Citizen Science Data to Measure Human Use of Green Areas and Forests in European Cities
Abstract
1. Introduction
2. Materials and Methods
2.1. Study Area
2.2. Data Collection
2.2.1. Identification of Urban Forests and Green Areas
2.2.2. Citizen Science Observations
2.2.3. Identification of Predictors
2.2.4. Statistical Analyses
3. Results
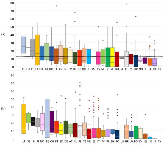
3.1. Urban Forest and Green Area Preferences
3.2. Factors Influencing Access
4. Discussion
4.1. The Use of iNaturalist to Detect the Use of Green Areas and Forests in European Cities
4.2. What Influences the Use of Green Areas and Forests in European Cities?
4.3. Limitations and Further Research
5. Conclusions
Supplementary Materials
Author Contributions
Funding
Institutional Review Board Statement
Informed Consent Statement
Data Availability Statement
Conflicts of Interest
References
- Benedict, M.A.; McMahon, E.T. Green infrastructure: Smart conservation for the 21st century. Renew. Resour. J. 2002, 20, 12–17. [Google Scholar]
- Pickett, S.T.A.; Cadenasso, M.L.; Grove, J.M.; Nilon, C.H.; Pouyat, R.V.; Zipperer, W.C.; Costanza, R. Urban ecological systems: Linking terrestrial ecological, physical, and socioeconomic components of metropolitan area. Annu. Rev. Ecol. Syst. 2001, 32, 127–157. [Google Scholar] [CrossRef]
- Alberti, M.; Marzluff, J.; Shulenberger, E.; Bradley, G.; Ryan, C.; Zumbrunnen, C. Integrating humans into ecosystems: Opportunities and challenges for urban ecology. BioScience 2003, 53, 1169–1179. [Google Scholar] [CrossRef]
- Turner, W.R.; Nakamura, T.; Dinetti, M. Global urbanization and the separation of humans from nature. BioScience 2004, 54, 585–590. [Google Scholar] [CrossRef]
- Andersson, E.; Barthel, S.; Borgström, S.; Colding, J.; Elmqvist, T.; Folke, C.; Gren, Å. Reconnecting cities to the biosphere: Stewardship of green infrastructure and urban ecosystem services. AMBIO 2014, 43, 445–453. [Google Scholar] [CrossRef] [PubMed]
- Colding, J.; Lundberg, J.; Folke, C. Incorporating green-area user groups in urban ecosystem management. AMBIO 2006, 35, 237–244. [Google Scholar] [CrossRef]
- Runhaar, H.A.C.; Driessen, P.P.J.; Soer, L. Scientific commons: Sustainable urban development and the challenge of policy integration: An assessment of planning tools for integrating spatial and environmental planning in the Netherlands. Environ. Plan. B Plan. Des. 2009, 36, 417–431. [Google Scholar] [CrossRef]
- Ernstson, H.; Barthel, S.; Andersson, E.; Borgström, S.T. Scale-crossing brokers and network governance of urban ecosystem services: The case of Stockholm, Sweden. Ecol. Soc. 2010, 15, 28. [Google Scholar] [CrossRef]
- Hegetschweiler, K.T.; Plum, C.; Fischer, C.; Brändli, U.B.; Ginzler, C.; Hunziker, M. Towards a comprehensive social and natural scientific forest-recreation monitoring instrument—A prototypical approach. Landsc. Urban Plan. 2017, 167, 84–97. [Google Scholar] [CrossRef]
- Zhu, J.; Lu, H.; Zheng, T.; Rong, Y.; Wang, C.; Zhang, W.; Yan, Y.; Tang, L. Vitality of urban parks and its influencing factors from the perspective of recreational service supply, demand, and spatial links. Int. J. Environ. Res. Public Health 2020, 17, 1615. [Google Scholar] [CrossRef] [PubMed]
