Are Climate Factors Driving the Contemporary Wildfire Occurrence in China?
Abstract
1. Introduction
2. Materials and Methods
2.1. Study Area
2.2. Fire Data (Dependent Variable)
2.3. Influencing Factors (Independent Variables)
2.3.1. Climate Factors
2.3.2. Landscape Factors
2.3.3. Human Factors
2.4. Data Analysis
3. Results
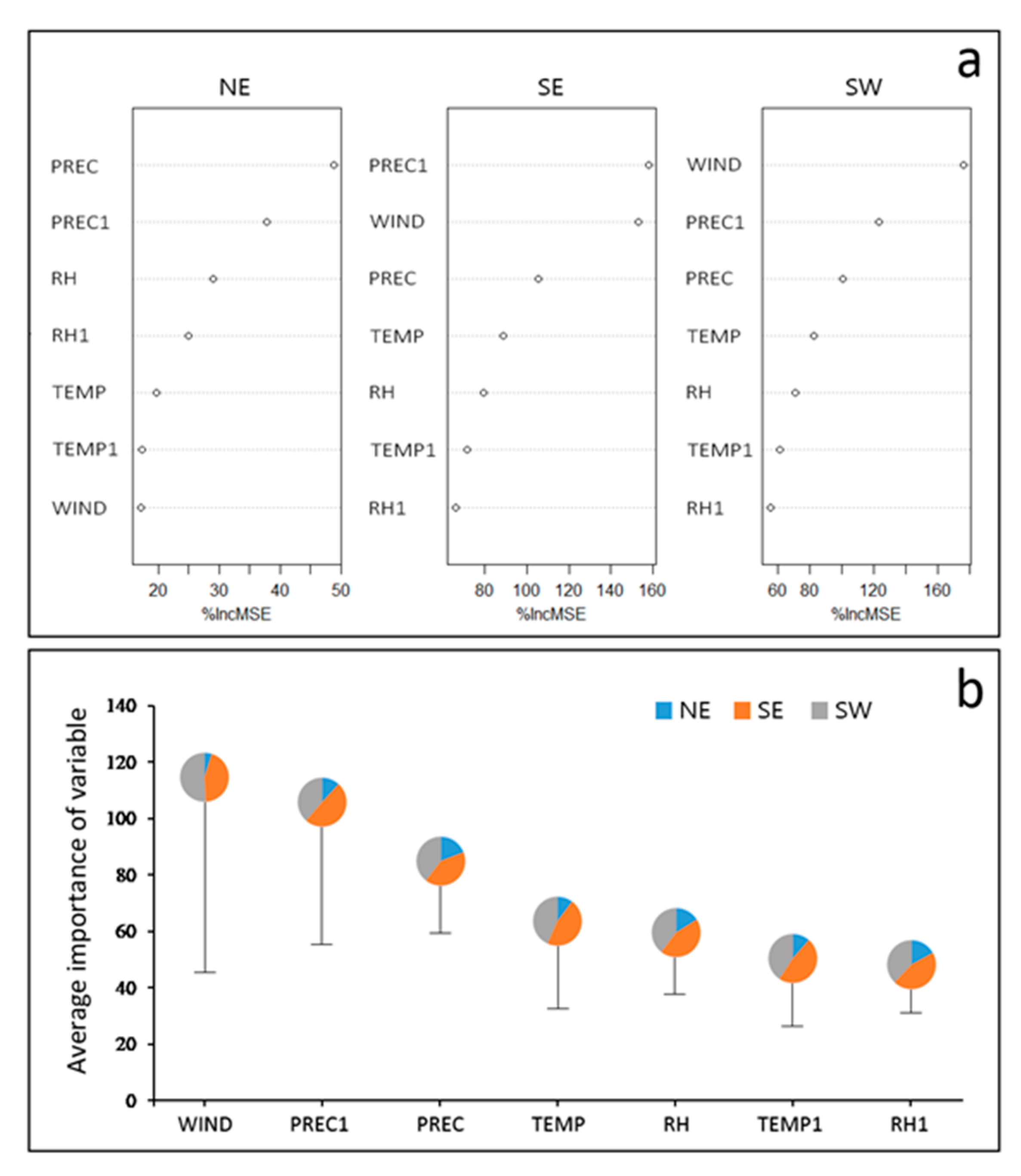
3.1. Relation of Climate Factors to Fire Occurrence
3.2. Relation of Landscape Factors to Fire Occurrence
3.3. Relation of Human Factors to Fire Occurrence
3.4. The Combined Impact of All Factors on Fire Occurrence
3.5. Explanation Power of Each Variable Category on Fire Occurrence
4. Discussion
5. Conclusions
Author Contributions
Funding
Acknowledgments
Conflicts of Interest
References
- Jolly, W.M.; Cochrane, M.A.; Freeborn, P.H.; Holden, Z.A.; Brown, T.J.; Williamson, G.J.; Bowman, D.M. Climate-Induced Variations In Global Wildfire Danger From 1979 to 2013. Nat. Commun. 2015, 6, 7537. [Google Scholar] [CrossRef] [PubMed]
- Westerling, A.L.; Hidalgo, H.G.; Cayan, D.R.; Swetnam, T.W. Warming and Earlier Spring Increase Western U.S. Forest Wildfire Activity. Science 2006, 313, 940–943. [Google Scholar] [CrossRef] [PubMed]
- Dennison, P.E.; Brewer, S.C.; Arnold, J.D.; Moritz, M.A. Large Wildfire Trends in the Western United States, 1984–2011. Geophys. Res. Lett. 2014, 41, 2928–2933. [Google Scholar] [CrossRef]
- Rasker, R. Resolving the Increasing Risk from Wildfires in the American West. Solutions 2015, 6, 55–62. [Google Scholar]
- Landis, M.S.; Edgerton, E.S.; White, E.M.; Wentworth, G.R.; Sullivan, A.P.; Dillner, A.M. The impact of the 2016 Fort McMurray Horse River Wildfire on ambient air pollution levels in the Athabasca Oil Sands Region, Alberta, Canada. Sci. Total Environ. 2018, 618, 1665–1676. [Google Scholar] [CrossRef]
- Ciara, N. Time. Retrieved Camp Fire Death Toll Lowered After Human Remains Were Mistakenly Sorted into Separate Bags. Available online: https://time.com/5470154/camp-fire-human-remains/ (accessed on 4 December 2018.).
- Ruffault, J.; Mouillot, F. Contribution of Human and Biophysical Factors to the Spatial Distribution of Forest Fire Ignitions and Large Wildfires in a French Mediterranean Region. Int. J. Wildland Fire 2017, 26, 498–508. [Google Scholar] [CrossRef]
- Schoennagel, T.; Balch, J.K.; Brenkert-Smith, H.; Dennison, P.E.; Harvey, B.J.; Krawchuk, M.A.; Mietkiewicz, N.; Morgan, P.; Moritz, M.A.; Rasker, R.; et al. Adapt to More Wildfire in Western North American Forests as Climate Changes. Proc. Natl. Acad. Sci. USA 2017, 114, 4582–4590. [Google Scholar] [CrossRef]
- Grala, K.; Grala, R.K.; Hussain, A.; Cooke, W.H.; Varner, J.M. Impact of Human Factors on Wildfire Occurrence in Mississippi, United States. For. Policy Econ. 2017, 81, 38–47. [Google Scholar] [CrossRef]
