Revealing Changes in the Stem Form and Volume Allocation in Diverse Boreal Forests Using Two-Date Terrestrial Laser Scanning
Abstract
:1. Introduction
2. Materials and Methods
2.1. Study Site and Experimental Design
2.2. Terrestrial Point Cloud Data and Field Inventory
2.3. Point Cloud Processing Methods to Characterize Changes in the Stem Form and Volume Allocation
2.4. Methods to Analyze Changes in the Stem Form and Volume Allocation in Different Forest Conditions
3. Results
3.1. Changes in the Stem Form
3.1.1. Overall Changes
3.1.2. Changes within Similar Forest Conditions
3.1.3. Changes between Different Forest Structural Groups
3.2. Changes in Stem Volume Allocation
3.2.1. Overall Changes
3.2.2. Changes within Similar Forest Conditions
3.2.3. Changes between Different Forest Structural Groups
4. Discussion
5. Conclusions
Author Contributions
Funding
Acknowledgments
Conflicts of Interest
References
- Harris, N.L.; Gibbs, D.A.; Baccini, A.; Birdsey, R.A.; de Bruin, S.; Farina, M.; Fatoyinbo, L.; Hansen, M.C.; Herold, M.; Houghton, R.A.; et al. Global maps of twenty-first century forest carbon fluxes. Nat. Clim. Chang. 2021, 11. [Google Scholar] [CrossRef]
- Sutherland, W.J.; Freckleton, R.P.; Godfray, H.C.J.; Beissinger, S.R.; Benton, T.; Cameron, D.D.; Carmel, Y.; Coomes, D.A.; Coulson, T.; Emmerson, M.C. Identification of 100 fundamental ecological questions. J. Ecol. 2013, 101, 58–67. [Google Scholar] [CrossRef]
- Pretzsch, H. Forest dynamics, growth, and yield. In Forest Dynamics, Growth and Yield; Springer: Berlin Heidelberg, Germany, 2009; pp. 1–39. [Google Scholar]
- Tomé, M.; Burkhart, H.E. Distance-dependent competition measures for predicting growth of individual trees. For. Sci. 1989, 35, 816–831. [Google Scholar]
- Ericsson, T.; Rytter, L.; Vapaavuori, E. Physiology of carbon allocation in trees. Biomass Bioenerg. 1996, 11, 115–127. [Google Scholar] [CrossRef]
- Oliver, C.D.; Larson, B.C. Forest Stand Dynamics: Updated Edition; John Wiley and Sons: Hoboken, NJ, USA, 1996. [Google Scholar]
- Poorter, H.; Nagel, O. The role of biomass allocation in the growth response of plants to different levels of light, CO2, nutrients and water: A quantitative review. Funct. Plant Biol. 2000, 27, 1191. [Google Scholar] [CrossRef] [Green Version]
- Craine, J.M. Reconciling plant strategy theories of Grime and Tilman. J. Ecol. 2005, 93, 1041–1052. [Google Scholar] [CrossRef]
- Bartholome, J.; Salmon, F.; Vigneron, P.; Bouvet, J.M.; Plomion, C.; Gion, J.M. Plasticity of primary and secondary growth dynamics in Eucalyptus hybrids: A quantitative genetics and QTL mapping perspective. BMC Plant Biol. 2013, 13, 120. [Google Scholar] [CrossRef] [Green Version]