- Balram, S.; Dragićević, S. Attitudes toward urban green spaces: Integrating questionnaire survey and collaborative GIS techniques to improve attitude measurements. Landsc. Urban Plan. 2005, 71, 147–162. [Google Scholar] [CrossRef]
- Tyrväinen, L.; Mäkinen, K.; Schipperijn, J. Tools for mapping social values of urban woodlands and other green areas. Landsc. Urban Plan. 2007, 79, 5–19. [Google Scholar] [CrossRef]
- Daniel, T.C.; Muhar, A.; Arnberger, A.; Aznar, O.; Boyd, J.W.; Chan, K.M.A.; Costanza, R.; Elmqvist, T.; Flint, C.G.; Gobster, P.H.; et al. Contributions of cultural services to the ecosystem services agenda. Proc. Natl. Acad. Sci. USA 2012, 109, 8812–8819. [Google Scholar] [CrossRef]
- Plieninger, T.; Dijks, S.; Oteros-Rozas, E.; Bieling, C. Assessing, mapping, and quantifying cultural ecosystem services at community level. Land Use Policy 2013, 33, 118–129. [Google Scholar] [CrossRef]
- Heikinheimo, V.; Tenkanen, H.; Bergroth, C.; Järv, O.; Hiippala, T.; Toivonen, T. Understanding the use of urban green spaces from user-generated geographic information. Landsc. Urban Plan. 2020, 201, 103845. [Google Scholar] [CrossRef]
- Cessford, G.; Cockburn, S.; Douglas, M. Developing new visitor counters and their applications for management. In Monitoring and Management of Visitor Flows in Recreational and Protected Areas; Arnberger, A., Brandenburg, C., Muhar, A., Eds.; Bodenkultur University: Vienna, Austria, 2002; pp. 14–20. [Google Scholar]
- Kobori, H.; Dickinson, J.L.; Washitani, I.; Sakurai, R.; Amano, T.; Komatsu, N.; Kitamura, W.; Takagawa, S.; Koyama, K.; Ogawara, T.; et al. Citizen science: A new approach to advance ecology, education, and conservation. Ecol. Res. 2016, 31, 1–19. [Google Scholar] [CrossRef]
- Calzada, I. (Smart) citizens from data providers to decision-makers? The case study of Barcelona. Sustainability 2018, 10, 3252. [Google Scholar] [CrossRef]
- Mueller, J.; Lu, H.; Chirkin, A.; Klein, B.; Schmitt, G. Citizen design science: A strategy for crowd-creative urban design. Cities 2018, 72, 181–188. [Google Scholar] [CrossRef]
- Parsons, J.; Lukyanenko, R.; Wiersma, Y. Easier citizen science is better. Nature 2011, 471, 37. [Google Scholar] [CrossRef] [PubMed]
- McKinley, D.C.; Miller-Rushing, A.J.; Ballard, H.L.; Bonney, R.; Brown, H.; Cook-Patton, S.C.; Evans, D.M.; Franch, R.A.; Parrish, J.K.; Phillips, T.B.; et al. Citizen science can improve conservation science, natural resource management, and environmental protection. Biol. Conserv. 2017, 208, 15–28. [Google Scholar] [CrossRef]
- Dickinson, J.L.; Zuckerberg, B.; Bonter, D.N. Citizen science as an ecological research tool: Challenges and benefits. Annu. Rev. Ecol. Evol. Syst. 2010, 41, 149–172. [Google Scholar] [CrossRef]
- Evans, C.; Abrams, E.; Reitsma, R.; Roux, K.; Salmonsen, L.; Marra, P.P. The neighborhood nestwatch program: Participant outcomes of a citizen-science ecological research project. Conserv. Biol. 2005, 19, 589–594. [Google Scholar] [CrossRef]
- Davies, L.; Fradera, R.; Riesch, H.; Lakeman-Fraser, P. Surveying the citizen science landscape: An exploration of the design, delivery and impact of citizen science through the lens of the Open Air Laboratories (OPAL) programme. BMC Ecol. 2016, 16, 17. [Google Scholar] [CrossRef] [PubMed]
- Hofmann, M.; Westermann, J.R.; Kowarik, I.; van der Meer, E. Perceptions of parks and urban derelict land by landscape planners and residents. Urban For. Urban Green. 2012, 11, 303–312. [Google Scholar] [CrossRef]