- Miranda, B.R.; Sturtevant, B.R.; Stewart, S.I.; Hammer, R.B. Spatial and Temporal Drivers of Wildfire Occurrence in the Context of Rural Development in Northern Wisconsin, USA. Int. J. Wildland Fire 2012, 21, 141–154. [Google Scholar] [CrossRef]
- Nunes, A.; Lourenco, L.; Meira, A.C. Exploring Spatial Patterns and Drivers of Forest Fires in Portugal (1980–2014). Sci. Total Environ. 2016, 573, 1190–1202. [Google Scholar] [CrossRef]
- Garcia-Llamas, P.; Suarez-Seoane, S.; Taboada, A.; Fernandez-Manso, A.; Quintano, C.; Fernandez-Garia, V. Environmental Drivers of Fire Severity in Extreme Fire Events that Affect Mediterranean Pine Forest Ecosystems. For. Ecol. Manag. 2019, 433, 24–32. [Google Scholar] [CrossRef]
- Sturtevant, B.R.; Cleland, D.T. Human and Biophysical Factors Influencing Modern Fire Disturbance in Northern Wisconsin. Int. J. Wildland Fire 2007, 16, 398–413. [Google Scholar] [CrossRef]
- Hu, T.Y.; Zhou, G.S. Drivers of Lightning-and Human-Caused Fire Regimes in the Great Xing’an Mountains. For. Ecol. Manag. 2014, 329, 49–58. [Google Scholar] [CrossRef]
- Guo, F.T.; Innes, J.L.; Wang, G.Y.; Ma, X.Q.; Sun, L.; Hu, H.Q.; Su, Z.W. Historic Distribution and Driving Factors of Human-Caused Fires in the Chinese Boreal Forest Between 1972 and 2005. J. Plant Ecol. 2015, 8, 480–490. [Google Scholar] [CrossRef]
- Cavard, X.; Boucher, J.F.; Bergeron, Y. Vegetation and Topography Interact with Weather to Drive the Spatial Distribution of Wildfires in the Eastern Boreal Forest of Canada. Int. J. Wildland Fire 2015, 24, 391–406. [Google Scholar] [CrossRef]
- Parisien, M.A.; Parks, S.A.; Krawchuk, M.A.; Little, J.M.; Flannigan, M.D.; Gowman, L.M.; Moritz, A.M. An Analysis of Controls on Fire Activity in Boreal Canada: Comparing Models Built with Different Temporal Resolutions. Ecol. Appl. 2014, 24, 1341–1356. [Google Scholar] [CrossRef] [PubMed]
- Oliveira, S.; Oehler, F.; San-Miguel-Ayanz, J.; Camia, A.; Pereira, J.M.C. Modeling Spatial Patterns of Fire Occurrence in Mediterranean Europe Using Multiple Regression and Random Forest. For. Ecol. Manag. 2012, 275, 117–129. [Google Scholar] [CrossRef]
- Guo, F.; Wang, G.; Su, Z.; Liang, H.; Wang, W.; Lin, F.; Liu, A. What Drives Forest fire in Fujian, China? Evidence from Logistic Regression and Random Forests. Int. J. Wildland Fire 2016, 25, 505–519. [Google Scholar] [CrossRef]
- China National Statistical Bureau, China Statistical Yearbook 2017; China’s Statistics Press: Beijing, China, 2017.
- Zhang, Y.P.; Hu, H.Q. Climatic Change and its Impact on Forest Fifire in Daxing’an Mountains. J. Northeast. For. Univ. 2008, 36, 29–31. [Google Scholar]
- Zheng, H.; Chen, J.; Zhang, X.; Zhang, C.; Zhang, C.; Chen, H. Study on the Forecast System of Forest Fire Weather Ranks in Fujian. Meteorol. Mon. 2001, 3, 38–44, (In Chinese with English Abstract). [Google Scholar]
- Amraoui, M.; Pereira, M.G.; DaCamara, C.C.; Calado, T.J. Atmospheric Conditions Associated with Extreme Fire Activity in the Western Mediterranean Region. Sci. Total Environ. 2015, 524–525, 32–39. [Google Scholar] [CrossRef]
