Bidirectional Nitrogen Transfer and Plant Growth in a Mixed Plantation of N2-Fixing Species and Eucalyptus urophylla × E. grandis under Different N Applications
Abstract
:1. Introduction
2. Materials and Methods
2.1. Study Site and Experimental Layout
2.1.1. Pot Experiment
Experiment A: D. odorifera Foliar 15N Labeling
Experiment B: Eucalyptus Foliar 15N Labeling
Experiment C: Unlabeling Experiment
2.1.2. Field Experiment: DM Yield of and N Content in Plants and Soil N Concentration Analysis
2.2. Sampling, Measurements and Laboratory Procedures
2.2.1. Pot Experiment
2.2.2. Field Experiment
2.3. Statistical Analysis
3. Results
3.1. Pot Experiment
3.1.1. DM Yields (Experiment C)
3.1.2. Plant N (Experiment C)
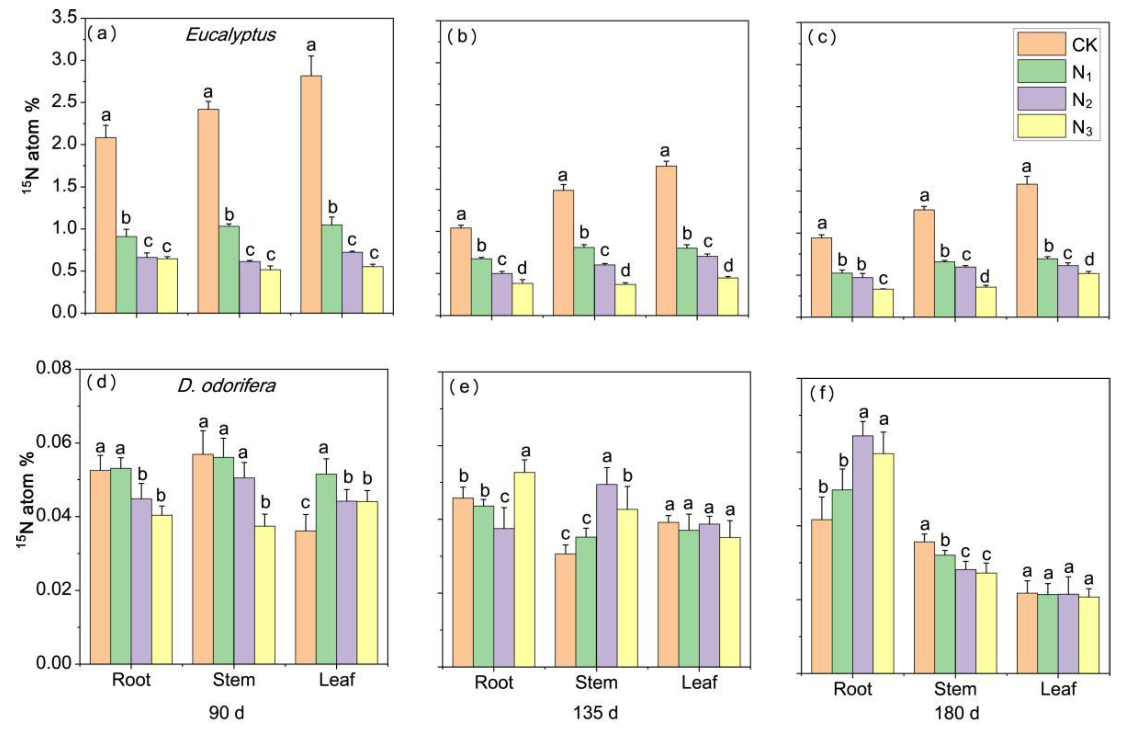
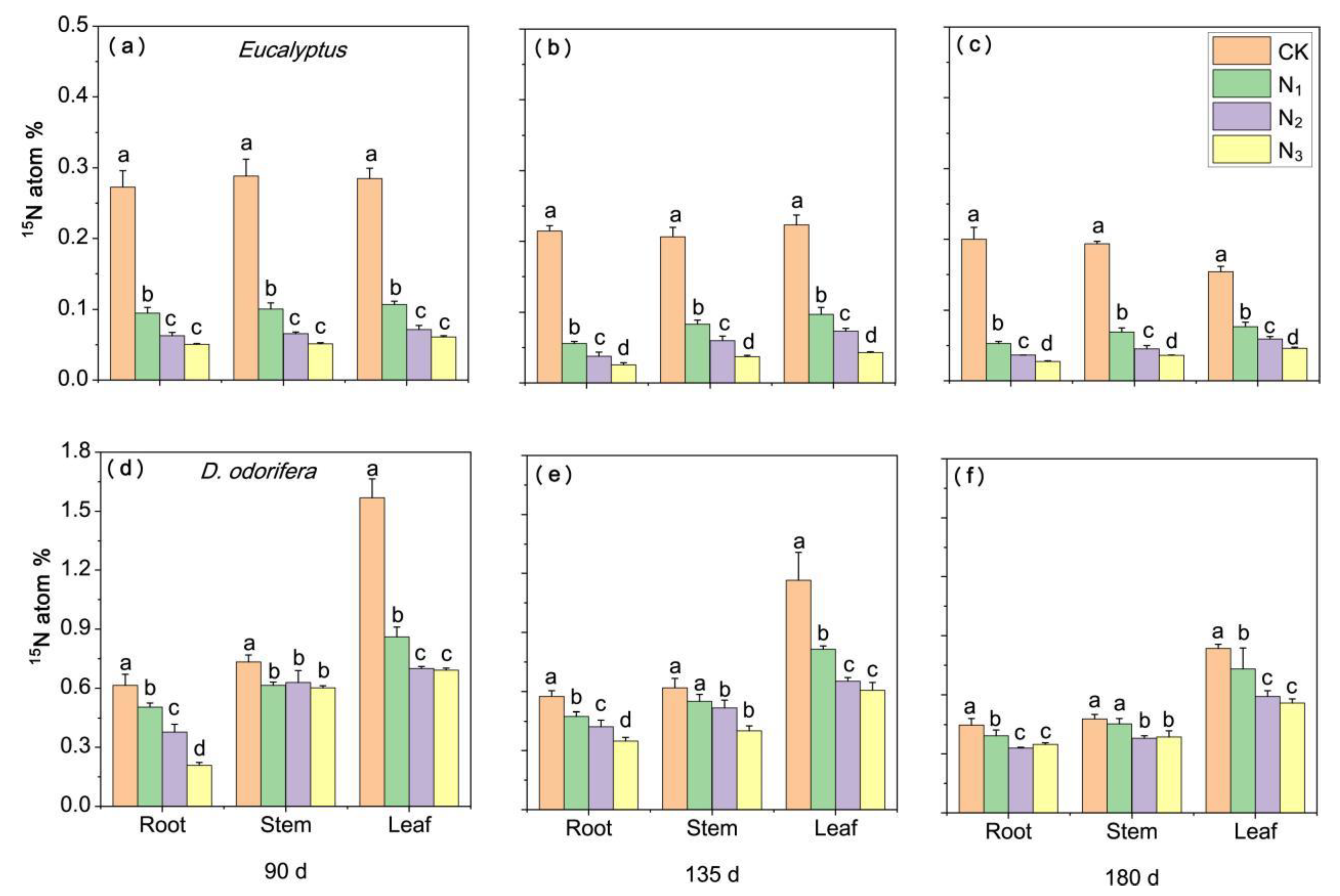
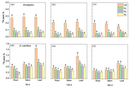
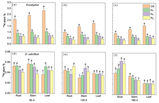
3.1.3. N Transfer between Eucalyptus and D. odorifera (Experiment A and B)
3.1.4. N Transfer Amount (Experiment A and B)
3.1.5. Soil N Concentration and Its Relationship with N Transfer (Experiment A and B)
3.2. Field Experiment
3.2.1. DM Yield and Plant N Content
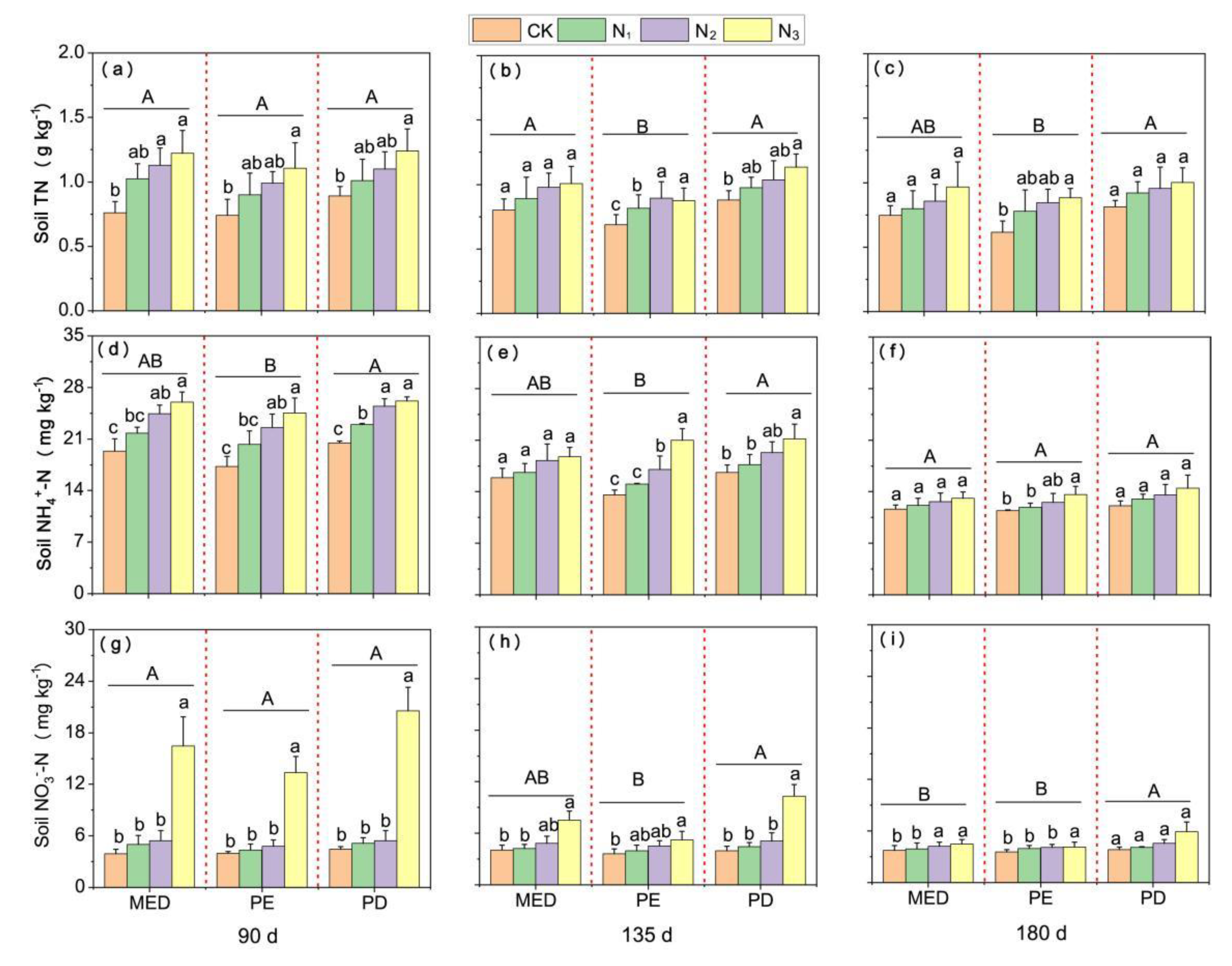
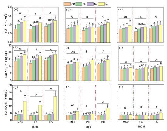
3.2.2. Soil N Concentration
4. Discussion
4.1. Bidirectional N Transfer Occurs in Mixed Systems, and Net N Transfer Occurs from D. Odorifera to Eucalyptus
4.2. Soil N Concentration and the Growth Duration of Plants Are the Main Factors Affecting N Transfer
4.3. Competition Increasing the Growth of Eucalyptus but Limiting That of D. odorifera
4.4. N Transfer Probably Occurs but Differs between Natural Areas and Commercial Areas
5. Conclusions
Supplementary Materials
Author Contributions
Funding
Institutional Review Board Statement
Informed Consent Statement
Data Availability Statement
Acknowledgments
Conflicts of Interest
References
- Pons, T.L.; Perreijn, K.; Kessel, C.V.; Werger, M. Symbiotic nitrogen fixation in a tropical rainforest: 15N natural abundance measurements supported by experimental isotopic enrichment. New Phytol. 2007, 173, 154–167. [Google Scholar] [CrossRef]
- Forrester, D.I.; Bauhus, J.; Cowie, A.L.; Vanclay, J.K. Mixed-species plantations of Eucalyptus with nitrogen-fixing trees: A review. Forest Ecol. Manag. 2006, 233, 211–230. [Google Scholar] [CrossRef] [Green Version]
- Carranca, C.; Madeira, M.; Torres, M.O. N2 fixation by two lupine species under different soil management systems: Transfer of fixed N2 from legume to intercropped Eucalyptus. Rev. Ciências Agrárias 2013, 36, 71–83. [Google Scholar]
- Tchichelle, S.V.; Epron, D.; Mialoundama, F.; Koutika, L.S.; Harmand, J.M.; Bouillet, J.P.; Mareschal, L. Differences in nitrogen cycling and soil mineralisation between a eucalypt plantation and a mixed eucalypt and Acacia mangium plantation on a sandy tropical soil. South For. 2017, 79, 1–8. [Google Scholar] [CrossRef] [Green Version]