- Cooper, C.B.; Dickinson, J.; Phillips, T.; Bonney, R. Citizen science as a tool for conservation in residential ecosystems. Ecol. Soc. 2007, 12, 11. [Google Scholar] [CrossRef]
- Kakihara, M. Grasping a Global View of Smartphone Diffusion: An Analysis from a Global Smartphone Study. In Proceedings of the 2014 International Conference on Mobile Business, London, UK, 4–5 June 2014; p. 11. [Google Scholar]
- Kleinschroth, F.; Kowarik, I. COVID-19 crisis demonstrates the urgent need for urban greenspaces. Front. Ecol. Environ. 2020, 18, 318–319. [Google Scholar] [CrossRef] [PubMed]
- Poom, A.; Järv, O.; Zook, M.; Toivonen, T. COVID-19 is spatial: Ensuring that mobile Big Data is used for social good. Big Data Soc. 2020, 7, 2053951720952088. [Google Scholar] [CrossRef]
- Korpilo, S.; Virtanen, T.; Lehvävirta, S. Smartphone GPS tracking—Inexpensive and efficient data collection on recreational movement. Landsc. Urban Plan. 2017, 157, 608–617. [Google Scholar] [CrossRef]
- Monz, C.; Mitrovich, M.; D’Antonio, A.; Sisneros-Kidd, A. Using mobile device data to estimate visitation in parks and protected areas: An example from the nature reserve of Orange County, California. J. Park Recreat. Adm. 2019, 37, 92–109. [Google Scholar] [CrossRef]
- Norman, P.; Pickering, C.M.; Castley, G. What can volunteered geographic information tell us about the different ways mountain bikers, runners and walkers use urban reserves? Landsc. Urban Plan. 2019, 185, 180–190. [Google Scholar] [CrossRef]
- Toivonen, T.; Heikinheimo, V.; Fink, C.; Hausmann, A.; Hiippala, T.; Järv, O.; Tenkanen, H.; Di Minin, E. Social media data for conservation science: A methodological overview. Biol. Conserv. 2019, 233, 298–315. [Google Scholar] [CrossRef]
- Ilieva, R.T.; McPhearson, T. Social-media data for urban sustainability. Nat. Sustain. 2018, 1, 553–565. [Google Scholar] [CrossRef]
- Wood, S.A.; Guerry, A.D.; Silver, J.M.; Lacayo, M. Using social media to quantify nature-based tourism and recreation. Sci. Rep. 2013, 3, 1–7. [Google Scholar] [CrossRef]
- Guerrero, P.; Møller, M.S.; Olafsson, A.S.; Snizek, B. Revealing cultural ecosystem services through Instagram images: The potential of social media volunteered geographic information for urban green infrastructure planning and governance. Urban Plan. 2016, 1, 1–17. [Google Scholar] [CrossRef]
- Roberts, H.V. Using Twitter data in urban green space research. Appl. Geogr. 2017, 81, 13–20. [Google Scholar] [CrossRef]
- Hamstead, Z.A.; Fisher, D.; Ilieva, R.T.; Wood, S.A.; McPhearson, T.; Kremer, P. Geolocated social media as a rapid indicator of park visitation and equitable park access. Comput. Environ. Urban Syst. 2018, 72, 38–50. [Google Scholar] [CrossRef]
- Donahue, M.L.; Keeler, B.L.; Wood, S.A.; Fisher, D.M.; Hamstead, Z.A.; McPhearson, T. Using social media to understand drivers of urban park visitation in the Twin Cities, MN. Landsc. Urban Plan. 2018, 175, 1–10. [Google Scholar] [CrossRef]
- Zhang, S.; Zhou, W. Recreational visits to urban parks and factors affecting park visits: Evidence from geotagged social media data. Landsc. Urban Plan. 2018, 180, 27–35. [Google Scholar] [CrossRef]
