Soil Temperature in Disturbed Ecosystems of Central Siberia: Remote Sensing Data and Numerical Simulation
Abstract
1. Introduction
- (1)
- remote sensing of the state of disturbed natural and technogenic ecosystems based on satellite monitoring data and subsequent numerical assessment of the influence of changes in the optical properties of the surface (spectral albedo and surface emissivity) and variability of soil moisture content on the formation of thermal anomalies in disturbed natural and technogenic ecosystems;
- (2)
- modeling of conditions for abnormal heating of soil horizons in disturbed areas during the growing and non-growing seasons of a year;
- (3)
- time-lag of recovery of the thermal state in disturbed ecosystems and the level of stabilization of the temperature characteristics of the surface under conditions of long-term post-pyrogenic and post-technogenic recovery;
- (4)
- analysis of heat transfer at the boundary of disturbed plots/background areas and the peculiarities of the temperature regime of soils in the formed transition zones (“ecotones”) along the periphery of the disturbed plots due to horizontal heat transfer.
2. Area of Interest and Research Objects
3. Materials and Methods
3.1. Multispectral and Infrared Survey of Research Objects
3.2. Mathematical Model of Heat Transfer in the Soil
- (1)
- The multidimensional character of the temperature distribution, being a result of vicinity of disturbed and non-disturbed plots and, accordingly, the presence of a significant difference in the state of the permafrost layer. Under these conditions, significant heat transfer in the horizontal direction can arise.
- (2)
- Inhomogeneity of the thermophysical properties of the soil, due to the vertical structure of the soil profile and its differences in disturbed and background plots.
- (3)
- The presence of a transition zone with a mixed phase state of water and ice. Such areas inevitably arise due to local heterogeneities of the soil, its composition, and moisture content. For the used scale of grid sampling in the considered problem, the transition zone is described in terms of the average content of the liquid and solid phases of water.
3.3. Meteorological Data
3.4. Main Features and Assumptions of the Mathematical Model of Heat Transfer in the Soil