- King, D.A.; Davies, S.J.; Noor, N.S.M. Growth and mortality are related to adult tree size in a Malaysian mixed dipterocarp forest. For. Ecol. Manag. 2006, 223, 152–158. [Google Scholar] [CrossRef]
- Weiskittel, A.R.; Hann, D.W.; Kershaw, J.A., Jr.; Vanclay, J.K. Forest Growth and Yield Modeling; John Wiley & Sons: Hoboken, NJ, USA, 2011. [Google Scholar]
- Vuokila, Y. On growth and its variations in thinned and unthinned Scots Pine stands. Metsat. Tutk. Julk. 1960, 52, 1–38. [Google Scholar]
- Larson, P.R. Stem form development of forest trees. For. Sci. 1963, 9, a0001–a0042. [Google Scholar] [CrossRef]
- Kozlowski, T.T. Cambial Growth, Root Growth, and Reproductive Growth; Academic Press: New York, USA, 1971. [Google Scholar]
- Muhairwe, C.K. Tree form and taper variation over time for interior lodgepole pine. Can. J. For. Res. 1994, 24, 1904–1913. [Google Scholar] [CrossRef]
- Tasissa, G.; Burkhart, H.E. Modeling thinning effects on ring width distribution in loblolly pine (Pinus taeda). Can. J. For. Res. 1997, 27, 1291–1301. [Google Scholar] [CrossRef]
- Peltola, H.; Miina, J.; Rouvinen, I.; Kellomäki, S. Effect of early thinning on the diameter growth distribution along the stem of Scots pine. Silva Fenn. 2002, 36, 813–825. [Google Scholar] [CrossRef] [Green Version]
- Mäkinen, H.; Isomäki, A. Thinning intensity and long-term changes in increment and stem form of Scots pine trees. For. Ecol. Manag. 2004, 203, 21–34. [Google Scholar] [CrossRef]
- Mäkinen, H.; Isomäki, A. Thinning intensity and long-term changes in increment and stem form of Norway spruce trees. For. Ecol. Manag. 2004, 201, 295–309. [Google Scholar] [CrossRef]
- McMahon, T. Size and shape in biology: Elastic criteria impose limits on biological proportions, and consequently on metabolic rates. Science 1973, 179, 1201–1204. [Google Scholar] [CrossRef] [PubMed]
- Bullock, S.H. Developmental patterns of tree dimensions in a neotropical deciduous forest. Biotropica 2000, 32, 42–52. [Google Scholar] [CrossRef]
- Sperry, J.S. Evolution of water transport and xylem structure. Int. J. Plant Sci. 2003, 164, S115–S127. [Google Scholar] [CrossRef] [Green Version]
- Mencuccini, M.; Hölttä, T.; Martinez-Vilalta, J. Comparative criteria for models of the vascular transport systems of tall trees. In Size-and Age-Related Changes in Tree Structure and Function; Springer: Dordrecht, The Netherlands, 2011; pp. 309–339. [Google Scholar]
- Hurmekoski, E.; Jonsson, R.; Korhonen, J.; Janis, J.; Makinen, M.; Leskinen, P.; Hetemaki, L. Diversification of the forest industries: Role of new wood-based products. Can. J. For. Res. 2018, 48, 1417–1432. [Google Scholar] [CrossRef] [Green Version]
