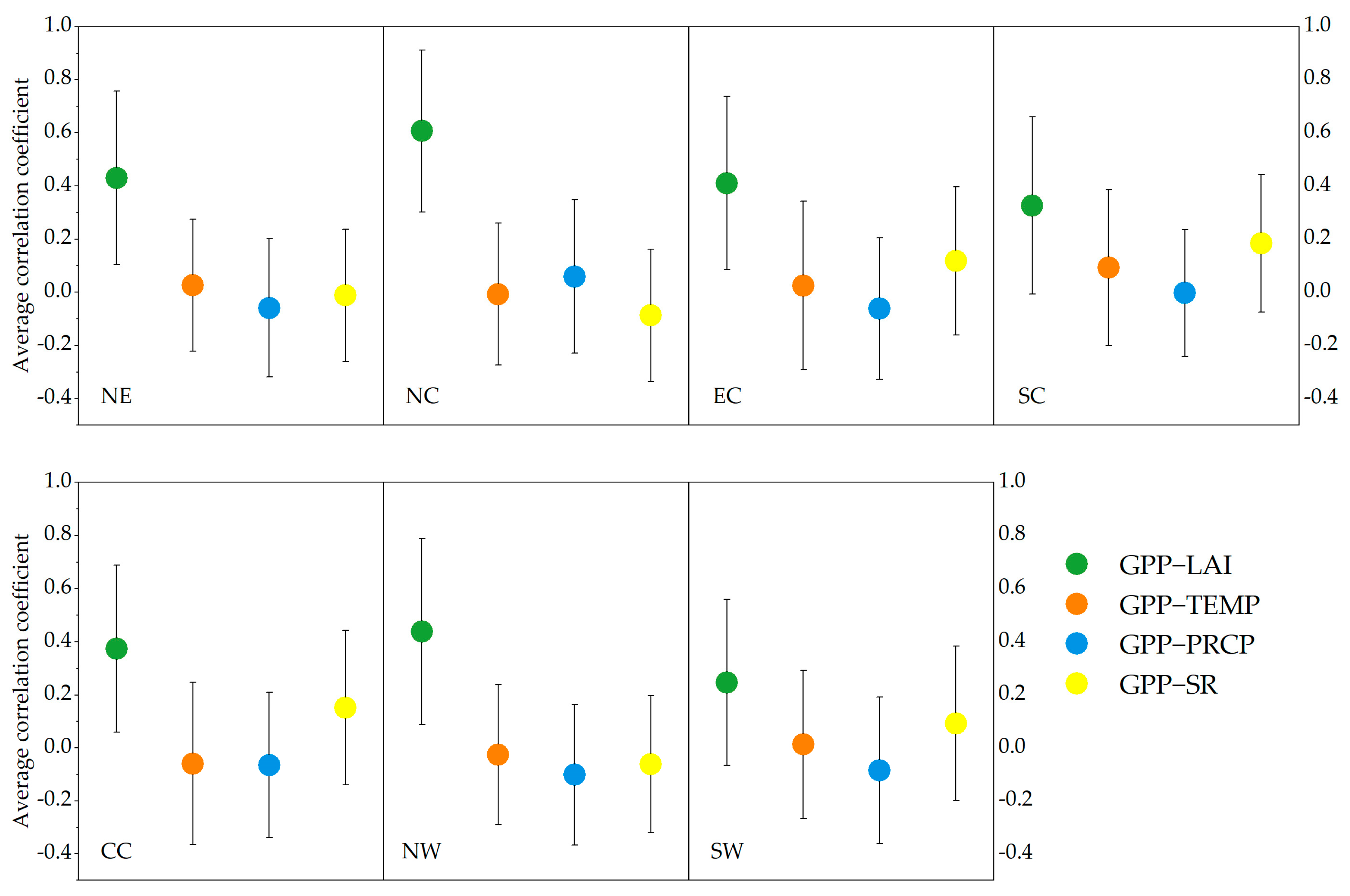
3.6. Correlations between GPP and LAI and Climate Variables
4. Discussion
4.1. LAI and GPP Trend and Correlation Analysis
4.2. Relationship between Land Cover Changes and Vegetation Leaf Area and Carbon Sequestration
4.3. Uncertainties
5. Conclusions
Author Contributions
Funding
Institutional Review Board Statement
Informed Consent Statement
Data Availability Statement
Acknowledgments
Conflicts of Interest
References
- Beer, C.; Reichstein, M.; Tomelleri, E.; Ciais, P.; Jung, M.; Carvalhais, N.; Rödenbeck, C.; Arain, M.A.; Baldocchi, D.; Bonan, G.B.; et al. Terrestrial gross carbon dioxide uptake: Global distribution and covariation with climate. Science 2010, 329, 834–838. [Google Scholar] [CrossRef] [PubMed]
- Parker, G.G. Tamm review: Leaf Area Index (LAI) is both a determinant and a consequence of important processes in vegetation canopies. For. Ecol. Manag. 2020, 477, 118496. [Google Scholar] [CrossRef]
- Tang, X.; Zhao, X.; Bai, Y.; Tang, Z.; Wang, W.; Zhao, Y.; Wan, H.; Xie, Z.; Shi, X.; Wu, B.; et al. Carbon pools in China’s terrestrial ecosystems: New estimates based on an intensive field survey. Proc. Natl. Acad. Sci. USA 2018, 115, 4021–4026. [Google Scholar] [CrossRef] [PubMed]
- Wang, S.; Huang, K.; Yan, H.; Yan, H.; Zhou, L.; Wang, H.; Zhang, J.; Yan, J.; Zhao, L.; Wang, Y.; et al. Improving the light use efficiency model for simulating terrestrial vegetation gross primary production by the inclusion of diffuse radiation across ecosystems in China. Ecol. Complex. 2015, 23, 1–13. [Google Scholar] [CrossRef]
- Li, L.; Wang, Y.-P.; Beringer, J.; Shi, H.; Cleverly, J.; Cheng, L.; Eamus, D.; Huete, A.; Hutley, L.; Lu, X.; et al. Responses of LAI to rainfall explain contrasting sensitivities to carbon uptake between forest and non-forest ecosystems in Australia. Sci. Rep. 2017, 7, 11720. [Google Scholar] [CrossRef]
- Liu, Y.; Xiao, J.; Ju, W.; Zhu, G.; Wu, X.; Fan, W.; Li, D.; Zhou, Y. Satellite-derived LAI products exhibit large discrepancies and can lead to substantial uncertainty in simulated carbon and water fluxes. Remote Sens. Environ. 2018, 206, 174–188. [Google Scholar] [CrossRef]
- Mao, J.; Ribes, A.; Yan, B.; Shi, X.; Thornton, P.E.; Séférian, R.; Ciais, P.; Myneni, R.; Douville, H.; Piao, S.; et al. Human-induced greening of the northern extratropical land surface. Nat. Clim. Chang. 2016, 6, 959–963. [Google Scholar] [CrossRef]
