Current and Predicted Future Winter Warm Spells Would Affect Douglas Fir (Pseudotsuga menziesii (Mirb.), Franco) Seeds in the Early Stage of Germination More Than in the Late Stage of Germination
Abstract
1. Introduction
2. Material and Methods
2.1. Plant Material
2.2. Climatic Criteria
2.3. Experimental Design
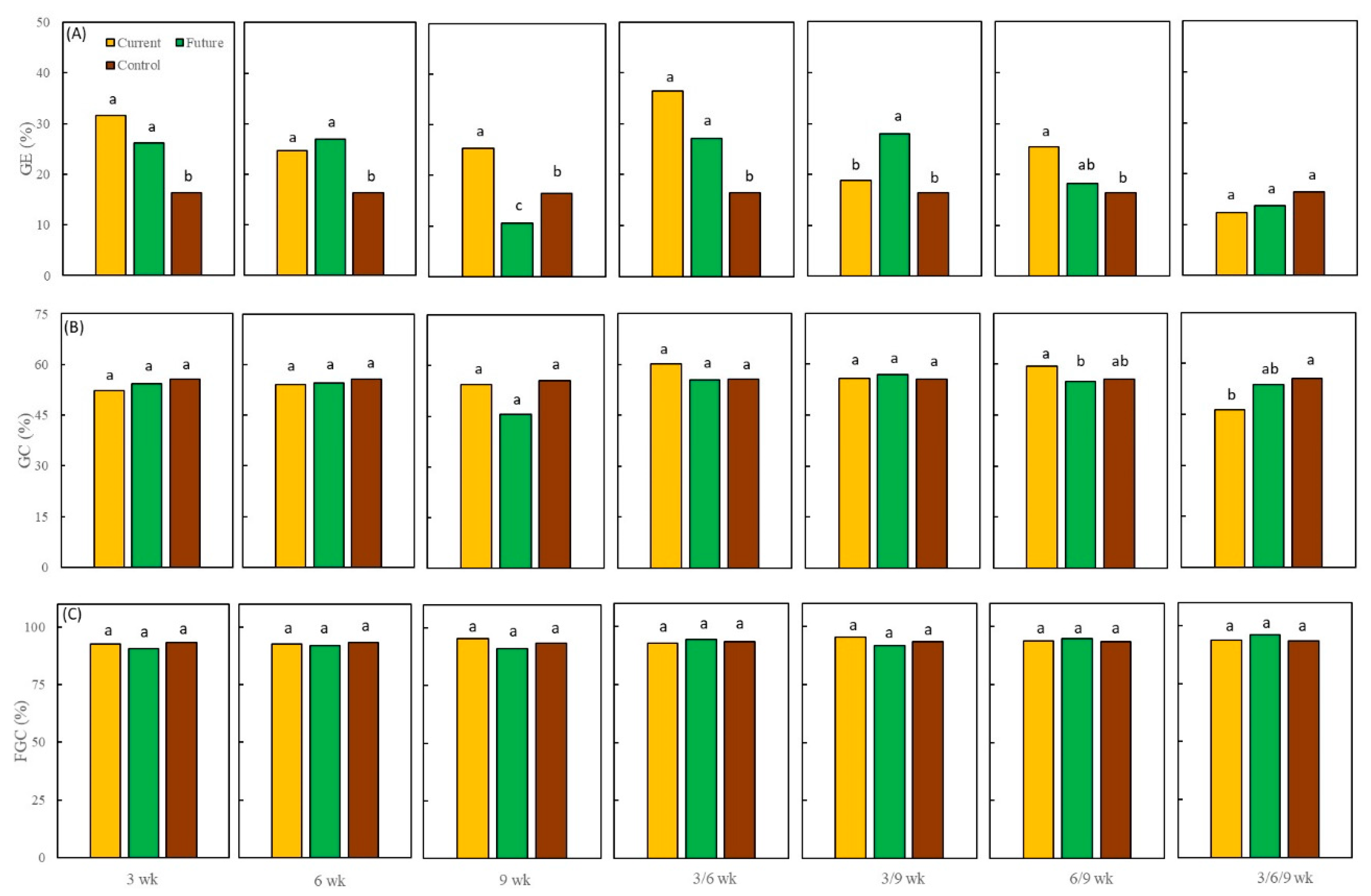
- Germination energy (GE)—percentage of germinated seeds at the beginning of the germination test (after 2 weeks of incubation);
- Germination capacity (GC)—percentage of seeds that would normally germinate under optimal conditions for the species (after 3 weeks of incubation);
- Final germination capacity (FGC)—maximum (final) germination after 9 weeks of incubation.
