Effects of Two Management Practices on Monthly Litterfall in a Cypress Plantation
Abstract
1. Introduction
2. Materials and Methods
2.1. Study Area
2.2. Experimental Design
2.3. Litter Collection
2.4. Statistical Analyses
3. Results
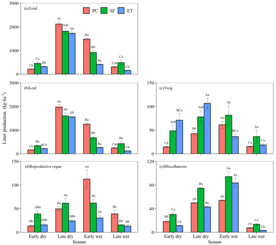
3.1. Annual Litterfall Production
3.2. Monthly Dynamics of Litterfall
3.3. Allometric Scaling Relationships of Annual Litterfall
3.4. Factors Driving the Changes in Litterfall Production
4. Discussion
4.1. Annual Litter Production
4.2. Litterfall Monthly Dynamics
4.3. Litter Components and Allometric Scaling Relationships of Litterfall
5. Conclusions
Supplementary Materials
Author Contributions
Funding
Institutional Review Board Statement
Informed Consent Statement
Data Availability Statement
Acknowledgments
Conflicts of Interest
References
- FAO. Global Forest Resources Assessment 2020: Main Report; FAO: Rome, Italy, 2020. [Google Scholar]
- Liu, S.; Yang, Y.; Wang, H. Development strategy and management countermeasures of planted forests in China: Transforming from timber-centered single objective management towards multi-purpose management for enhancing quality and benefits of ecosystem services. Acta Ecol. Sin. 2018, 38, 1–10, (In Chinese with English Abstract). [Google Scholar]
- Zhou, Q.; Li, F.; Cai, X.; Rao, X.; Zhou, L.; Liu, Z.; Lin, Y.; Fu, S. Survivorship of plant species from soil seedbank after translocation from subtropical natural forests to plantation forests. For. Ecol. Manag. 2019, 432, 741–747. [Google Scholar] [CrossRef]
- Sujii, P.S.; Schwarcz, K.D.; Grando, C.; de Aguiar Silvestre, E.; Mori, G.M.; Brancalion, P.H.S.; Zucchi, M.I. Recovery of genetic diversity levels of a Neotropical tree in Atlantic Forest restoration plantations. Biol. Conserv. 2017, 211, 110–116. [Google Scholar] [CrossRef]
- Mohler, C.; Bataineh, M.; Bragg, D.C.; Ficklin, R.; Pelkki, M.; Olson, M. Long-term effects of group opening size and site preparation method on gap-cohort development in a temperate mixedwood forest. For. Ecol. Manag. 2021, 48, 118616. [Google Scholar] [CrossRef]
- Hou, L.; Zhang, Y.; Li, Z.; Shao, G.; Song, L.; Sun, Q. Comparison of soil properties, understory vegetation species diversities and soil microbial diversities between Chinese Fir plantation and close-to-natural forest. Forests 2021, 12, 632. [Google Scholar] [CrossRef]
- Hua, F.; Bruijnzeel, L.A.; Meli, P.; Martin, P.A.; Zhang, J.; Nakagawa, S.; Miao, X.; Wang, W.; McEvoy, C.; Peña-Arancibia, J.L.; et al. The biodiversity and ecosystem service contributions and trade-offs of forest restoration approaches. Science 2022, 376, 839–844. [Google Scholar] [CrossRef]
- Li, X.; Li, Y.; Zhang, J.; Peng, S.; Chen, Y.; Cao, Y. The effects of forest thinning on understory diversity in China: A meta-analysis. Land Degrad. Dev. 2020, 31, 1225–1240. [Google Scholar] [CrossRef]
- Felton, A.; Lindbladh, M.; Brunet, J.; Fritz, Ö. Replacing coniferous monocultures with mixed-species production stands: An assessment of the potential benefits for forest biodiversity in northern Europe. For. Ecol. Manag. 2010, 260, 939–947. [Google Scholar] [CrossRef]