- Forrester, D.I. The spatial and temporal dynamics of species interactions in mixed-species forests: From pattern to process. For. Ecol. Manag. 2014, 312, 282–292. [Google Scholar] [CrossRef]
- Paula, R.R.; Bouillet, J.-P.; Trivelin, P.C.O.; Zeller, B.; Gonçalves, J.L.M.; Nouvellon, Y.; Bouvet, J.-M.; Plassard, C.; Laclau, J.-P. Evidence of short-term belowground transfer of nitrogen from Acacia mangium to Eucalyptus grandis trees in a tropical planted forest. Soil Biol. Biochem. 2015, 91, 99–108. [Google Scholar] [CrossRef] [Green Version]
- Iannetta, P.P.M.; Young, M.; Bachinger, J.; Bergkvist, G.; Doltra, J.; Lopez-Bellido, R.J.; Monti, M.; Pappa, V.A.; Reckling, M.; Topp, C.; et al. A Comparative Nitrogen Balance and Productivity Analysis of Legume and Non-legume Supported Cropping Systems: The Potential Role of Biological Nitrogen Fixation. Front. Plant Sci. 2016, 7, 1700. [Google Scholar] [CrossRef] [Green Version]
- Epron, D.; Nouvellon, Y.; Mareschal, L.; Moreira, R.; Bouillet, J.P. Partitioning of net primary production in Eucalyptus and Acacia stands and in mixed-species plantations: Two case-studies in contrasting tropical environments. For. Ecol. Manag. 2013, 301, 102–111. [Google Scholar] [CrossRef]
- Chalk, P.M.; Peoples, M.B.; McNeill, A.M.; Boddey, R.M.; Unkovich, M.J.; Gardener, M.J.; Silva, C.F.; Chen, D. Methodologies for estimating nitrogen transfer between legumes and companion species in agro-ecosystems: A review of 15N-enriched techniques. Soil Biol. Biochem. 2014, 73, 10–21. [Google Scholar] [CrossRef]
- Peoples, M.B.; Chalk, P.M.; Unkovich, M.J.; Boddey, R.M. Can differences in 15N natural abundance be used to quantify the transfer of nitrogen from legumes to neighbouring non-legume plant species? Soil Biol. Biochem. 2015, 87, 97–109. [Google Scholar] [CrossRef]
- Høgh-Jensen, H. The Nitrogen Transfer Between Plants: An Important but Difficult Flux to Quantify. Plant Soil 2006, 282, 1–5. [Google Scholar] [CrossRef]
- He, X.; Critchley, C.; Bledsoe, N.C. Reciprocal N (15NH4+ or 15NO3−) transfer between non N2-Fixing Eucalyptus maculata and N2-Fixing Casuarina cunninghamiana Linked by the Ectomycorrhizal Fungus Pisolithus sp. New Phytol. 2004, 163, 629–640. [Google Scholar] [CrossRef]
- Berglund, S.L.; Gren, G.I.; Ekblad, A. Carbon and nitrogen transfer in leaf litter mixtures. Soil Biol. Biochem. 2013, 57, 348. [Google Scholar] [CrossRef]
- Lu, J.K.; Kang, L.H.; Sprent, J.I.; Xu, D.P.; He, X.H. Two-way transfer of nitrogen between Dalbergia odorifera and its hemiparasite Santalum album is enhanced when the host is effectively nodulated and fixing nitrogen. Tree Physiol. 2013, 33, 464–474. [Google Scholar] [CrossRef] [Green Version]