2.4. Statistical Analysis
3. Results
3.1. Effect of Population, Duration of Winter Spells and Time of Interruption of Cold Stratification on Germination Traits of Douglas Fir Seeds
3.2. Effect of Current and Future Winter Warm Spells during Cold Stratification on Germination Traits
4. Discussion
5. Conclusions
Supplementary Materials
Author Contributions
Funding
Institutional Review Board Statement
Informed Consent Statement
Acknowledgments
Conflicts of Interest
References
- Walck, J.L.; Hidayati, S.N.; Dixon, K.W.; Thompson, K.; Poschlod, P. Climate change and plant regeneration from seed. Glob. Chang. Biol. 2011, 17, 2145–2161. [Google Scholar] [CrossRef]
- Campbell, J.L.; Mitchell, M.J.; Groffman, P.M.; Christenson, L.M.; Hardy, J.P. Winter in northeastern North America: A critical period for ecological processes. Front. Ecol. Environ. 2005, 3, 314–322. [Google Scholar] [CrossRef]
- Shabbar, A.; Bonsal, B. An assessment of changes in winter cold and warm spells over Canada. Nat. Hazards 2003, 29, 173–188. [Google Scholar] [CrossRef]
- Klein Tank, A.M.G.; Wijngaard, J.B.; Können, G.P.; Böhm, R.; Demarée, G.; Gocheva, A.; Mileta, M.; Pashiardis, S.; Hejkrlik, L.; Kern-Hansen, C.; et al. Daily dataset of 20th-century surface air temperature and precipitation series for the European Climate Assessment. Int. J. Climatol. J. R. Meteorol. Soc. 2002, 22, 1441–1453. [Google Scholar] [CrossRef]
- Beniston, M. Warm winter spells in the Swiss Alps: Strong heat waves in a cold season? A study focusing on climate observations at the Saentis high mountain site. Geophys. Res. Lett. 2005, 32, 1–5. [Google Scholar] [CrossRef]
- Tomczyk, A.M.; Sulikowska, A.; Bednorz, E.; Półrolniczak, M. Atmospheric circulation conditions during winter warm spells in Central Europe. Nat. Hazards 2019, 96, 1413–1428. [Google Scholar] [CrossRef]
- Van Oldenborgh, G.J.; Collins, M.; Arblaster, J.; Christensen, J.H.; IPCC. Annex I: Atlas of global and regional climate projections. In Climate Change 2013: The Physical Science Basis. Contribution of Working Group I to the Fifth Assessment Report of the Intergovernmental Panel on Climate Change; Stocker, T.F., Qin, D., Plattner, G.K., Tignor, S.K., Allen, J., Boschung, A., Nauels, Y., Eds.; Cambridge University Press: Cambridge, UK, 2013; pp. 1131–1393. [Google Scholar]
- Kreyling, J. The Ecological Importance of Winter in Temperate, Boreal, and Arctic Ecosystems in Times of Climate Change. In Progress in Botany; Cánovas, F., Lüttge, U., Leuschner, C., Risueño, M.C., Eds.; Springer: Cham, Switzerland, 2019; Volume 81. [Google Scholar] [CrossRef]
- Baskin, C.C.; Baskin, J.M. Seeds: Ecology, Biogeography, and Evolution of Dormancy and Germination, 2nd ed.; Academic Press: San Diego, CA, USA, 2014; p. 1583. [Google Scholar]
- Flanigan, N.P.; Bandara, R.; Wang, F.; Jastrzębowski, S.; Hidayati, S.N.; Walck, J.L. Germination responses to winter warm spells and warming vary widely among woody plants in a temperate forest. Plant Biol. 2020, 22, 1052–1061. [Google Scholar] [CrossRef]
- Chrobock, T.; Kempel, A.; Fischer, M.; van Kleunen, M. Introduction bias: Cultivated alien plant species germinate faster and more abundantly than native species in Switzerland. Basic Appl. Ecol. 2011, 12, 244–250. [Google Scholar] [CrossRef]