- Justice, C.O.; Giglio, L.; Korontzi, S.; Owens, J.; Morisette, J.T.; Roy, D.; Descloitres, J.; Alleaume, S.; Petitcolin, F.; Kaufman, Y. The MODIS Fire Products. Remote Sens. Environ. 2002, 83, 244–262. [Google Scholar] [CrossRef]
- Liu, Z.; Yang, J.; Chang, Y.; Weisberg, P.J.; He, H.S. Spatial Patterns and Drivers of Fire Occurrence and its Future Trend Under Climate Change in a Boreal Forest of Northeast China. Glob. Chang. Biol. 2012, 18, 2041–2056. [Google Scholar] [CrossRef]
- Kalabokidis, K.D.; Koutsias, N.; Konstantinidis, P.; Vasilakos, C. Multivariate Analysis of Landscape Wildfire Dynamics in a Mediterranean Ecosystem of Greece. Area 2007, 39, 392–402. [Google Scholar] [CrossRef]
- Pereira, M.G.; Trigo, R.M.; da Camara, C.C.; Pereira, J.M.; Leite, S.M. Synoptic Patterns Associated with Large Summer Forest Fires in Portugal. Agric. For. Meteorol. 2005, 129, 11–25. [Google Scholar] [CrossRef]
- Syphard, A.D.; Radeloff, V.C.; Keuler, N.S.; Taylor, R.S.; Hawbaker, T.J.; Stewart, S.I.; Clayton, M.K. Predicting Spatial Patterns of Fire on a Southern California Landscape. Int. J. Wildland Fire 2008, 17, 602–613. [Google Scholar] [CrossRef]
- Littell, J.S.; Mckenzie, D.; Peterson, D.L.; Westerling, A.L. Climate and Wildfire Area Burned in Western U.S. Ecoprovinces, 1916–2003. Ecol. Appl. 2009, 19, 1003–1021. [Google Scholar] [CrossRef]
- Jing, W.L.; Feng, M.; Yang, Y.P. A Statistical Downscaling Approach of NCEP/NCAR Reanalysis Temperature Data. J. Geo-Inf. Sci. 2013, 15, 819–828. [Google Scholar] [CrossRef]
- Gutman, G.; Ignatov, A. The Derivation of the Green Vegetation Fraction from NOAA/AVHRR Data for Use in Numerical Weather Prediction Models. Int. J. Remote Sens. 1998, 19, 1533–1543. [Google Scholar] [CrossRef]
- Liu, M.; Huang, F.; Zhang, H.; Wang, P. Vegetation Canopy Water Content Estimation Using Gvmi and EWT Model from MODIS Data. In Proceedings of the 2009 2nd International Congress on Image and Signal Processing, Tianjin, China, 17–19 October 2009. [Google Scholar]
- Breiman, L. Random Forests. Mach. Learn 2001, 45, 5–32. [Google Scholar] [CrossRef]
- Archibald, S.; Roy, D.P.; Van Wilgen, B.W.; Scholes, R.J. What Limits fire? An Examination of Drivers of Burnt Area in Southern Africa. Glob. Chang. Biol. 2009, 15, 613–630. [Google Scholar] [CrossRef]
- Cutler, D.R.; Edwards, T.C.; Beard, K.H.; Cutler, A.; Hess, K.T.; Gibson, J.; Lawler, J.J. Random Forests for Classification in Ecology. Ecology 2007, 88, 2783–2792. [Google Scholar] [CrossRef] [PubMed]
- Su, Z.W.; Hu, H.Q.; Wang, G.Y.; Ma, Y.F.; Yang, X.J.; Guo, F.T. Using GIS and Random Forests to Identify Fire Drivers in a Forest City, Yichun, China. Geomat. Nat. Hazards Risk 2018, 9, 1207–1229. [Google Scholar] [CrossRef]