- Bei, P.; Si, S.; Zhou, D.; Chen, J.; Zhao, R.; Mu, C. Effects of strip reform on understory plant diversity of Cupressus funebris plantations in Hilly Areas of Central Sichuan. J. Sichuan For. Sci. Technol. 2018, 39, 1–6, (In Chinese with English Abstract). [Google Scholar]
- Zhang, W.; Yang, K.; Lyu, Z.; Zhu, J. Microbial groups and their functions control the decomposition of coniferous litter: A comparison with broadleaved tree litters. Soil Biol. Biochem. 2019, 133, 196–207. [Google Scholar] [CrossRef]
- Sayer, E.J.; Tanner, E.V.J. Experimental investigation of the importance of litterfall in lowland semi-evergreen tropical forest nutrient cycling. J. Ecol. 2010, 98, 1052–1062. [Google Scholar] [CrossRef]
- Neumann, M.; Ukonmaanaho, L.; Johnson, J.; Benham, S.; Vesterdal, L.; Novotný, R.; Hasenauer, H. Quantifying carbon and nutrient input from litterfall in European forests using field observations and modeling. Glob. Biogeochem. Cycles 2018, 32, 784–798. [Google Scholar]
- Berg, B.; McClauhgerty, C.A. Plant Litter: Decomposition, Humus Formation, Carbon Sequestration, 3rd ed.; Springer: New York, NY, USA, 2014. [Google Scholar]
- Paudel, E.; Dossa, G.G.; Xu, J.; Harrison, R.D. Litterfall and nutrient return along a disturbance gradient in a tropical montane forest. For. Ecol. Manag. 2015, 353, 97–106. [Google Scholar]
- Zhang, H.; Yuan, W.; Dong, W.; Liu, S. Seasonal patterns of litterfall in forest ecosystem worldwide. Ecol. Complex. 2014, 20, 240–247. [Google Scholar]
- Tang, J.; Cao, M.; Zhang, J.; Li, M. Litterfall production, decomposition and nutrient use efficiency varies with tropical forest types in Xishuangbanna, SW China: A 10-year study. Plant Soil 2010, 335, 271–288. [Google Scholar]
- Acenolaza, P.G.; Zamboni, L.P.; Rodriguez, E.E.; Gallardo, J.F. Litterfall production in forests located at the Pre-delta area of the Parana River (Argentina). Ann. For. Sci. 2010, 67, 311. [Google Scholar] [CrossRef]
- Zhu, X.; Liu, W.; Chen, H.; Deng, Y.; Chen, C.; Zeng, H. Effects of forest transition on litterfall, standing litter and related nutrient returns: Implications for forest management in tropical China. Geoderma 2019, 333, 123–134. [Google Scholar] [CrossRef]
- Ni, X.; Lin, C.; Chen, G.; Xie, J.; Yang, Z.; Liu, X.; Yang, Y. Decline in nutrient inputs from litterfall following forest plantation in subtropical China. For. Ecol. Manag. 2021, 496, 119445. [Google Scholar]
- Lin, N.; Bartsch, N.; Heinrichs, S.; Vor, T. Long-term effects of canopy opening and liming on leaf litter production, and on leaf litter and fineroot decomposition in a European beech (Fagus sylvatica L.) forest. For. Ecol. Manag. 2015, 338, 183–190. [Google Scholar] [CrossRef]
- Wu, W.; Zhou, X.; Wen, Y.; Zhu, H.; You, Y.; Qin, Z.; Li, Y.; Huang, X.; Yan, L.; Li, H. Coniferous-broadleaf mixture increases soil microbial biomass and functions accompanied by improved stand biomass and litter production in subtropical China. Forests 2019, 10, 879. [Google Scholar]
- Vigulu, V.; Blumfield, T.J.; Reverchon, F.; Bai, S.; Xu, Z. Nitrogen and carbon cycling associated with litterfall production in monoculture teak and mixed species teak and flueggea stands. J. Soil Sediments 2019, 19, 1672–1684. [Google Scholar] [CrossRef]