- Kershaw, J.A., Jr.; Ducey, M.J.; Beers, T.W.; Husch, B. Forest Mensuration; John Wiley & Sons: Hoboken, NJ, USA, 2016. [Google Scholar]
- Kivinen, V.P.; Uusitalo, J. Applying fuzzy logic to tree bucking control. For. Sci. 2002, 48, 673–684. [Google Scholar]
- Rantala, S. Finnish Forestry Practice and Management; Metsäkustannus: Helsinki, Finland, 2011. [Google Scholar]
- Burkhart, H.E.; Tomé, M. Tree form and stem taper. In Modeling Forest Trees and Stands; Springer: Dordrecht, The Netherlands, 2012; pp. 9–41. [Google Scholar]
- Newnham, G.J.; Armston, J.D.; Calders, K.; Disney, M.I.; Lovell, J.L.; Schaaf, C.B.; Strahler, A.H.; Danson, F.M. Terrestrial laser scanning for plot-scale forest measurement. Curr. For. Rep. 2015, 1, 239–251. [Google Scholar] [CrossRef] [Green Version]
- Liang, X.; Kankare, V.; Hyyppä, J.; Wang, Y.; Kukko, A.; Haggrén, H.; Yu, X.; Kaartinen, H.; Jaakkola, A.; Guan, F. Terrestrial laser scanning in forest inventories. ISPRS J. Photogramm. 2016, 115, 63–77. [Google Scholar] [CrossRef]
- Liang, X.; Hyyppä, J.; Kaartinen, H.; Lehtomäki, M.; Pyörälä, J.; Pfeifer, N.; Holopainen, M.; Brolly, G.; Francesco, P.; Hackenberg, J.; et al. International benchmarking of terrestrial laser scanning approaches for forest inventories. ISPRS J. Photogramm. 2018, 144, 137–179. [Google Scholar] [CrossRef]
- Lovell, J.; Jupp, D.L.; Culvenor, D.; Coops, N. Using airborne and ground-based ranging lidar to measure canopy structure in Australian forests. Can. J. Remote Sens. 2003, 29, 607–622. [Google Scholar] [CrossRef]
- Simonse, M.; Aschoff, T.; Spiecker, H.; Thies, M. Automatic Determination of Forest Inventory Parameters Using Terrestrial Laser Scanning. In Proceedings of the Scandlaser Scientific Workshop on Airborne Laser Scanning of Forests, Umeå, Sweden, 3–4 September 2003; pp. 251–257. [Google Scholar]
- Aschoff, T.; Spiecker, H. Algorithms for the automatic detection of trees in laser scanner data. Int. Arch. Photogramm. Remote Sens. Spat. Inf. Sci. 2004, 36, W2. [Google Scholar]
- Thies, M.; Pfeifer, N.; Winterhalder, D.; Gorte, B.G. Three-dimensional reconstruction of stems for assessment of taper, sweep and lean based on laser scanning of standing trees. Scand. J. For. Res. 2004, 19, 571–581. [Google Scholar] [CrossRef]
- Maas, H.G.; Bienert, A.; Scheller, S.; Keane, E. Automatic forest inventory parameter determination from terrestrial laser scanner data. Int. J. Remote Sens. 2008, 29, 1579–1593. [Google Scholar] [CrossRef]
