Oil in Water Nanoemulsions Loaded with Tebuconazole for Populus Wood Protection against White- and Brown-Rot Fungi
Abstract
1. Introduction
2. Experimental Section
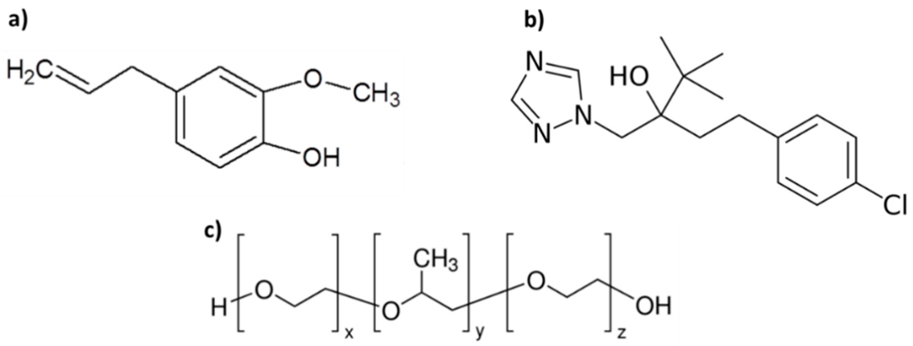
2.1. Chemicals
2.2. Preparation of Tebuconazole Carriers
2.3. Determination of the Density of the Dispersions
2.4. Dynamic Light Scattering
2.5. Impregnation of Wood with the Antifungal Compound by Vacuum-Pressure Treatment
2.6. Efficacy against White- and Brown-Rot Fungi
2.7. Evaluation of Tebuconazole Amount Retained into Wood after Impregnation
2.8. Statistical Analysis
3. Results and Discussion
3.1. Density and sTatability of Aqueous Dispersions of Eugenol Droplets Loaded with Tebuconazole
3.2. Evaluation of the Amount of Tebuconazole Retained into Wood
3.3. Evaluation of the Protection of Impregnated Wood against White- and Brown-Rot Decay Caused by Fungus
4. Conclusions
Author Contributions
Funding
Institutional Review Board Statement
Informed Consent Statement
Data Availability Statement
Acknowledgments
Conflicts of Interest
References
- Ramage, M.H.; Burridge, H.; Busse-Wicher, M.; Fereday, G.; Reynolds, T.; Shah, D.U.; Wu, G.; Yu, L.; Fleming, P.; Densley-Tingley, D.; et al. The wood from the trees: The use of timber in construction. Renew. Sust. Energ. Rev. 2017, 68, 333–359. [Google Scholar] [CrossRef]
- Chang, S.-T.; Hon, D.N.-S.; Feist, W.C. Photodegradation and photoprotection of wood surfaces. Wood Fiber Sci. 1982, 14, 104–117. [Google Scholar]
- Highley, T.L. Biochemical Aspects of White-Rot and Brown-Rot Decay; International Research Group on Wood Preservation: Stockholm, Sweden, 1987. [Google Scholar]
- Zabel, R.; Morrell, J. Wood Microbiology; Academic Press: Waltham, MA, USA, 2020. [Google Scholar]
- Schmidt, O. Wood and Tree Decay. Biology, Damage, Protection and Use; Springer: Berlin, Germany, 2006. [Google Scholar]
- Lebow, S.T. Wood Preservation. In Wood Handbook. Wood as an Engineering Material; Department of Agriculture, Forest Service, Forest Products Laboratory: Madison, WI, USA, 2010; pp. 15.11–15.28. [Google Scholar]
- Thakur, V.K.; Thakur, M.K. Recent Advances in Graft Copolymerization and Applications of Chitosan: A Review. ACS Sustain. Chem. Eng. 2014, 2, 2637–2652. [Google Scholar] [CrossRef]
- Casado-Sanz, M.; Silva-Castro, I.; Ponce-Herrero, L.; Martín-Ramos, P.; Martín-Gil, J.; Acuña-Rello, L. White-Rot Fungi Control on Populus spp. Wood by Pressure Treatments with Silver Nanoparticles, Chitosan Oligomers and Propolis. Forests 2019, 10, 885. [Google Scholar] [CrossRef]
- Silva-Castro, I.; Casado-Sanz, M.; Alonso-Cortés, A.L.; Martín-Ramos, P.; Martín-Gil, J.; Acuña-Rello, L. Chitosan-Based Coatings to Prevent the Decay of Populus spp. Wood Caused by Trametes Versicolor. Coatings 2018, 8, 415. [Google Scholar] [CrossRef]
- Woźniak, M.; Kwaśniewska-Sip, P.; Waśkiewicz, A.; Cofta, G.; Ratajczak, I. The Possibility of Propolis Extract Application in Wood Protection. Forests 2020, 11, 465. [Google Scholar] [CrossRef]