- Xiao, Y.; Li, L.; Zhang, F. Effect of root contact on interspecific competition and N transfer between wheat and fababean using direct and indirect 15N techniques. Plant Soil 2004, 262, 45–54. [Google Scholar] [CrossRef]
- Shen, Q.R.; Chu, G.X. Bi-directional nitrogen transfer in an intercropping system of peanut with rice cultivated in aerobic soil. Biol. Fert. Soils 2004, 40, 81–87. [Google Scholar] [CrossRef]
- Oliveira, I.R.; Bordron, B.; Laclau, J.-P.; Paula, R.R.; Ferraz, A.V.F.; Gonçalves, J.L.M.; Maire, G.; Bouillet, J.-P. Nutrient deficiency enhances the rate of short-term belowground transfer of nitrogen from Acacia mangium to Eucalyptus trees in mixed-species plantations. For. Ecol. Manag. 2021, 491, 119192. [Google Scholar] [CrossRef]
- He, X.; Bledsoe, C.S.; Zasoski, R.J.; Southworth, D.; Horwath, W.R. Rapid nitrogen transfer from ectomycorrhizal pines to adjacent ectomycorrhizal and arbuscular mycorrhizal plants in a California oak woodland. New Phytol. 2006, 170, 143–151. [Google Scholar] [CrossRef]
- He, X.; Xu, M.; Qiu, G.Y.; Zhou, J. Use of 15N stable isotope to quantify N transfer between mycorrhizal plants. J. Plant Ecol. 2009, 2, 107–118. [Google Scholar] [CrossRef] [Green Version]
- Gasser, M.; Hammelehle, A.; Oberson, A.; Frossard, E.; Mayer, J. Quantitative evidence of overestimated rhizodeposition using 15N leaf-labelling. Soil Biol. Biochem. 2015, 85, 10–20. [Google Scholar] [CrossRef]
- Tomm, G.O.; Kessel, C.V.; Slinkard, A.E. Bi-directional transfer of nitrogen between alfalfa and bromegrass: Short and long term evidence. Plant Soil 1994, 164, 77–86. [Google Scholar] [CrossRef]
- He, X.; Critchley, C.; Ng, H.; Bledsoe, C. Nodulated N2-fixing Casuarina cunninghamiana is the sink for net N transfer from non-N2-fixing Eucalyptus maculata via an ectomycorrhizal fungus Pisolithus sp. using 15NH4+ or 15NO3− supplied as ammonium nitrate. New Phytol. 2005, 167, 897–912. [Google Scholar] [CrossRef]
- Schimel, J.P.; Hättenschwiler, S. Nitrogen transfer between decomposing leaves of different N status. Soil Biol. Biochem. 2007, 39, 1428–1436. [Google Scholar] [CrossRef]
- Yao, X.Y.; Li, Y.F.; Liao, L.N.; Sun, G.; Wang, H.X.; Ye, S.M. Enhancement of nutrient absorption and interspecific nitrogen transfer in a Eucalyptus urophylla × eucalyptus grandis and Dalbergia odorifera mixed plantation. For. Ecol. Manag. 2019, 449, 117465. [Google Scholar] [CrossRef]
- Paula, R.R.; Bouillet, J.P.; Goncalves, J.L.D.M.; Trivelin, P.C.; Balieiro, F.D.C.; Nouvellon, Y.; Oliveira, J.D.C.; Júnior, J.C.D.D.; Bordron, B.; Laclau, J.P. Nitrogen fixation rate of Acacia mangium Wild at mid rotation in Brazil is higher in mixed plantations with Eucalyptus grandis Hill ex Maiden than in monocultures. Ann. For. Sci. 2018, 75, 14. [Google Scholar] [CrossRef] [Green Version]