- Disney, M.I.; Boni Vicari, M.; Burt, A.; Calders, K.; Lewis, S.L.; Raumonen, P.; Wilkes, P. Weighing trees with lasers: Advances, challenges and opportunities. Interface Focus 2018, 8, 20170048. [Google Scholar] [CrossRef] [Green Version]
- Calders, K.; Adams, J.; Armston, J.; Bartholomeus, H.; Bauwens, S.; Bentley, L.P.; Chave, J.; Danson, F.M.; Demol, M.; Disney, M.; et al. Terrestrial laser scanning in forest ecology: Expanding the horizon. Remote Sens. Environ. 2020, 251, ARTN 112102. [Google Scholar] [CrossRef]
- Dassot, M.; Constant, T.; Fournier, M. The use of terrestrial LiDAR technology in forest science: Application fields, benefits and challenges. Ann. For. Sci. 2011, 68, 959–974. [Google Scholar] [CrossRef] [Green Version]
- Liang, X.; Hyyppä, J. Automatic stem mapping by merging several terrestrial laser scans at the feature and decision levels. Sensors 2013, 13, 1614–1634. [Google Scholar] [CrossRef] [PubMed] [Green Version]
- Olofsson, K.; Holmgren, J. Single tree stem profile detection using terrestrial laser scanner data, flatness saliency features and curvature properties. Forests 2016, 7, 207. [Google Scholar] [CrossRef]
- Sun, Y.; Liang, X.; Liang, Z.; Welham, C.; Li, W. Deriving merchantable volume in poplar through a localized tapering function from non-destructive terrestrial laser scanning. Forests 2016, 7, 87. [Google Scholar] [CrossRef]
- Saarinen, N.; Kankare, V.; Vastaranta, M.; Luoma, V.; Pyörälä, J.; Tanhuanpää, T.; Liang, X.; Kaartinen, H.; Kukko, A.; Jaakkola, A. Feasibility of Terrestrial laser scanning for collecting stem volume information from single trees. ISPRS J. Photogramm. 2017, 123, 140–158. [Google Scholar] [CrossRef]
- Pitkänen, T.P.; Raumonen, P.; Kangas, A. Measuring stem diameters with TLS in boreal forests by complementary fitting procedure. ISPRS J. Photogramm. 2019, 147, 294–306. [Google Scholar] [CrossRef]
- Kaasalainen, S.; Krooks, A.; Liski, J.; Raumonen, P.; Kaartinen, H.; Kaasalainen, M.; Puttonen, E.; Anttila, K.; Makipaa, R. Change Detection of Tree Biomass with Terrestrial Laser Scanning and Quantitative Structure Modelling. Remote Sens. 2014, 6, 3906–3922. [Google Scholar] [CrossRef] [Green Version]
- Srinivasan, S.; Popescu, S.C.; Eriksson, M.; Sheridan, R.D.; Ku, N.-W. Multi-temporal terrestrial laser scanning for modeling tree biomass change. For. Ecol. Manag. 2014, 318, 304–317. [Google Scholar] [CrossRef]
- Sheppard, J.; Morhart, C.; Hackenberg, J.; Spiecker, H. Terrestrial laser scanning as a tool for assessing tree growth. Iforest Biogeosci. For. 2017, 10, 172–179. [Google Scholar] [CrossRef]
- Luoma, V.; Saarinen, N.; Kankare, V.; Tanhuanpää, T.; Kaartinen, H.; Kukko, A.; Holopainen, M.; Hyyppä, J.; Vastaranta, M. Examining Changes in Stem Taper and Volume Growth with Two-Date 3D Point Clouds. Forests 2019, 10, 382. [Google Scholar] [CrossRef] [Green Version]
