Next Article in Journal
Investments in Pinus elliottii Engelm. Plantations: Real Options Analysis in Discrete Time
Previous Article in Journal
Comprehensive Identification and Profiling of miRNAs Involved in Terpenoid Synthesis of Gleditsia sinensis Lam.
 
 
Font Type:
Arial Georgia Verdana
Font Size:
Aa Aa Aa
Line Spacing:
Column Width:
Background:
Article

Soil Compaction after Increasing the Number of Wheeled Tractors Passes on Forest Soils in West Carpathians

1
Department of Forest Harvesting, Logistics and Ameliorations, Faculty of Forestry, Technical University in Zvolen, T.G. Masaryka 24, 96001 Zvolen, Slovakia
2
Department of Forestry Technology and Constructions, Faculty of Forestry and Wood Sciences, Czech University of Life Sciences Prague, Kamýcká 129, 165 00 Prague, Suchdol, Czech Republic
*
Author to whom correspondence should be addressed.
Forests 2022, 13(1), 109; https://doi.org/10.3390/f13010109
Submission received: 16 November 2021 / Revised: 21 December 2021 / Accepted: 6 January 2022 / Published: 12 January 2022
(This article belongs to the Section Forest Operations and Engineering)

Abstract

:
Soil disturbance and compaction are inherent in ground-based harvesting operations. These changes are affected by numerous factors, related mainly to the technical parameters of the machines, soil conditions, and the technology used. This study aimed to analyze the changes of surface layers of soil caused by skidder traffic without loads on the Cambisols of Western Carpathians. We observed changes in the soil bulk density and penetration resistance. The results showed that only machine traffic caused a 0.32 to 0.35 (g cm−3) increase in soil bulk density. Besides machine traffic, bulk density was affected by soil moisture content. Penetration resistance of soil increased by 0.15 to 1.04 (MPa) after traffic of 40 machines. Penetration resistance showed a lower increase after traffic, and regression and correlation analysis proved a relationship between penetration resistance, skeleton content, and penetration depth, besides the number of machine passes (r = 0.33–0.55). Observing the changes in the physical properties of soils caused by machine traffic allows for a more detailed view of the effects of forest harvesting machinery on forest soils.

1. Introduction

Soil can accumulate solar radiation, participate in cycles of organic matter, and as the source of nutrition for plants, is the basis of forest production [1]. Soil is a vital moisture reservoir [2], affects the quality of surface water, and provides an effective filter, affecting groundwater quality [3,4]. Soil degradation is one of the primary forms of damage associated with forestry [5,6] and forest operations [7,8], resulting from the use of heavy machinery for timber harvesting and transportation [9]. Forest machinery traffic causes three types of soil disturbance: compaction, profile disturbance, and rutting [10,11]. Soil compaction is responsible for soil physical degradation [12,13]. It occurs when the load applied on soil exceeds the ground-bearing capacity and reduces the pore space and volume [14,15]. Compaction increases the soil bulk density and shear strength [16,17]. Increased resistance to penetration [18] disturbs water drainage, air infiltration, respiration, and gas exchange [19,20]. Compaction effects on soil’s physical properties are commonly described through bulk density [21] or soil penetration resistance, i.e., the vertical force required to penetrate a cone into the soil, thereby assessing soil strength and evaluating root penetrability [22]. Many studies have focused on the effects of compaction on soil penetration resistance; however, the results are difficult to compare because of the variability of the experimental conditions, such as soil physical characteristics or equipment [23]. Increased soil bulk density is often associated with reduced air and water permeability [24]. However, the association between bulk density and permeability is not automatic; an increase in bulk density does not always lead to a change in the air and water infiltration rates [25].
This study aims to compare the changes to bulk density and penetration resistance due to a varying number of passes of commonly used forest machinery over a forest soil surface. The novelty of our study lies in the fact that we assessed the effects of forest machinery on previously undisturbed soils, without the additional effects of the loads normally skidded over the soil surface, measuring soil parameters repeatedly after machine passes. This enabled us to control the conditions for assessing the effects of contact pressure on Cambisols. Furthermore, numerous studies focused on assessing the effects of machine traffic, simulating real-life situations, but the repeatability of such results is difficult as the machines pass over soils that were already subjected to machine traffic (different initial conditions). Moreover, though some studies account for the weight of the loads, weight is not the only factor when considering the effects of the loads. Skidding technology, routing of the skid trails, specific top/large end diameters, and other factors will play a role in the mechanisms of soil compaction or displacement. In summary, our study presents the effects of machine traffic, as isolated as possible in the field. Therefore, we formed two hypotheses: (i) the increasing number of machine passes uniformly increases soil bulk density and penetration resistance, and (ii) the changes of soil bulk density and penetration resistance are significantly affected by the weight class of the machine passing on the soil surface.