- Zhao, B.C.; Xu, J.D.; Chen, B.Y.; Cao, X.F.; Yuan, T.Q.; Wang, S.F. Selective precipitation and characterization of lignin-carbohydrate complexes (LCCs) from Eucalyptus. Planta 2018, 247, 1077–1087. [Google Scholar] [CrossRef]
- Piotto, D. A meta-analysis comparing tree growth in monocultures and mixed plantations. For. Ecol. Manag. 2008, 255, 781–786. [Google Scholar] [CrossRef]
- Resh, S.C.; Binkley, D.; Parrotta, J.A. Greater soil carbon sequestration under nitrogen-fixing trees compared with Eucalyptus species. Ecosystems 2002, 5, 217–231. [Google Scholar] [CrossRef]
- Binkley, D.; Senock, R.; Bird, S.; Cole, T.G. Twenty years of stand development in pure and mixed stands of Eucalyptus saligna and nitrogen-fixing Facaltaria moluccana. For. Ecol. Manag. 2003, 182, 93–102. [Google Scholar] [CrossRef]
- Bini, D.; Santos, C.A.D.; Bouillet, J.P.; Goncalves, J.L.M.; Cardoso, E.J.B.N. Eucalyptus grandis and Acacia mangium in monoculture and intercropped plantations: Evolution of soil and litter microbial and chemical attributes during early stages of plant development. Appl. Soil Ecol. 2013, 63, 57–66. [Google Scholar] [CrossRef]
- Forrester, D.I.; Bauhus, J.; Cowie, A.L. On the success and failure of mixed-species tree plantations: Lessons learned from a model system of Eucalyptus globulus and Acacia mearnsii. For. Ecol. Manag. 2005, 209, 147–155. [Google Scholar] [CrossRef]
- Laclau, J.-P.; Bouillet, J.-P.; Gonçalves, J.L.M.; Silva, E.; Jourdan, C.; Cunha, M.; Moreira, M.; Saint-André, L.; Maquère, V.; Nouvellon, Y.; et al. Mixed-species plantations of Acacia mangium and Eucalyptus grandis in Brazil 2: Nitrogen accumulation in the stands and N2 biological fixation. For. Ecol. Manag. 2008, 255, 3918–4393. [Google Scholar] [CrossRef]
- Jourdan, C.; Silva, E.; Goncalves, J.L.; Ranger, J.; Moreira, M.R.; Laclau, J.P. Fine root production and turnover in Brazilian Eucalyptus plantations under contrasting nitrogen fertilization regimes. For. Ecol. Manag. 2008, 256, 396–404. [Google Scholar] [CrossRef]
- Voigtlaender, M.; Laclau, J.P.; Gonçalves, J.L.M.; Piccolo, M.D.C.; Moreira, M.Z.; Nouvellon, Y.; Ranger, J.; Bouillet, J.P. Introducing Acacia mangium trees in Eucalyptus grandis plantations: Consequences for soil organic matter stocks and nitrogen mineralization. Plant Soil 2012, 352, 99–111. [Google Scholar] [CrossRef]
- Arnesen, A. Effect of Fluoride Pollution on pH and Solubility of Al, Fe, Ca, Mg, K and Organic Matter in Soil from Årdal (Western Norway). Water Air Soil Poll. 1998, 103, 375–388. [Google Scholar] [CrossRef]