- Yrttimaa, T.; Luoma, V.; Saarinen, N.; Kankare, V.; Junttila, S.; Holopainen, M.; Hyyppä, J.; Vastaranta, M. Structural Changes in Boreal Forests Can Be Quantified Using Terrestrial Laser Scanning. Remote Sens. 2020, 12, 2672. [Google Scholar] [CrossRef]
- Luoma, V.; Saarinen, N.; Wulder, M.A.; White, J.C.; Vastaranta, M.; Holopainen, M.; Hyyppä, J. Assessing precision in conventional field measurements of individual tree attributes. Forests 2017, 8, 38. [Google Scholar] [CrossRef] [Green Version]
- Yrttimaa, T.; Saarinen, N.; Kankare, V.; Liang, X.; Hyyppä, J.; Holopainen, M.; Vastaranta, M. Investigating the feasibility of multi-scan terrestrial laser scanning to characterize tree communities in southern boreal forests. Remote Sens. 2019, 11, 1423. [Google Scholar] [CrossRef] [Green Version]
- Ritter, T.; Schwarz, M.; Tockner, A.; Leisch, F.; Nothdurft, A. Automatic mapping of forest stands based on three-dimensional point clouds derived from terrestrial laser-scanning. Forests 2017, 8, 265. [Google Scholar] [CrossRef]
- Yrttimaa, T.; Saarinen, N.; Kankare, V.; Hynynen, J.; Huuskonen, S.; Holopainen, M.; Hyyppä, J.; Vastaranta, M. Performance of terrestrial laser scanning to characterize managed Scots pine (Pinus sylvestris L.) stands is dependent on forest structural variation. ISPRS J. Photogramm. 2020, 168, 277–287. [Google Scholar] [CrossRef]
- Popescu, S.C.; Wynne, R.H. Seeing the trees in the forest. Photogramm. Eng. Remote Sens. 2004, 70, 589–604. [Google Scholar] [CrossRef] [Green Version]
- Meyer, F.; Beucher, S. Morphological segmentation. J. Vis. Commun. Image Represent. 1990, 1, 21–46. [Google Scholar] [CrossRef]
- Bolles, R.C.; Fischler, M.A. A RANSAC-Based Approach to Model Fitting and Its Application to Finding Cylinders in Range Data. In Proceedings of the 7th International Joint Conference on Artificial Intelligence, Vancouver, BC, Canada, 24–28 August 1981; pp. 637–643. [Google Scholar]
- Maltamo, M.; Kangas, A.; Uuttera, J.; Torniainen, T.; Saramäki, J. Comparison of percentile based prediction methods and the Weibull distribution in describing the diameter distribution of heterogeneous Scots pine stands. For. Ecol. Manag. 2000, 133, 263–274. [Google Scholar] [CrossRef]
- Linder, P.; Elfving, B.; Zackrisson, O. Stand structure and successional trends in virgin boreal forest reserves in Sweden. For. Ecol. Manag. 1997, 98, 17–33. [Google Scholar] [CrossRef]