- Torlak, E.; Sert, D. Antibacterial effectiveness of chitosan–propolis coated polypropylene films against foodborne pathogens. Int. J. Biol. Macromol. 2013, 60, 52–55. [Google Scholar] [CrossRef]
- Quiroga, E.; Sampietro, D.; Soberón, J.; Sgariglia, M.; Vattuone, M. Propolis from the northwest of Argentina as a source of antifungal principles. J. Appl. Microbiol. 2006, 101, 103–110. [Google Scholar] [CrossRef]
- Dong, H.; Bahmani, M.; Rahimi, S.; Humar, M. Influence of Copper and Biopolymer/Saqez Resin on the Properties of Poplar Wood. Forests 2020, 11, 667. [Google Scholar] [CrossRef]
- Dorau, B.; Arango, R.; III, F.G. An Investigation into the Potential of Ionic Silver as a Wood Preservative. In Proceedings of the Woodframe Housing Durability and Disaster Issues Conference, Las Vegas, NV, USA, 4–6 October 2004. [Google Scholar]
- Kartal, S.N.; Green, F.; Clausen, C.A. Do the unique properties of nanometals affect leachability or efficacy against fungi and termites? Int. Biodeterior. Biodegrad. 2009, 63, 490–495. [Google Scholar] [CrossRef]
- Kim, S.W.; Jung, J.H.; Lamsal, K.; Kim, Y.S.; Min, J.S.; Lee, Y.S. Antifungal Effects of Silver Nanoparticles (AgNPs) against Various Plant Pathogenic Fungi. Mycobiology 2012, 40, 53–58. [Google Scholar] [CrossRef]
- Clausen, C.; Yang, V.; Arango, R.; Green III, F. Feasibility of Nanozinc Oxide as a Wood Preservative. In Proceedings of the One Hundred Fifth Annual Meeting of the American Wood Protection Association, San Antonio, TX, USA, 19–21 April 2009. [Google Scholar]
- Matsunaga, H.; Kiguchi, M.; Evans, P.D. Microdistribution of copper-carbonate and iron oxide nanoparticles in treated wood. J. Nanoparticle Res. 2009, 11, 1087–1098. [Google Scholar] [CrossRef]
- Nair, S.; Pandey, K.K.; Giridhar, B.; Vijayalakshmi, G. Decay resistance of rubberwood (Hevea brasiliensis) impregnated with ZnO and CuO nanoparticles dispersed in propylene glycol. Int. Biodeterior. Biodegrad. 2017, 122, 100–106. [Google Scholar] [CrossRef]
- Marzbani, P.; Mohammadnia-Afrouzi, Y. Investigation on Leaching and Decay Resistance of Wood Treated with Nano- Titanium Dioxide. Adv. Environ. Biol. 2014, 8, 974–978. [Google Scholar]
- Pánek, M.; Reinprecht, L.; Hulla, M. Ten Essential Oils for Beech Wood Protection—Efficacy Against Wood-destroying Fungi and Moulds, and Effect on Wood Discoloration. BioResources 2014, 9, 5588–5603. [Google Scholar] [CrossRef]
- de Medeiros, F.C.; Gouveia, F.N.; Bizzo, H.R.; Vieira, R.F.; Del Menezzi, C.H. Fungicidal activity of essential oils from Brazilian Cerrado species against wood decay fungi. Int. Biodeterior. Biodegrad. 2016, 114, 87–93. [Google Scholar] [CrossRef]
- Bahmani, M.; Schmidt, O. Plant essential oils for environment-friendly protection of wood objects against fungi. Maderas Cienc. Tecnol. 2018, 20, 325–332. [Google Scholar] [CrossRef]