- Wu, Z.W.; He, H.S.; Yang, J.; Liu, Z.H.; Liang, Y. Relative Effects of Climatic and Local Factors on Fire Occurrence in Boreal Forest Landscapes of Northeastern China. Sci. Total Environ. 2014, 493, 472–480. [Google Scholar] [CrossRef] [PubMed]
- Abdel-Rahman, E.M.; Ahmed, F.B.; Ismail, R. Random Forest Regression and Spectral Band Selection Forest Imating Sugarcane Leaf Nitrogen Concentration Using EO-1Hyperion Hyperspectral Data. Int. J. Remote Sens. 2013, 34, 712–728. [Google Scholar] [CrossRef]
- Marston, C.G.; Danson, F.M.; Armitage, R.P.; Giraudoux, P.P.; Pleydell, D.R.J.; Wang, Q.; Qui, J.M.; Craig, P.S.A. Random Forest Approach for Predicting the Presence of Echinococcus Multilocularis Intermediate Host Ochotona Spp. Presence in Relation to Landscape Characteristics in Western China. Appl. Geogr. 2014, 55, 176–183. [Google Scholar] [CrossRef]
- Syphard, A.D.; Radeloff, V.C.; Keeley, J.E.; Hawbaker, T.J.; Clayton, M.K.; Stewart, S.I.; Hammer, R.B. Influence on California Fire Regimes. Ecol. Appl. 2007, 17, 1388–1402. [Google Scholar] [CrossRef]
- Zumbrunnen, T.; Pezzatti, G.B.; Menendez, P.; Bugmann, H.; Burgi, M.; Conedera, M. Weather and Human Impacts on Forest Fires: 100 Years of Fire History in Two Climatic Regions of Switzerland. For. Ecol. Manag. 2011, 261, 2188–2199. [Google Scholar] [CrossRef]
- Chuvieco, E.; Cocero, D.; Riaño, D.; Martin, P.; Martínez-Vega, J.; de la Riva, J.; Pérez, F. Combining NDVI and Surface Temperature for the Estimation of Live Fuel Moisture Content in Forest Fire Danger Rating. Remote Sens. Environ. 2004, 92, 322–331. [Google Scholar] [CrossRef]
- Wotton, B.M.; Martell, D.L.; Logan, K.A. Climate Change and People-Caused Forest Fire Occurrence in Ontario. Clim. Chang. 2003, 60, 275–295. [Google Scholar] [CrossRef]
- Maingi, J.K.; Henry, M.C. Factors Influencing Wildfire Occurrence and Distribution in Eastern Kentucky, USA. Int. J. Wild-Land Fire 2007, 16, 23–33. [Google Scholar] [CrossRef]
- Chang, Y.; Zhu, Z.L.; Bu, R.C.; Chen, H.G.; Feng, Y.T.; Li, Y.H.; Hu, Y.M.; Wang, Z.C. Predicting Fire Occurrence Patterns with Logistic Regression in Heilongjiang Province, China. Landsc. Ecol. 2013, 28, 1989–2004. [Google Scholar] [CrossRef]
- Ganteaume, A.; Camia, A.; Jappiot, M.; San-Miguel-Ayanz, J.; Long-Fournel, M.; Lampin, C. A Review of the Main Driving Factors of Forest Fire Ignition Over Europe. Environ. Manag. 2013, 51, 651–662. [Google Scholar] [CrossRef]
- Hawbaker, T.J.; Radeloff, V.C.; Stewart, S.I.; Hammer, R.B.; Keuler, N.S.; Clayton, M.K. Human and Biophysical Influences on Fire Occurrence in the United States. Ecol. Appl. 2013, 23, 565–582. [Google Scholar] [CrossRef] [PubMed]
- Guo, F.; Su, Z.; Wang, G.; Sun, L.; Lin, F.; Liu, A. Wildfire Ignition in the Forests of Southeast China: Identifying Drivers and Spatial Distribution to Predict Wildfire Likelihood. Appl. Geogr. 2016, 66, 12–21. [Google Scholar] [CrossRef]