- Meng, L.; Zhang, A.; Wang, F.; Han, X.; Wang, D.; Li, S. Arbuscular mycorrhizal fungi and rhizobium facilitate nitrogen uptake and transfer in soybean/maize intercropping system. Front. Plant Sci. 2015, 6, 339. [Google Scholar] [CrossRef] [PubMed] [Green Version]
- McNeill, A.M.; Zhu, C.; Fillery, I.R.P. Use of in situ 15N-labelling to estimate the total below-ground nitrogen of pasture legumes in intact soil-plant systems. Aust. J. Agric. Res. 1997, 48, 295–304. [Google Scholar] [CrossRef]
- Huang, X.; Liu, S.; You, Y.; Wen, Y.G.; Wang, H.; Wang, J.X. Microbial community and associated enzymes activity influence soil carbon chemical composition in Eucalyptus urophylla plantation with mixing N2-fixing species in subtropical China. Plant Soil 2017, 414, 199–212. [Google Scholar] [CrossRef]
- Bremner, J.M.; Mulvaney, C. Nitrogen-total. In Methods of Soil Analysis; Spark, D.L., Ed.; Soil Science of America, Inc.; American Society of Agronomy: Madison, WI, USA, 1996; pp. 1085–1122. [Google Scholar]
- Chalk, P.M.; Smith, C.J. Estimating nitrogen transfer by foliar 15N-labelling in legume—Non-legume associations. Biol. Fert. Soils 1997, 24, 239–242. [Google Scholar] [CrossRef]
- Fernandez, M.; Malagoli, P.; Vernay, A.; Améglio, T.; Balandier, P. Below-ground nitrogen transfer from oak seedlings facilitates Molinia growth: 15N pulse-chase labelling. Plant Soil 2020, 449, 343–356. [Google Scholar] [CrossRef]
- You, Y.; Huang, X.; Zhu, H.; Liu, S.; Liang, H.; Wen, Y.; Wang, H.; Cai, D.; Ye, D. Positive interactions between Pinus massoniana and Castanopsis hystrix species in the uneven-aged mixed plantations can produce more ecosystem carbon in subtropical China. For. Ecol. Manag. 2018, 410, 193–200. [Google Scholar] [CrossRef]
- Magalhães, T.M.; Seifert, T. Tree component biomass expansion factors and root-to-shoot ratio of Lebombo ironwood: Measurement uncertainty. Carbon Bal. Manag. 2015, 10, 9. [Google Scholar] [CrossRef] [Green Version]
- He, Y.; Cornelissen, J.; Wang, P.; Dong, M.; Ou, J. Nitrogen transfer from one plant to another depends on plant biomass production between conspecific and heterospecific species via a common arbuscular mycorrhizal network. Environ. Sci. Pollut. Res. 2019, 26, 8828–8837. [Google Scholar] [CrossRef]
- Montesinos-Navarro, A.; Segarra-Moragues, J.G.; Valiente-Banuet, A.; Verdú, M. Plant facilitation occurs between species differing in their associated arbuscular mycorrhizal fungi. New Phytol. 2012, 196, 835–844. [Google Scholar] [CrossRef] [Green Version]
- Ducousso, M.; Duponnois, R.; Thoen, D.; Prin, Y. Diversity of ectomycorrhizal fungi associated with Eucalyptus in Africa and Madagascar. J. For. Res. 2012, 2012, 450715. [Google Scholar] [CrossRef] [Green Version]