4. Results
4.1. Surface Temperature Anomalies of Disturbed Plots on Satellite Data in IR Range
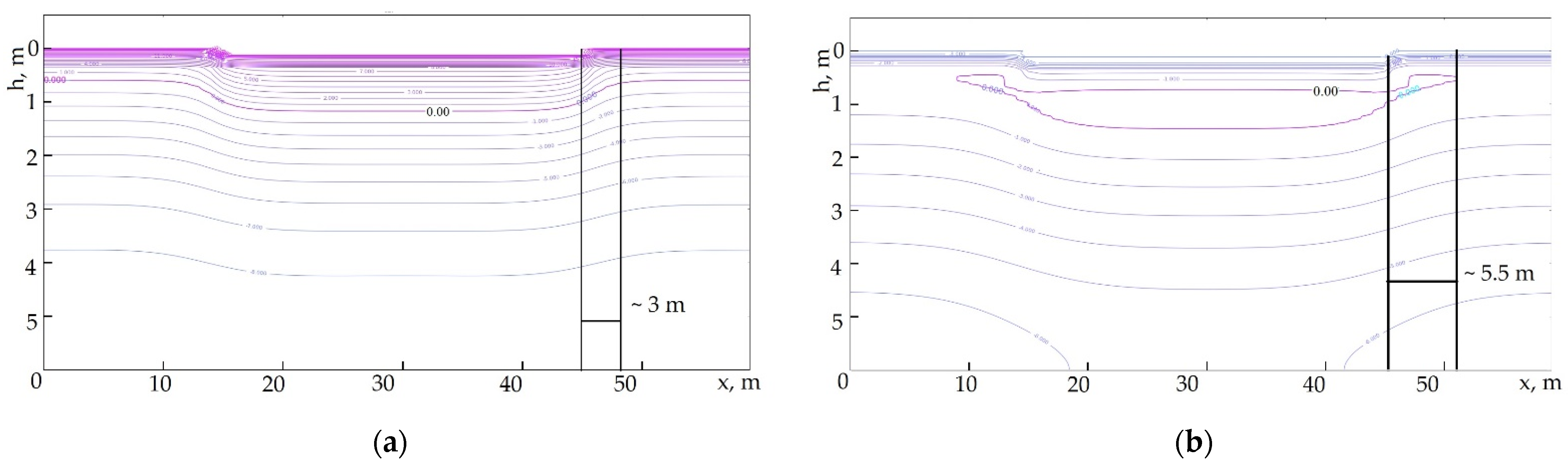
4.2. The Results of Numerical Simulation
5. Discussion
5.1. Long-Term Surface Temperature Anomalies
5.2. Results of Numerical Simulation of the Annual Dynamics of Heat Transfer
5.3. Thermal Inversion
5.4. Transition Zone
6. Conclusions
Supplementary Materials
Author Contributions
Funding
Institutional Review Board Statement
Informed Consent Statement
Data Availability Statement
Acknowledgments
Conflicts of Interest
References
- Tarnawski, V.R.; Leong, W.H.; Bristow, K.L. Developing a temperature-dependent Kersten function for soil thermal conductivity. Int. J. Energy Res. 2000, 24, 1335–1350. [Google Scholar] [CrossRef]
- Dankers, R.; Burke, E.J.; Price, J. Simulation of permafrost and seasonal thaw depth in the JULES land surface scheme. Cryosphere 2011, 5, 773–790. [Google Scholar] [CrossRef]
- Desyatkin, R.V.; Desyatkin, A.R.; Fedorov, P.P. Temperature regime of taiga cryosoils of Central Yakutia. Kriosf. Zemli Earth Cryosphere 2012, 16, 70–78. (In Russian) [Google Scholar]
- Ekici, A.; Beer, C.; Hagemann, S.; Boike, J.; Langer, M.; Hauck, C. Simulating high-latitude permafrost regions by the JSBACH terrestrial ecosystem model. Geosci. Model Dev. 2014, 7, 631–647. [Google Scholar] [CrossRef]
- Porada, P.; Ekici, A.; Beer, C. Effects of bryophyte and lichen cover on permafrost soil temperature at large scale. Cryosphere 2016, 10, 2291–2315. [Google Scholar] [CrossRef]
- Pavlov, A.V. Cryolithozone Monitoring; The Academic Publishing House “GEO”: Novosibirsk, Russia, 2008; p. 229. (In Russian) [Google Scholar]
- Orgogozo, L.; Prokushkin, A.S.; Pokrovsky, O.S.; Grenier, C.; Quintard, M.; Viers, J.; Audry, S. Water and energy transfer modeling in a permafrost-dominated, forested catchment of Central Siberia: The key role of rooting depth. Permafr. Periglac. Process. 2019, 30, 75–89. [Google Scholar] [CrossRef]
- Brown, J.; Ferrians, O.J.; Heginbottom, J.A.; Melnikov, E.S. Circum-Arctic Map of Permafrost and Ground Ice Conditions; National Snow and Ice Data Center, Digital Media: Boulder, CO, USA, 2002; Available online: https://nsidc.org/data/ggd318 (accessed on 1 June 2021).
