Endogenous Transmission Mechanism and Spatial Effect of Forest Ecological Security in China
Abstract
1. Introduction
2. Materials and Methods
2.1. The Forest Ecological Security Evaluation Index System
2.2. Methods
2.2.1. Comprehensive Evaluation Model
2.2.2. Mediating Effect Model
2.2.3. Moran Index
2.2.4. Spatial Econometric Model
- When , , , it is a Spatial Lagged Model (SLM);
- When , , , it is a Spatial Error Model (SEM);
- When , , , it is a Spatial Durbin Model (SDM);
- When , , , the spatial econometric model will be simplified to a common panel regression model.
3. Results and Discussion
3.1. Evaluation of Forest Ecological Security
3.2. The Mediating Effect of Pressure–State–Response
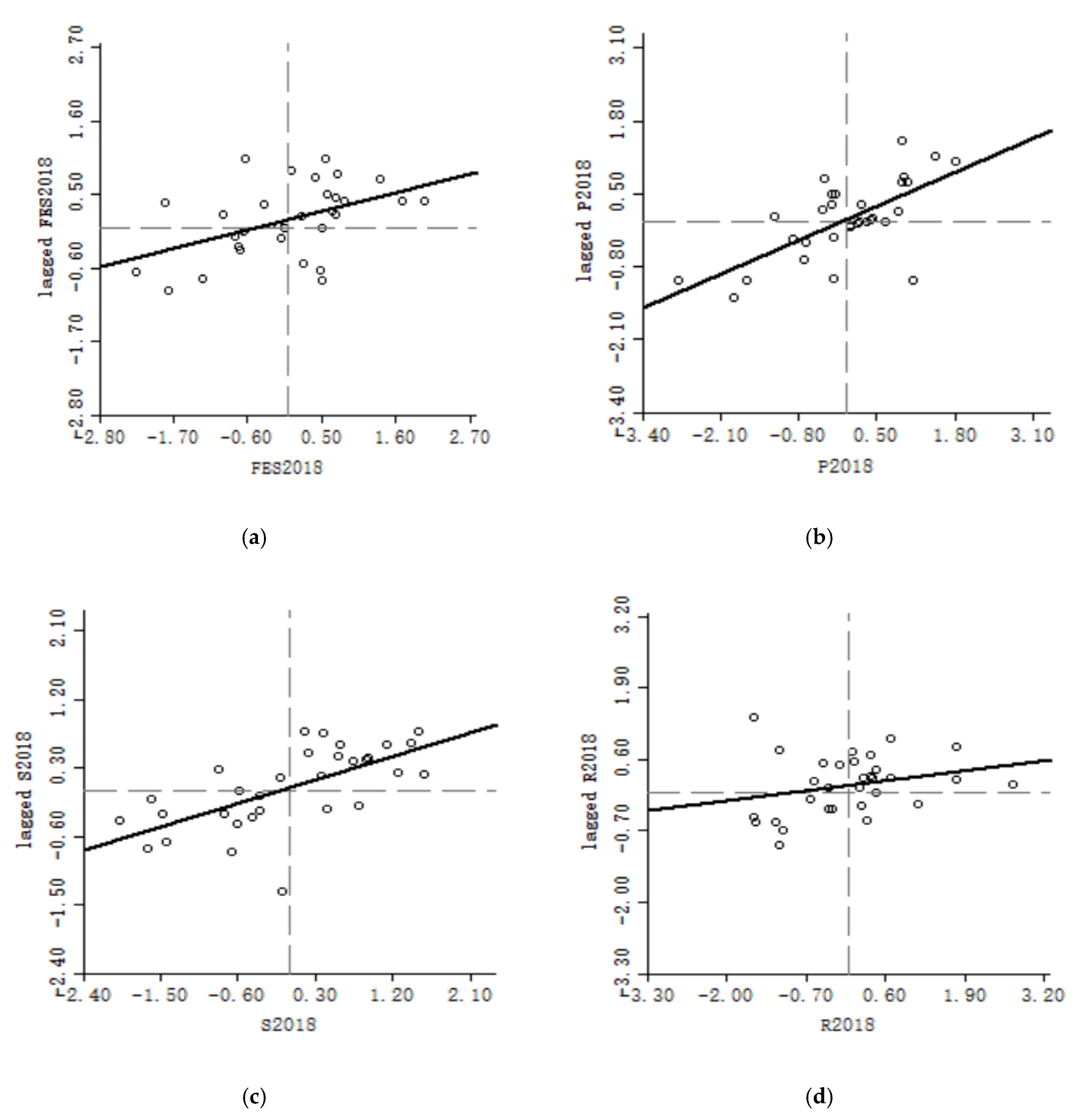
3.3. The Spatial Correlation Effect of Pressure–State–Response
3.4. The Spatial Spillover Effect of Pressure–State–Response
4. Conclusions and Implications
Author Contributions
Funding
Data Availability Statement
Conflicts of Interest
References
- Chen, X.W. Study of the ecological safety of the forest in northeast China under climate change. Int. J. Sustain. Dev. World Ecol. 2002, 9, 49–58. [Google Scholar]
- Kanel, K.R.; Niraula, D.R. Can rural livelihood be improved in nepal through community forestry? Banko Janakari 2017, 14, 19–26. [Google Scholar] [CrossRef]
- Magalhães, J.L.L.; Lopes, M.A.; Queiroz, H.L.D. Development of a Flooded Forest Anthropization Index (FFAI) applied to Amazonian areas under pressure from different human activities. Ecol. Indic. 2015, 48, 440–447. [Google Scholar] [CrossRef]
- Tidwell, T.L. Nexus between food, energy, water, and forest ecosystems in the USA. J. Environ. Stud. Sci. 2016, 6, 214–224. [Google Scholar] [CrossRef]
- Zhu, L.K.; Wang, A.M. On forestry Economics; China Forestry Publishing House: Beijing, China, 2011. [Google Scholar]
- Solomon, D.; Lehmann, J.; Zech, W. Land use effects on soil organic matter properties of chromic luvisols in semi-arid northern tanzania: Carbon, nitrogen, lignin and carbohydrates. Agric. Ecosyst. Environ. 2000, 78, 203–213. [Google Scholar] [CrossRef]
- Trimble, S.W.; Crosson, P.U.S. soil erosion rates—Myth and reality. Science 2000, 289, 248–250. [Google Scholar] [CrossRef] [PubMed]
- Myers, N. Environment and security. Foreign Policy 1989, 74, 23–41. [Google Scholar] [CrossRef]
- Pirages, D. Ecological security: Micro-threats to human well-being. In People and their Planet; Palgrave Macmillan: London, UK, 1999; pp. 284–298. [Google Scholar]
- Wilson, J.R. Ecological security—An evolutionary perspective on globalization. Future Surv. 2007, 14, 712–713. [Google Scholar]