2. Material and Methods

Measurements were conducted at the forests managed by the University forest enterprise of the Technical University in Zvolen. The enterprise manages 9726 ha of forests used for education and research. The observed area is a moderately cold, highly moist climatic region of Slovakia, with a mean annual temperature range between 4 °C and 6 °C, maximal temperatures between 12 °C and 16 °C in July, and minimal temperatures between −6 °C to −4 °C in January. The mean annual precipitation is between 900 and 1000 mm, in July between 60 and 80 mm, and in January between 60 and 70 mm. Measurements were carried out in stand no. 554 (48°38′35.5″ N 19°02′12.5″ E) (Table 1), in July and August 2020.
To identify the soil texture in the forest stand, a soil sample was taken and analyzed in a laboratory to determine the share of fine matter fractions under 0.063 mm (loam, silt, sand) via a Casagrande method. To determine the skeleton content (2–4 mm; >4 mm) in particular depth intervals, ten soil samples from up to 50 cm depth were taken from the vicinity of the experimental plots into steel cylinders (width 60 mm, length 1000 mm). The samples were divided into 10 cm sections and sieved with 125–63–32–16–8–4–2–1–0.5–0.25–0.126–0.063 mm normalized sieves. The grain size distribution is created by a combination of sieve analysis (particles between 125 mm and 0.063 mm) and hydrometer (densitometer) tests (particles less than 0.063 mm). Hydrometer (areometer, densitometer, the Casagrande’s test) is based on free and continuous sedimentation of the suspension (the Stoke’s law). During sedimentation, the density of the solution is read in seven defined time intervals: 2′, 5′, 15′, 30′, 60′, 120′, 240′ and 24 h. Subsequently, fictitious sieves are formed from these density readings and converted to grain size fractions. The data obtained by the sieving and hydrometer method were merged and plotted in the form of the grain size distribution curve [27].
The study was conducted on three skid trails, where the soil’s bulk density (B.D.) and penetration resistance (P.R.) were observed before and after machine traffic. Machines passed over the soil surface unloaded to ensure the masses of the machines were consistent throughout the study. Each skid trail was passed by a single machine, the Zetor 7245 Horal system (universal skidder—U.S.), LKT 81 ITL (forest skidder—F.S.1), and HSM 805 HD (forest skidder—F.S.2) (Table 2). The tire inflation pressure was measured by a portable tire pressure regulator Pneurex 1 (Blitz Co., Ltd., Bräunlingen, Germany). DINI ARGEO 3590 E with two WWSE10T load cells (700 × 450 mm; capacity 10,000 kg) axle scales were used to measure the mass of the machines.
All experimental plots were 4 m wide and 20 m long (Figure 1). The number of passes on each experimental plot was 40. Bulk density and P.R. were measured after pass no. 0, 3, 5, 10, 15, 20, 25, 30, 35, and 40. Three measurement places were selected on each experimental plot, at distances of 1, 10, and 19 m from the start of each plot. At each measurement location, soil B.D. and P.R. were measured for the left and right rut of the skid trail, i.e., a set of six measurements for each prescribed number of machine passes.
Control measurements were carried out on the experimental plots before the first pass of the machines. The experimental skid trails used in our study were located outside the delineated, permanent skid trails, thus eliminating the effects of previous machine traffic. We observed the following parameters on each experimental plot: (i) machine type, (ii) B.D. (g cm−3), (iii) moisture content (%), (iv) P.R. (MPa), (v) P.R. depth (cm), (vi) P.R. depth interval, (vii) the number of passes, and (viii) P.R. values, where the prescribed depth interval was not reached. To collect samples for B.D. evaluation, Eijkelkamp soil and water sampling cylinders with a 100 cm3 volume (length 50 mm, inner diameter 50 mm) were used. Before soil sampling, the organic matter layer was cleared from the soil surface. The sampled soil was hermetically sealed in the cylinders to prevent moisture loss and transferred to the laboratory for analysis. In the laboratory, samples were weighed on calibrated scales (accuracy 0.1 g). Subsequently, the samples were dried at 105 °C for 24 h to determine the B.D. Moisture content (%) was determined by the gravimetric method as the difference in weights of the fresh and dried samples.
An Eijkelkamp Penetrologger was used to measure P.R. (MPa) characteristics. The penetrometer was equipped with an 80 cm long rod and a cone with an 11.3 mm base diameter, a surface area of 1 cm2, and an angle of 30°. Penetration velocity was 2 cm s−1. The penetrometer was equipped with a new cone before measuring each machine. Data were logged into the memory of the device, from where they were exported into a P.C. via the Eijkelkamp Penetroviewer software. Data gathered were evaluated in Statistica 12.0 (regression and correlation analysis, analysis of variance, ꭓ2 test) and M.S. Excel.

3. Results

3.1. Soil Bulk Density

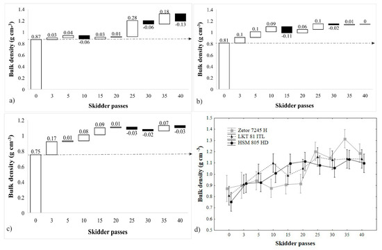
Soil compaction is one of the first indicators of changes to the near-surface layers of forest soils induced by machine traffic. One of the indicators of pedocompaction is the increase of the soil bulk density. The differences of B.D. caused by the traffic of the three machines proved to be statistically insignificant (p = 0.49), though the differences in B.D. caused by the number of passes of the machines on soil surface were significant (p = 0.00) for all three machines (Table 3). Based on this, we can state that despite the different mass of the machines, the compaction they caused in the top ten centimeter layer of soil was similar.
A Tukey’s test was used to find the passes where bulk density significantly differed from others (Table S1). The test outcomes showed that in the case of the U.S., the differences were insignificant until the 20th pass. This points to a relatively uniform and gradual increase in B.D. For F.S.1, measurements after the third, fifth, and fifteenth pass were insignificant compared to the control measurements. For F.S.2, all subsequent measurements were significantly different from the values of the control measurements. The measurements’ outcomes showed that significant compaction occurred after five passes for the heavier forest skidders, whereas for the lighter universal skidder, such differences between the control measurements and trafficked soil occurred much later, after about 20 passes.
Mean B.D. of undisturbed soils ranged between 0.75 and 0.87 g cm−3. Mean B.D. of soils compacted by machine traffic (regardless of the number of passes) ranged between 1.04 and 1.07 (g cm−3). The increasing number of machine passes caused an increase in B.D. overall, though there were some exceptions (Table 4). Maximal compaction was achieved after the 25th (F.S.1) to the 35th machine pass (U.S., F.S.2). In the case of the ultimate, 40th, machine pass, B.D. reached 1.10 g cm−3 (F.S.2) to 1.19 g cm−3 (U.S.).
Comparing the machines showed an uneven increase (or decrease) of B.D. (Figure 2). Such variability in bulk density is caused by the elastic structural changes in surface layers of the soils caused by machine traffic. Albeit, in the case of the U.S., a relatively uniform increase of B.D. was visible until the 20th machine pass, with a steep increase after the 25th pass (+0.33 g cm−3; 37.93%). Bulk density was the highest after the 35th machine pass (+0.45 g cm−3; 51.72%). A steady, incremental increase of B.D. could be explained by the smaller mass of the machine (3570 kg). Considering F.S.1, a sharper increase of B.D. was visible up until the 10th machine pass (+0.29 g cm−3; 35.80%). The increase was more gradual from this pass onwards than before, with a maximum B.D. reached after 25th pass (+0.34 g cm−3; 41.98%). A similar trend of steep B.D. increase at first was visible for F.S.2, up until the 20th machine pass (+0.36 g cm−3; 48%). The more substantial increase of the bulk density at first can be explained by the larger mass of the two forest skidders—F.S.1 was 7030 kg (+97%) heavier, and F.S.2 was 8730 kg (+145%) heavier than the U.S.
Bulk densities increased by a relatively uniform 0.32 to 0.35 g cm−3 between the control measurements and the measurements after the final machine pass (Table 5). Based on this information, we can presume that the 40 machine passes caused the maximal pedocompaction that was practically possible. The differences in the relative increases of bulk density (3.96% for F.S.1 vs. U.S. or 9.89% between F.S.2 vs. U.S.) could be caused by the different masses of the machines.
One of the factors that can cause soil compaction in the surface layers of soil is soil moisture content. The mean moisture content at the experimental plots ranged between 29.95% and 38.04%. The strength of the relationship between B.D. and soil moisture content was assessed by Spearman’s correlation coefficient. The analysis showed a strong relationship between the two variables (r = −0.84; p < 0.05) for the experiment with the US traffic and a moderately strong relationship (r = −0.69; p < 0.05) for that with the F.S.1 traffic. A weak, statistically insignificant relationship was found for the plot where F.S.2 passed (r = −0.31; p > 0.05). The negative correlation coefficient indicated that a lower moisture content leads to greater B.D.