- Singh, T.; Singh, A.P. A review on natural products as wood protectant. Wood Sci. Technol. 2012, 46, 851–870. [Google Scholar] [CrossRef]
- Caputo, L.; Nazzaro, F.; Souza, L.F.; Aliberti, L.; De Martino, L.; Fratianni, F.; Coppola, R.; De Feo, V. Laurus nobilis: Composition of Essential Oil and Its Biological Activities. Molecules 2017, 22, 930. [Google Scholar] [CrossRef]
- Chittenden, C.; Singh, T. Antifungal activity of essential oils against wood degrading fungi and their applications as wood preservatives. Int. Wood Prod. J. 2011, 2, 44–48. [Google Scholar] [CrossRef]
- Teaca, C.A.; Roşu, D.; Mustaţă, F.; Rusu, T.; Roşu, L.; Roşca, I.; Varganici, C.-D. Natural Bio-Based Products for Wood Coating and Protection against Degradation: A Review. BioResources 2019, 14, 4873–4902. [Google Scholar] [CrossRef]
- Broda, M. Natural Compounds for Wood Protection against Fungi—A Review. Molecules 2020, 25, 3538. [Google Scholar] [CrossRef]
- Loughman, R.; Thomas, G. Fungicide and cultivar control of Septoria diseases of wheat. Crop. Prot. 1992, 11, 349–354. [Google Scholar] [CrossRef]
- Cabras, P.; Angioni, A.; Garau, V.L.; Melis, M.; Pirisi, F.M.; Minelli, E.V.; Cabitza, F.; Cubeddu, M. Fate of Some New Fungicides (Cyprodinil, Fludioxonil, Pyrimethanil, and Tebuconazole) from Vine to Wine. J. Agric. Food Chem. 1997, 45, 2708–2710. [Google Scholar] [CrossRef]
- Buschaus, H.U.; Valcke, A.R. Triazoles: Synergism between Propiconazole and Tebuconazole. In Proceedings of the International Research Group on Wood Preservation Conference, Helsingör, Denmark, 11–16 June 1995. [Google Scholar]
- Woo, C.; Daniels, B.; Stirling, R.; Morris, P. Tebuconazole and propiconazole tolerance and possible degradation by Basidiomycetes: A wood-based bioassay. Int. Biodeterior. Biodegrad. 2010, 64, 403–408. [Google Scholar] [CrossRef]
- Joseph-Horne, T.; Hollomon, D.; Loeffler, R.; Kelly, S. Altered P450 activity associated with direct selection for fungal azole resistance. FEBS Lett. 1995, 374, 174–178. [Google Scholar] [CrossRef]
- Reinprecht, L. Fungicides for Wood Protection—World Viewpoint and Evaluation/Testing in Slovakia; IntechOpen: Rijeka, Croatia, 2010; pp. 95–122. [Google Scholar]
- Eaton, R.A.; Hale, M.D.C. Wood: Decay, Pests and Protection; Springer: Berlin, Germany, 1993. [Google Scholar]
- Lewis, K.A.; Tzilivakis, J.; Warner, D.J.; Green, A. An international database for pesticide risk assessments and management. Hum. Ecol. Risk Assess. Int. J. 2016, 22, 1050–1064. [Google Scholar] [CrossRef]
- Fishel, F.M. What Are Inert Ingredients? Institute of Food and Agricultural Sciences, University of Florida: Gainesville, FL, USA, 2011. [Google Scholar]
- Fishel, F.M. Pesticide Formulations; Institute of Food and Agricultural Sciences, University of Florida: Gainesville, FL, USA, 2010. [Google Scholar]
- Directive No. 98/8/EC Concerning the Placing of Biocidal Products on the Market; European Commission: Brussels, Belgium, 1998.