- Jogo, W.; Hassan, R. Balancing the use of wetlands for economic well-being and ecological security: The case of the limpopo wetland in southern africa. Ecol. Econ. 2010, 69, 1569–1579. [Google Scholar] [CrossRef]
- Xiao, D.N.; Chen, W.B.; Guo, F.L. On the basic concepts and contents of ecological security. Chin. J. Appl. Ecol. 2002, 13, 354–358. (In Chinese) [Google Scholar]
- Guo, M.; Li, X.; Xiao, D.N. Ecological security pattern analysis of Jiuquan oasis using remote sensing and GIS. In Proceedings of the 2005 IEEE International Geoscience and Remote Sensing Symposium, Seoul, Korea, 29–29 July 2005; pp. 1867–1870. [Google Scholar]
- Zhong, K.W.; Sun, C.G.; Ding, K.H. Study of ecological security changes in Dongjiang watershed based on remote sensing. Commun. Comput. Inf. Sci. 2013, 399, 116–124. [Google Scholar]
- Wang, Z.; Zhou, J.Q.; Loáiciga, H.; Guo, H.C.; Hong, S. A DPSIR model for ecological security assessment through indicator screening: A case study at Dianchi Lake in China. PLoS ONE 2015, 10, e0131732. [Google Scholar] [CrossRef] [PubMed]
- Wang, C.X.; Yu, C.Y.; Chen, T.Q.; Feng, Z.; Hu, Y.C.; Wu, K.N. Can the establishment of ecological security patterns improve ecological protection? An example of Nanchang, China. Sci. Total Environ. 2020, 740, 140051. [Google Scholar] [CrossRef] [PubMed]
- Zhang, Q.; Wang, G.Y.; Mi, F.; Zhang, X.C.; Xu, L.Z.; Zhang, Y.F.; Jiang, X.L. Evaluation and scenario simulation for forest ecological security in China. J. For. Res. 2019, 30, 1651–1666. [Google Scholar] [CrossRef]
- Tang, X. Research and review of forest ecological security in the Yangtze River economic belt. Open Access J. Environ. Soil Sci. 2020, 4, 522–524. [Google Scholar]
- Ying, Z.; Yan, C. Assessment of Qinling Forest park’s ecological security based on PSR model—A case study of forest parks in Baoji section of the Qinling Mountains. E3s Web Conf. 2020, 185, 02013. [Google Scholar] [CrossRef]
- Xu, L.Y.; Yin, H.; Li, Z.X.; Li, S. Land ecological security evaluation of Guangzhou, China. Int. J. Environ. Res. Public Health 2014, 11, 10537–10558. [Google Scholar] [CrossRef]
- Feng, Y.J.; Yang, Q.Q.; Tong, X.H.; Chen, L.J. Evaluating land ecological security and examining its relationships with driving factors using GIS and generalized additive model. Sci. Total Environ. 2018, 633, 1469–1479. [Google Scholar] [CrossRef]
- Liu, C.X.; Wu, X.L.; Wang, L. Analysis on land ecological security change and affect factors using RS and GWR in the Danjiangkou Reservoir area, China. Appl. Geogr. 2019, 105, 1–14. [Google Scholar] [CrossRef]
- Li, Y.F.; Sun, X.; Zhu, X.D.; Cao, H.H. An early warning method of landscape ecological security in rapid urbanizing coastal areas and its application in Xiamen, China. Ecol. Model. 2010, 221, 2251–2260. [Google Scholar] [CrossRef]