- Song, X.P.; Richards, D.R.; He, P.; Tan, P.Y. Does geo-located social media reflect the visit frequency of urban parks? A city-wide analysis using the count and content of photographs. Landsc. Urban Plan. 2020, 203, 103908. [Google Scholar] [CrossRef]
- Tian, T.; Sun, L.; Peng, S.; Sun, F.; Che, Y. Understanding the process from perception to cultural ecosystem services assessment by comparing valuation methods. Urban For. Urban Green. 2021, 57, 126945. [Google Scholar] [CrossRef]
- Nugent, J. iNaturalist: Citizen science for 21st-century naturalists. Sci. Scope 2018, 41, 12. [Google Scholar] [CrossRef]
- Unger, S.; Rollins, M.; Tietz, A.; Dumais, H. iNaturalist as an engaging tool for identifying organisms in outdoor activities. J. Biol. Educ. 2020, 1–11. [Google Scholar] [CrossRef]
- Dijkstra, L.; Poelman, H.; Veneri, P. The EU-OECD Definition of a Functional Urban Area; OECD Regional Development Working Papers; OECD Publishing: Paris, France, 2019. [Google Scholar] [CrossRef]
- Salvati, L.; Ranalli, F.; Carlucci, M.; Ippolito, A.; Ferrara, A.; Corona, P. Forest and the city: A multivariate analysis of peri-urban forest land cover patterns in 283 European metropolitan areas. Ecol. Indic. 2017, 73, 369–377. [Google Scholar] [CrossRef]
- Masini, E.; Tomao, A.; Barbati, A.; Corona, P.; Serra, P.; Salvati, L. Urban growth, land-use efficiency and local socioeconomic context: A comparative analysis of 417 metropolitan regions in Europe. Environ. Manag. 2019, 63, 322–337. [Google Scholar] [CrossRef] [PubMed]
- EEA. Mapping Guide for a European Urban Atlas, Version 6.1. Copenhagen. 2018. Available online: https://land.copernicus.eu/local/urban-atlas/urban-atlas-2018?tab=metadata (accessed on 15 July 2020).
- Kabisch, N.; Selsam, P.; Kirsten, T.; Lausch, A.; Bumberger, J. A multi-sensor and multi-temporal remote sensing approach to detect land cover change dynamics in heterogeneous urban landscapes. Ecol. Indic. 2019, 99, 273–282. [Google Scholar] [CrossRef]
- Montero, E.; Van Wolvelaer, J.A.; Garzon, A. The European Urban Atlas. In Land Use and Land Cover Mapping in Europe: Practices & Trends; Manakos, I., Braun, M., Eds.; Remote Sensing and Digital Image Processing Series; Springer: New York, NY, USA, 2014; pp. 115–124. [Google Scholar]
- iNaturalist. Available online: http://www.inaturalist.org (accessed on 30 March 2020).
- Chandler, M.; See, L.; Copas, K.; Bonde, A.M.Z.; López, B.C.; Danielsen, F.; Legind, J.K.; Masinde, S.; Miller-Rushing, A.J.; Newman, G.; et al. Contribution of citizen science towards international biodiversity monitoring. Biol. Conserv. 2017, 213 Pt B, 280–294. [Google Scholar] [CrossRef]
- Hochmair, H.H.; Scheffrahn, R.H.; Basille, M.; Boone, M. Evaluating the data quality of iNaturalist termite records. PLoS ONE 2020, 15, e0226534. [Google Scholar] [CrossRef]
- Van Horn, G.; Mac Aodha, O.; Song, Y.; Cui, Y.; Sun, C.; Shepard, A.; Adam, H.; Perona, P.; Belongie, S. The inaturalist species classification and detection dataset. In Proceedings of the IEEE Conference on Computer Vision and Pattern Recognition, Salt Lake City, UT, USA, 18–23 June 2018; pp. 8769–8778. [Google Scholar]
- R Core Team. R: A Language and Environment for Statistical Computing; R Foundation for Statistical Computing: Vienna, Austria, 2020; Available online: https://www.R-project.org/ (accessed on 18 July 2020).