- Palanivel, V.; Manavalan, R.; Valliappan, K. Microencapsulation: A vital technique in novel drug delivery system. J. Pharm. Sci. Res. 2009, 1, 26–35. [Google Scholar]
- Katiyar, B.; Katiyar, S.; Mishra, P.; Sailaja, D. Microemulsions: A novel drug carrier system. Int. J. Pharm. Sci. Rev. Res. 2013, 20, 138–148. [Google Scholar]
- Perry, S.L.; McClements, D.J. Recent Advances in Encapsulation, Protection, and Oral Delivery of Bioactive Proteins and Peptides using Colloidal Systems. Molecules 2020, 25, 1161. [Google Scholar] [CrossRef] [PubMed]
- Singh, N.; Joshi, A.; Toor, A.P.; Verma, G. Drug delivery: Advancements and challenges. In Nanostructures for Drug Delivery; Andronescu, E., Grumezescu, A.M., Eds.; Elsevier: Amsterdam, The Netherlands, 2017; pp. 865–886. [Google Scholar] [CrossRef]
- Lucia, A.; Guzmán, E. Emulsions containing essential oils, their components or volatile semiochemicals as promising tools for insect pest and pathogen management. Adv. Colloid Interface Sci. 2020, 287, 102330. [Google Scholar] [CrossRef] [PubMed]
- Li, Y.; Zheng, J.; Xiao, H.; McClements, D.J. Nanoemulsion-based delivery systems for poorly water-soluble bioactive compounds: Influence of formulation parameters on polymethoxyflavone crystallization. Food Hydrocoll. 2012, 27, 517–528. [Google Scholar] [CrossRef]
- Harimurti, N.; Nasikin, M.; Mulia, K. Water-in-Oil-in-Water Nanoemulsions Containing Temulawak (Curcuma xanthorriza Roxb) and Red Dragon Fruit (Hylocereus polyrhizus) Extracts. Molecules 2021, 26, 196. [Google Scholar] [CrossRef]
- Lucia, A.; Guzmán, E.; Rubio, R.G.; Ortega, F. Enhanced solubilization of an insect juvenile hormone (JH) mimetic (piryproxyfen) using eugenol in water nanoemulsions stabilized by a triblock copolymer of poly(ethylenglycol) and poly(propilenglycol). Colloids Surfaces A Physicochem. Eng. Asp. 2020, 606, 125513. [Google Scholar] [CrossRef]
- Fernández-Peña, L.; Gutiérrez-Muro, S.; Guzmán, E.; Lucia, A.; Ortega, F.; Rubio, R.G. Oil-In-Water Microemulsions for Thymol Solubilization. Colloids Interfaces 2019, 3, 64. [Google Scholar] [CrossRef]
- Hosseini, S.F.; Ramezanzade, L.; McClements, D.J. Recent advances in nanoencapsulation of hydrophobic marine bioactives: Bioavailability, safety, and sensory attributes of nano-fortified functional foods. Trends Food Sci. Technol. 2021, 109, 322–339. [Google Scholar] [CrossRef]
- Lucia, A.; Toloza, A.C.; Guzman, E.; Ortega, F.; Rubio, R.G. Novel polymeric micelles for insect pest control: Encapsulation of essential oil monoterpenes inside a triblock copolymer shell for head lice control. PeerJ 2017, 5, e3171. [Google Scholar] [CrossRef]
- Sánchez-Arribas, N.; Guzmán, E.; Lucia, A.; Toloza, A.C.; Velarde, M.G.; Ortega, F.; Rubio, R.G. Environmentally friendly platforms for encapsulation of an essential oil: Fabrication, characterization and application in pests control. Colloids Surfaces A Physicochem. Eng. Asp. 2018, 555, 473–481. [Google Scholar] [CrossRef]
- Lucia, A.; Girard, C.; Fanucce, M.; Coviella, C.; Rubio, R.G.; Ortega, F.; Guzmán, E. Development of an Environmentally Friendly Larvicidal Formulation Based on Essential Oil Compound Blend to Control Aedes aegypti Larvae: Correlations between Physicochemical Properties and Insecticidal Activity. ACS Sustain. Chem. Eng. 2020, 8, 10995–11006. [Google Scholar] [CrossRef]
- Díaz-Blancas, V.; Medina, D.I.; Padilla-Ortega, E.; Bortolini-Zavala, R.; Olvera-Romero, M.; Luna-Bárcenas, G. Nanoemulsion Formulations of Fungicide Tebuconazole for Agricultural Applications. Molecules 2016, 21, 1271. [Google Scholar] [CrossRef]
- Chin, C.-P.; Lan, C.-W.; Wu, H.-S. Application of biodiesel as carrier for insecticide emulsifiable concentrate formulation. J. Taiwan Inst. Chem. Eng. 2012, 43, 578–584. [Google Scholar] [CrossRef]