- Gao, Y.; Wu, Z.F.; Lou, Q.S.; Huang, H.M.; Cheng, J.; Chen, Z.L. Landscape ecological security assessment based on projection pursuit in Pearl River Delta. Environ. Monit. Assess. 2012, 184, 2307–2319. [Google Scholar] [CrossRef] [PubMed]
- Wang, S.D.; Zhang, X.Y.; Wu, T.X.; Yang, Y.Y. The evolution of landscape ecological security in Beijing under the influence of different policies in recent decades. Sci. Total Environ. 2019, 646, 49–57. [Google Scholar] [CrossRef] [PubMed]
- Song, G.F. Evaluation on water resources and water ecological security with 2-tuple linguistic information. Int. J. Knowl. Based Intell. Eng. Syst. 2019, 23, 1–8. [Google Scholar] [CrossRef]
- Nixdorf, E.; Chen, M.; Lin, H.; Lei, X.H.; Kolditz, O. Monitoring and modeling of water ecologic security in large river-lake systems. J. Hydrol. 2020, 591, 125576. [Google Scholar] [CrossRef]
- Acuña-Alonso, C.; Fernandes, A.C.P.; Álvarez, X.; Valero, E.; Pacheco, F.A.L.; Varandas, S.D.G.P.; Terêncio, D.P.S.; Fernandes, L.F.S. Water security and watershed management assessed through the modelling of hydrology and ecological integrity: A study in the Galicia-Costa (NW Spain). Sci. Total Environ. 2021, 759, 143905. [Google Scholar] [CrossRef]
- Chen, N.; Qin, F.; Zhai, Y.X.; Cao, H.P.; Zhang, R.; Cao, F.P. Evaluation of coordinated development of forestry management efficiency and forest ecological security: A spatiotemporal empirical study based on China’s provinces. J. Clean. Prod. 2020, 260, 121042. [Google Scholar] [CrossRef]
- Trumbore, S.; Brando, P.; Hartmann, H. Forest health and global change. Science 2015, 349, 814–818. [Google Scholar] [CrossRef]
- Jain, P.; Ahmed, R.; Sajjad, H. Assessing and monitoring forest health using a forest fragmentation approach in Sariska Tiger Reserve, India. Nor. Geogr. Tidsskr. Nor. J. Geogr. 2016, 70, 306–315. [Google Scholar] [CrossRef]
- Kayet, N.; Pathak, K.; Chakrabarty, A.; Singh, C.P.; Chowdary, V.M.; Kumar, S.; Sahoo, S. Forest health assessment for geo-environmental planning and management in hilltop mining areas using Hyperion and Landsat data. Ecol. Indic. 2019, 106, 105471. [Google Scholar] [CrossRef]
- Wang, Y.R.; Zhang, D.H.; Wu, Y.L. The spatio-temporal changes of forest ecological security based on DPSIR model: Cases study in Zhejiang Province. Acta Ecol. Sin. 2020, 40, 2793–2801. (In Chinese) [Google Scholar]
- Wang, Y.F.; Chen, Q. Heilongjiang forestry ecological system construction and security measures. Adv. Mater. Res. 2011, 282–283, 744–747. [Google Scholar] [CrossRef]