- Zhu, Z.; Bi, J.; Pan, Y.; Ganguly, S.; Anav, A.; Xu, L.; Samanta, A.; Piao, S.; Nemani, R.R.; Myneni, R.B. Global Data Sets of Vegetation Leaf Area Index (LAI)3g and Fraction of Photosynthetically Active Radiation (FPAR)3g Derived from Global Inventory Modeling and Mapping Studies (GIMMS) Normalized Difference Vegetation Index (NDVI3g) for the Period 1981 to 2011. Remote Sens. 2013, 5, 927–948. [Google Scholar]
- Xiao, Z.; Liang, S.; Wang, J.; Xiang, Y.; Zhao, X.; Song, J. Long-Time-Series Global Land Surface Satellite Leaf Area Index Product Derived From MODIS and AVHRR Surface Reflectance. IEEE Trans. Geosci. Remote Sens. 2016, 54, 5301–5318. [Google Scholar] [CrossRef]
- Justice, C.; Townshend, J.; Vermote, E.; Masuoka, E.; Wolfe, R.; Saleous, N.; Roy, D.; Morisette, J. An overview of MODIS Land data processing and product status. Remote Sens. Environ. 2002, 83, 3–15. [Google Scholar] [CrossRef]
- Seto, K.C.; Reenberg, A.; Boone, C.G.; Fragkias, M.; Haase, D.; Langanke, T.; Marcotullio, P.; Munroe, D.K.; Olah, B.; Simon, D. Urban land teleconnections and sustainability. Proc. Natl. Acad. Sci. USA 2012, 109, 7687–7692. [Google Scholar] [CrossRef] [PubMed]
- Mu, H.; Li, X.; Ma, H.; Du, X.; Huang, J.; Su, W.; Yu, Z.; Xu, C.; Liu, H.; Yin, D.; et al. Evaluation of the policy-driven ecological network in the Three-North Shelterbelt region of China. Landsc. Urban Plan. 2022, 218, 104305. [Google Scholar] [CrossRef]
- Li, Z.; Sun, X.; Huang, Z.; Zhang, X.; Wang, Z.; Li, S.; Zheng, W.; Zhai, B. Changes in nutrient balance, environmental effects, and green development after returning farmland to forests: A case study in Ningxia, China. Sci. Total Environ. 2020, 735, 139370. [Google Scholar] [CrossRef] [PubMed]
- Hu, Y.; Li, H.; Wu, D.; Chen, W.; Zhao, X.; Hou, M.; Li, A.; Zhu, Y. LAI-indicated vegetation dynamic in ecologically fragile region: A case study in the Three-North Shelter Forest program region of China. Ecol. Indic. 2021, 120, 106932. [Google Scholar] [CrossRef]
- Ding, Z.; Zheng, H.; Li, H.; Yu, P.; Man, W.; Liu, M.; Tang, X.; Liu, Y. Afforestation-driven increases in terrestrial gross primary productivity are partly offset by urban expansion in Southwest China. Ecol. Indic. 2021, 127, 107641. [Google Scholar] [CrossRef]
- Hu, X.; Li, Z.; Chen, J.; Nie, X.; Liu, J.; Wang, L.; Ning, K. Carbon sequestration benefits of the grain for Green Program in the hilly red soil region of southern China. Int. Soil Water Conserv. Res. 2021, 9, 271–278. [Google Scholar] [CrossRef]
- Chen, T.; Huang, Q.; Liu, M.; Li, M.; Qu, L.; Deng, S.; Chen, D. Decreasing Net Primary Productivity in Response to Urbanization in Liaoning Province, China. Sustainability 2017, 9, 162. [Google Scholar] [CrossRef]