- Mustafa, I.F.; Hussein, M.Z. Synthesis and Technology of Nanoemulsion-Based Pesticide Formulation. Nanomaterials 2020, 10, 1608. [Google Scholar] [CrossRef] [PubMed]
- Kah, M.; Hofmann, T. Nanopesticide research: Current trends and future priorities. Environ. Int. 2014, 63, 224–235. [Google Scholar] [CrossRef] [PubMed]
- Chhipa, H. Nanopesticide: Current Status and Future Possibilities. Agric. Res. Technol. Open Access J. 2017, 5, 1–4. [Google Scholar] [CrossRef][Green Version]
- Feng, J.; Zhang, Q.; Liu, Q.; Zhu, Z.; McClements, D.J.; Jafari, S.M. Application of Nanoemulsions in Formulation of Pesticides. In Nanoemulsions; Jafari, S.M., McClements, D.J., Eds.; Academic Press: Cambridge, MA, USA, 2018; pp. 379–413. [Google Scholar] [CrossRef]
- Konopka, A.; Barański, J.; Orłowski, K.; Szymanowski, K. The Effect of Full-Cell Impregnation of Pine Wood (Pinus sylvestris L.) on Changes in Electrical Resistance and on the Accuracy of Moisture Content Measurement Using Resistance Meters. BioResources 2018, 13, 1360–1371. [Google Scholar] [CrossRef]
- EN 113-1:2020: Durability of Wood and Wood-Based Products—Test Method Against Wood Destroying Basidiomycetes—Part 1: Assessment of Biocidal Efficacy of Wood Preservatives; European Comittee for Standarization: Brussels, Belgium, 2020.
- Diaz, B.; Murace, M.; Peri, P.; Keil, G.; Luna, L.; Otaño, M.Y. Natural and preservative-treated durability of Populus nigra cv Italica timber grown in Santa Cruz Province, Argentina. Int. Biodeterior. Biodegrad. 2003, 52, 43–47. [Google Scholar] [CrossRef]
- Bernardi, A.C.; Popoff, O. Durability of Pinus elliottii Wood Impregnated with Quebracho Colorado (Schinopsis balansae) Bio-Protectives Extracts and CCA. Maderas Cienc. Tecnol. 2009, 11, 107–115. [Google Scholar] [CrossRef][Green Version]
- Gao, J.; Kim, J.S.; Daniel, G. Effect of thermal modification on the micromorphology of decay of hardwoods and softwoods by the white rot fungus Pycnoporus sanguineus. Holzforschung 2018, 72, 797–811. [Google Scholar] [CrossRef]
- Kim, J.S.; Gao, J.; Daniel, G. Cytochemical and immunocytochemical characterization of wood decayed by the white rot fungus Pycnoporus sanguineus I. preferential lignin degradation prior to hemicelluloses in Norway spruce wood. Int. Biodeterior. Biodegrad. 2015, 105, 30–40. [Google Scholar] [CrossRef]
- AWPA. Book of Standards; American Wood Protection Association: Birmingham, AL, USA, 2021. [Google Scholar]
- Liu, Y.; Laks, P.; Heiden, P. Controlled release of biocides in solid wood. II. Efficacy against Trametes versicolor and Gloeophyllum trabeum wood decay fungi. J. Appl. Polym. Sci. 2002, 86, 608–614. [Google Scholar] [CrossRef]
- Liu, Y.; Yan, L.; Heiden, P.; Laks, P. Use of nanoparticles for controlled release of biocides in solid wood. J. Appl. Polym. Sci. 2001, 79, 458–465. [Google Scholar] [CrossRef]
- Liu, Y.; Laks, P.; Heiden, P. Controlled release of biocides in solid wood. I. Efficacy against brown rot wood decay fungus (Gloeophyllum trabeum). J. Appl. Polym. Sci. 2002, 86, 596–607. [Google Scholar] [CrossRef]
- Smith, S.T. Water-Borne Wood Preservation and End-of-Life Removal History and Projection. Engineering 2020, 12, 117–139. [Google Scholar] [CrossRef][Green Version]
- Spavento, E.; Murace, M.; Acuña, L.; Monteoliva, S.E.; Troya, M.T. Susceptibility of Populus x euramericana ‘I-214’ of Spanish origin to xylophagous attacks: Durability tests for its possible inclusion in European standard. For. Syst. 2019, 28, e008. [Google Scholar] [CrossRef]
- EN 350:2016: Durability of Wood and Wood-Based Products—Testing and Classification of the Durability to Biological Agents of Wood and Wood-Based Materials; European Comittee for Standarization: Brussels, Belgium, 2016.