- Wainwright, C.E.; Cleland, E.E. Exotic species display greater germination plasticity and higher germination rates than native species across multiple cues. Biol. Invasions 2013, 15, 2253–2264. [Google Scholar] [CrossRef]
- Gioria, M.; Pyšek, P.; Osborne, B.A. Timing is everything: Does early and late germination favor invasions by herbaceous alien plants? J. Plant Ecol. 2018, 11, 4–16. [Google Scholar] [CrossRef]
- Neophytou, C.; van Loo, M.; Hasenauer, H. Genetic diversity in introduced Douglas-fir and its natural regeneration in Central Europe. For. Int. J. For. Res. 2019, 93, 535–544. [Google Scholar] [CrossRef]
- Chylarecki, H. Daglezja w Lasach Polski: Potencjał Produkcyjny, Wymagania Ekologiczne, Biologia; Bogucki Wydawnictwo Naukowe: Poznań, Poland, 2004; p. 137. [Google Scholar]
- Dyderski, M.K.; Jagodziński, A.M. Drivers of invasive tree and shrub natural regeneration in temperate forests. Biol. Invasions 2018, 20, 2363–2379. [Google Scholar] [CrossRef]
- Piwczyński, M.; Puchałka, R.; Ulrich, W. Influence of tree plantations on the phylogenetic structure of understory plant communities. For. Ecol. Manag. 2016, 376, 231–237. [Google Scholar] [CrossRef]
- Weber, E.; Gut, D. Assessing the risk of potentially invasive plant species in central Europe. J. Nat. Conserv. 2004, 12, 171–179. [Google Scholar] [CrossRef]
- Broncano, M.J.; Vilà, M.; Boada, M. Evidence of Pseudotsuga menziesii naturalization in montane Mediterranean forests. For. Ecol. Manag. 2005, 211, 257–263. [Google Scholar] [CrossRef]
- Mandák, B.; Hadincová, V.; Mahelka, V.; Wildová, R. European Invasion of North American Pinus strobus at Large and Fine Scales: High Genetic Diversity and Fine-Scale Genetic Clustering over Time in the Adventive Range. PLoS ONE 2013, 8, e68514. [Google Scholar]
- Nygaard, P.H.; Øyen, B.-H. Spread of the introduced Sitka spruce (Picea sitchensis) in coastal Norway. Forests 2017, 8, 14. [Google Scholar] [CrossRef]
- Adamowski, W. Why Don’t Alien Conifers Invade the Białowieża Forest? Weed Technol. 2004, 18, 1453–1456. [Google Scholar] [CrossRef]
- Carrillo-Gavilan, M.A.; Vila, M. Little evidence of invasion by alien conifers in Europe. Divers. Distrib. 2010, 16, 203–213. [Google Scholar] [CrossRef]
- Schmid, M.; Pautasso, M.; Holdenrieder, O. Ecological consequences of Douglas fir (Pseudotsuga menziesii) cultivation in Europe. Eur. J. For. Res. 2014, 133, 13–29. [Google Scholar] [CrossRef]
- Referowska-Chodak, E. Problematyka gatunków obcych w systemach certyfikacji FSC i PEFC. Studia i Materiały CEPL 2012, 33, 15–25. [Google Scholar]
- Bombi, P.; D’Andrea, E.; Rezaie, N.; Cammarano, M.; Matteucci, G. Which climate change path are we following? Bad news from Scots pine. PLoS ONE 2017, 12, e0189468. [Google Scholar] [CrossRef]
- Dyderski, M.K.; Paź, S.; Frelich, L.E.; Jagodziński, A.M. How much does climate change threaten European forest tree species distributions? Glob. Chang. Biol. 2018, 24, 1150–1163. [Google Scholar] [CrossRef]
- Council Directive 1999/105/EC of 22 December 1999 on the Marketing of Forest Reproductive Material. Available online: https://eur-lex.europa.eu/legal-content/EN/TXT/PDF/?uri=CELEX:31999L0105&from=PL (accessed on 10 May 2021).