- Li, D.; Tian, P.; Luo, H.; Hu, T.; Dong, B.; Cui, Y.; Khan, S.; Luo, Y. Impacts of land use and land cover changes on regional climate in the Lhasa River basin, Tibetan Plateau. Sci. Total Environ. 2020, 742, 140570. [Google Scholar] [CrossRef]
- Deng, L.; Shangguan, Z. Afforestation Drives Soil Carbon and Nitrogen Changes in China. Land Degrad. Dev. 2016, 28, 151–165. [Google Scholar] [CrossRef]
- Deng, L.; Shangguan, Z.P.; Sweeney, S. “Grain for Green” driven land use change and carbon sequestration on the Loess Plateau, China. Sci. Rep. 2014, 4, 7039. [Google Scholar] [CrossRef]
- Roshetko, J.M.; Lasco, R.D.; Angeles, M.S. Angeles, Smallholder Agroforestry Systems for Carbon Storage. Mitig. Adapt. Strateg. Glob. Chang. 2006, 12, 219–242. [Google Scholar] [CrossRef]
- Wang, Z.; Cui, Z.; He, T.; Tang, Q.; Xiao, P.; Zhang, P.; Wang, L. Attributing the Evapotranspiration Trend in the Upper and Middle Reaches of Yellow River Basin Using Global Evapotranspiration Products. Remote Sens. 2022, 14, 175. [Google Scholar] [CrossRef]
- Chen, X.; Yu, L.; Du, Z.; Xu, Y.; Zhao, J.; Zhao, H.; Zhang, G.; Peng, D.; Gong, P. Distribution of ecological restoration projects associated with land use and land cover change in China and their ecological impacts. Sci. Total Environ. 2022, 825, 153938. [Google Scholar] [CrossRef] [PubMed]
- Xiao, Z.; Liang, S.; Wang, J.; Chen, P.; Yin, X.; Zhang, L.; Song, J. Use of General Regression Neural Networks for Generating the GLASS Leaf Area Index Product From Time-Series MODIS Surface Reflectance. IEEE Trans. Geosci. Remote Sens. 2013, 52, 209–223. [Google Scholar] [CrossRef]
- Fang, H.; Zhang, Y.; Wei, S.; Li, W.; Ye, Y.; Sun, T.; Liu, W. Validation of global moderate resolution leaf area index (LAI) products over croplands in northeastern China. Remote Sens. Environ. 2019, 233, 111377. [Google Scholar] [CrossRef]
- Gan, R.; Zhang, Y.; Shi, H.; Yang, Y.; Eamus, D.; Cheng, L.; Chiew, F.H.; Yu, Q. Use of satellite leaf area index estimating evapotranspiration and gross assimilation for Australian ecosystems. Ecohydrology 2018, 11, e1974. [Google Scholar] [CrossRef]
- Pei, Y.; Dong, J.; Zhang, Y.; Yang, J.; Zhang, Y.; Jiang, C.; Xiao, X. Performance of four state-of-the-art GPP products (VPM, MOD17, BESS and PML) for grasslands in drought years. Ecol. Inform. 2020, 56, 101052. [Google Scholar] [CrossRef]
- Sarmah, S.; Singha, M.; Wang, J.; Dong, J.; Burman, P.K.D.; Goswami, S.; Ge, Y.; Ilyas, S.; Niu, S. Mismatches between vegetation greening and primary productivity trends in South Asia—A satellite evidence. Int. J. Appl. Earth Obs. Geoinf. 2021, 104, 102561. [Google Scholar] [CrossRef]