3.2. Soil Penetration Resistance

Analysis of variance was used to compare the differences of P.R. between the particular machines. The analysis proved that machines caused statistically significant differences in P.R. (p = 0.00).
To compare the significance of the differences between the passes, depth intervals, and the interactions between passes and selected depth intervals (0–10 cm; 11–20 cm; 21–30 cm; 31> cm), we used an ANOVA. The outcomes showed that statistically significant differences were present in all cases (p < 0.05) (Table S2). We further investigated which passes contributed to the statistical significance of the ANOVA via a Tukey’s test (Table S3). From the outcomes, it can be seen that in the case of the U.S., only a small group of pairs exhibited significant differences, e.g., the fortieth pass and the fifth pass to passes no. 20, 25 or pass no. 15 vs. passes no. 20 and 25. For F.S.1, the tenth and 30th pass exhibited a significantly different P.R. to other passes. In the case of F.S.2, P.R. difference was significant for the control measurement and passes no. 30 and 40. From the analysis, it can be seen that P.R. provides less consistent results than B.D. measurements. This was caused by the lower susceptibility of B.D. measurements to soil skeleton content, as well as the smaller effects of the tire contact pressure in the deeper soil layers.
Penetration resistance varied between 3.18 and 3.90 MPa for the control measurements. Mean PR after machine traffic ranged between 3.56 and 4.21 MPa. Maximal PR was reached after the 30th pass of the U.S. (3.83 MPa). For F.S.1, the maximal P.R. was reached after the 15th pass (4.72 MPa) and in the case of F.S.2, the maximal P.R. was reached after the ultimate, 40th pass (4.22 MPa). The first three passes caused both an increase of P.R. (U.S. +4.19%) and its decrease (F.S.1 −6.92%; F.S.2 −2.83%). After the first five passes, the P.R. increased by 8.80% (F.S.2), 12.28% (U.S.), and 18.97% (F.S.1) (Table 6).
The comparison of the number of passes showed that P.R. values vary greatly (Figure 3). The maximal increase of P.R. for the U.S. was observed after its fifth pass over the skid trail (0.41 MPa; +12.28%), whereas the maximal decrease was observed after its tenth pass (−0.53 MPa; −14.13%). After the 25th pass, the P.R. was relatively stable. For F.S.1, the variability was greater; in five cases, a P.R. decrease was observed, whereas P.R. increased in four cases. Similarly to the U.S., the most substantial increase of P.R. was observed after the first five machine passes (+1.01 MPa; +27.82%). The highest P.R. was observed after the 15th pass, while the greatest decrease occurred between 21st and 25th pass of the machine over the skid trail (−0.51 MPa; −11.54%). On the other hand, the trend of P.R. increase was relatively stable in the case of the F.S.2, with the maximum and most substantial increase in P.R. observed after the ultimate machine pass (+0.71 MPa; +20.23%). The greatest decrease of P.R. occurred after the tenth machine pass (−0.49 MPa; −14.16%). Overall, machine traffic on skid trails caused an increase of PR between 3.85% (F.S.1) and 32.70% (F.S.2) (Table 7). The variability of P.R. values could be caused by the elastic deformation of the top soil layers, as well as the susceptibility of the method to the presence of soil skeleton.
For a more detailed comparison of the changes of P.R., the variable was analyzed in 10 cm depth intervals (Table 8). The most substantial P.R. differences were observed between the layers 0 to 10 cm and 11 to 20 cm. This was caused by the dry season when the measurements took place, as well as the high share of coarse soil skeleton (>4 mm) in the 11–20 cm layer (+32.70%). A great difference was also observed in the 21–30 cm and 31> cm layers. Similar to the layers mentioned above, the skeleton content increased. On the other hand, the increases in P.R. between the layers 11–20 cm and 21–30 cm were insubstantial. Between the layers, the lowest increase of soil skeleton was observed.
The problem of processing data from particular depth intervals was the number of measurements, where the set depth limit could not be reached (Table 9). This was caused mainly by the method of measuring P.R. and the device used, which is more suited for agricultural soils or soils with a smaller share of soil skeleton. The greatest percentage difference of these measurements occurred in the 21–30 cm and 31> cm depth intervals, where it reached 37–50%. For these depth intervals, a ꭓ2 test was used to find the distribution of the missing P.R. data based on the number of machine passes. The test showed that the number of passes does not affect the percentage share of the missing data in individual depth intervals. Thus we need to consider alternative factors, such as soil structure, soil depth, soil skeleton share, or the presence of root systems at the point of measurement.
Another factor that can affect the P.R. is the soil depth. The regression and correlation analysis showed the relationships between the variables were significant, and their strength ranged from moderately strong in case of F.S.2 (r = 0.55) and U.S. (r = 0.42) to weak in case of F.S.1 (r = 0.33).