- Knorre, A.A.; Kirdyanov, A.V.; Prokushkin, A.S.; Krusic, P.J.; Büntgen, U. Tree ring-based reconstruction of the long-term influence of wildfires on permafrost active layer dynamics in Central Siberia. Sci. Total Environ. 2019, 652, 314–319. [Google Scholar] [CrossRef] [PubMed]
- Kirdyanov, A.V.; Prokushkin, A.S.; Tabakova, M.A. Tree-ring growth of Gmelin larch in the north of Central Siberia under contrasting soil conditions. Dendrochronologia 2013, 31, 114–119. [Google Scholar] [CrossRef]
- Dymov, A.; Abakumov, E.; Bezkorovaynaya, I.; Prokushkin, A.; Kuzyakov, Y.; Milanovsky, E. Impact of forest fire on soil properties (Review). Theor. Ecol. 2018, 4, 13–23. [Google Scholar] [CrossRef]
- Zhang-Turpeinen, H.; Kivimäenpää, M.; Aaltonen, H.; Berninger, F.; Köster, E.; Köster, K.; Menyailo, O.; Prokushkin, A.; Pumpanen, J. Wildfire effects on BVOC emissions from boreal forest floor on permafrost soil in Siberia. Sci. Total Environ. 2020, 711, 134851. [Google Scholar] [CrossRef] [PubMed]
- Kirdyanov, A.; Saurer, M.; Siegwolf, R.; Knorre, A.; Prokushkin, A.S.; Churakova, O.; Fonti, M.V.; Büntgen, U. Long-term ecological consequences of forest fires in the continuous permafrost zone of Siberia. Environ. Res. Lett. 2020, 15, 034061. [Google Scholar] [CrossRef]
- Anisimov, O.A. Potential feedback of thawing permafrost to the global climate system through methane emission. Environ. Res. Lett. 2007, 2. [Google Scholar] [CrossRef]
- Anisimov, O.A.; Sherstiukov, A.B. Evaluating the effect of environmental factors on permafrost in Russia. Kriosf. Zemli. Earth Cryosphere 2016, 2, 78–86. (In Russian) [Google Scholar]
- Masyagina, O.V.; Menyailo, O.V. The impact of permafrost on carbon dioxide and methane fluxes in Siberia: A meta-analysis. Environ. Res. 2020, 182, 109096. [Google Scholar] [CrossRef] [PubMed]
- Arkhangelskaya, T.A. The Thermal Regime of Soils; GEOS: Moscow, Russia, 2012; p. 282. (In Russian) [Google Scholar]
- Trofimova, I.E.; Balybina, A.S. Regionalization of the West Siberian Plain from thermal regime of soils. Geogr. Nat. Resour. 2015, 3, 27–38. [Google Scholar] [CrossRef]
- Goncharova, O.Y.; Matyshak, G.V.; Bobrik, A.A.; Moskalenko, N.G.; Ponomareva, O.E. Temperature regimes of northern taiga soils in the isolated permafrost zone of Western Siberia. Eurasian Soil Sci. 2015, 48, 1329–1340. [Google Scholar] [CrossRef]
- Koronatova, N.G.; Mironycheva-Tokareva, N.P.; Solomin, Y.R. Thermal regime of peat deposits of palsas and hollows of peat plateaus in Western Siberia. Kriosf. Zemli. Earth Cryosphere 2018, 6, 15–23. (In Russian) [Google Scholar] [CrossRef]
- Park, H.; Launiainen, S.; Konstantinov, P.Y.; Iijima, Y.; Fedorov, A.N. Modeling the Effect of Moss Cover on Soil Temperature and Carbon Fluxes at a Tundra Site in Northeastern Siberia. J. Geophys. Res. Biogeosci. 2018, 123, 3028–3044. [Google Scholar] [CrossRef]
- Krasnoshchekov, Y.N.; Sorokin, N.D.; Bezkorovainaya, I.N.; Yashikhin, G.I. Genetic peculiarities of Northern Taiga soils in the Yenisei region of Siberia. Eurasian Soil Sci. 2001, 34, 12–20. (In Russian) [Google Scholar]
- Prokushkin, S.G.; Abaimov, A.P.; Prokushkin, A.S. Structural and Functional Characteristics of the Gmelin Larch in the Permafrost Zone of Central Evenkia; IL SB RAS: Krasnoyarsk, Russia, 2008; p. 164. ISBN 978-5-903055-13-5. (In Russian) [Google Scholar]