- Zhao, M.; Heinsch, F.A.; Nemani, R.R.; Running, S.W. Improvements of the MODIS terrestrial gross and net primary production global data set. Remote Sens. Environ. 2005, 95, 164–176. [Google Scholar] [CrossRef]
- Chang, X.; Wang, Z.; Wei, F.; Xiao, P.; Shen, Z.; Lv, X.; Shi, Y. Determining the Contributions of Vegetation and Climate Change to Ecosystem WUE Variation over the Last Two Decades on the Loess Plateau, China. Forests. 2021, 12, 1442. [Google Scholar] [CrossRef]
- Chen, C.; Park, T.; Wang, X.; Piao, S.; Xu, B.; Chaturvedi, R.K.; Fuchs, R.; Brovkin, V.; Ciais, P.; Fensholt, R.; et al. China and India lead in greening of the world through land-use management. Nat. Sustain. 2019, 2, 122–129. [Google Scholar] [CrossRef] [PubMed]
- Zhang, Y.; Peng, C.; Li, W.; Tian, L.; Zhu, Q.; Chen, H.; Fang, X.; Zhang, G.; Liu, G.; Mu, X.; et al. Multiple afforestation programs accelerate the greenness in the ‘Three North’ region of China from 1982 to 2013. Ecol. Indic. 2016, 61, 404–412. [Google Scholar] [CrossRef]
- Chen, Y.; Chen, L.; Cheng, Y.; Ju, W.; Chen, H.Y.H.; Ruan, H. Afforestation promotes the enhancement of forest LAI and NPP in China. For. Ecol. Manag. 2020, 462, 117990. [Google Scholar] [CrossRef]
- Deng, L.; Liu, S.; Kim, D.G.; Peng, C.; Sweeney, S.; Shangguan, Z. Past and future carbon sequestration benefits of China’s grain for green program. Glob. Environ. Chang. 2017, 47, 13–20. [Google Scholar] [CrossRef]
- Forzieri, G.; Alkama, R.; Miralles, D.G.; Cescatti, A. Satellites reveal contrasting responses of regional climate to the widespread greening of Earth. Science 2017, 356, 1140–1144. [Google Scholar] [CrossRef]
- Bonan, G.B. Forests and climate change: Forcings, feedbacks, and the climate benefits of forests. Science 2008, 320, 1444–1449. [Google Scholar] [CrossRef]
- Forzieri, G.; Miralles, D.G.; Ciais, P.; Alkama, R.; Ryu, Y.; Duveiller, G.; Zhang, K.; Robertson, E.; Kautz, M.; Martens, B.; et al. Increased control of vegetation on global terrestrial energy fluxes. Nat. Clim. Chang. 2020, 10, 356–362. [Google Scholar] [CrossRef]
- Pitman, A.; Avila, F.B.; Abramowitz, G.; Wang, Y.; Phipps, S.; De Noblet-Ducoudré, N. Importance of background climate in determining impact of land-cover change on regional climate. Nat. Clim. Chang. 2011, 1, 472–475. [Google Scholar] [CrossRef]
- Chen, J.M.; Ju, W.; Ciais, P.; Viovy, N.; Liu, R.; Liu, Y.; Lu, X. Vegetation structural change since 1981 significantly enhanced the terrestrial carbon sink. Nat. Commun. 2019, 10, 4259. [Google Scholar] [CrossRef]