4. Discussion

In our case, the average rates of B.D. of undisturbed soil ranged between 0.75–0.87 g cm−3. Solgi et al. [28] report the B.D. of undisturbed soil in the Guilan province of Iran is 0.7 g cm−3, while [29] report 1.12 g cm−3 in the top 10 cm soil layer in Southwestern Georgia, USA. In our case, the maximal B.D. values varied between 1.13 and 1.32 g cm−3 and were reached between passes 25 and 35. Bigelow et al. [29] report maximal B.D. of 1.50 g cm−3 measured in the rut of a Tigercat 610 C skid trail. The B.D. was reached between passes 22 and 49 of the machine on the skid trail. In our case, the difference in B.D. between the control measurement and the 40th machine pass ranged between 36.78% and 46.67%. Bigelow et al. [29] also report that compared to the undisturbed soil in the stand, the mean B.D. of the top 10 cm soil layer increased by 77% in the rut of the skid trails. On the other hand, [30] states that 21 machine passes caused a 58.5% increase in B.D. To compare the effects of load on the soil compaction while skidding, [31] reported a mean B.D. of 1.35 and 1.29 g cm−3 in the ruts of the trails, over which 411 m3 and 215 m3 of timber was skidded by an HSM 805 HD skidder. Allman et al. [31] also report that on a Luvisol skid trail, over which 215 m3 of timber was skidded by a Zetor 7245, the B.D. reached 1.24 g cm−3. Compared to our results, the B.D. reached after the 40th machine pass was 19%, 15%, or 4% lower on average.
In our case, the first three passes of the machines caused an increase of between 3.45% and 22.67% in B.D. and the first five passes of the machines caused an increase of between 8.05% and 24.7%. Researchers [18] found that bulk density increases more sharply, with 50% of the total impact occurring after three passes. A study provided by Williamson and Neilsen [32] states an even greater increase of B.D. in the top 10 cm of soil, at 62%. On the other hand, [30] provides a more conservative B.D. increase after skidder traffic—the first pass increases B.D. by 18.2%, and six passes cause a 33.6% increase. Similarly, [33] reports that the first pass of a skidder causes a 5% increase in B.D. and five passes cause a 19% increase in the top 10 cm layer of soil. Similarly, we found that a significant increase in soil compaction occurred only after a certain number of machine passes (3–5) according to Tukey’s test, especially for the heavier machines. Canillas and Salokhe [34], while modeling the soil compaction at a variable number of machine passes in laboratory conditions, state that significant compaction occurs during the first three machine passes, while subsequent passes cause do not cause substantial additional compaction.
In the case of our measurements, the relationship between the B.D. and soil moisture content was significant in the top 10 cm soil layer (p < 0.05), with a negative correlation coefficient. Wang et al. [35] state that on skid trails in the Appalachian Mountains, trafficked by the John Deere 648 G skidder, the B.D. change was not significantly affected by soil moisture on the skid trails or the number of loaded machine passes. A study [36] analyzed the correlation between B.D. and soil moisture in various depth intervals (0–10 cm, 11–20 cm, 2130 cm), and a statistically significant relationship, with a negative correlation coefficient, was found only for the second depth interval (p = 0.004). On the other hand, [37] states that soil moisture affects observed soil compaction and trafficability.
In our case, the maximal P.R. values (3.83–4.72 MPa) were reached after 15–40 machine passes (depending on the machine). Considering the P.R., [18] state that the resistance of undisturbed sandy forest soils ranged between 0.24 and 0.36 MPa in the surface layer and between 2.46 and 2.51 MPa in the 80 cm depth. In our case, the resistance of undisturbed soil to penetration ranged between 3.18 and 3.90 MPa. Reichert et al. [38] state that forest harvesting operations performed by a Caterpillar 525 on the clay soils found at the 17-year-old Pinus taeda plantation in Brazil caused a maximal PR of 2 MPa after three machine passes.
We observed similar behavior: the most substantial increase in P.R. was observed in the top 10 cm layer and the 11 to 20 cm layer (28.7–43.30%). In the study [39], the authors observed the effects of harvester traffic on the P.R. in North Idaho and found that machine traffic caused a significant change in P.R. in all depths in the 10–30 cm interval. The most substantial P.R. increase was observed in the top 10 cm soil layer, followed by the 11–20 cm interval and the 30 cm depth interval. Authors [40], citing ANOVA results, also claim that the number of machine passes affects P.R. Besides machine traffic, the penetration depth is an important factor in considering P.R. Researchers [23] state that depth explains 27% of the P.R. variability. In our case, P.R. and depth showed a moderately strong relationship (r = 0.33–0.55). Similarly, [29] states that the number of passes, the penetration depth, and the interaction of said factors significantly affect the P.R. values.

5. Conclusions and Recommendations for Forest Management

This study described the changes of soil B.D. and P.R. at a differing number of skidder passes. The results showed that despite the substantial differences in masses of the machines, the soil compaction that the traffic caused was similar. Weight class affected the rate at which the top layers of soil were compacted but not the level of compaction. The limiting factor was the number of machine passes. Methods based on observing the changes in the soil B.D. in the surface soil layers appear to be efficient at evaluating the environmental effects of harvesting operations in terms of soil disturbance. The results of observations based on P.R. proved statistically significant differences in soil disturbance caused by the particular skidders, though they appear relatively challenging to interpret, as confirmed by Tukey’s test. The test proved that the method is susceptible to soil skeleton content, penetration depth, and other organic material (e.g., roots), typical for forest soils. The influence manifested mainly in the high share of unsuccessful measurements, where the prescribed penetration depth (>20 cm) could not be achieved. Said disadvantages of the method favor its use in agriculture and soils with lower root densities or skeleton content. The study focused on providing a comprehensive view of the effects of skidder technologies on the changes of soil characteristics in Western Carpathians. Our results document the effects of various factors affecting the extent of soil disturbance and the advantages and disadvantages of particular methods used in the study.
To improve the management of forest operations and the sustainability of forest management, we added the following recommendations.
The results achieved on silt loam Cambisols show that the mass of the skidder affects the trend of B.D. increase. However, the differences between the categories decrease with the increasing number of machine passes. Lighter machines, which can be used in less intensive management systems, can cause compaction similar to machines that are three times heavier with more passes over the soil surface.
Soil moisture content had statistically significant effects on Cambisol pedocompaction at particular machine passes. To minimize the effects of said factor, forest managers should plan harvesting operations for periods with minimal precipitation or minimize the number of passes over a single trail in these conditions by optimizing the density of the skid trail network. Observing the moisture content in practice is relatively simple. However, the managers need to set the moisture content limits for particular soil types and textures to optimize the harvesting operations.
Using B.D. measurements as a means of optimizing the pedocompaction is laborious and time-consuming. However, it provides relevant and interpretable results. Using P.R. can seem relatively less time-consuming and laborious; however, the method produces relevant and consistent data, primarily for soils with a low skeleton content.

Supplementary Materials

The following supporting information can be downloaded at: https://www.mdpi.com/article/10.3390/f13010109/s1.