- Galenko, E.P. Thermal regime formation of soils in coniferous ecosystems of boreal zone in reference to dominating tree species and forest type. Proc. Komi Sci. Cent. Ural. Div. Russ. Acad. Sci. 2013, 1, 32–37. (In Russian) [Google Scholar]
- Ehrenfeld, J.G.; Ravit, B.; Elgersma, K. Feedbacks in the plant-soil system. Annu. Rev. Environ. Resour. 2005, 30, 75–115. [Google Scholar] [CrossRef]
- Kharuk, V.I.; Ponomarev, E.I. Spatiotemporal characteristics of wildfire frequency and relative area burned in larch-dominated forests of Central Siberia. Russ. J. Ecol. 2017, 48, 507–512. [Google Scholar] [CrossRef]
- Ponomarev, E.I.; Ponomareva, T.V. The Effect of Postfire Temperature Anomalies on Seasonal Soil Thawing in the Permafrost Zone of Central Siberia Evaluated Using Remote Data. Contemp. Probl. Ecol. 2018, 11, 420–427. [Google Scholar] [CrossRef]
- Kharuk, V.I.; Ponomarev, E.I.; Ivanova, G.A.; Dvinskaya, M.L.; Coogan, S.C.; Flannigan, M.D. Wildfires in the Siberian taiga. Ambio 2021, 1–22. [Google Scholar] [CrossRef]
- Krasnoshchekov, K.V.; Dergunov, A.V.; Ponomarev, E.I. Evaluation of underlying surface temperature maps on logging sites using Landsat data. Sovrem. Probl. Distantsionnogo Zondirovaniya Zemli Iz Kosm. 2019, 16, 87–97. [Google Scholar] [CrossRef]
- Uzarowicz, Ł.; Charzyński, P.; Greinert, A.; Hulisz, P.; Kabała, C.; Kusza, G.; Kwasowski, W.; Pędziwiatr, A. Studies of technogenic soils in Poland: Past, present, and future perspectives. Soil Sci. Annu. 2020, 71, 281–299. [Google Scholar] [CrossRef]
- Rodionova, N. Sentinel 1 Radar Data Correlation WITH GROUND Measurements of Soil Moisture and Temperature. Issled. Zemli kosmosa 2018, 4, 32–42. [Google Scholar] [CrossRef]
- Vinogradov, Y.B.; Semenova, O.M.; Vinogradova, T.A. Hydrological modeling: Calculation of the dynamics of thermal energy in the soil profile. Kriosf. Zemli Earth Cryosphere 2015, 19, 11–21. (In Russian) [Google Scholar]
- Zwieback, S.; Westermann, S.; Langer, M.; Boike, J.; Marsh, P.; Berg, A. Improving Permafrost Modeling by Assimilating Remotely Sensed Soil Moisture. Water Resour. Res. 2019, 55, 1814–1832. [Google Scholar] [CrossRef]
- Ponomarev, E.; Masyagina, O.; Litvintsev, K.; Ponomareva, T.; Shvetsov, E.; Finnikov, K. The effect of post-fire disturbances on a seasonally thawed layer in the permafrost larch forests of Central Siberia. Forests 2020, 11, 790. [Google Scholar] [CrossRef]
- Arkhangelskaya, T.A. Parameters of the Thermal Diffusivity vs. Water Content Function for Mineral Soils of Different Textural Classes. Eurasian Soil Sci. 2020, 53, 39–49. [Google Scholar] [CrossRef]
- Deng, X.; Pan, S.; Wang, Z.; Ke, K.; Zhang, J. Application of the Darcy-Stefan model to investigate the thawing subsidence around the wellbore in the permafrost region. Appl. Therm. Eng. 2019, 156, 392–401. [Google Scholar] [CrossRef]
- Cohen, D.; Zwinger, T.; Koskinen, L.; Karvonen, T. Long-term coupled permafrost-groundwater interactions at Olkiluoto, Finland. In Proceedings of the 22nd EGU General Assembly, Online, 4–8 May 2020; p. 8972. [Google Scholar] [CrossRef]
- Swenson, S.C.; Lawrence, D.M.; Lee, H. Improved simulation of the terrestrial hydrological cycle in permafrost regions by the Community Land Model. J. Adv. Model. Earth Syst. 2012, 4. [Google Scholar] [CrossRef]
