Responses of Swamp Cypress (Taxodium distichum) and Chinese Willow (Salix matsudana) Roots to Periodic Submergence in Mega-Reservoir: Changes in Organic Acid Concentration
Abstract
1. Introduction
2. Materials and Methods
2.1. Study Region
2.2. Experiment Design
2.3. Sample Analysis
2.4. Statistical Analysis
3. Results
3.1. Growth of T. distichum and S. matsudana Plants
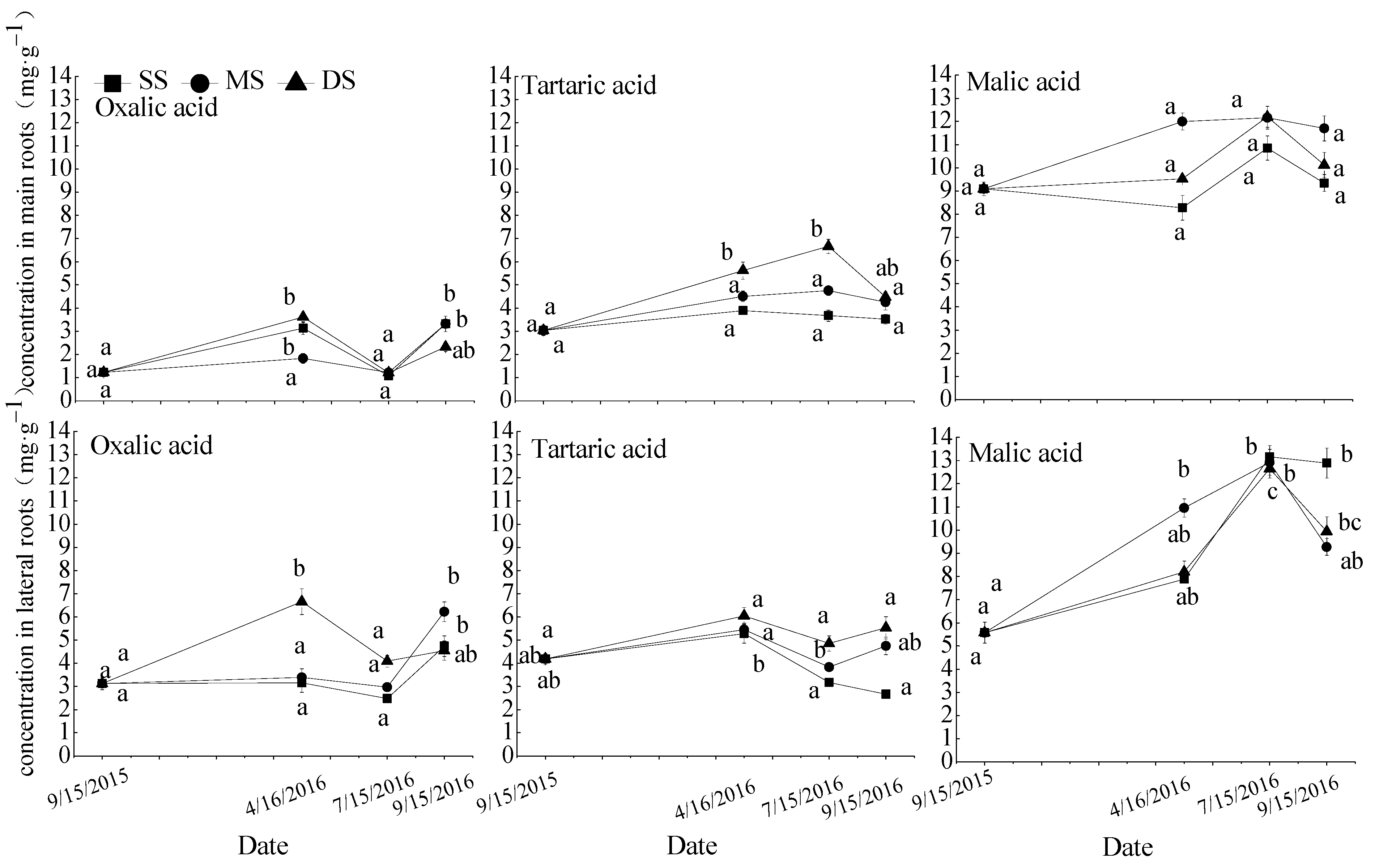
3.2. Organic Acid Concentrations in T. distichum Roots
3.3. Organic Acid Concentrations in S. matsudana Roots
3.4. Comparison between T. distichum and S. matsudana
4. Discussion
5. Conclusions
Author Contributions
Funding
Data Availability Statement
Acknowledgments
Conflicts of Interest
References
- Wu, J.G.; Huang, J.H.; Han, X.G.; Gao, X.M.; He, F.L.; Jiang, M.X.; Jiang, Z.G.; Primack, R.B.; Shen, Z.H. The Three Gorges Dam: An ecological perspective. Front. Ecol. Environ. 2004, 2, 241–248. [Google Scholar] [CrossRef]
- New, T.; Xie, Z. Impacts of large dams on riparian vegetation: Applying global experience to the case of China’s Three Gorges Dam. Biodivers Conserv. 2008, 17, 3149–3163. [Google Scholar] [CrossRef]
- Zhu, N.N.; Qin, A.L.; Guo, Q.S.; Zhu, L.; Xu, G.X.; Pei, S.X. Spatial heterogeneity of plant community in Zigui and Wushan typical hydro-fluctuation belt of Three Gorges Reservoir areas. For. Res. 2015, 28, 109–115. [Google Scholar] [CrossRef]
- Fan, D.Y.; Xiong, G.M.; Zhang, A.Y.; Li, X.; Xie, Z.G.; Li, Z.J. Effect of water-lever regulation on species selection for ecological restoration practice in the water-level fluctuation zone of Three Gorges Reservoir. Chin. J. Plant Ecol. 2015, 39, 416–432. [Google Scholar] [CrossRef]
- Ye, C.; Li, S.Y.; Zhang, Y.R.; Zhang, Q.F. Assessing soil heavy metal pollution in the water-level-fluctuation zone of the Three Gorges Reservoir, China. J. Hazard. Mater. 2011, 191, 366–372. [Google Scholar] [CrossRef]
- Wang, Q.; Yuan, X.Z.; Willison, J.H.M.; Zhang, Y.W.; Liu, H. Diversity and above-ground biomass patterns of vascular flora induced by flooding in the drawdown area of China’s Three Gorges Reservoir. PLoS ONE 2014, 9, e100889. [Google Scholar] [CrossRef] [PubMed][Green Version]
- Garssen, A.G.; Baattrup-Pedersen, A.; Voesenek, L.A.C.J.; Verhoeven, J.T.A.; Soons, M.B. Riparian plant community responses to increased flooding: A meta-analysis. Glob. Chang. Biol. 2015, 21, 2881–2890. [Google Scholar] [CrossRef]