- Jalonen, R.; Nygen, P.; Sierra, J. Transfer of nitrogen from a tropical legume tree to an associated fodder grass via root exudation and common mycelial networkspce. Plant Cell Environ. 2009, 32, 1366–1372. [Google Scholar] [CrossRef]
- Eiter, H.M. Effect of nitrogen nutrition upon sugar content and dry weight of juvenile lodgepole pine and white spruce. Can. J. For. Res. 1972, 2, 434–440. [Google Scholar] [CrossRef]
- Bouillet, J.P.; Laclau, J.P.; José Leonardo de Moraes, G.; Voigtlaender, M.; Nouvellon, Y. Eucalyptus and Acacia tree growth over entire rotation in single- and mixed-species plantations across five sites in Brazil and Congo. For. Ecol. Manag. 2013, 301, 89–101. [Google Scholar] [CrossRef]
- Yao, X.Y.; Liao, L.N.; Huang, Y.Z.; Fan, G.; Yang, M.; Ye, S.M. The physiological and molecular mechanisms of N transfer in Eucalyptus and Dalbergia odorifera intercropping systems using root proteomics. BMC Plant Biol. 2021, 21, 201. [Google Scholar] [CrossRef] [PubMed]
- May, B.M.; Attiwill, P.M. Nitrogen-fixation by Acacia dealbata and changes in soil properties 5 years after mechanical disturbance or slash-burning following timber harvest. For. Ecol. Manag. 2003, 181, 339–355. [Google Scholar] [CrossRef]
- Tchichelle, S.V.; Mareschal, L.; Koutika, L.S.; Epron, D. Biomass production, nitrogen accumulation and symbiotic nitrogen fixation in a mixed-species plantation of eucalypt and acacia on a nutrient-poor tropical soil. For. Ecol. Manag. 2017, 403, 103–111. [Google Scholar] [CrossRef]
- Hong, J.; Ma, X.; Zhang, X.; Wang, X. Nitrogen uptake pattern of herbaceous plants: Coping strategies in altered neighbor species. Biol. Fertil. Soils 2017, 53, 729–735. [Google Scholar] [CrossRef]
- Madeira, A.C.; Madeira, M.; Fabião, A.; Marques, P.; Carneiro, M. Impact of harvest residues, fertilisers and N-fixing plants on growth and nutritional status of young Eucalyptus globulus plantations, under Mediterranean conditions. Eur. J. For. Res. 2010, 129, 591–601. [Google Scholar] [CrossRef]
- Schmid, C.; Bauer, S.; Bartelheimer, M. Should I stay or should I go? Roots segregate in response to competition intensity. Plant Soil 2015, 391, 283–291. [Google Scholar] [CrossRef]
- Guo, Q.; Yan, L.; Korpelainen, H.; Niinemets, L.; Li, C. Plant-plant interactions and N fertilization shape soil bacterial and fungal communities. Soil Biol. Biochem. 2019, 128, 127–138. [Google Scholar] [CrossRef]
- Rasmann, S.; Turlings, T.C. Root signals that mediate mutualistic interactions in the rhizosphere. Curr. Opin. Plant Biol. 2016, 32, 62–68. [Google Scholar] [CrossRef] [PubMed] [Green Version]
- Xia, Z.C.; Yu, L.; He, Y.; Korpelainen, H.; Li, C. Broadleaf trees mediate chemically the growth of Chinese fir through root exudates. Biol. Fert. Soils 2019, 55, 737–749. [Google Scholar] [CrossRef] [Green Version]