- Thomas, H.R.; Cleall, P.; Li, Y.-C.; Harris, C.; Kern-Luetschg, M. Modelling of cryogenic processes in permafrost and seasonally frozen soils. Geotechnique 2009, 59, 173–184. [Google Scholar] [CrossRef]
- Zhou, M.M.; Meschke, G. A three-phase thermo-hydro-mechanical finite element model for freezing soils. Int. J. Numer. Anal. Methods Géoméch. 2013, 37, 3173–3193. [Google Scholar] [CrossRef]
- Painter, S.L.; Karra, S. Constitutive model for unfrozen water content in subfreezing unsaturated soils. Vadose Zone J. 2014, 13, 1–8. [Google Scholar] [CrossRef]
- Semin, M.A.; Levin, L.Y.; Zhelnin, M.S.; Plekhov, O.A. Natural convection in Water-saturated rock mass under artificial freezing. J. Min. Sci. 2020, 56, 297–308. [Google Scholar] [CrossRef]
- Gong, F.; Jacobsen, S. Modeling of water transport in highly saturated concrete with wet surface during freeze/thaw. Cem. Concr. Res. 2019, 115, 294–307. [Google Scholar] [CrossRef]
- Addassi, M.; Schreyer, L.; Johannesson, B.; Lin, H. Pore-scale modeling of vapor transport in partially saturated capillary tube with variable area using chemical potential. Water Resour. Res. 2016, 52, 7023–7035. [Google Scholar] [CrossRef][Green Version]
- Wen, W.; Lai, Y.; You, Z. Numerical modeling of water–heat–vapor–salt transport in unsaturated soil under evaporation. Int. J. Heat Mass Transf. 2020, 159, 120114. [Google Scholar] [CrossRef]
- Jafari, M.; Gouttevin, I.; Couttet, M.; Wever, N.; Michel, A.; Sharma, V.; Rossmann, L.; Maass, N.; Nicolaus, M.; Lehning, M. The Impact of Diffusive Water Vapor Transport on Snow Profiles in Deep and Shallow Snow Covers and on Sea Ice. Front. Earth Sci. 2020, 8, 249. [Google Scholar] [CrossRef]
- Psiloglou, B.E.; Santamouris, M.; Asimakopoulos, D.N. Atmospheric broadband model for computation of solar radiation at the Earth’s Surface. Application to Mediterranean Climate. Pure Appl. Geophys. 2000, 157, 829–860. [Google Scholar] [CrossRef]
- Kambezidis, H.D.; Psiloglou, B.E.; Karagiannis, D.; Dumka, U.C.; Kaskaoutis, D.G. Meteorological Radiation Model (MRM v6. 1): Improvements in diffuse radiation estimates and a new approach for implementation of cloud products. Renew. Sustain. Energy Rev. 2017, 74, 616–637. [Google Scholar] [CrossRef]
- Abaimov, A.P.; Bondarev, A.I.; Zyryanova, O.A.; Shitov, S.A. Polar Forests of Krasnoyarsk Region; Nauka Publisher: Novosibirsk, Russia, 1997; p. 208. (In Russian) [Google Scholar]
- Osawa, A.; Zyryanova, O.A.; Matsuura, Y.; Kajimoto, T.; Wein, R.W. (Eds.) Permafrost Ecosystems; Siberian Larch Forests; Springer: Berlin/Heidelberg, Germany, 2010; p. 528. [Google Scholar] [CrossRef]
- Masyagina, O.V.; Evgrafova, S.Y.; Titov, S.V.; Prokushkin, A.S. Dynamics of soil respiration at different stages of pyrogenic restoration succession with different-aged burns in Evenkia as an example. Russ. J. Ecol. 2015, 46, 27–35. [Google Scholar] [CrossRef]
- Shishov, L.L.; Tonkonogov, V.D.; Lebedeva, I.I.; Gerasimova, I.I. Classification Diagnosis of Russian Soils; Oikumena: Smolensk, Russia, 2004; p. 341. (In Russian) [Google Scholar]
- World Reference Base for Soil Resources. 2014. Available online: https://www.isric.org/explore/wrb (accessed on 10 May 2021).