- Tongkaemkaew, U.; Sukkul, J.; Sumkhan, N.; Panklang, P.; Brauman, A.; Ismail, R. Litterfall, litter decomposition, soil macrofauna, and nutrient contents in rubber monoculture and rubber-based agroforestry plantations. For. Soc. 2018, 2, 138–149. [Google Scholar] [CrossRef]
- Jimenez, M.N.; Navarro, F.B. Thinning effects on litterfall remaining after 8 years and improved stand resilience in Aleppo pine afforestation (SE Spain). J. Environ. Manag. 2016, 169, 174–183. [Google Scholar] [CrossRef] [PubMed]
- Blanco, J.A.; Imbert, J.B.; Castillo, F.J. Influence of site characteristics and thinning intensity on litterfall production in two Pinus sylvestris L. forests in the western Pyrenees. For. Ecol. Manag. 2006, 237, 342–352. [Google Scholar] [CrossRef]
- Ma, Y.; Cheng, D.; Zhong, Q.; Jin, B.; Xu, C.; Hu, B. Anisotropic ratio of different fractions of Chinese forest apoplankton. Chin. J. Plant Ecol. 2013, 37, 1071, (In Chinese with English Abstract). [Google Scholar] [CrossRef]
- Fu, C.; Yang, W.; Tan, B.; Xu, Z.; Zhang, Y.; Yang, J.; Wu, F. Seasonal dynamics of litterfall in a sub-alpine spruce-fir forest on the eastern Tibetan Plateau: Allometric scaling relationships based on one year of observations. Forests 2017, 8, 314. [Google Scholar] [CrossRef]
- Clark, D.A.; Brown, S.; Kicklighter, D.W.; Chambers, J.Q.; Thomlinson, J.R.; Ni, J. Measuring net primary production in forests: Concepts and field methods. Ecol. Appl. 2001, 11, 356–370. [Google Scholar] [CrossRef]
- Han, D.; Zhang, L.; Feng, M.; Wu, T.; Tie, L.; Li, W.; Wang, Y. Effects of transformation of Cypress funebrisf forest on soil microorganism, enzymatic activity and nutrient. J. Northeast For. Univ. 2016, 44, 57–62, (In Chinese with English Abstract). [Google Scholar]
- Wang, Y.; Chen, S.; He, W.; Ren, J.; Wen, X.; Wang, Y.; Fan, C. Shrub diversity and niche characteristics in the initial stage of reconstruction of low-efficiency Cupressus funebris stands. Forests 2021, 12, 1492. [Google Scholar] [CrossRef]
- Chen, J.; Niu, M.; Gong, G.; Zhou, D.; Zhu, Z.; Li, Y.; Zhen, S.; Xie, T.; Mu, C. Transformation of cypress monoculture by cutting in band and replanting in Sichuan central basin. Southwest China J. Agric. Sci. 2019, 32, 636–644, (In Chinese with English Abstract). [Google Scholar]
- Gong, G.; Niu, M.; Mu, C.; Chen, J.; Li, Y.; Zhu, Z.; Zhen, S. Impacts of different thinning intensities on growth of Cupressus funebris plantation and understory plants. Sci. Silvae Sin. 2015, 51, 8–15, (In Chinese with English Abstract). [Google Scholar]
- Li, Y.; Gong, G.; Zheng, S.; Chen, J.; Mu, C.; Zhu, Z.; Niu, M. Impact on water and soil conservation of different bandwidths in low-efficiency cypress forest transformation. Acta Ecol. Sin. 2013, 33, 934–943, (In Chinese with English Abstract). [Google Scholar]
- Lai, J.; Zou, Y.; Zhang, J.; Peres-Neto, P. Generalizing hierarchical and variation partitioning in multiple regression and canonical analyses using the rdacca. hp R package. Methods Ecol. Evol. 2022, 13, 782–788. [Google Scholar] [CrossRef]
- Rich, P.M. Plant allometry: The scaling of form and process. Ecology 1995, 76, 2342–2343. [Google Scholar] [CrossRef]