- Kaczmarek, H.; Mazaeva, O.A.; Kozyreva, E.A.; Babicheva, V.A.; Tyszkowski, S.; Rybchenko, A.A.; Brykała, D.; Bartczak, A.; Słowiński, M. Impact of large water level fluctuations on geomorphological processes and their interactions in the shore zone of a dam reservoir. J. Great Lakes Res. 2016, 42, 926–941. [Google Scholar] [CrossRef]
- Bao, Y.H.; Gao, P.; He, X.B. The water-level fluctuation zone of Three Gorges Reservoir—A unique geomorphological unit. Earth Sci. Rev. 2015, 150, 14–24. [Google Scholar] [CrossRef]
- Li, C.X.; Zhong, Z.C. Influences of mimic soil water change on the contents of malic acid and shikimic acid and root-biomasses of Taxodium distichum seedlings in the hydro-fluctuation belt of the Three Gorges reservoir region. Acta Ecol. Sin. 2007, 27, 4394–4402. [Google Scholar] [CrossRef]
- Cao, Y.Y.; Yang, M.T.; Ma, W.X.; Sun, Y.J.; Chen, G.Y. Overexpression of SSBXoc, a Single-Stranded DNA-Binding Protein from Xanthomonas oryzae pv. oryzicola, Enhances Plant Growth and Disease and Salt Stress Tolerance in Transgenic Nicotiana benthamiana. Front. Plant Sci. 2018, 9, 953. [Google Scholar] [CrossRef] [PubMed]
- Dalal, V.K.; Tripathy, B.C. Water-stress induced downsizing of light-harvesting antenna complex protects developing rice seedlings from photo-oxidative damage. Sci. Rep. 2018, 8, 5955. [Google Scholar] [CrossRef]
- Bhusal, N.; Kim, H.S.; Han, S.G.; Yoon, T.M. Impact of drought stress on photosynthetic response, leaf water potential, and stem sap flow in two cultivars of bi-leader apple trees (Malus × domestica Borkh.). Sci. Hortic. 2019, 246, 535–543. [Google Scholar] [CrossRef]
- Viehweger, K. How plants cope with heavy metals. Bot. Stud. 2014, 55. [Google Scholar] [CrossRef] [PubMed]
- Bangar, P.; Chaudhury, A.; Tiwari, B.; Kumar, S.; Kumari, R.; Bhat, K.V. Morphophysiological and biochemical response of mungbean [Vigna radiata (L.) Wilczek] varieties at different developmental stages under drought stress. Turk. J. Biol. 2019, 43, 58–69. [Google Scholar] [CrossRef]
- Peng, Y.J.; Zhou, Z.X.; Zhang, Z.; Yu, X.L.; Zhang, X.Y.; Du, K.B. Molecular and physiological responses in roots of two full-sib poplars uncover mechanisms that contribute to differences in partial submergence tolerance. Sci. Rep. 2018, 8. [Google Scholar] [CrossRef]
- Colmer, T.D. Long-distance transport of gases in plants: A perspective on internal aeration and radial oxygen loss from roots. Plant Cell Environ. 2003, 26, 17–36. [Google Scholar] [CrossRef]