- Chen, N.; Lu, S.S.; Guan, X.L. Spatio-temporal differences and the driving mechanism of early warnings of forest ecological security in Beijing. Acta Ecol. Sin. 2018, 38, 7326–7335. (In Chinese) [Google Scholar]
- Jiang, Y.; Cai, X.T. Dynamic measurement and spatial convergence analysis of forest ecological security in China. Stat. Decis. 2019, 35, 91–95. (In Chinese) [Google Scholar]
- Tang, X.; Zheng, J.; Feng, Y.; Li, Y.K.; Wang, S.J.; Zhang, D.H. County-level forest ecological security evaluation and spatial analysis in Yunnan Province. J. Zhejiang AF Univ. 2018, 35, 684–694. (In Chinese) [Google Scholar]
- Lu, S.S.; Qin, F.; Chen, N.; Yu, Z.Y.; Xiao, Y.M.; Cheng, X.Q.; Guan, X.L. Spatiotemporal differences in forest ecological security warning values in Beijing: Using an integrated evaluation index system and system dynamics model. Ecol. Indic. 2019, 104, 549–558. [Google Scholar] [CrossRef]
- Huang, Y.L.; Ning, Z. The design and verification on indicator system of forest ecosystem and forestry industry coupling. In Proceedings of the Fourth International Conference on Bioinformatics and Biomedical Engineering, Chengdu, China, 18–20 June 2010; pp. 1–4. [Google Scholar]
- Zhang, Z.G. Measuring model and criterion of forestry ecological security by symbiotic coupling method. China Popul. Resour. Environ. 2014, 24, 90–99. (In Chinese) [Google Scholar]
- Chu, J.J.; Zhang, Z.G. Evolution of relationship between ecological security and food safety in forest system from the perspective of civilization progress. World For. Res. 2014, 29, 1–7. (In Chinese) [Google Scholar]
- Delgado, A.; Romero, I. Environmental conflict analysis using an integrated grey clustering and entropy-weight method: A case study of a mining project in Peru. Environ. Model. Softw. 2016, 77, 108–121. [Google Scholar] [CrossRef]
- Preacher, K.J.; Kelley, K. Effect size measures for mediation models: Quantitative strategies for communicating indirect effects. Psychol. Methods 2011, 16, 93–115. [Google Scholar] [CrossRef]
- Moran, P.A.P. Notes on continuous stochastic phenomena. Biometrika 1950, 37, 17–23. [Google Scholar] [CrossRef]
- Dubé, J.; Legros, D. Spatial Econometric Models; John Wiley & Sons, Inc.: Hoboken, NJ, USA, 2014. [Google Scholar]
- Lesage, J.P.; Pace, R.K. Interpreting Spatial Econometric Models; Springer: Berlin/Heidelberg, Germany, 2014. [Google Scholar]
- Lesage, J.P.; Pace, R.K. Introduction to Spatial Econometrics; CRC Press: Boca Raton, FL, USA, 2009. [Google Scholar]








| Level Indicators | Specific Indicators (Unit) | Formula | Direction | Weight |
|---|---|---|---|---|
| Pressure (P) | Population per unit forest area (person/ha) | Population/Forest area | - | 0.0117–0.0136 |