Author Contributions

Conceptualization, M.A. and Z.D.; Methodology M.A. and V.J.; Software M.A. and M.J. and M.V.; Validation, M.A., Z.D. and M.J.; Formal Analyses M.A.; Investigation M.A., Z.D., M.V. and D.T.; Resources M.A., Z.D., V.J., M.V. and D.T.; Data Curation, M.A. and M.J.; Writing—Original Draft Preparation, M.A., Z.D. and M.J.; Writing—Review & Editing, M.A., Z.D. and M.J.; Visualization, D.T., V.J. and M.V.; Supervision, M.A.; Project Administration, D.T.; Funding Acquisition, M.A. All authors have read and agreed to the published version of the manuscript.

Funding

This research was funded by the Slovak Research and Development Agency (APVV), (grant number 15-0714), Mitigation of climate change risk by optimization of forest harvesting scheduling and by grant number 18-0305, Utilization of progressive methods for evaluation of forest logging impacts on forest ecosystems and road network. Than by Scientific Grant Agency VEGA (grant number: 1/0241/20) and grant Comprehensive research of mitigation and adaptation measures to diminish the negative impacts of climate changes on forest ecosystems in Slovakia “(FORRES), ITMS: 313011T678 supported by the Operational Programme Integrated Infrastructure (OPII) funded by the ERDF.

Institutional Review Board Statement

Not applicable.

Informed Consent Statement

Not applicable.

Data Availability Statement

Data are available upon request from authors.

Conflicts of Interest

The authors declare no conflict of interest.