- Li, C.; Zhang, Y.; Shen, Y.; Kong, D.; Zhou, X. LUCC-Driven Changes in Gross Primary Production and Actual Evapotranspiration in Northern China. J. Geophys. Res. Atmos. 2020, 125, e2019JD031705. [Google Scholar] [CrossRef]
- Arneth, A.; Sitch, S.; Pongratz, J.; Stocker, B.D.; Ciais, P.; Poulter, B.; Bayer, A.D.; Bondeau, A.; Calle, L.; Chini, L.P.; et al. Historical carbon dioxide emissions caused by land-use changes are possibly larger than assumed. Nat. Geosci. 2017, 10, 79–84. [Google Scholar] [CrossRef]
- Du, X.; Jian, J.; Du, C.; Stewart, R.D. Conservation management decreases surface runoff and soil erosion. Int. Soil Water Conserv. Res. 2022, 10, 188–196. [Google Scholar] [CrossRef]
- Maikhuri, R.K.; Semwal, R.L.; Rao, K.S.; Singh, K.; Saxena, K.G. Growth and ecological impacts of traditional agroforestry tree species in Central Himalaya, India. Agrofor. Syst. 2000, 48, 257–271. [Google Scholar] [CrossRef]
- Poschlod, P.; Bakker, J.; Kahmen, S. Changing land use and its impact on biodiversity. Basic Appl. Ecol. 2005, 6, 93–98. [Google Scholar] [CrossRef]
- Yan, H.; Wang, S.; Dai, J.; Wang, J.; Chen, J.; Shugart, H.H. Forest Greening Increases Land Surface Albedo During the Main Growing Period Between 2002 and 2019 in China. J. Geophys. Res. Atmos. 2021, 126, e2020JD033582. [Google Scholar] [CrossRef]
- Chu, X.-L.; Lu, Z.; Wei, D.; Lei, G.-P. Effects of land use/cover change (LUCC) on the spatiotemporal variability of precipitation and temperature in the Songnen Plain, China. J. Integr. Agric. 2022, 21, 235–248. [Google Scholar] [CrossRef]
- Zhong, Q.; Ma, J.; Zhao, B.; Wang, X.; Zong, J.; Xiao, X. Assessing spatial-temporal dynamics of urban expansion, vegetation greenness and photosynthesis in megacity Shanghai, China during 2000–2016. Remote Sens. Environ. 2019, 233, 111374. [Google Scholar] [CrossRef]
- Yang, H.; Zhong, X.; Deng, S.; Xu, H. Assessment of the impact of LUCC on NPP and its influencing factors in the Yangtze River basin, China. CATENA 2021, 206, 105542. [Google Scholar] [CrossRef]
- Zhang, X.; Brandt, M.; Tong, X.; Ciais, P.; Yue, Y.; Xiao, X.; Zhang, W.; Wang, K.; Fensholt, R. A large but transient carbon sink from urbanization and rural depopulation in China. Nat. Sustain. 2022, 5, 321–328. [Google Scholar] [CrossRef]
- Feng, D.; Bao, W.; Yang, Y.; Fu, M. How do government policies promote greening? Evidence from China. Land Use Policy 2021, 104, 105389. [Google Scholar] [CrossRef]