| Human interference index (%) | (Area of construction land + Area of cultivated land)/Land survey area × 100% | - | 0.0318–0.0509 | |
| Forestry industrial structure index (%) | Output value of forestry secondary industry/Total output value of forestry × 100% | - | 0.0383–0.0519 | |
| Land desertification intensity (%) | Land desertification area/Land survey area × 100% | - | 0.0204–0.0226 | |
| Sulfur dioxide emission intensity (t/ha) | Sulfur dioxide emissions/Land survey area | - | 0.0115–0.0477 | |
| Discharge intensity of industrial wastewater (t/ha) | Industrial wastewater discharge/Land survey area | - | 0.0119–0.0135 | |
| State (S) | Forest coverage rate (%) | Forest area/Land survey area × 100% | + | 0.0765–0.0894 |
| Forest stock volume per unit forest area (m3/ha) | Forest stock volume/Forest area | + | 0.0694–0.1042 | |
| Natural forest proportion (%) | Natural forest area/Forest area × 100% | + | 0.0544–0.0670 | |
| Forest fire rate (‰) | Area of forest fire/Forest area × 1000‰ | - | 0.0115–0.0387 | |
| Forest pest and disease rate (%) | Area of forest diseases and pests/Forest area × 100% | - | 0.0150–0.0295 | |
| Response (R) | New afforestation area per unit land area (%) | New afforestation area/Land survey area × 100% | + | 0.0875–0.1272 |
| Closed mountain area for forestry per unit land area (%) | Closed mountain area for forestry/Land survey area × 100% | + | 0.0793–0.1392 | |
| Number of forestry employees (person) | Number of employed persons in forestry institutions at year-end | + | 0.1779–0.2382 | |
| Forestry investment (ten thousand yuan) | Total forestry investment since the beginning of the year | + | 0.1025–0.2200 |
| Variables | Pressure (P) | State (S) | Response (R) | ||||||
|---|---|---|---|---|---|---|---|---|---|
| SLM | SEM | SDM | SLM | SEM | SDM | SLM | SEM | SDM | |
| Constant | 0.0383 (1.5248) | 0.5852 *** (18.4560) | 0.1677 *** (5.2530) | −0.0057 (−0.1263) | 0.1322 *** (3.2732) | 0.0128 (0.2727) | 0.0657 ** (2.1011) | 0.0909 *** (3.3618) | 0.1081 *** (2.8331) |
| P | 0.2730 *** (5.4642) | 0.3281 *** (5.9868) | 0.3871 *** (6.1458) | 0.0071 (0.1975) | 0.0058 (0.1522) | 0.1212 ** (2.2507) | |||
| S | 0.1872 *** (6.0054) | 0.1911 *** (5.9557) | 0.2339 *** (6.5906) | 0.2419 *** (7.9655) | 0.2476 *** (8.0804) | 0.2099 *** (5.3087) | |||
| R | 0.0055 (0.1188) | −0.0155 (−0.3383) | 0.0679 (1.585) | 0.5006 *** (8.2634) | 0.4910 *** (8.0443) | 0.3525 *** (6.3534) | |||
| W*P | −0.3010 *** (−3.3201) | −0.2008 *** (−2.5762) | |||||||
| W*S | −0.2321 *** (−3.3957) | 0.0075 (0.0957) | |||||||
| W*R | −0.0093 (−0.1199) | 0.1232 (1.2105) | |||||||
| ρ | 0.8130 *** (26.2298) | 0.7410 *** (23.7573) | 0.3690 *** (4.7402) | 0.6080 *** (14.8753) | 0.1320 (1.3826) | 0.2690 *** (4.6124) | |||