- Luís, A.; Duarte, A.; Gominho, J.; Domingues, F.; Duarte, A.P. Chemical composition, antioxidant, antibacterial and anti-quorum sensing activities of Eucalyptus globulus and Eucalyptus radiate essential oils. Ind. Crop Prod. 2016, 79, 274–282. [Google Scholar] [CrossRef]
- Liu, S.; Qin, F.; Yu, S. Eucalyptus urophylla root-associated fungi can counteract the negative influence of phenolic acid allelochemicals. Appl. Soil Ecol. 2018, 127, 1–7. [Google Scholar] [CrossRef]
- Godoi, N.M.I.; Araújo, S.N.D.S.; Buzetti, S.; Gazola, R.D.N.; Celestrino, T.D.S.; Silva, A.C.D.; Nogueira, T.A.R.; Teixeira Filho, M.C.M. Soil Chemical Attributes, Biometric Characteristics, and Concentrations of N and P in Leaves and Litter Affected by Fertilization and the Number of Sprouts per the Eucalyptus L’Hér. Strain in the Brazilian Cerrado. Forests 2018, 9, 290. [Google Scholar] [CrossRef] [Green Version]
- Lummer, D.; Scheu, S.; Butenschoen, O. Connecting litter quality, microbial community and nitrogen transfer mechanisms in decomposing litter mixtures. Oikos 2012, 121, 1649–1655. [Google Scholar] [CrossRef]
- Shu, W.; Lu, L.; Li, H.; Nong, Y.; He, R.; Chen, H.; Huang, B. Effects of Pinus massoniana plantation stand density on understory vegetation and soil properties. Acta Ecol. Sinca 2021, 41, 4521–4530. [Google Scholar] [CrossRef]









| Soil Chemical Properties | pH | SOC | TN | TP | AN | AP | AK | pH | Ca2+ | Mg2+ |
|---|---|---|---|---|---|---|---|---|---|---|
| Mean | 4.7 | 11.46 | 1.22 | 0.57 | 56.17 | 6.21 | 104.32 | 4.65 | 51.63 | 12.94 |
| Source of Variation | Amount of N Transferred (mg plant−1) | NDFT (%) | ||||||||||
|---|---|---|---|---|---|---|---|---|---|---|---|---|
| From Eucalyptus to D. odorifera | From D. odorifera to Eucalyptus | Net Transfer | 90 Days | 135 Days | 180 Days | |||||||
| 90 Days | 135 Days | 180 Days | 90 Days | 135 Days | 180 Days | 90 Days | 135 Days | 180 Days | ||||
| CK | 9.6 ± 1.4 d | 18.4. ± 0.8 d | 23.6 ± 1.1 d | 62.1 ± 2.3 c | 98.6± 6.5 d | 150.6 ± 11.8 c | 52.5 ± 1.7 a | 80.3. ± 6.4 a | 127.0 ± 10.9 a | 17.8 ± 0.9 a | 17.7 ± 1.3 a | 21.2 ± 1.0 a |
| N1 | 52.1 ± 1.4 c | 56.2 ± 4.9 c | 59.4 ± 4.7 c | 103.6 ± 5.3 b | 121.7 ± 6.3 c | 140.5 ± 5.6 b | 51.4 ± 6.0 a | 65.5 ± 2.9 b | 81.2 ± 7.0 b | 6.20± 0.8 b | 6.4 ± 0.3 b | 6.8 ± 0.7 b |
| N2 | 85.3 ± 1.6 b | 91.6 ± 2.1 b | 87.2 ± 4.3 b | 123.3 ± 4.8 a | 144.5 ± 7.9 b | 164.7 ±5.9 a | 38.0 ± 4.4 b | 52.9 ± 6.9 c | 77.2 ± 2.1 b | 3.1 ± 0.4 c | 3.9 ± 0.5 c | 5.0 ± 0.2 c |
| N3 | 103.3 ±3.0 a | 140.4 ± 10.9 a | 131.0 ± 6.7 a | 124.1 ± 4.8 a | 163.3 ± 6.2 a | 173.5 ± 3.2 a | 20.8 ± 2.7 c | 23.1 ± 8.4 d | 41.8 ± 6.4 c | 1.5 ± 0.1 c | 1.5 ± 0.5 d | 1.9 ± 0.4 d |