- McCalla, R.J.; Day, E.E.D.; Millward, H.A. The relative concept of warm and cold spells of temperature: Methodology and application. Arch. für Meteorol. Geophys. Bioklimatol. Ser. B 1978, 25, 323–336. [Google Scholar] [CrossRef]
- Jones, P.D.; Horton, E.B.; Folland, C.K.; Hulme, M.; Parker, D.E.; Basnett, T.A. The use of indices to identify changes in climatic extremes. Clim. Chang. 1999, 42, 131–149. [Google Scholar] [CrossRef]
- Haylock, M.; Hofstra, N.; Klein Tank, A.M.G.; Klok, E.J.; Jones, P.D.; New, M. A European daily high-resolution gridded dataset of surface temperature and precipitation. J. Geophys. Res. Atmos. 2008, 113, 1950–2006. [Google Scholar] [CrossRef]
- Cornes, R.C.; van der Schrier, G.; van den Besselaar, E.J.M.; Jones, P.D. An ensemble version of the E-OBS temperature and precipitation data sets. J. Geophys. Res. Atmos. 2018, 123, 9391–9409. [Google Scholar] [CrossRef]
- Anonymous. Polish National Strategy for Adaptation to Climate Change; Ministry of the Environment: Warsaw, Poland, 2013. [Google Scholar]
- Qeadan, F.; Christensen, R. On the equivalence between the LRT and F-test for testing variance components in a class of linear mixed models. Metrika 2021, 84, 313–338. [Google Scholar] [CrossRef]
- SAS Institute. SAS/STAT 14.3 User’s Guide; SAS Institute Inc.: Cary, NC, USA, 2017. [Google Scholar]
- Mumford, P.M. Alleviation and induction of dormancy by temperature in Impatiens glandulifera Royle. New Phytol. 1988, 109, 107–110. [Google Scholar] [CrossRef]
- Ter Borg, S.J. Dormancy and germination of six Rhinanthus species in relation to climate. Folia Geobot. 2005, 40, 243–260. [Google Scholar] [CrossRef]
- Scholten, M.; Donahue, J.; Shaw, N.L.; Serpe, M.D. Environmental regulation of dormancy loss in seeds of Lomatium dissectum (Apiaceae). Ann. Bot. 2009, 103, 1091–1101. [Google Scholar] [CrossRef]
- Martiník, A.; Houšková, K.; Palátová, E. Germination and emergence response of specific Douglas fir seed lot to different temperatures and prechilling duration. J. For. Sci. 2014, 60, 281–287. [Google Scholar] [CrossRef]
- Gosling, P.G. The effect of moist chilling on the subsequent germination of some temperate conifer seeds over a range of temperatures. J. Seed Technol. 1988, 12, 90–98. [Google Scholar]
- Taylor, M.A.; Davies, H.V.; Smith, S.B.; Abruzzese, A.; Gosling, P.G. Cold-induced changes in gene expression during dormancy breakage in seeds of Douglas fir (Pseudotsuga menziesii). J. Plant Physiol. 1993, 142, 120–123. [Google Scholar] [CrossRef]
- Hermann, R.K. The Genus Pseudotsuga: Ancestral History and Past Distribution (Special Publication 2b); Forest Research Laboratory, College of Forestry, Oregon State University: Corvallis, OR, USA, 1985; Volume 10, pp. 23–24. [Google Scholar]
- Van Loo, M.; Dobrowolska, D. Douglas-fir distribution in Europe. In Douglas-Fir—An Option for Europe; Spiecker, H., Lindner, M., Schuler, J., Eds.; European Forest Institute: Joensuu, Finland, 2019; pp. 21–32. [Google Scholar]
- Lockwood, J.L.; Hoopes, M.F.; Marchetti, M.P. Invasion Ecology; Blackwell Publisher: Hoboken, NJ, USA, 2007; p. 307. [Google Scholar]