- Dymov, A.A.; Dubrovsky, Y.A.; Gabov, D.N. Pyrogenic changes in iron-illuvial podzols in the middle taiga of the Komi Republic. Eurasian Soil Sci. 2014, 47, 47–56. [Google Scholar] [CrossRef]
- Mergelov, N.S. Post-pirogenic Transformation of Soils and Soil Carbon Stocks in Sub-Tundra Woodlands of Kolyma Lowland: A Cascading Effect and Feedbacks. Izv. Ross. Akad. Nauk. Seriya Geogr. 2015, 129–140. [Google Scholar] [CrossRef][Green Version]
- Bezkorovaynaya, I.N.; Borisova, I.V.; Klimchenko, A.V.; Shabalina, O.M.; Zakharchenko, L.P.; Il’in, A.A.; Beskrovny, A.K. Influence of the pyrogenic factor on the biological activity of the soil under permafrost conditions (Central Evenkia). Vestnik KrasGAU 2017, 9, 181–189. (In Russian) [Google Scholar]
- Startsev, V.V.; Dymov, A.A.; Prokushkin, A.S. Soils of postpyrogenic larch stands in Central Siberia: Morphology, physicochemical properties, and specificity of soil organic matter. Eurasian Soil Sci. 2017, 50, 885–897. [Google Scholar] [CrossRef]
- Gavriliev, R.I. Catalog of Thermophysical Properties of Rocks in the North-East of Russia; Publishing house of the Institute of Permafrost. P.I. Melnikov SO RAN: Yakutsk, Russia, 2013; p. 174. (In Russian) [Google Scholar]
- Gubin, S.V.; Lupachev, A.V. Suprapermafrost horizons of the accumulation of raw organic matter in cryozems of Northen Yakutia. Eurasian Soil Sci. 2018, 51, 772–781. [Google Scholar] [CrossRef]
- Mishra, N.; Haque, M.O.; Leigh, L.; Aaron, D.; Helder, D.; Markham, B.L. Radiometric Cross Calibration of Landsat 8 Operational Land Imager (OLI) and Landsat 7 Enhanced Thematic Mapper Plus (ETM+). Remote Sens. 2014, 6, 12619–12638. [Google Scholar] [CrossRef]
- Zanter, K. Landsat 8 (L8) data users handbook // U.S. Geological Survey. Available online: https://prd-wret.s3-us-west-2.amazonaws.com/assets/palladium/production/s3fs-public/atoms/files/LSDS-1574_L8_Data_Users_Handbook.pdf (accessed on 1 June 2021).
- Van Huissteden, J. Thawing Permafrost: Permafrost Carbon in A Warming Arctic; Springer: Berlin/Heidelberg, Germany, 2020; p. 508. [Google Scholar] [CrossRef]
- Kurylyk, B.L.; MacQuarrie, K.T.; McKenzie, J.M. Climate change impacts on groundwater and soil temperatures in cold and temperate regions: Implications, mathematical theory, and emerging simulation tools. Earth-Sci. Rev. 2014, 138, 313–334. [Google Scholar] [CrossRef]
- Riseborough, D.; Shiklomanov, N.; Etzelmüller, B.; Gruber, S.; Marchenko, S. Recent advances in permafrost modelling. Permafr. Periglac. Process. 2008, 19, 137–156. [Google Scholar] [CrossRef]
- Lunardini, V.J. Heat Transfer with Freezing and Thawing; Elsevier: Amsterdam, The Netherlands, 1991; p. 65. [Google Scholar]
- Zhang, Y.; Carey, S.K.; Quinton, W.L. Evaluation of the algorithms and parameterizations for ground thawing and freezing simulation in permafrost regions. J. Geophys. Res. Space Phys. 2008, 113. [Google Scholar] [CrossRef]
- Ferziger, J.H.; Peric, M. Computational Methods for Fluid Dynamics; Springer: Berlin, Germany, 2002; p. 423. [Google Scholar]
- Patankar, S. Numerical Heat Transfer and Fluid Flow; Hemisphere Publishing Corporation: New York, NY, USA, 1980; p. 197. [Google Scholar]
- Pavlov, A.V. Thermal Physics of Landscapes; Nauka: Novosibirsk, Russia, 1979; p. 285. (In Russian) [Google Scholar]