| Variables | Product | Spatial Resolution | Temporal Resolution | Period |
|---|---|---|---|---|
| LAI | GLASS | 500 m | 8 days | 2000–2018 |
| GPP | PML-V2 | 500 m | 8 days | 2000–2018 |
| LUCC | Globeland30 | 30 m | — | 2000, 2020 |
| TEMP PRCP SR | ERA5 | 0.25° | hourly | 2000–2018 |
| Site | Latitude (°N) | Longitude (°E) | Data Period | Mean Annual Precipitation (mm) | Mean Annual Temperature (°C) | Altitude (m) | Vegetation Type |
|---|---|---|---|---|---|---|---|
| Dangxiong | 30.49 | 91.06 | 2004–2005 | 450 | 1.3 | 295.7 | Alpine meadow |
| Dinghushan | 23.17 | 112.54 | 2005 | 1956 | 20.9 | 493 | Forest |
| Duolun | 42.05 | 116.28 | 2007 | 275 | 1.7 | 1324 | Grassland |
| Haibei Wetland | 37.61 | 101.33 | 2004–2005 | 535 | −14.4 | 3190 | Swamp |
| Haibei Shrub | 37.67 | 101.33 | 2004–2005 | 535 | −14.4 | 3190 | Bush |
| Qianyanzhou | 26.74 | 115.06 | 2003–2004 | 1542 | 17.9 | 100 | Cropland |
| Changling | 44.59 | 123.51 | 2009 | 470 | 4.9 | 171 | Grassland |
| Changbaishan | 42.40 | 128.10 | 2004–2005 | 713 | 3.6 | 738 | Forest |
| 2020 | Cropland | Forest | Grassland | Shrubland | Bare Land | Artificial Surfaces | Others | Decrease | |
|---|---|---|---|---|---|---|---|---|---|
| 2000 | |||||||||
| Cropland | 157.60 | 20.08 | 12.56 | 0.37 | 0.45 | 15.61 | 3.05 | 52.12 | |
| Forest | 20.79 | 173.88 | 14.76 | 1.23 | 0.26 | 1.29 | 1.39 | 39.71 | |
| Grassland | 15.71 | 17.30 | 217.06 | 2.68 | 29.54 | 1.57 | 6.63 | 73.43 | |
| Shrubland | 0.45 | 1.15 | 1.90 | 1.64 | 0.57 | 0.03 | 0.20 | 4.31 | |
| Bare land | 1.72 | 0.20 | 15.34 | 0.46 | 166.89 | 0.30 | 2.76 | 20.78 | |
| Artificial surfaces | 5.72 | 0.31 | 0.35 | 0.01 | 0.03 | 7.24 | 0.18 | 6.61 | |
| Others | 2.63 | 1.02 | 2.36 | 0.05 | 2.92 | 0.58 | 18.08 | 9.56 | |
| Increase | 47.02 | 40.08 | 47.27 | 4.80 | 33.77 | 19.38 | 14.21 | 206.52 | |
Cropland maintenance
Cropland reclamation
Self-rehabilitation of forest–grassland;
Return of cropland to forest–grassland
Urbanization
Artificial restoration of forest–grassland.| Vegetation Type | LAI Change | GPP Change | ||||
|---|---|---|---|---|---|---|
| Average LAI (m2·m−2·yr−1) | Total Leaf Area (104 km2) | Contr. (%) | Average GPP (gc·m−2·yr−1) | Total Carbon (TgC) | Contr. (%) | |
| Returning cropland to forest–grassland | 0.02 | 13.35 | 7.75% | 15.45 | 125.85 | 6.57% |
| Artificial restoration of forest–grassland | 0.01 | 10.98 | 6.37% | 8.16 | 108.81 | 5.68% |
| Cropland maintenance | 0.01 | 42.7 | 24.7% | 18.72 | 634.48 | 33.1% |
| Cropland reclamation | 0.02 | 16.15 | 9.38% | 14.74 | 162.51 | 8.48% |