| N | 35.93 *** | 265.95 *** | 254.84 *** | 55.86 *** | ||||||||
| T | 880.02 *** | 120.32 *** | 6.16 *** | 860.30 *** | ||||||||
| N × T | 11.15 *** | 13.17 *** | 72.11 *** | 5.28 *** | ||||||||
| Source of Variation | TN (g kg−1) | NH4+-N (mg kg−1) | NO3−-N (mg kg−1) | ||||||
|---|---|---|---|---|---|---|---|---|---|
| MED | PE | PD | MED | PE | PD | MED | PE | PD | |
| CK | 1.03 ± 0.2 b | 0.95 ± 0.18 b | 1.41 ± 0.06 a | 11.20 ± 2.16 c | 8.39 ± 1.73 b | 14.56 ± 0.87 a | 3.38 ± 0.43 b | 2.26 ± 0.37 b | 4.89 ± 0.21 a |
| N70 | 1.14 ± 0.1 b | 1.11 ± 0.20 ab | 1.50 ± 0.28 a | 12.79 ± 1.69 bc | 10.28 ± 1.21 ab | 15.87 ± 3.48 a | 4.03 ± 0.62 a | 2.95 ± 0.35 b | 4.88 ± 0.23 a |
| N140 | 1.22 ± 0.1 b | 1.15 ± 0.07 ab | 1.57 ± 0.31 a | 14.81 ± 2.06 b | 12.92 ± 2.03 ab | 16.54 ± 1.22 a | 4.17 ± 0.17 ba | 3.59 ± 0.17 ab | 5.12 ± 0.21a |
| N210 | 1.42 ± 0.1 a | 1.33 ± 0.27 a | 1.76 ± 0.15 a | 16.99 ± 3.17 a | 13.55 ± 2.01 a | 17.36 ± 0.52 a | 4.44 ± 0.51 a | 4.17 ± 0.44 a | 5.66 ± 0.66 a |
| P-S | 16.77 *** | 16.93 *** | 68.03 *** | ||||||
| N | 5.91 ** | 8.88 *** | 15.74 *** | ||||||
| P-S × N | 0.02 ns | 0.48 ns | 1.68 ns | ||||||
Publisher’s Note: MDPI stays neutral with regard to jurisdictional claims in published maps and institutional affiliations. |
© 2021 by the authors. Licensee MDPI, Basel, Switzerland. This article is an open access article distributed under the terms and conditions of the Creative Commons Attribution (CC BY) license (https://creativecommons.org/licenses/by/4.0/).
Share and Cite
Yao, X.; Goodale, U.M.; Yang, M.; Liao, L.; Yu, S.; Wang, S.; Ye, S. Bidirectional Nitrogen Transfer and Plant Growth in a Mixed Plantation of N2-Fixing Species and Eucalyptus urophylla × E. grandis under Different N Applications. Forests 2021, 12, 1171. https://doi.org/10.3390/f12091171
Yao X, Goodale UM, Yang M, Liao L, Yu S, Wang S, Ye S. Bidirectional Nitrogen Transfer and Plant Growth in a Mixed Plantation of N2-Fixing Species and Eucalyptus urophylla × E. grandis under Different N Applications. Forests. 2021; 12(9):1171. https://doi.org/10.3390/f12091171
Chicago/Turabian StyleYao, Xianyu, Uromi Manage Goodale, Mei Yang, Liangning Liao, Sufang Yu, Shengqiang Wang, and Shaoming Ye. 2021. "Bidirectional Nitrogen Transfer and Plant Growth in a Mixed Plantation of N2-Fixing Species and Eucalyptus urophylla × E. grandis under Different N Applications" Forests 12, no. 9: 1171. https://doi.org/10.3390/f12091171
APA StyleYao, X., Goodale, U. M., Yang, M., Liao, L., Yu, S., Wang, S., & Ye, S. (2021). Bidirectional Nitrogen Transfer and Plant Growth in a Mixed Plantation of N2-Fixing Species and Eucalyptus urophylla × E. grandis under Different N Applications. Forests, 12(9), 1171. https://doi.org/10.3390/f12091171