- Wang, Y.; Lehtomäki, M.; Liang, X.; Pyörälä, J.; Kukko, A.; Jaakkola, A.; Liu, J.; Feng, Z.; Chen, R.; Hyyppä, J. Is field-measured tree height as reliable as believed—A comparison study of tree height estimates from field measurement, airborne laser scanning and terrestrial laser scanning in a boreal forest. ISPRS J. Photogramm. 2019, 147, 132–145. [Google Scholar] [CrossRef]
- Snowdon, P.; Waring, H.D.; Woollons, R.C. Effect of fertilizer and weed control of stem form and average taper in plantation-grown pines. Aust. For. Res. 1981, 11, 209–221. [Google Scholar]
- Saarinen, N.; Kankare, V.; Yrttimaa, T.; Viljanen, N.; Honkavaara, E.; Holopainen, M.; Hyyppä, J.; Huuskonen, S.; Hynynen, J.; Vastaranta, M. Assessing the effects of thinning on stem growth allocation of individual Scots pine trees. For. Ecol. Manag. 2020, 474, 118344. [Google Scholar] [CrossRef]





| Field Measurements, T1/T2 | TLS, T1/T2 | |||||
|---|---|---|---|---|---|---|
| n | dbh (cm) | h (m) | n | dbh (cm) | h (m) | |
| All trees | 1280 | min 5.0/5.0 | min 2.2/3.7 | 736 | min 5.4/5.7 | min 6.3/7.2 |
| mean 16.8/17.9 | mean 16.3/17.5 | mean 20.8/22.2 | mean 18.2/20.4 | |||
| max 59.9/64.0 | max 36.6/38.4 | max 56.6/59.2 | max 34.0/35.5 | |||
| std 9.9/10.2 | std 7.2/7.4 | std 9.2/9.4 | std 5.3/5.9 | |||
| Scots pine | 270 | min 5.2/5.2 | min 5.0/5.0 | 221 | min 6.1/5.9 | min 8.5/7.7 |
| mean 20.2/21.3 | mean 17.8/19.3 | mean 20.3/21.7 | mean 17.5/19.5 | |||
| max 57.9/60.1 | max 34.3/37.2 | max 55.6/56.4 | max 28.7/29.5 | |||
| std 9.5/9.8 | std 5.2/5.5 | std 8.5/8.7 | std 4.0/4.4 | |||
| Norway spruce | 649 | min 5.0/5.0 | min 2.2/3.7 | 342 | min 6.0/6.4 | min 6.3/7.2 |
| mean 16.7/17.8 | mean 15.1/16.3 | mean 22.9/24.3 | mean 19.5/21.9 | |||
| max 57.9/59.3 | max 36.6/38.4 | max 56.6/59.2 | max 34.0/35.5 | |||
| std 10.8/10.9 | std 8.4/8.5 | std 10.0/10.3 | std 6.1/6.7 | |||
| Broadleaved trees | 361 | min 5.0/5.0 | min 5.0/5.2 | 173 | min 5.4/5.7 | min 7.7/7.7 |
| mean 14.8/15.6 | mean 17.2/18.2 | mean 17.3/18.7 | mean 16.4/18.7 | |||
| max 59.9/64.0 | max 32.5/35.8 | max 51.0/53.7 | max 24.5/27.3 | |||
| std 8.1/8.6 | std 5.8/6.2 | std 6.8/7.0 | std 4.2/4.9 | |||
| Forest Structural Group | Variation of Forest Structural Attributes Based on Field Measurements | Accuracy of TLS-Derived Estimates for Tree Attributes | |||||
|---|---|---|---|---|---|---|---|
| Dg (cm) | Hg (m) | G (m2/ha) | TPH (n/ha) | Vmean (m3/ha) | dbh | h | |
| young-managed (8 sample plots) | min. 15.1 | min. 13.7 | min. 17.2 | min. 552 | min. 117.8 | bias | bias |
| mean 19.7 | mean 18.5 | mean 22.5 | mean. 957 | mean 207.6 | 0.1 cm (0.6%) | −0.4 m (−2.1%) | |
| max 23.6 | max. 21.6 | max. 38.6 | max. 1473 | max. 389.5 | RMSE | RMSE | |
| sd. 2.8 | sd. 2.6 | sd. 7.6 | sd. 324 | sd. 92.5 | 0.6 cm (3.2%) | 1.7 m (9.6%) | |