| Urbanization | 0 | 0.97 | 0.56% | 4.24 | 26.24 | 1.37% |
| Self-rehabilitation of forest–grassland | 0.01 | 88.11 | 51.1% | 5.69 | 857.56 | 44.7% |
| Returning Cropland to Forest–Grassland | Artificial Restoration of Forest–Grassland Vegetation | Cropland Maintenance | Cropland Reclamation | Urbanization | Self-Rehabilitation of Forest–Grassland Vegetation | ||
|---|---|---|---|---|---|---|---|
| LAI (104 km2) | NE | 0.79 | 0.67 | 6.16 | 1.00 | 0.37 | 3.96 |
| NC | 1.38 | 2.41 | 5.50 | 1.77 | 0.36 | 11.85 | |
| EC | 1.45 | 0.85 | 4.29 | 1.81 | −0.28 | 12.93 | |
| SC | 2.31 | 1.44 | 4.65 | 2.43 | 0.18 | 17.70 | |
| CC | 1.43 | 0.82 | 4.21 | 1.80 | 0.10 | 9.26 | |
| NW | 1.58 | 1.01 | 6.34 | 2.50 | 0.20 | 13.15 | |
| SW | 4.41 | 3.78 | 11.55 | 4.84 | 0.04 | 19.26 | |
| GPP (TgC) | NE | 14.26 | 9.61 | 157.99 | 19.81 | 7.53 | 69.99 |
| NC | 20.13 | 26.47 | 106.20 | 28.10 | 7.22 | 169.96 | |
| EC | 17.10 | 8.42 | 116.88 | 24.93 | 5.26 | 129.20 | |
| SC | 10.77 | 6.89 | 25.28 | 11.51 | 0.75 | 72.57 | |
| CC | 12.27 | 6.18 | 66.52 | 17.43 | 3.23 | 65.49 | |
| NW | 19.52 | 15.64 | 81.33 | 25.17 | 2.94 | 144.70 | |
| SW | 31.80 | 35.60 | 80.28 | 35.56 | −0.69 | 205.65 |
Publisher’s Note: MDPI stays neutral with regard to jurisdictional claims in published maps and institutional affiliations. |
© 2022 by the authors. Licensee MDPI, Basel, Switzerland. This article is an open access article distributed under the terms and conditions of the Creative Commons Attribution (CC BY) license (https://creativecommons.org/licenses/by/4.0/).
Share and Cite
Hu, Q.; Gong, E.; Wang, Z.; Zhang, J.; Liu, W.; Feng, F. Spatiotemporal Changes in Leaf Area and Carbon Sequestration of Terrestrial Vegetation in China over the Last Two Decades. Forests 2022, 13, 1623. https://doi.org/10.3390/f13101623
Hu Q, Gong E, Wang Z, Zhang J, Liu W, Feng F. Spatiotemporal Changes in Leaf Area and Carbon Sequestration of Terrestrial Vegetation in China over the Last Two Decades. Forests. 2022; 13(10):1623. https://doi.org/10.3390/f13101623
Chicago/Turabian StyleHu, Qingfeng, Enjun Gong, Zhihui Wang, Jing Zhang, Wenkai Liu, and Feng Feng. 2022. "Spatiotemporal Changes in Leaf Area and Carbon Sequestration of Terrestrial Vegetation in China over the Last Two Decades" Forests 13, no. 10: 1623. https://doi.org/10.3390/f13101623
APA StyleHu, Q., Gong, E., Wang, Z., Zhang, J., Liu, W., & Feng, F. (2022). Spatiotemporal Changes in Leaf Area and Carbon Sequestration of Terrestrial Vegetation in China over the Last Two Decades. Forests, 13(10), 1623. https://doi.org/10.3390/f13101623