- Choi, Y.-S.; Kim, G.-H.; Lim, Y.W.; Kim, S.H.; Imamura, Y.; Yoshimura, T.; Kim, J.-J. Characterization of a strong CCA-treated wood degrader, unknown Crustoderma species. Antonie Leeuwenhoek 2009, 95, 285–293. [Google Scholar] [CrossRef]
- Jennings, P.; Breithaupt, J.; Bays, D.; Dole, T.; Chen, J.; Rury, K.; Luminello, T.; Kyprianou, R.; Ross, P. Chromated Arsenical Final Work Plan; EPA-HQ-OPP-2015-0349; Environmental Protection Agency of United States of America: Washington, DC, USA, 2016. [Google Scholar]
- Siau, J.F. Wood-Influence of Moisture on Physical Properties; Department of Wood Science and Forest Products, Virginia Polytechnic Institute and State University: Blacksburg, VA, USA, 1995. [Google Scholar]
- Marcovich, N.; Reboredo, M.; Aranguren, M.I. Moisture diffusion in polyester-woodflour composites. Polymer 1999, 40, 7313–7320. [Google Scholar] [CrossRef]
- Meijer, M.d. Interactions Between Wood and Coatings with Low Organic Solvent Content. Ph.D. Thesis, Agricultural University of Wageningen, Wageningen, The Netherlands, 1999. [Google Scholar]
- Bossert, D.; Geers, C.; Placencia Peña, M.I.; Volkmer, T.; Rothen-Rutishauser, B.; Petri-Fink, A. Size and Surface Charge Dependent Impregnation of Nanoparticles in Soft- and Hardwood. Chemistry 2020, 2, 23. [Google Scholar] [CrossRef]
- Civardi, C.; Van den Bulcke, J.; Schubert, M.; Michel, E.; Butron, M.I.; Boone, M.N.; Dierick, M.; Van Acker, J.; Wick, P.; Schwarze, F.W.M.R. Penetration and Effectiveness of Micronized Copper in Refractory Wood Species. PLoS ONE 2016, 11, e0163124. [Google Scholar] [CrossRef][Green Version]
- Freeman, M.H.; McIntyre, C. A comprehensive review of copper-based wood preservatives with a focus on new micronized or dispersed copper systems. For. Prod. J. 2008, 58, 6–27. [Google Scholar]
- Clar, J.; Platten, W.E.; Baumann, E.J.; Remsen, A.; Harmon, S.M.; Bennett-Stamper, C.L.; Thomas, T.A.; Luxton, T.P. Dermal transfer and environmental release of CeO2 nanoparticles used as UV inhibitors on outdoor surfaces: Implications for human and environmental health. Sci. Total. Environ. 2018, 613-614, 714–723. [Google Scholar] [CrossRef] [PubMed]





| Timber | Condition | Number of Samples Gloeophyllum sepiarium 1 Pycnoporus sanguineus 2 | |
|---|---|---|---|
| Populus euramericana I-214 (TM) | untreated | 30 | 30 |
| IM1 3 (0.375 mg/mL) | 30 | 30 | |
| IM2 3 (0.750 mg/mL) | 30 | 30 | |
| Fagus sylvatica (RM) | Reference assay | 30 | 30 |
| Sample | Water (wt%) | Poloxamer 407 (wt%) | Eugenol (wt%) | Tebuconazole (wt%) | Density (g/cm3) |