| λ | 0.8200 *** (26.9238) | 0.3500 *** (4.1937) | 0.1750 * (1.8100) | ||||||
| R2 | 0.4461 | 0.0431 | 0.5611 | 0.2380 | 0.1953 | 0.4466 | 0.1397 | 0.1342 | 0.2001 |
| Log likelihood | 340.3295 | 339.1361 | 373.7774 | 206.5023 | 206.0221 | 256.5186 | 365.2648 | 366.0043 | 377.9929 |
| LM−SLM | 121.4472 *** | 4020.86 *** | 4.8249 ** | 0.3749 | 0.5396 | 13.0346 *** | |||
| R−LM−SLM | 1546.86 *** | 66115.27 *** | 34.8746 *** | 146.1625 *** | 0.1746 | 29.3138 *** | |||
| LM−SEM | 5.6262 ** | 355.7022 *** | 0.0966 | 24.6954 *** | 0.7902 | 4.5951 ** | |||
| R−LM−SEM | 1431.04 *** | 62,450.11 *** | 30.1463 *** | 170.4829 *** | 0.4253 | 20.8742 *** | |||
| LR−SLM | 9.5611 *** | 10.5411 *** | 7.9157 ** | ||||||
| LR−SEM | −0.2059 | 12.6892 *** | 6.3919 ** | ||||||
| Wald−SLM | 14.9821 *** | 59.2719 *** | 47.8731 *** | ||||||
| Wald−SEM | 15.2756 *** | 47.1624 *** | 53.1985 *** | ||||||
| Dependent Variable | Independent Variable | Local Effect | Spillover Effect | Total Effect |
|---|---|---|---|---|
| Pressure (P) | State (S) | 0.2154 *** (6.3124) | −0.2016 (−1.0022) | 0.0138 (0.0660) |
| Response (R) | 0.0781 (1.5420) | 0.1432 (0.5247) | 0.2213 (0.7250) | |
| State (S) | Pressure (P) | 0.3723 *** (6.3746) | −0.1502 (−0.8952) | 0.2221 (1.3493) |
| Response (R) | 0.4234 *** (7.1290) | 0.7954 *** (3.5599) | 1.2187 *** (4.8564) | |
| Response (R) | Pressure (P) | 0.1100 ** (2.1744) | −0.2236 ** (−2.4976) | −0.1136 (−1.5499) |
| State (S) | 0.2147 *** (5.7602) | 0.0838 (0.8925) | 0.2985 *** (3.6303) |
Publisher’s Note: MDPI stays neutral with regard to jurisdictional claims in published maps and institutional affiliations. |
© 2021 by the authors. Licensee MDPI, Basel, Switzerland. This article is an open access article distributed under the terms and conditions of the Creative Commons Attribution (CC BY) license (https://creativecommons.org/licenses/by/4.0/).
Share and Cite
Cai, X.; Zhang, B.; Lyu, J. Endogenous Transmission Mechanism and Spatial Effect of Forest Ecological Security in China. Forests 2021, 12, 508. https://doi.org/10.3390/f12040508
Cai X, Zhang B, Lyu J. Endogenous Transmission Mechanism and Spatial Effect of Forest Ecological Security in China. Forests. 2021; 12(4):508. https://doi.org/10.3390/f12040508
Chicago/Turabian StyleCai, Xiuting, Bin Zhang, and Jiehua Lyu. 2021. "Endogenous Transmission Mechanism and Spatial Effect of Forest Ecological Security in China" Forests 12, no. 4: 508. https://doi.org/10.3390/f12040508
APA StyleCai, X., Zhang, B., & Lyu, J. (2021). Endogenous Transmission Mechanism and Spatial Effect of Forest Ecological Security in China. Forests, 12(4), 508. https://doi.org/10.3390/f12040508