- Pereira, M.G.; Caramelo, L.; Orozco, C.V.; Costa, R.; Tonini, M. Space Time Clustering Analysis Performance of an Aggregated Dataset: The Case of Wildfires in Portugal. Environ. Model. Softw. 2015, 72, 239–249. [Google Scholar] [CrossRef]
- Hessburg, P.F.; Agee, J.K.; Franklin, J.F. Dry Forest and Wildland Fires of the Inland Northwest USA:Contrasting the Landscape Ecology of the Pre-Settlement and Modern Era. For. Ecol. Manag. 2005, 211, 117–139. [Google Scholar] [CrossRef]
- Merschel, A.G.; Spies, T.A.; Heyerdahl, E.K. Mixed-Conifer Forests of Central Oregon: Effects of Logging and Fire Exclusion Vary with Environment. Ecol. Appl. 2014, 24, 1670–1688. [Google Scholar] [CrossRef]
- Scholl, A.E.; Taylor, A.H. Fire Regimes, Forest Change, and Self-Organization in an Old-Growth Mixed-Conifer Forest, Yosemite National Park, USA. Ecol. Appl. 2010, 20, 362–380. [Google Scholar] [CrossRef] [PubMed]
- Stephens, S.L.; Moghaddas, J.J.; Edminster, C.; Fiedler, C.E.; Haase, S.; Harrington, M.; Keeley, J.E.; Knapp, E.E.; Mclv, E.R.J.D.; Metlen, K.; et al. Fire Treatment Effects on Vegetation Structure, Fuels, and Potential Fire Severity in Western U.S. Forests. Ecol. Appl. 2009, 19, 305–320. [Google Scholar] [CrossRef]





| Study Area | Topography and Climate Conditions | Human and Economic Conditions | Forest Resources and Vegetation Types | Fire Regime |
|---|---|---|---|---|
| Northeast (NE, Daxing’an Mountains) | Total area is 83,500 km2. Terrain is low mountains and hills and slope is between 15°–30°. It has a cool temperate zone with mean annual temperatures between −2 °C and 4 °C, a range extending from −52.3 °C to 39.0 °C, and annual precipitation of 350–500 mm [19]. | The total population is about 500,000. Per capita Gross Domestic Product (GDP) was around USD 6000 in 2016 [20]. | Natural forest is abundant in this area and it is considered an important forest base in China. Dominant tree species are Dahurian larch (Larix gmelinii Rupr.), Mongolian pine (Pinus sylvestris L. var. mongolica Litv.), and Mongolian oak (Quercus mongolica Fischer ex Ledeb.). | The current fire regime is less frequent but more severe than the historical fire regime. Anthropogenic fires account for nearly 70% of total fire ignitions [21]. According to MOD14A1 product, the average active fires number in forested areas from 2000–2016 was 646, with an annual density of 4.31 × 10−3/km2. |
| Southeast (SE, Fujian and Zhejiang Provinces) | Total area is 229,500 km2. Terrain is characterized by high mountains and hills, which accounts for nearly 80% of the total area of Fujian. It is a humid subtropical climate with annual average rainfall of 1200–2000 mm and annual average temperature of 16–20 °C. | The total population is about 95 million. Per capita Gross Domestic Product (GDP) was around USD 14,500 in 2016 [20]. | Forest coverage is about 65% of the region. Forest plantation is dominant in this area. Dominant tree species include Pinus massoniana Lamb., Curnninghamia lanceolata, Casuarina equisetifolia L., and Phyllostachys heterocycla. | Relatively high forest fire frequency as compared to Northeastern China. Nearly 95% of fires are caused by human activities [22]. The average active fires number in forested areas from 2000–2016 was 1955, and the annual density was 10.9 × 10−3/km2. |