| young-unmanaged (11 sample plots) | min. 14.3 | min. 17.3 | min. 31.2 | min. 920 | min. 277.7 | bias | bias |
| mean 25.6 | mean 21.0 | mean 38.9 | mean. 1885 | mean 379.8 | 0.1 cm (0.4%) | −1.3 m (−7.0%) | |
| max. 43.2 | max. 27.8 | max. 56.8 | max. 3236 | max. 639.6 | RMSE | RMSE | |
| sd. 9.7 | sd. 3.1 | sd. 8.8 | sd. 687 | sd. 123.5 | 1.1 cm (6.1%) | 5.4 m (28.4%) | |
| mature-managed (9 sample plots) | min. 24.2 | min. 22.0 | min. 20.5 | min. 368 | min. 211.9 | bias | bias |
| mean 29.3 | mean 24.6 | mean 31.4 | mean 661 | mean 359.7 | 0.1 cm (0.1%) | 0.1 m (0.1%) | |
| max. 36.8 | max. 27.0 | max. 49.2 | max. 1158 | max. 582.8 | RMSE | RMSE | |
| sd. 4.2 | sd. 1.7 | sd. 10.4 | sd. 293 | sd. 134.5 | 0.6 cm (2.5%) | 1.9 m (8.4%) | |
| old-growth (9 sample plots) | min. 35.6 | min. 27.5 | min. 35.4 | min. 368.3 | min. 477.3 | bias | bias |
| mean 40.2 | mean 30.2 | mean 42.6 | mean 482.3 | mean 561.9 | −0.1 cm (−0.3%) | 0.1 m (0.3%) | |
| max. 44.0 | max. 32.4 | max. 53.8 | max. 605.1 | max 736.6 | RMSE | RMSE | |
| sd. 2.5 | sd. 1.9 | sd. 6.1 | sd. 90.2 | sd. 76.7 | 1.0 cm (3.0%) | 3.0 m (11.2%) | |
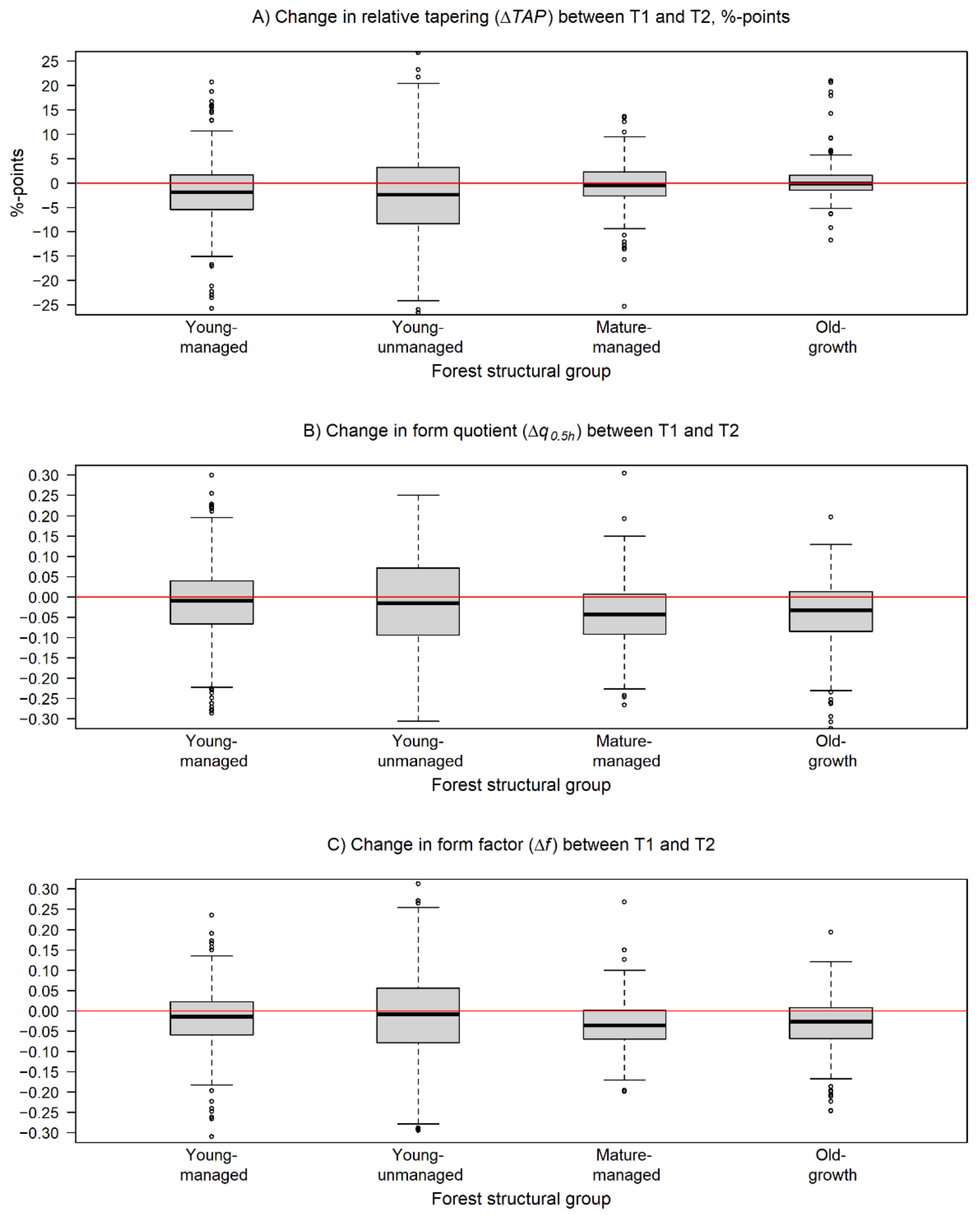
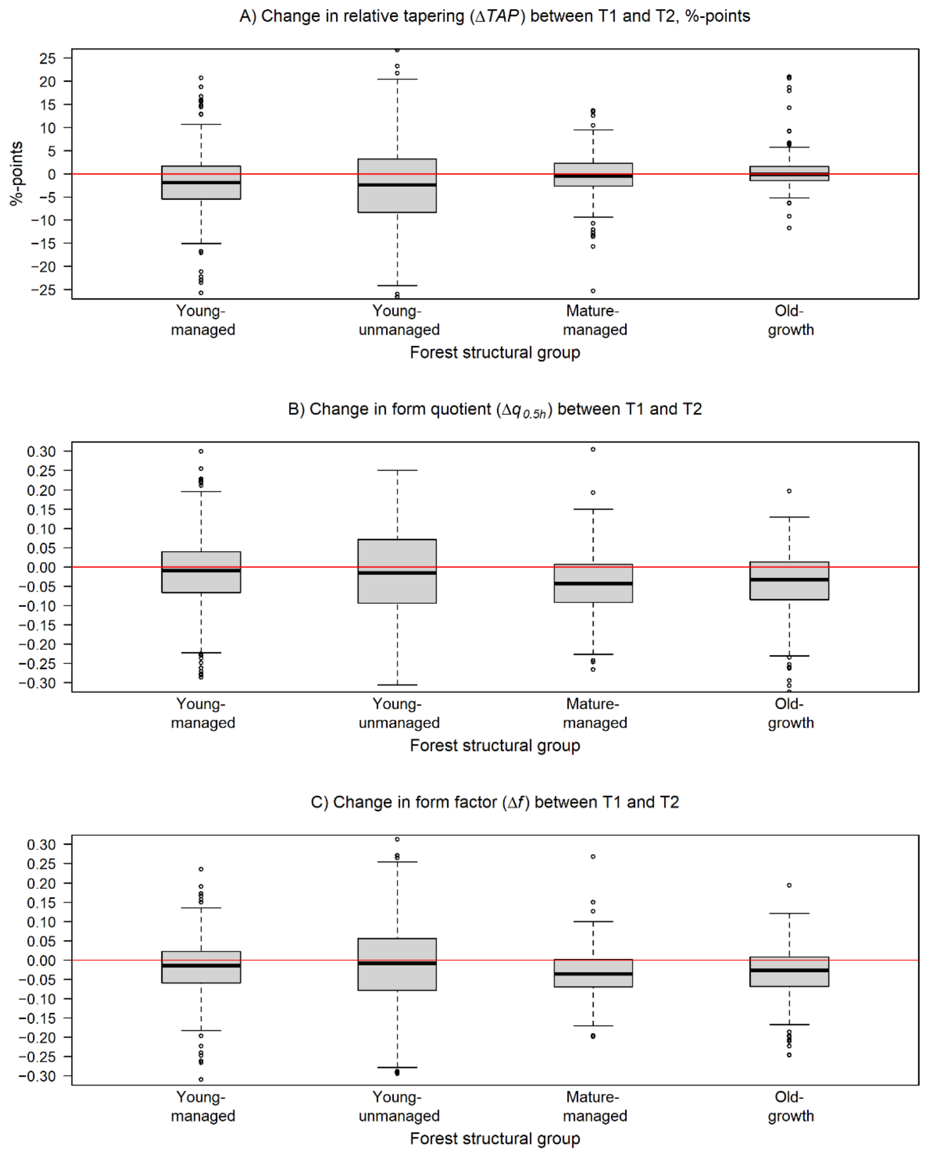
| Forest Structural Group | Mean and (Std.) of Stem Form Attributes in T1 and T2 within Forest Structural Groups | ||||||||
|---|---|---|---|---|---|---|---|---|---|
| TAP | q0.5h | f | |||||||
| T1 (%) | T2 (%) | Δ (%-Points) | T1 | T2 | Δ | T1 | T2 | Δ | |
| young- managed | 21.8 | 19.5 | −2.2 | 0.732 | 0.712 | −0.020 | 0.531 | 0.508 | −0.023 |
| (10.6) | (8.3) | (9.2) | (0.107) | (0.091) | (0.117) | (0.083) | (0.066) | (0.088) | |
| young- unmanaged | 21.9 | 19.5 | −2.3 | 0.749 | 0.726 | −0.023 | 0.548 | 0.528 | −0.019 |
| (15.2) | (13.3) | (15.2) | (0.142) | (0.141) | (0.190) | (0.113) | (0.105) | (0.145) | |
| mature- managed | 15.1 | 14.6 | −0.5 | 0.738 | 0.698 | −0.040 | 0.520 | 0.488 | −0.032 |
| (6.2) | (5.7) | (5.2) | (0.089) | (0.079) | (0.091) | (0.065) | (0.056) | (0.064) | |
| old- growth | 12.2 | 12.9 | 0.7 | 0.760 | 0.711 | −0.049 | 0.536 | 0.495 | −0.041 |
| (7.4) | (8.2) | (4.8) | (0.107) | (0.069) | (0.103) | (0.087) | (0.055) | (0.083) | |
| All trees | 18.8 | 17.4 | −1.4 | 0.743 | 0.713 | −0.030 | 0.535 | 0.508 | −0.027 |
| (11.9) | (10.2) | (10.6) | (0.117) | (0.105) | (0.139) | (0.092) | (0.079) | (0.106) | |
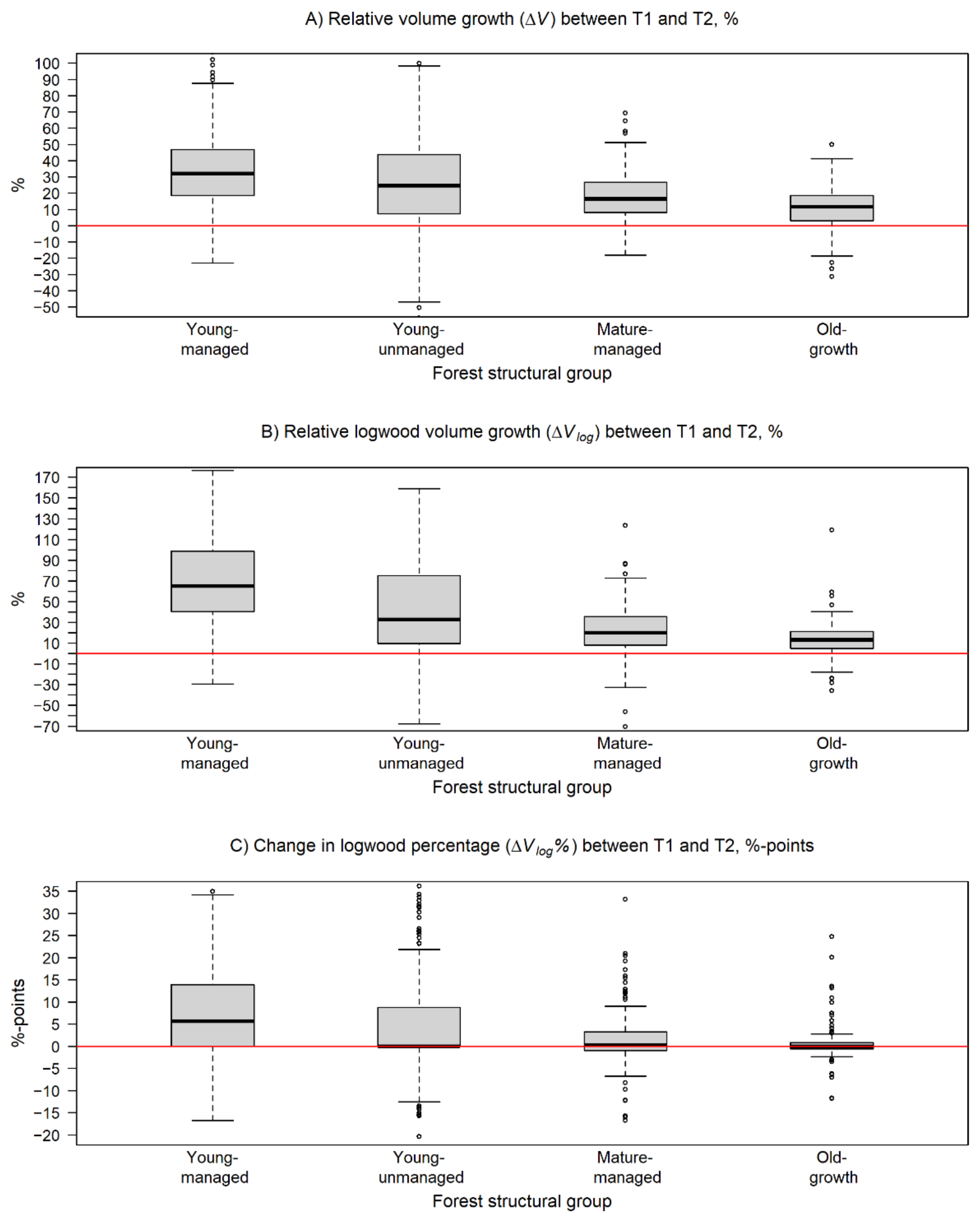
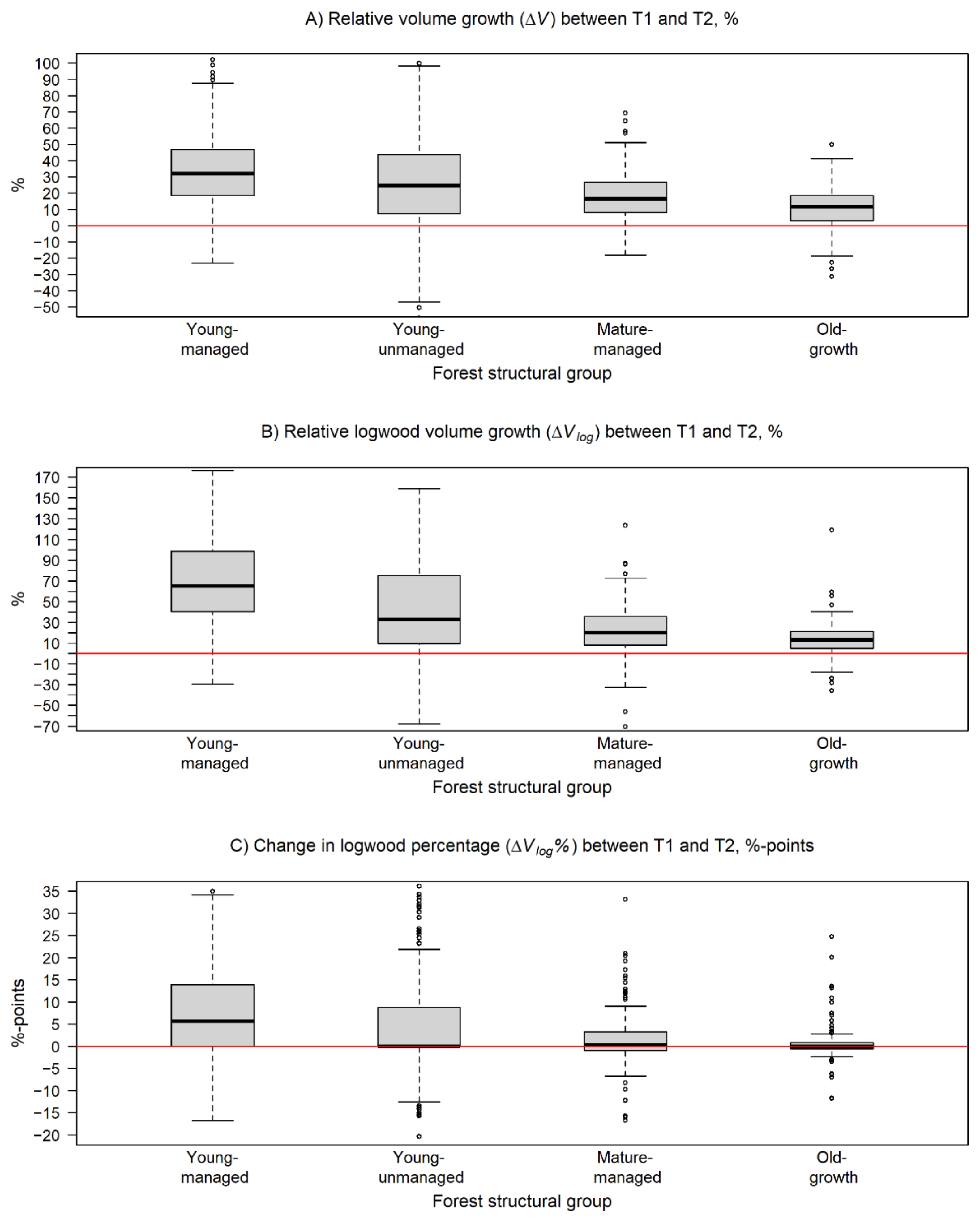
| Forest Structural Group | Mean and (Std.) of Stem Volume Attributes in T1 and T2 within Forest Structural Groups | ||||||||
|---|---|---|---|---|---|---|---|---|---|
| V | Vlog | Vlog% | |||||||