- Warton, D.I.; Weber, N.C. Common slope tests for bivariate errors-in-variables models. Biom. J. 2002, 44, 161–174. [Google Scholar] [CrossRef]
- Zhou, J.; Lang, X.; Du, B.; Zhang, H.; Liu, H.; Zhang, Y.; Shang, L. Litterfall and nutrient return in moist evergreen broad-leaved primary forest and mixed subtropical secondary deciduous broad-leaved forest in China. Eur. J. For. Res. 2016, 135, 77–86. [Google Scholar] [CrossRef]
- Bahru, T.; Ding, Y. Effect of stand density, canopy leaf area index and growth variables on Dendrocalamus brandisii (Munro) Kurz litter production at Simao District of Yunnan Province, southwestern China. Glob. Ecol. Conserv. 2020, 23, e01051. [Google Scholar] [CrossRef]
- Dai, Y.; Gong, F.; Yang, X.; Chen, X.; Su, Y.; Liu, L.; Sun, Q. Litterfall seasonality and adaptive strategies of tropical and subtropical evergreen forests in China. J. Plant Ecol. 2022, 15, 320–334. [Google Scholar] [CrossRef]
- Bray, J.R.; Gorham, E. Litter production in forests of the world. Adv. Ecol. Res. 1964, 2, 101–157. [Google Scholar]
- Roig, S.; del Río, M.; Cañellas, I.; Montero, S. Litter fall in Mediterranean Pinus pinaster Ait. stands under different thinning regimes. For. Ecol. Manag. 2005, 206, 179–190. [Google Scholar]
- Espinosa, J.; Madrigal, J.; Pando, V.; de la Cruz, A.C.; Guijarro, M.; Hernando, C. The effect of low-intensity prescribed burns in two seasons on litterfall biomass and nutrient content. Int. J. Wildland Fire 2020, 29, 1029–1041. [Google Scholar]
- Souza, S.R.; Veloso, M.D.; Espírito-Santo, M.M.; Silva, J.O.; Sánchez-Azofeifa, A.; Souza e Brito, B.G.; Fernandes, G.W. Litterfall dynamics along a successional gradient in a Brazilian tropical dry forest. For. Ecosyst. 2019, 6, 35. [Google Scholar]
- Morffi-Mestre, H.; Ángeles-Pérez, G.; Powers, J.S.; Andrade, J.L.; Huechacona Ruiz, A.H.; May-Pat, F.; Dupuy, J.M. Multiple factors influence seasonal and interannual litterfall production in a tropical dry forest in Mexico. Forests 2020, 11, 1241. [Google Scholar]
- Sun, X.; Liu, F.; Zhang, Q.; Li, Y.; Zhang, L.; Wang, J.; Wang, X. Biotic and climatic controls on the interannual variation in canopy litterfall of a deciduous broad-leaved forest. Agric. For. Meteorol. 2021, 307, 108483. [Google Scholar] [CrossRef]
- Liu, W.; Fox, J.E.; Xu, Z. Litterfall and nutrient dynamics in a montane moist evergreen broad-leaved forest in Ailao Mountains, SW China. Plant Ecol. 2003, 164, 157–170, (In Chinese with English Abstract). [Google Scholar] [CrossRef]
- Sun, J.; Niu, S.; Wang, J. Divergent biomass partitioning to aboveground and belowground across forests in China. J. Plant Ecol. 2018, 11, 484–492. [Google Scholar]
- Reich, P.B.; Wright, I.J.; Cavender-Bares, J.; Craine, J.M.; Oleksyn, J.; Westoby, M.; Walters, M.B. The evolution of plant functional variation: Traits, spectra, and strategies. Int. J. Plant Sci. 2003, 164, 143–164. [Google Scholar]
- Price, C.A.; Weitz, J.S.; Savage, V.M.; Stegen, J.; Clarke, A.; Coomes, D.A.; Dodds, P.S.; Etienne, R.S.; Kerkhoff, A.J.; McCulloh, K.; et al. Testing the metabolic theory of ecology. Ecology 2012, 15, 1465–1474. [Google Scholar]
- Niu, K.; Choler, P.; Zhao, B.; Du, G. The allometry of reproductive biomass in response to land use in Tibetan alpine grasslands. Funct. Ecol. 2009, 23, 274–283. [Google Scholar] [CrossRef]