| Southwest (SW, Yunnan and Guizhou Provinces) | Total area is 560,000 km2. Characterized by plateau terrain, which accounts for 80% of the total area. The average altitude is 2000 m.Terrain features lead to greater spatial heterogeneity of temperature and precipitation. Min and max annual temperature is between 3–25 °C. Min and max annual precipitation is between 600–2700 mm. | The total population is about 83 million. Per capita Gross Domestic Product (GDP) was around USD 4600 in 2016 [20]. | Forest coverage is about 55% of the region. Major forest types are evergreen broadleaf and coniferous forest. Vegetation types are abundant, including more than 420 families of plants. Dominant tree species include Pinus yunnanensis Franch, and Pinus kesiya var. langbianensis. | Southwest has the highest fire occurrence compared to the Northeast and Southeast of China. Similar to Southeast China, nearly 95% of fires are caused by human activities in Southwest. The average active fires number in forested areas from 2000–2016 was 5452, and the annual density was 10.9 × 10−3/km2. |
| Variable | Variable Name | Code | Resolution/Unit | Source |
|---|---|---|---|---|
| Climate factor | Average precipitation of fire season (the year of fire) | PREC | 1 km/mm | National Earth System Science Data Center (http://www.geodata.cn/index.html, accessed on 15 March 2020) |
| Average relative humidity of fire season (the year of fire) | RH | 1 km/% | ||
| Average temperature of fire season (the year of fire) | TEMP | 1 km/℃ | ||
| Average wind speed of fire season (the year of fire) | WIND | 1 km/m·s−1 | ||
| Average precipitation of fire season of one year prior the fire | PREC1 | 1 km/mm | ||
| Average relative humidity of fire season of one year prior the fire | RH1 | 1 km/% | ||
| Average temperature of fire season of one year prior the fire | TEMP1 | 1 km/℃ | ||
| Landscape factor | Elevation | ELEV | 25 m/m | National Administration of Surveying, Mapping and Geoinformation of China, 2002 (http://ngcc.cn/article/sjcg/dlg/, accessed on 8 March 2019) |
| Slope | SLOPE | 25 m/degree | ||
| Forest vegetation coverage | FVC | 500 m/% | International Scientific and Technical Data Mirror Site, Computer Network Information Center, Chinese Academy of Sciences (http://www.gscloud.cn, accessed on 15 March 2020) | |
| Global vegetation moisture index | GVMI | 1 km/ Value range 0–0.9 | It is built on a combination of near-infrared and short-wave infrared regions of the electromagnetic spectrum. Red band in Normalized Difference Vegetation Index (NDVI) was substituted for short-wave infrared(Liu et al., 2009) | |