|---|---|---|---|---|---|
| Water | 100 | 0 | 0 | 0 | 1.001 ± 0.006 a |
| Poloxamer 407 solution | 82.5 | 7.5 | 0 | 0 | 1.05 ± 0.01 b |
| Eugenol in water nanoemulsion | 88.5 | 7.5 | 4 | 0 | 1.07 ± 0.02 bc |
| Dispersion of tebuconazole carriers | 87 | 7.5 | 4 | 1.5 | 1.067 ± 0.005 bc |
| IM 1 | Wood Mass (g) | cTeb (mg/mL) | IMRBV 2 | IMRAV 3 | Retention (mg/g) | ||
|---|---|---|---|---|---|---|---|
| cTeb (mg/mL) | Volume (mL) | cTeb (mg/mL) | Volume (mL) | ||||
| IM1 | 543.46 | 0.39 ± 0.02 | 0.36 ± 0.01 | 1100 | 0.25 ± 0.02 | 105 | 0.522 |
| IM2 | 534.61 | 0.75 ± 0.02 | 0.71 ± 0.03 | 1050 | 0.57 ± 0.04 | 105 | 1.041 |
| Xylophagous Fungi | Timber | Condition | ML (%) 3 |
|---|---|---|---|
| Pycnoporus sanguineus1 (Strain 163 LPC) | P. euramericana I-214 | untreated | 30 ± 16 |
| IM1 | 2 ± 1 | ||
| IM2 | 2 ± 1 | ||
| Fagus sylvatica | Reference material | 32 ± 13 | |
| Gloeophyllum sepiarium2 (Strain 735 LPC) | P. euramericana I-214 | untreated | 22 ± 7 |
| IM1 | 2 ± 1 | ||
| IM2 | 1 ± 1 | ||
| Fagus sylvatica | Reference material | 26 ± 8 |
Publisher’s Note: MDPI stays neutral with regard to jurisdictional claims in published maps and institutional affiliations. |
© 2021 by the authors. Licensee MDPI, Basel, Switzerland. This article is an open access article distributed under the terms and conditions of the Creative Commons Attribution (CC BY) license (https://creativecommons.org/licenses/by/4.0/).
Share and Cite
Lucia, A.; Murace, M.; Sartor, G.; Keil, G.; Cámera, R.; Rubio, R.G.; Guzmán, E. Oil in Water Nanoemulsions Loaded with Tebuconazole for Populus Wood Protection against White- and Brown-Rot Fungi. Forests 2021, 12, 1234. https://doi.org/10.3390/f12091234
Lucia A, Murace M, Sartor G, Keil G, Cámera R, Rubio RG, Guzmán E. Oil in Water Nanoemulsions Loaded with Tebuconazole for Populus Wood Protection against White- and Brown-Rot Fungi. Forests. 2021; 12(9):1234. https://doi.org/10.3390/f12091234
Chicago/Turabian StyleLucia, Alejandro, Mónica Murace, Gastón Sartor, Gabriel Keil, Ricardo Cámera, Ramón G. Rubio, and Eduardo Guzmán. 2021. "Oil in Water Nanoemulsions Loaded with Tebuconazole for Populus Wood Protection against White- and Brown-Rot Fungi" Forests 12, no. 9: 1234. https://doi.org/10.3390/f12091234
APA StyleLucia, A., Murace, M., Sartor, G., Keil, G., Cámera, R., Rubio, R. G., & Guzmán, E. (2021). Oil in Water Nanoemulsions Loaded with Tebuconazole for Populus Wood Protection against White- and Brown-Rot Fungi. Forests, 12(9), 1234. https://doi.org/10.3390/f12091234