| Parameter (y-x) | Pattern | n | Scaling Exponent | Test of Isometry | |||
|---|---|---|---|---|---|---|---|
| R2 | Slope | 95%CI | F Value | Type | |||
| LTo-LL | PC | 30 | 0.936 *** | 1.080 a | 0.980~1.191 | 2.633 | I |
| SF | 30 | 0.978 *** | 1.020 a | 0.963~1.081 | 0.496 | I | |
| ET | 30 | 0.962 *** | 0.984 a | 0.912~1.062 | 0.184 | I | |
| LTo-LT | PC | 30 | 0.498 *** | 0.314 b | 0.240~0.412 | 114.872 *** | A |
| SF | 30 | 0.546 *** | 0.343 b | 0.265~0.444 | 101.876 *** | A | |
| ET | 30 | 0.527 *** | 0.539 a | 0.414~0.701 | 25.694 *** | A | |
| LTo-LR | PC | 30 | 0.23 ** | 0.237 b | 0.170~0.331 | 143.960 *** | A |
| SF | 30 | 0.316 ** | 0.547 a | 0.399~0.75 | 16.799 *** | A | |
| ET | 30 | 0.435 *** | 0.443 a | 0.333~0.591 | 40.725 *** | A | |
| LL-LT | PC | 30 | 0.431 *** | 0.291 b | 0.218~0.388 | 121.981 *** | A |
| SF | 30 | 0.444 *** | 0.336 b | 0.253~0.447 | 87.453 *** | A | |
| ET | 30 | 0.362 *** | 0.547 a | 0.404~0.742 | 17.958 *** | A | |
| LL-LR | PC | 30 | 0.068 | 0.220 | 0.152~0.316 | / | / |
| SF | 30 | 0.229 ** | 0.536 a | 0.384~0.749 | 16.017 *** | A | |
| ET | 30 | 0.321 *** | 0.450 a | 0.329~0.616 | 32.312 *** | A | |
| LT-LR | PC | 30 | 0.078 | 0.755 | 0.525~1.086 | / | / |
| SF | 30 | 0.159 * | 1.594 a | 1.126~2.257 | 7.780 ** | A | |
| ET | 30 | 0.332 *** | 0.823 b | 0.603~1.123 | 1.620 | I | |
| Factors | RI (%) | p Value |
|---|---|---|
| Annual litterfall | ||
| Stand density | 9.66 | 0.104 |
| Canopy density | 7.11 | 0.130 |
| Species richness | 11.64 | 0.063 |
| Tree height | 16.14 | 0.026 |
| Diameter at breast height | 17.85 | 0.024 |
| Monthly litterfall | ||
| Mean wind speed | 9.09 | 0.001 |
| Precipitation | 5.41 | 0.001 |
| Air temperature | 16.38 | 0.001 |
| Relative humidity | 15.95 | 0.001 |
Publisher’s Note: MDPI stays neutral with regard to jurisdictional claims in published maps and institutional affiliations. |
© 2022 by the authors. Licensee MDPI, Basel, Switzerland. This article is an open access article distributed under the terms and conditions of the Creative Commons Attribution (CC BY) license (https://creativecommons.org/licenses/by/4.0/).
Share and Cite
Yang, Y.; Yang, H.; Wang, Q.; Dong, Q.; Yang, J.; Wu, L.; You, C.; Hu, J.; Wu, Q. Effects of Two Management Practices on Monthly Litterfall in a Cypress Plantation. Forests 2022, 13, 1581. https://doi.org/10.3390/f13101581
Yang Y, Yang H, Wang Q, Dong Q, Yang J, Wu L, You C, Hu J, Wu Q. Effects of Two Management Practices on Monthly Litterfall in a Cypress Plantation. Forests. 2022; 13(10):1581. https://doi.org/10.3390/f13101581
Chicago/Turabian StyleYang, Yulian, Honglin Yang, Qiang Wang, Qing Dong, Jiaping Yang, Lijun Wu, Chengming You, Jinyao Hu, and Qinggui Wu. 2022. "Effects of Two Management Practices on Monthly Litterfall in a Cypress Plantation" Forests 13, no. 10: 1581. https://doi.org/10.3390/f13101581
APA StyleYang, Y., Yang, H., Wang, Q., Dong, Q., Yang, J., Wu, L., You, C., Hu, J., & Wu, Q. (2022). Effects of Two Management Practices on Monthly Litterfall in a Cypress Plantation. Forests, 13(10), 1581. https://doi.org/10.3390/f13101581