- Anisimov, O.A.; Borshch, S.V.; Georgiyevskiy, V.Y. Methods for Assessing the Effects of Climate Change on Physical and Biological Systems, Chapter 8. Continental Permafrost; Planeta: Moscow, Russia, 2012; p. 509. [Google Scholar]
- Johansen, O. Thermal Conductivity of Soils. Ph.D. Thesis, Norwegian University of Science and Technology, Trondheim, Norway, 1975. (CRREL draft transl. 637, 1977) ADA 044002. p. 291. [Google Scholar]
- Oke, T.R. Boundary Layer Climates, 2nd ed.; Routledge: London, UK, 1987; p. 435. [Google Scholar]
- Paltridge, G.; Platt, C. Radiative Processes in Meteorology and Climatology; Elsevier Scientific Pub, Co.: Amsterdam, The Netherlands, 1976; p. 318. [Google Scholar]
- Bezkorovainaya, I.N.; Ivanova, G.A.; Tarasov, P.A.; Sorokin, N.D.; Bogorodskaya, A.V.; Ivanov, V.A.; Makrae, D.D. Pyrogenic transformation of soils in pine forests in the middle taiga of the Krasnoyarsk Territory. Sib. Ecol. J. 2005, 12, 143–152. (In Russian) [Google Scholar]
- Prata, A.J. A new long-wave formula for estimating downward clear-sky radiation at the surface. Q. J. R. Meteorol. Soc. 1996, 122, 1127–1151. [Google Scholar] [CrossRef]
- Herrero, J.; Polo, M.J. Parameterization of atmospheric longwave emissivity in a mountainous site for all sky conditions. Hydrol. Earth Syst. Sci. 2012, 16, 3139–3147. [Google Scholar] [CrossRef]
- Kornienko, S.G. Transformation of tundra land cover at the sites of pyrogenic disturbance: Studies based on LANDSAT satellite data. Kriosf. Zemli Earth’s Cryosphere 2017, 21, 93–104. [Google Scholar]
- Ponomareva, T.V. Assessment of the structural organization of soils of technogenic landscapes on the basis of radiometric survey in the thermal range. In Soils in the Biosphere, Proceedings of the All-Russian Conf. Dedicated to the 50th Anniversary of the Institute of Soil Science and Agrochemistry SB RAS, Novosibirsk, Russia, 10 September–14 October 2018; Syso, A.I., Ed.; National Research Tomsk State University Publisher: Tomsk, Russia, 2018; pp. 410–413. [Google Scholar]
- Yakimov, N.; Ponomarev, E. Dynamics of Post-Fire Effects in Larch Forests of Central Siberia Based on Satellite Data. E3S Web Conf. 2020, 149, 03008. [Google Scholar] [CrossRef]
- Dabrowska-Prot, E.; Wasiłowska, A. The role of ecotones in man-disturbed landscape: Boundaries between mixed forest and adjacent man-made ecosystems in the Kampinos National Park, Poland. Pol. J. Ecol. 2012, 60, 677–698. [Google Scholar]








| Horizon | Specific Heat, J/(kg·K) | Volumetric Water/Ice Content (Qw) * | Porosity | Depth, m | |
|---|---|---|---|---|---|
| Oao | 1500 | 0.3/0.8 | 0.91 | 60 | 0.0–0.12 |
| O(F+H) | 1880 | 0.35/0.79 | 0.81 | 70 | 0.12–0.17 |
| CR | 750 | 0.275/0.3 | 0.48 | 1100 | 0.17–0.35 |
| C | 920 | 0.3/0.33 | 0.36 | 1500 | 0.35–Zend ** |
| Horizon | Specific Heat, J/(kg·K) | Volumetric Water/Ice Content * | Porosity | Depth, m | |
|---|---|---|---|---|---|
| O(F+H)pir | 1880 | 0.35/0.79 | 0.81 | 70 | 0.12–0.17 |
| CR (CRpir) | 750 | 0.275/0.3 | 0.48 | 1100 | 0.17–0.35 |
| C | 920 | 0.3/0.33 | 0.36 | 1500 | 0.35–Zend ** |
| Horizon | Models of Thermal Conductivity Coefficients | Parameters Used | Author, Reference |
|---|---|---|---|
| Oao | Equation (5) with and | is the thermal conductivity of dry organic substance, is the thermal conductivity of the organic substance in the water-saturated condition, w is the volumetric fraction of a certain state of water, s is the solid state of water, l is the liquid state of water. | Porada et al., 2016 [5] |