References

  1. Toivio, J.; Helmisaari, H.S.; Palviainen, M.; Lindeman, H.; Ala-Ilomäki, J.; Sirén, M.; Uusitalo, J. Impacts of timber forwarding on physical properties of forest soils in southern Finland. For. Ecol. Manag. 2017, 405, 22–30. [Google Scholar] [CrossRef] [Green Version]
  2. Dominati, E.; Patterson, M.; Mackay, A. A framework for classifying and quantifying the natural capital and ecosystem services of soils. Ecol. Econ. 2010, 69, 1858–1868. [Google Scholar] [CrossRef]
  3. Blum, W.E. Functions of soil for society and the environment. Rev. Environ. Sci. Bio/Technol. 2005, 4, 75–79. [Google Scholar] [CrossRef]
  4. Vennik, K.; Kukk, P.; Krebstein, K.; Reintam, E.; Keller, T. Measurements and simulations of rut depth due to single and multiple passes of a military vehicle on different soil types. Soil Tillage Res. 2019, 186, 120–127. [Google Scholar] [CrossRef]
  5. Canillas, E.C.; Salokhe, V.M. A decision support system for compaction assessment in agricultural soils. Soil Tillage Res. 2002, 65, 221–230. [Google Scholar] [CrossRef]
  6. Ampoorter, E.; Schrijver, A.; van Nevel, L.; Hermy, M.; Verheyen, K. Impact of mechanized harvesting on compaction of sandy and clayey forest soils: Results of a meta-analysis. Ann. For. Sci. 2012, 69, 533–542. [Google Scholar] [CrossRef] [Green Version]
  7. Venanzi, R.; Picchio, R.; Piovesan, G. Silvicultural and logging impact on soil characteristics in Chestnut (Castanea sativa Mill.) Mediterraneancoppice. Ecol. Eng. 2016, 92, 82–89. [Google Scholar] [CrossRef]
  8. Marra, E.; Cambi, M.; Fernandez-Lacruz, R.; Giannetti, F.; Marchi, E.; Nordfjell, T. Photogrammetric estimation of wheel rut dimensions and soil compaction after increasing numbers of forwarder passes. Scand. J. For. Res. 2018, 33, 613–620. [Google Scholar] [CrossRef]
  9. Godwin, R.; Spoor, G.; Finney, B.; Hann, M.; Davies, B. The Current Status of Soil and Water Management in England, 1st ed.; Royal Agricultural Society of England: Stoneleigh, UK, 2008; pp. 7–28. [Google Scholar]
  10. Rab, M.A.; Bradshaw, F.J.; Campbell, R.G.; Murphy, S. Review of Factors Affecting Disturbance, Compaction and Trafficability of Soils with Particular Reference to Timber Harvesting in the Forests of South-West Western Australia, 1st ed.; Department of Conservation and Land Management: Kensington, Australia, 2005; p. 146.
  11. Cambi, M.; Certini, G.; Neri, F.; Marchi, E. The impact of heavy traffic on forest soils: A review. For. Ecol. Manag. 2015, 338, 124–138. [Google Scholar] [CrossRef]
  12. Pagliai, M.; Marsili, A.; Servadio, P.; Vignozzi, N.; Pellegrini, S. Changes in some physical properties of a clay soil in central Italy following the passage of rubber tracked and wheeled tractors of medium power. Soil Tillage Res. 2003, 73, 119–129. [Google Scholar] [CrossRef]
  13. Macrì, G.; De Rossi, A.; Papandrea, S.; Micalizzi, F.; Russo, D.; Settineri, G. Evaluation of soil compaction caused by passages of farm tractor in a forest in southern Italy. Agron. Res. 2017, 15, 478–489. [Google Scholar]
  14. Wijekoon, M.; Sellgren, U.; Pirnazarov, A.; Löfgren, B. Forest machine tire-soil interaction. In Proceedings of the 45th International Symposium on Forestry Mechanisation (FORMEC) Forest Engineering—Concern, Knowledge and Accountability in Today’s Environment, Dubrovnik, Croatia, 8–12 October 2012; Available online: https://www.formec.org/images/proceedings/2012/S_10_5.pdf (accessed on 2 October 2021).
  15. Mohtashami, S.; Eliasson, L.; Jansson, G.; Sonesson, J. Influence of soil type, cartographic depth-to-water, road reinforcement and traffic intensity on rut formation in logging operations: A survey study in Sweden. Silva Fenn. 2017, 51, 1–14. [Google Scholar] [CrossRef] [Green Version]
  16. Naghdi, R.; Solgi, A.; Labelle, E.R.; Zenner, E.K. Influence of groundbased skidding on physical and chemical properties of forest soils and their effects on maple seedling growth. Eur. J. For. Res. 2016, 135, 949–962. [Google Scholar] [CrossRef]
  17. Proto, A.R.; Macrì, G.; Sorgonà, A.; Zimbalatti, G. Impact of skidding operations on soil physical properties in southern Italy. Contemp. Eng. Sci. 2016, 9, 1095–1104. [Google Scholar] [CrossRef]
  18. Ampoorter, E.; Goris, R.; Cornelis, W.M.; Verheyen, K. Impact of mechanized logging on compaction status of sandy forest soils. For. Ecol. Manag. 2007, 241, 162–174. [Google Scholar] [CrossRef]
  19. Šušnjar, M.; Horvat, D.; Seselj, J. Soil compaction in timber skidding in winter conditions. Croat. J. For. Eng. 2006, 27, 3–15. [Google Scholar]
  20. Nawaz, M.F.; Bourrie, G.; Trolard, F. Soil compaction impact and modelling. A review. Agron. Sustain. Dev. 2013, 33, 291–309. [Google Scholar] [CrossRef] [Green Version]
  21. Håkansson, I.; Lipiec, J. A review of the usefulness of relative bulk density values in studies of soil structure and compaction. Soil Tillage Res. 2000, 53, 71–85. [Google Scholar] [CrossRef]
  22. Vaz, C.M.P.; Hopmans, J.W. Simultaneous measurement of soil penetration resistance and water content with a combined penetrometer–TDR moisture probe. Soil Sci. Soc. Am. J. 2001, 65, 4–12. [Google Scholar] [CrossRef] [Green Version]
  23. Mohieddinne, H.; Brasseur, B.; Spicher, F.; Gallet-Moron, E.; Buridant, J.; Kobaissi, A.; Horen, H. Physical recovery of forest soil after compaction by heavy machines, revealed by penetration resistance over multiple decades. For. Ecol. Manag. 2019, 449, 1–10. [Google Scholar] [CrossRef]
  24. Magagnotti, N.; Spinelli, R.; Güldner, O.; Erler, J. Site impact after motor-manual and mechanised thinning in Mediterranean pine plantations. Biosyst. Eng. 2012, 113, 140–147. [Google Scholar] [CrossRef]
  25. Malmer, A.; Grip, H. Soil disturbance and loss of infiltrability caused by mechanized and manual extraction of tropical rainforest in Sabah, Malaysia. For. Ecol. Manag. 1990, 38, 1–12. [Google Scholar] [CrossRef]
  26. Sedláčková, K.; Ševelová, L. Comparison of laser diffraction method and hydrometer method for soil particle size distribution analysis. Acta Hortic. Et Regiotect. 2021, 24, 49–55. [Google Scholar] [CrossRef]
  27. IUSS Working Group WRB. World Reference Base for Soil Resources 2014, Update 2015. International Soil Classification System for Naming Soils and Creating Legends for Soil Maps. World Soil Resources Reports No. 106. FAO, Rome. 2015. Available online: https://www.fao.org/3/i3794en/I3794en.pdf (accessed on 3 November 2021).
  28. Solgi, A.; Naghdi, R.; Tsioras, P.A.; Nikooy, M. Soil compaction and porosity changes caused during the operation of Timberjack 450C skidder in northern Iran. Croat. J. For. Eng. 2015, 36, 217–225. [Google Scholar]
  29. Bigelow, S.W.; Jansen, N.A.; Jack, S.B.; Staudhammer, C.L. Influence of selection method on skidder-trail soil compaction in longleaf pine forest. For. Sci. 2018, 64, 641–652. [Google Scholar] [CrossRef]
  30. Naghdi, R.; Bagheri, I.; Akef, M.; Mahdavi, A. Soil compaction caused by 450C Timber Jack wheeled skidder (Shefarood forest, northern Iran). J. For. Sci. 2007, 53, 314–319. [Google Scholar] [CrossRef] [Green Version]
  31. Allman, M.; Jankovský, M.; Messingerová, V.; Allmanová, Z.; Ferenčík, M. Soil compaction of various Central European forest soils caused by traffic of forestry machines with various chassis. For. Syst. 2015, 24, 6. [Google Scholar] [CrossRef] [Green Version]
  32. Williamson, J.R.; Neilsen, W.A. The influence of forest site on rate and extent of soil compaction and profile disturbance of skid trails during ground-based harvesting. Can. J. For. Res. 2000, 30, 1196–1205. [Google Scholar] [CrossRef]
  33. Majnounian, B.; Jourgholami, M. Effects of rubber-tired cable skidder on soil compaction in Hyrcanian Forest. Croat. J. For. Eng. J. Theory Appl. For. Eng. 2013, 34, 123–135. [Google Scholar]
  34. Canillas, E.C.; Salokhe, V.M. Regression analysis of some factors influencing soil compaction. Soil Tillage Res. 2001, 61, 167–178. [Google Scholar] [CrossRef]
  35. Wang, J.; LeDoux, C.B.; Edwards, P.; Jones, M. Soil bulk density changes caused by mechanized harvesting: A case study in central Appalachia. For. Prod. J. 2005, 55, 37–40. [Google Scholar]
  36. Ampoorter, E.; Van Nevel, L.; De Vos, B.; Hermy, M.; Verheyen, K. Assessing the effects of initial soil characteristics, machine mass and traffic intensity on forest soil compaction. For. Ecol. Manag. 2010, 260, 1664–1676. [Google Scholar] [CrossRef] [Green Version]
  37. Mosaddeghi, M.R.; Hajabbasi, M.A.; Hemmat, A.; Afyuni, M. Soil compactibility as affected by soil moisture content and farmyard manure in central Iran. Soil Tillage Res. 2000, 55, 87–97. [Google Scholar] [CrossRef]
  38. Reichert, J.M.; Cechin, N.F.; Reinert, D.J.; Rodrigues, M.F.; Suzuki, L.E.A.S. Ground-based harvesting operations of Pinus taeda affects structure and pore functioning of clay and sandy clay soils. Geoderma 2018, 331, 38–49. [Google Scholar] [CrossRef]
  39. Han, H.S.; Page-Dumroese, D.; Han, S.K.; Tirocke, J. Effects of slash, machine passes, and soil moisture on penetration resistance in a cut-to-length harvesting. Int. J. For. Eng. 2006, 17, 11–24. [Google Scholar] [CrossRef]