| T1 (m3) | T2 (m3) | ΔV (%) | T1 (m3) | T2 (m3) | ΔVlog (%) | T1 (%) | T2 (%) | ΔVlog% (%-Points) | |
| young- managed | 0.192 | 0.259 | 35.3 | 0.101 | 0.162 | 146.2 | 34.0 | 43.1 | 9.1 |
| (0.120) | (0.162) | (27.2) | (0.125) | (0.172) | (467.1) | (33.7) | (34.7) | (13.2) | |
| young- unmanaged | 0.254 | 0.320 | 29.2 | 0.172 | 0.233 | 76.5 | 37.2 | 42.6 | 5.4 |
| (0.315) | (0.406) | (38.7) | (0.325) | (0.419) | (220.2) | (38.5) | (38.6) | (15.2) | |
| mature- managed | 0.560 | 0.660 | 17.8 | 0.486 | 0.582 | 23.5 | 75.8 | 77.3 | 1.6 |
| (0.360) | (0.432) | (16.1) | (0.381) | (0.452) | (34.7) | (26.9) | (26.3) | (7.3) | |
| old- growth | 1.211 | 1.343 | 10.0 | 1.153 | 1.280 | 18.5 | 82.7 | 83.4 | 0.7 |
| (0.791) | (0.893) | (13.7) | (0.813) | (0.911) | (63.4) | (30.2) | (28.6) | (4.4) | |
| All trees | 0.459 | 0.544 | 25.4 | 0.380 | 0.459 | 67.1 | 52.0 | 56.9 | 4.9 |
| (0.546) | (0.617) | (29.6) | (0.563) | (0.635) | (267.0) | (39.5) | (38.1) | (12.3) | |
Publisher’s Note: MDPI stays neutral with regard to jurisdictional claims in published maps and institutional affiliations. |
© 2021 by the authors. Licensee MDPI, Basel, Switzerland. This article is an open access article distributed under the terms and conditions of the Creative Commons Attribution (CC BY) license (https://creativecommons.org/licenses/by/4.0/).
Share and Cite
Luoma, V.; Yrttimaa, T.; Kankare, V.; Saarinen, N.; Pyörälä, J.; Kukko, A.; Kaartinen, H.; Hyyppä, J.; Holopainen, M.; Vastaranta, M. Revealing Changes in the Stem Form and Volume Allocation in Diverse Boreal Forests Using Two-Date Terrestrial Laser Scanning. Forests 2021, 12, 835. https://doi.org/10.3390/f12070835
Luoma V, Yrttimaa T, Kankare V, Saarinen N, Pyörälä J, Kukko A, Kaartinen H, Hyyppä J, Holopainen M, Vastaranta M. Revealing Changes in the Stem Form and Volume Allocation in Diverse Boreal Forests Using Two-Date Terrestrial Laser Scanning. Forests. 2021; 12(7):835. https://doi.org/10.3390/f12070835
Chicago/Turabian StyleLuoma, Ville, Tuomas Yrttimaa, Ville Kankare, Ninni Saarinen, Jiri Pyörälä, Antero Kukko, Harri Kaartinen, Juha Hyyppä, Markus Holopainen, and Mikko Vastaranta. 2021. "Revealing Changes in the Stem Form and Volume Allocation in Diverse Boreal Forests Using Two-Date Terrestrial Laser Scanning" Forests 12, no. 7: 835. https://doi.org/10.3390/f12070835
APA StyleLuoma, V., Yrttimaa, T., Kankare, V., Saarinen, N., Pyörälä, J., Kukko, A., Kaartinen, H., Hyyppä, J., Holopainen, M., & Vastaranta, M. (2021). Revealing Changes in the Stem Form and Volume Allocation in Diverse Boreal Forests Using Two-Date Terrestrial Laser Scanning. Forests, 12(7), 835. https://doi.org/10.3390/f12070835