- Campagnaro, T.; Sitzia, T.; Cambria, V.E.; Semenzato, P. Indicators for the planning and management of urban green spaces: A focus on public areas in Padua, Italy. Sustainability 2019, 11, 7071. [Google Scholar] [CrossRef]
- Zepp, H.; Groß, L.; Inostroza, L. And the winner is? Comparing urban green space provision and accessibility in eight European metropolitan areas using a spatially explicit approach. Urban For. Urban Green. 2020, 49, 126603. [Google Scholar] [CrossRef]
- Van den Bosch, M.A.; Mudu, P.; Uscila, V.; Barrdahl, M.; Kulinkina, A.; Staatsen, B.; Swart, W.; Kruize, H.; Zurlyte, I.; Egorov, A.I. Development of an urban green space indicator and the public health rationale. Scand. J. Public Health 2016, 44, 159–167. [Google Scholar] [CrossRef] [PubMed]
- Heynen, N.C. The scalar production of injustice within the urban forest. Antipode 2003, 35, 980–998. [Google Scholar] [CrossRef]
- Danford, R.S.; Strohbach, M.W.; Ryan, R.; Nicolson, C.; Warren, P.S. What Does it take to Achieve Equitable Urban Tree Canopy Distribution? A Boston Case Study. Cities Environ. 2014, 7, 2. [Google Scholar]
- Lee, A.C.; Maheswaran, R. The health benefits of urban green spaces: A review of the evidence. J. Public Health 2011, 33, 212–222. [Google Scholar] [CrossRef] [PubMed]
- Eurostat. Statistics on European Cities. Cities (Urban Audit)-Database. 2015. Available online: http://ec.europa.eu/eurostat/web/cities/data/database (accessed on 20 February 2020).
- ESRI. ArcGIS Pro 2.4.0. Environmental Systems Research Institute. 2019. Available online: https://www.esri.com/en-us/arcgis/products/arcgis-pro/overview (accessed on 15 January 2020).
- QGIS Development Team. QGIS 3.4 LTR “Madeira”. QGIS Geographic Information System. Open Source Geospatial Foundation Project. 2020. Available online: https://www.qgis.org (accessed on 15 January 2020).
- Bates, D.; Maechler, M.; Bolker, B. Package ‘‘Lme4’’. 2012. Available online: http://cran.r-project.org/web/packages/lme4/lme4.pdf (accessed on 12 June 2020).
- Zuur, A.F.; Ieno, E.N.; Walker, N.J.; Saveliev, A.A.; Smith, G.M. Mixed Effects Modelling for Nested Data. In Mixed Effects Models and Extensions in Ecology with R. Statistics for Biology and Health; Springer: New York, NY, USA, 2009. [Google Scholar] [CrossRef]
- Harrison, X.A. Using observation-level random effects to model overdispersion in count data in ecology and evolution. PeerJ 2014, 2, e616. [Google Scholar] [CrossRef] [PubMed]
- Barton, K. MuMIn Version 1.15.6 Model Selection and Model Averaging Based on Information Criteria (AICc and Alike). 2016. Available online: https://cran.rproject.org/web/packages/MuMIn/MuMIn.pdf (accessed on 25 June 2020).