  40. Picchio, R.; Mercurio, R.; Venanzi, R.; Gratani, L.; Giallonardo, T.; Lo Monaco, A. Strip clear-cutting application and logging typologies for renaturalization of pine afforestation—A case study. Forests 2018, 9, 366. [Google Scholar] [CrossRef] [Green Version]
Figure 1. The shape of study site and location of measurements.
Figure 1. The shape of study site and location of measurements.
Forests 13 00109 g001
Figure 2. Comparison of the differences (Δ) of increase or decrease of bulk density (g cm−3) at different numbers of the universal skidder (a), the LKT forest skidder (b), and HSM forest skidder (c); average soil bulk density (g cm−3) for individual machine passes of the machines, vertical lines depicting 95% confidence intervals (d). Black bar color (subfigures (ac)) indicates a decrease in bulk density.
Figure 2. Comparison of the differences (Δ) of increase or decrease of bulk density (g cm−3) at different numbers of the universal skidder (a), the LKT forest skidder (b), and HSM forest skidder (c); average soil bulk density (g cm−3) for individual machine passes of the machines, vertical lines depicting 95% confidence intervals (d). Black bar color (subfigures (ac)) indicates a decrease in bulk density.
Forests 13 00109 g002
Figure 3. Comparison of the penetration resistance (MPa) development at a particular number of machine passes by a universal skidder Zetor 7245 (a), forest skidder LKT 81 ITL (b), and forest skidder HSM 805 HD (c), and average soil penetration resistances (MPa) caused by machine traffic, with vertical lines depicting 95% confidence intervals (d). Black bar color (subfigures (ac)) indicates a decrease in penetration resistance.
Figure 3. Comparison of the penetration resistance (MPa) development at a particular number of machine passes by a universal skidder Zetor 7245 (a), forest skidder LKT 81 ITL (b), and forest skidder HSM 805 HD (c), and average soil penetration resistances (MPa) caused by machine traffic, with vertical lines depicting 95% confidence intervals (d). Black bar color (subfigures (ac)) indicates a decrease in penetration resistance.
Forests 13 00109 g003
Table 1. Basic information on the observed forest stand and soil parameters.
Table 1. Basic information on the observed forest stand and soil parameters.
Stand554
Age (years)85
Area (ha)5.84
Stocking degree0.90
OrientationWest
Slope (%)20
Management systemShelterwood
Altitude (m asl.)675–720
Tree species composition (%)Fagus sylvatica (70); Abies alba (29); Picea abies (1)
Skidding distance (m)400
Soil type [26]Cambisol
Soil textureSilt Loam
Loam content (<0.002 mm) (%)4.05
Silt content (0.002–0.063 mm) (%)69.13
Sand content (0.063–2 mm) (%)26.82
% share of skeleton in different depth intervals2–4 mm>4 mm
0–10 cm3.04Δ % ↕11.62Δ % ↕
−31.61+32.70
11–20 cm2.3815.42
+1.69+5.32
21–30 cm2.4216.24
−1.65+13.36
31–40 cm2.3818.41
+30.25−8.80
41–50 cm3.1016.79
Table 2. Technical parameters of the observed machines.
Table 2. Technical parameters of the observed machines.
Machine TypeZetor 7245LKT 81 ITLHSM 805 HD
Engine (typ)Z 7201JCB 448 TA1OM 904 LA
Number of cylinders/displacement cm34/35954/44004/4250
Performance (kW)/revolutions per minute46/220093/2200129/2200
FuelDieselDieselDiesel
DriveMechanicalHydrodynamicHydrostatic
Winch (type)-F.S.1Adler HY 20
Traction force (kN)-2 × 80 kN2 × 100 kN
Hydraulic manipulator-Epsilon M90 R72Loglift F101 RT 72
Hydraulic manipulator reach (m)-7.27.2
Axles-NAFNAF
Measured machine width (cm)225250253
Front tires (inch)9.5/9–24540 **/70–3023.1–26
Rear tires (inch)18.4/15–28540 **/70–3023.1–26
Front tire typeBarumNokian Forest KingMitas Tractor Drive T.D. 01
Rear tire typeDanubianaNokian Forest KingMitas Tractor Drive TD 01
Front tire inflation pressure (MPa)2.12.02.5
Rear tire inflation pressure (MPa)1.52.42.5
Front axle weight(kg)151042304.10
Rear axle weight (kg)206063707590
Total mass (kg) *357010,60012,300
* total mass without the operator in the cab; ** width in (mm).
Table 3. ANOVA of the bulk density, the machine types, and the number of machine passes.
Table 3. ANOVA of the bulk density, the machine types, and the number of machine passes.
Sum of SquaresDegree of FREEDOMMean SquaresFp
Intercept *182.11531182.115313716.560.000000
Factor machine0.018720.00930.700.496559
Factor number of passes *2.190990.243418.330.000000
Error2.15091620.0133
* bold type indicates statistical significance
Table 4. Dry soil bulk density and the percentage increase between the particular number of machine passes.
Table 4. Dry soil bulk density and the percentage increase between the particular number of machine passes.
MachineNumber of Passes
03510152025303540Ø **
U.S. (g cm−3)0.870.900.940.880.910.921.201.141.32 *1.191.04
Δ % ↔0+3.5+4.6−6.9+3.5+1.2+32.2−6.9+20.7−14.9-
F.S.1 (g cm−3) 0.810.911.011.100.991.051.15 *1.131.141.141.07
Δ % ↔0+12.4+12.4+11.1−13.6+7.4+12.4−2.5+1.20-
F.S.2 (g cm−3)0.750.920.931.011.101.111.081.061.13 *1.101.05
Δ % ↔0+22.7+1.3+10.7+12+1.3−4.0−2.7+9.3−4.0-
* maximal bulk density; ** mean bulk density of all passes, without the control measurements; U.S.—universal skidders Zetor 7245 Horal system; F.S.1—forest skidder LKT 81 ITL; F.S.2—forest skidder HSM 805 HD.
Table 5. Comparison of initial and final bulk densities (g cm−3) at the experimental plots subjected to traffic by particular machines; U.S.—universal skidder Zetor 7245, F.S.1—forest skidder LKT 81 ITL, F.S.2—forest skidder HSM 805 HD.
Table 5. Comparison of initial and final bulk densities (g cm−3) at the experimental plots subjected to traffic by particular machines; U.S.—universal skidder Zetor 7245, F.S.1—forest skidder LKT 81 ITL, F.S.2—forest skidder HSM 805 HD.
0 Pass (g cm−3)40 Pass (g cm−3)Ø MoistureΔ (g cm−3) ↔Δ % ↔
U.S.0.871.1938.040.32+36.8
F.S.10.811.1429.950.33+40.7
F.S.20.751.1034.390.35+46.7
Table 6. Penetration resistance (MPa) and its percentage increase/decrease relative to the number of passes.
Table 6. Penetration resistance (MPa) and its percentage increase/decrease relative to the number of passes.
Machine Number of Passes
03510152025303540Ø **
U.S. (MPa)3.343.483.753.223.523.713.533.83 *3.803.763.62
Δ % ↔0+4.2+7.8−14.1+9.3+5.4−4.9+8.5−0.8−1.1
F.S.1 (MPa) 3.903.634.644.524.72 *4.423.914.193.784.054.21
Δ % ↔0−6.9+27.8−2.6+4.4−6.4−11.5+7.2−9.8+7.1
F.S.2 (MPa)3.183.093.462.973.533.593.733.983.514.22 *3.56
Δ % ↔0−2.8+12.0−14.2+18.9+1.7+3.9+6.7−11.8+20.2
* maximal penetration resistance; ** mean penetration resistance of all measurements excluding the control.
Table 7. Penetration resistance (MPa) observed at the control measurement and the ultimate machine pass over the skid trails; U.S.—Zetor 7245, F.S.1—LKT 81 ITL, F.S.2—HSM 805 HD.
Table 7. Penetration resistance (MPa) observed at the control measurement and the ultimate machine pass over the skid trails; U.S.—Zetor 7245, F.S.1—LKT 81 ITL, F.S.2—HSM 805 HD.
0 Pass (MPa)40 Pass (MPa)Δ (MPa) ↔Δ% ↔
U.S.3.343.76+0.42+12.6
F.S.13.904.05+0.15+3.9
F.S.23.184.22+1.04+32.7
Table 8. Outcomes of the percentage differences in penetration resistance in various depth intervals for the individual machine passes.
Table 8. Outcomes of the percentage differences in penetration resistance in various depth intervals for the individual machine passes.
Number of Passes/Penetration Resistance (MPa)
03510152025303540Ø
DepthU.S.
0–10 cm2.092.852.272.652.723.102.542.612.642.88+2.70
Δ (%) ↕73.230.278.446.442.736.532.359.042.821.543.3
11–20 cm3.623.714.053.883.884.233.364.153.773.503.84
Δ (%) ↕7.29.26.210.6−16.03.611.3022.313.4+6.3
21–30 cm3.884.054.304.293.264.383.744.154.613.974.08
Δ (%) ↕25.53.29.126.162.6−8.910.422.7−9.65.5+12.0
31> cm4.874.184.695.415.303.994.135.094.174.194.57
F.S.1
0–10 cm2.583.023.953.353.614.213.343.603.062.943.45
Δ (%) ↕60.126.527.634.616.114.527.330.844.443.2+28.7
11–20 cm4.133.825.044.514.194.824.254.714.424.214.44
Δ (%) ↕19.128.35.62.716.0−19.7−13.9−8.7−5.05.0+0.5
21–30 cm4.924.905.324.634.863.873.664.304.204.424.46
Δ (%) ↕11.216.5−11.118.813.833.118.311.213.318.6+13.9
31> cm5.475.714.735.505.535.154.334.784.765.245.08
F.S.2
0–10 cm1.922.312.232.642.772.353.042.622.993.352.70
Δ (%) ↕64.660.649.86.428.543.428.653.850.223.0+37.0
11–20 cm3.163.713.342.813.563.373.914.034.494.123.70
Δ (%) ↕3.21.637.121.415.70.6−1.823.8−1.3−3.6+9.7
21–30 cm3.263.774.583.414.123.393.844.994.433.974.06
Δ (%) ↕45.120.4−13.39.419.951.052.115.223.959.2+25.1
31> cm4.734.543.973.734.945.125.845.755.496.325.08
Table 9. Percentage share of measurements that did not reach the set depth interval of penetration resistance measurements and the ꭓ2 test for the measurements where the depth interval was not met.
Table 9. Percentage share of measurements that did not reach the set depth interval of penetration resistance measurements and the ꭓ2 test for the measurements where the depth interval was not met.
Depth (cm)U.S. (%; ꭓ2)F.S.1 (%; ꭓ2)F.S.2 (%; ꭓ2)
010000
11–201.673.331.67
21–3031.67; ꭓ2 = 8.83 < 16.9; p = 0.4525; ꭓ2 = 5.50 < 16.9; p = 0.7928.33; ꭓ2 =6.50 < 16.9; p = 0.69
31>48.3; ꭓ2 = 16.0 < 16.9; p = 0.0736.67; ꭓ2 = 9.50 < 16.9; p = 0.3950; ꭓ2 = 16.33 < 16.9; p = 0.06
Publisher’s Note: MDPI stays neutral with regard to jurisdictional claims in published maps and institutional affiliations.