| O(F+H) | | is the thawed soil, fr is the frozen soil | Anisimov et al., 2012 [70] |
| CR | Equation (5) was used, where Coefficients A, B, С, D summarized from [1,4] | is the bulk density of dry soil; is the density of the material of soil particles; w is the volumetric water/ice fraction; k is the empiric coefficient specific for the type and condition of soil | Pavlov, 1979 [69], Ekici et al., 2014 [4], Tarnawski et al., 2000 [1] |
| Recovery Time, Years | Albedo Decreasing (%) λ = 0.620–0.670 μm | Albedo Decreasing (%) λ = 0.841–0.876 μm | ΔT/Tbg (%) λ = 10–12 μm | |||
|---|---|---|---|---|---|---|
| PF/BCM (Reclamation) | OMP (without Reclamation) | PF/BCM (Reclamation) | OMP (without Reclamation) | PF | BCM (Reclamation)/OMP (without Reclamation) | |
| 1 | 17.5 ± 4.8 | 53.1 ± 11.3 | 48.5 ± 1.5 | 46.8 ± 5.2 | 28.5 ± 3.4 | 77.9 ± 10.4 |
| 5 | 16.9 ± 5.6 | – | 27.5 ± 3.6 | – | 15.0 ± 2.5 | – |
| 10–12 | 15.4 ± 5.5 | 50.6 ± 8.1 | 25.0 ± 3.7 | 51.4 ± 5.6 | 12.5 ± 1.1 | 55.0 ± 8.3 |
| 22 | 3.1 ± 0.2 | 62.9 ± 13.9 | 12.5 ± 1.1 | 50.2 ± 5.5 | 3.6 ± 0.6 | 43.0 ± 6.2 |
| 30 | – | – | – | – | – | 32.4 ± 4.5 |
| >40 | – | – | – | – | – | 18.7 ± 0.3 |
| Horizon | Volumetric Water Content | Albedo for Disturbed Plot/Background | ΔT/Tbg, % |
|---|---|---|---|
| Var. 1. Basic set of conditions | |||
| Oao | –/0.6 | 0.13/0.18 | 15–25 |
| O(F+H) | 0.35/0.14 | ||
| Var. 2. No change in the moisture content for the horizon O(F+H) | |||
| Oao | –/0.6 | 0.13/0.18 | 7–12 |
| O(F+H) | 0.35/0.35 | ||
| Var. 3. Equal moisture content in the upper soil horizons | |||
| Oao | –/0.6 | 0.13/0.18 | <5 |
| O(F+H) | 0.35/0.6 | ||
| Var. 4. Moisture content similar to Var. 3 with greater change in albedo | |||
| Oao | –/0.6 | 0.07/0.28 | 10–25 (mean ~15%) |
| O(F+H) | 0.35/0.6 | ||
Publisher’s Note: MDPI stays neutral with regard to jurisdictional claims in published maps and institutional affiliations. |
© 2021 by the authors. Licensee MDPI, Basel, Switzerland. This article is an open access article distributed under the terms and conditions of the Creative Commons Attribution (CC BY) license (https://creativecommons.org/licenses/by/4.0/).
Share and Cite
Ponomareva, T.V.; Litvintsev, K.Y.; Finnikov, K.A.; Yakimov, N.D.; Sentyabov, A.V.; Ponomarev, E.I. Soil Temperature in Disturbed Ecosystems of Central Siberia: Remote Sensing Data and Numerical Simulation. Forests 2021, 12, 994. https://doi.org/10.3390/f12080994
Ponomareva TV, Litvintsev KY, Finnikov KA, Yakimov ND, Sentyabov AV, Ponomarev EI. Soil Temperature in Disturbed Ecosystems of Central Siberia: Remote Sensing Data and Numerical Simulation. Forests. 2021; 12(8):994. https://doi.org/10.3390/f12080994
Chicago/Turabian StylePonomareva, Tatiana V., Kirill Yu. Litvintsev, Konstantin A. Finnikov, Nikita D. Yakimov, Andrey V. Sentyabov, and Evgenii I. Ponomarev. 2021. "Soil Temperature in Disturbed Ecosystems of Central Siberia: Remote Sensing Data and Numerical Simulation" Forests 12, no. 8: 994. https://doi.org/10.3390/f12080994
APA StylePonomareva, T. V., Litvintsev, K. Y., Finnikov, K. A., Yakimov, N. D., Sentyabov, A. V., & Ponomarev, E. I. (2021). Soil Temperature in Disturbed Ecosystems of Central Siberia: Remote Sensing Data and Numerical Simulation. Forests, 12(8), 994. https://doi.org/10.3390/f12080994