- Konijnendijk, C.C. A decade of urban forestry in Europe. For. Policy Econ. 2003, 5, 173–186. [Google Scholar] [CrossRef]
- Campagnaro, T.; Vecchiato, D.; Arnberger, A.; Celegato, R.; Da Re, R.; Rizzetto, R.; Semenzato, P.; Sitzia, T.; Tempesta, T.; Cattaneo, D. General, stress relief and perceived safety preferences for green spaces in the historic city of Padua (Italy). Urban For. Urban Green. 2020, 52, 126695. [Google Scholar] [CrossRef]
- Gosal, A.S.; Giannichi, M.L.; Beckmann, M.; Comber, A.; Massenberg, J.R.; Palliwoda, J.; Roddis, P.; Schägner, J.P.; Wilson, J.; Ziv, G. Do drivers of nature visitation vary spatially? The importance of context for understanding visitation of nature areas in Europe and North America. Sci. Total Environ. 2021, 776, 145190. [Google Scholar] [CrossRef]
- Rutt, R.L.; Gulsrud, N.M. Green justice in the city: A new agenda for urban green space research in Europe. Urban For. Urban Green. 2016, 19, 123–127. [Google Scholar] [CrossRef]
- Kabisch, N.; Strohbach, M.; Haase, D.; Kronenberg, J. Urban green space availability in European cities. Ecol. Indic. 2016, 70, 586–596. [Google Scholar] [CrossRef]
- Baycan-Levent, T.; Nijkamp, P. Planning and management of urban green spaces in Europe: Comparative analysis. J. Urban Plan. Dev. 2009, 135, 1–12. [Google Scholar] [CrossRef]
- Wolff, M.; Haase, D. Mediating sustainability and liveability—turning points of green space supply in European cities. Front. Environ. Sci. 2019, 7, 61. [Google Scholar] [CrossRef]
- Wolff, M.; Scheuer, S.; Haase, D. Looking beyond boundaries: Revisiting the rural-urban interface of Green Space Accessibility in Europe. Ecol. Indic. 2020, 113, 106245. [Google Scholar] [CrossRef]
- Jacobs, C.; Zipf, A. Completeness of citizen science biodiversity data from a volunteered geographic information perspective. Geo-Spat. Inf. Sci. 2017, 20, 3–13. [Google Scholar] [CrossRef]
- Kelling, S.; Fink, D.; La Sorte, F.A.; Johnston, A.; Bruns, N.E.; Hochachka, W.M. Taking a ‘Big Data’ approach to data quality in a citizen science project. AMBIO 2015, 44, 601–611. [Google Scholar] [CrossRef]
- Callaghan, C.T.; Major, R.E.; Lyons, M.B.; Martin, J.M.; Wilshire, J.H.; Kingsford, R.T.; Cornwell, W.K. Using citizen science data to define and track restoration targets in urban areas. J. Appl. Ecol. 2019, 56, 1998–2006. [Google Scholar] [CrossRef]
- Callaghan, C.T.; Gawlik, D.E. Efficacy of eBird data as an aid in conservation planning and monitoring. J. Field Ornithol. 2015, 86, 298–304. [Google Scholar] [CrossRef]
- Schielzeth, H.; Dingemanse, N.J.; Nakagawa, S.; Westneat, D.F.; Allegue, H.; Teplitsky, C.; Réale, D.; Dochtermann, N.A.; Garamszegi, L.Z.; Araya-Ajoy, Y.G. Robustness of linear mixed-effects models to violations of distributional assumptions. Methods Ecol. Evol. 2020, 11, 1141–1152. [Google Scholar] [CrossRef]
- Vahidi, H.; Klinkenberg, B.; Yan, W. Trust as a proxy indicator for intrinsic quality of Volunteered Geographic Information in biodiversity monitoring programs. GISci. Remote Sens. 2018, 55, 502–538. [Google Scholar] [CrossRef]
- Fraisl, D.; Campbell, J.; See, L.; Wehn, U.; Wardlaw, J.; Gold, M.; Moorthy, I.; Arias, R.; Piera, J.; Oliver, J.L.; et al. Mapping citizen science contributions to the UN sustainable development goals. Sustain. Sci. 2020, 15, 1735–1751. [Google Scholar] [CrossRef]