Share and Cite

MDPI and ACS Style

Allman, M.; Dudáková, Z.; Jankovský, M.; Vlčková, M.; Juško, V.; Tomčík, D. Soil Compaction after Increasing the Number of Wheeled Tractors Passes on Forest Soils in West Carpathians. Forests 2022, 13, 109. https://doi.org/10.3390/f13010109

AMA Style

Allman M, Dudáková Z, Jankovský M, Vlčková M, Juško V, Tomčík D. Soil Compaction after Increasing the Number of Wheeled Tractors Passes on Forest Soils in West Carpathians. Forests. 2022; 13(1):109. https://doi.org/10.3390/f13010109

Chicago/Turabian Style

Allman, Michal, Zuzana Dudáková, Martin Jankovský, Mária Vlčková, Vladimír Juško, and Daniel Tomčík. 2022. "Soil Compaction after Increasing the Number of Wheeled Tractors Passes on Forest Soils in West Carpathians" Forests 13, no. 1: 109. https://doi.org/10.3390/f13010109

APA Style

Allman, M., Dudáková, Z., Jankovský, M., Vlčková, M., Juško, V., & Tomčík, D. (2022). Soil Compaction after Increasing the Number of Wheeled Tractors Passes on Forest Soils in West Carpathians. Forests, 13(1), 109. https://doi.org/10.3390/f13010109

Note that from the first issue of 2016, this journal uses article numbers instead of page numbers. See further details here.

Article Metrics

Back to TopTop