| Forest proportion | FOREST | 1:1,000,000/% | Resource and Environment Data Cloud Plat form (http://www.resdc.cn, accessed on 29 July 2020) | |
| Shrub proportion | SHRUB | 1:1,000,000/% | ||
| Grass proportion | GRASS | 1:1,000,000/% | ||
| Crop proportion | CROP | 1:1,000,000/% | ||
| Human factor | Railway density | DRAIL | 1:100,000/km·km−2 | National Administration of Surveying, Mapping and Geoinformation of China, 2002 (http://ngcc.cn/article/sjcg/dlg/, accessed on 29 July 2020) |
| Road density | DROAD | 1:100,000/km·km−2 | ||
| Residence proportion | PRESID | 1:100,000/% | ||
| Per capita GDP | GDP | 1 km/RMB·km−2 | Resource and Environment Data Cloud Platform (http://www.resdc.cn, accessed on 29 July 2020), 2000, 2005, 2010, 2015 | |
| Density of population | POP | 1 km/Number of people·km−2 |
| Study Region | Variables | Variance Explained | Mean Squared Residuals | Correlation Obs. vs. Pred. |
|---|---|---|---|---|
| NE | Complete variable | 76.01% | 0.00006961 | 0.767 |
| Climate | 74.89% | 0.00007298 | 0.748 | |
| Human factor | 2.84% | 0.00028118 | 0.033 | |
| Landscape factor | 0.80% | 0.000291728 | 0.047 | |
| SE | Complete variable | 67.60% | 0.000161509 | 0.691 |
| Climate | 70.56% | 0.000146767 | 0.711 | |
| Human factor | 42.07% | 0.000288756 | 0.433 | |
| Landscape factor | 46.43% | 0.000267179 | 0.466 | |
| SW | Complete variable | 65.15% | 0.000147145 | 0.669 |
| Climate | 63.46% | 0.000154643 | 0.641 | |
| Human factor | 6.02% | 0.000397775 | 0.068 | |
| Landscape factor | 20.65% | 0.000335849 | 0.208 |
Publisher’s Note: MDPI stays neutral with regard to jurisdictional claims in published maps and institutional affiliations. |
© 2021 by the authors. Licensee MDPI, Basel, Switzerland. This article is an open access article distributed under the terms and conditions of the Creative Commons Attribution (CC BY) license (http://creativecommons.org/licenses/by/4.0/).
Share and Cite
Lan, Z.; Su, Z.; Guo, M.; C. Alvarado, E.; Guo, F.; Hu, H.; Wang, G. Are Climate Factors Driving the Contemporary Wildfire Occurrence in China? Forests 2021, 12, 392. https://doi.org/10.3390/f12040392
Lan Z, Su Z, Guo M, C. Alvarado E, Guo F, Hu H, Wang G. Are Climate Factors Driving the Contemporary Wildfire Occurrence in China? Forests. 2021; 12(4):392. https://doi.org/10.3390/f12040392
Chicago/Turabian StyleLan, Zige, Zhangwen Su, Meng Guo, Ernesto C. Alvarado, Futao Guo, Haiqing Hu, and Guangyu Wang. 2021. "Are Climate Factors Driving the Contemporary Wildfire Occurrence in China?" Forests 12, no. 4: 392. https://doi.org/10.3390/f12040392
APA StyleLan, Z., Su, Z., Guo, M., C. Alvarado, E., Guo, F., Hu, H., & Wang, G. (2021). Are Climate Factors Driving the Contemporary Wildfire Occurrence in China? Forests, 12(4), 392. https://doi.org/10.3390/f12040392