- Fritz, S.; See, L.; Carlson, T.; Haklay, M.M.; Oliver, J.L.; Fraisl, D.; Mondardini, R.; Shanley, L.A.; Schade, S.; Wehn, U.; et al. Citizen science and the United Nations sustainable development goals. Nat. Sustain. 2019, 2, 922–930. [Google Scholar] [CrossRef]



| Model | Predictor Name | Domain | Unit | Equation |
|---|---|---|---|---|
| 1, 2 | city area | LAND | m2 | |
| city population | SOCIO-ECO | n° | ||
| city gross domestic | € | |||
| 1 | forest area | LAND | m2 | |
| n° of forest patches | n° | |||
| forest availability | m2/ihn. | forest area [m2]/no. of residents | ||
| forest accessibility | % | urban fabric area/total area | ||
| 2 | green areas | m2 | ||
| n° of green patches | n° | |||
| green availability | m2/ihn. | green area [m2]/no. of residents | ||
| green accessibility | % | urban fabric area/total area |
| Area (ha) | % | No. of Total Observations | % | |
|---|---|---|---|---|
| City | 18,173,044 | 100 | 1,083,229 | 100 |
| Green area | 385,818 | 2.12 | 242,683 | 22.40 |
| Forest | 3,791,827 | 20.87 | 108,717 | 10.04 |
| Green Areas (R2m = 0.63; R2c = 0.75) | Forests (R2m = 0.62; R2c = 0.73) | ||||
|---|---|---|---|---|---|
| Groups | Name | Variance | Groups | Name | Variance |
| City | Intercept | 1.7038 | City | Intercept | 2.4857 |
| Country | 0.8508 | Country | 0.9453 | ||
| Predictor | Estimate | p | Predictor | Estimate | p |
| Intercept | 3.12172 | <0.001 *** | Intercept | 2.85740 | <0.001 *** |
| city population | 1.52032 | <0.001 *** | city area | 0.23688 | 0.00617 ** |
| city area | −0.29752 | <0.001 *** | city gross domestic product | 0.99358 | <0.001 *** |
| city gross domestic product | 0.69524 | <0.001 *** | accessibility | 1.78528 | <0.001 *** |
| availability | 0.94257 | <0.001 *** | availability | 0.01248 | 0.89215 |
Publisher’s Note: MDPI stays neutral with regard to jurisdictional claims in published maps and institutional affiliations. |
© 2021 by the authors. Licensee MDPI, Basel, Switzerland. This article is an open access article distributed under the terms and conditions of the Creative Commons Attribution (CC BY) license (https://creativecommons.org/licenses/by/4.0/).
Share and Cite
Cambria, V.E.; Campagnaro, T.; Trentanovi, G.; Testolin, R.; Attorre, F.; Sitzia, T. Citizen Science Data to Measure Human Use of Green Areas and Forests in European Cities. Forests 2021, 12, 779. https://doi.org/10.3390/f12060779
Cambria VE, Campagnaro T, Trentanovi G, Testolin R, Attorre F, Sitzia T. Citizen Science Data to Measure Human Use of Green Areas and Forests in European Cities. Forests. 2021; 12(6):779. https://doi.org/10.3390/f12060779
Chicago/Turabian StyleCambria, Vito Emanuele, Thomas Campagnaro, Giovanni Trentanovi, Riccardo Testolin, Fabio Attorre, and Tommaso Sitzia. 2021. "Citizen Science Data to Measure Human Use of Green Areas and Forests in European Cities" Forests 12, no. 6: 779. https://doi.org/10.3390/f12060779
APA StyleCambria, V. E., Campagnaro, T., Trentanovi, G., Testolin, R., Attorre, F., & Sitzia, T. (2021). Citizen Science Data to Measure Human Use of Green Areas and Forests in European Cities. Forests, 12(6), 779. https://doi.org/10.3390/f12060779