- Křivánek, M.; Pyšek, P.; Jarošík, V. Planting history and propagule pressure as predictors of invasion by woody species in a temperate region. Conserv. Biol. 2006, 20, 1487–1498. [Google Scholar] [CrossRef]
- Simberloff, D. The role of propagule pressure in biological invasions. Annu. Rev. Ecol. Evol. Syst. 2009, 40, 81–102. [Google Scholar] [CrossRef]
- Bradley St Clair, J.; Howe, G.T. Genetic maladaptation of coastal Douglas-fir seedlings to future climates. Glob. Chang. Biol. 2007, 13, 1441–1454. [Google Scholar] [CrossRef]
- Liu, Y.; El-Kassaby, Y.A. Timing of seed germination correlated with temperature-based environmental conditions during seed development in conifers. Seed Sci. Res. 2015, 25, 29–45. [Google Scholar] [CrossRef]



| Source of Variance | GE (%. ± SE) | GC (%. ± SE) | FGC (%. ± SE) | |
|---|---|---|---|---|
| P | CHO | 25 (0.8) A | 58 (1.1) B | 96 (0.3) A |
| CZA | 17 (0.7) B | 43 (1.1) D | 90 (0.5) B | |
| LEB | 19 (1.0) B | 49 (1.6) C | 90 (0.7) B | |
| JAM | 28 (0.8) A | 62 (1.1) A | 97 (0.3) A | |
| D | 1 | 22 (0.7) AB | 55 (1.1) A | 95 (0.4) A |
| 3 | 23 (0.8) A | 52 (1.1) AB | 93 (0.4) B | |
| 5 | 20 (0.7) B | 51 (1.1) B | 93 (0.4) B | |
| 3 | 29 (1.2) A | 53(1.6) AB | 92 (0.7) A | |
| 6 | 24 (1.2) B | 54 (1.7) AB | 92 (0.7) A | |
| 9 | 18 (1.1) C | 50 (1.7) B | 94 (0.6) A | |
| W | 3/6 | 32 (1.3) A | 58 (1.7) A | 93 (0.6) A |
| 3/9 | 21 (1.1) BC | 55 (1.6) AB | 94 (0.6) A | |
| 6/9 | 22 (1.1) BC | 52 (1.7) AB | 94 (0.6) A | |
| 3/6/9 | 12 (0.9) D | 47 (1.6) B | 94 (0.6) A | |
Publisher’s Note: MDPI stays neutral with regard to jurisdictional claims in published maps and institutional affiliations. |
© 2021 by the authors. Licensee MDPI, Basel, Switzerland. This article is an open access article distributed under the terms and conditions of the Creative Commons Attribution (CC BY) license (https://creativecommons.org/licenses/by/4.0/).
Share and Cite
Jastrzębowski, S.; Ukalska, J.; Guziejko, A.; Puchałka, R. Current and Predicted Future Winter Warm Spells Would Affect Douglas Fir (Pseudotsuga menziesii (Mirb.), Franco) Seeds in the Early Stage of Germination More Than in the Late Stage of Germination. Forests 2021, 12, 796. https://doi.org/10.3390/f12060796
Jastrzębowski S, Ukalska J, Guziejko A, Puchałka R. Current and Predicted Future Winter Warm Spells Would Affect Douglas Fir (Pseudotsuga menziesii (Mirb.), Franco) Seeds in the Early Stage of Germination More Than in the Late Stage of Germination. Forests. 2021; 12(6):796. https://doi.org/10.3390/f12060796
Chicago/Turabian StyleJastrzębowski, Szymon, Joanna Ukalska, Adam Guziejko, and Radosław Puchałka. 2021. "Current and Predicted Future Winter Warm Spells Would Affect Douglas Fir (Pseudotsuga menziesii (Mirb.), Franco) Seeds in the Early Stage of Germination More Than in the Late Stage of Germination" Forests 12, no. 6: 796. https://doi.org/10.3390/f12060796
APA StyleJastrzębowski, S., Ukalska, J., Guziejko, A., & Puchałka, R. (2021). Current and Predicted Future Winter Warm Spells Would Affect Douglas Fir (Pseudotsuga menziesii (Mirb.), Franco) Seeds in the Early Stage of Germination More Than in the Late Stage of Germination. Forests, 12(6), 796. https://doi.org/10.3390/f12060796