- Fukao, T.; Bailey-Serres, J. Plant responses to hypoxia—is survival a balancing act? Trends Plant Sci. 2004, 9, 449–456. [Google Scholar] [CrossRef]
- Voesenek, L.A.C.J.; Colmer, T.D.; Pierik, R.; Millenaar, F.F.; Peeters, A.J.M. How plants cope with complete submergence. New Phytol. 2006, 170, 213–226. [Google Scholar] [CrossRef]
- Bailey-Serres, J.; Voesenek, L.A.C.J. Flooding stress: Acclimations and genetic diversity. Annl. Rev. Plant Biol. 2008, 59, 313. [Google Scholar] [CrossRef]
- Colmer, T.D.; Voesenek, L.A.C.J. Flooding tolerance: Suites of plant traits in variable environments. Funct. Plant Biol. 2009, 36, 665–681. [Google Scholar] [CrossRef] [PubMed]
- Armstrong, J.; Armstrong, W. Rice: Sulphide-induced barriers to root radial oxygen loss, Fe2+ and water uptake, and lateral root emergence. Ann. Bot. 2005, 96, 625–638. [Google Scholar] [CrossRef]
- Mittler, R. Oxidative stress, antioxidants and stress tolerance. Trends Plant Sci. 2002, 7, 405–410. [Google Scholar] [CrossRef]
- Bhusal, N.; Kim, H.S.; Han, S.G.; Yoon, T.M. Photosynthetic traits and plant–water relations of two apple cultivars grown as bi-leader trees under long-term waterlogging conditions. Environ. Exp. Bot. 2020, 176, 104111. [Google Scholar] [CrossRef]
- María, L.V.; Mignolli, F.; Aispuru, H.T.; Luis, A.M. Rapid formation of adventitious roots and partial ethylene sensitivity result in faster adaptation to flooding in the aerial roots (aer) mutant of tomato. Sci. Hortic. 2016, 201, 130–139. [Google Scholar] [CrossRef]
- Loreti, E.; Van Veen, H.; Perata, P. Plant responses to flooding stress. Curr. Opin. Plant Biol. 2016, 33, 64–71. [Google Scholar] [CrossRef] [PubMed]
- Lei, S.T.; Zeng, B.; Xu, S.J.; Zhang, X.P. Response of basal metabolic rate to complete submergence of riparian species Salix variegata in the Three Gorges reservoir region. Sci. Rep. 2017, 7, 13885. [Google Scholar] [CrossRef]
- Miao, L.F.; Xiao, F.J.; Xu, W.; Yang, F. Reconstruction of Wetland Zones: Physiological and biochemical responses of Salix variegata to winter submergence—A case study from water level fluctuation zone of the Three Gorges Reservoir. Pol. J. Ecol. 2016, 64, 45–52. [Google Scholar] [CrossRef]
- Wang, C.Y.; Xie, Y.Z.; He, Y.Y.; Li, X.X.; Yang, W.H.; Li, C.X. Growth and physiological adaptation of Salix matsudana koidz. to periodic submergence in the hydro-fluctuation zone of the Three Gorges Dam Reservoir of China. Forests 2017, 8, 283. [Google Scholar] [CrossRef]
- He, Y.Y.; Wang, C.Y.; Yuan, Z.X.; Li, X.X.; Yang, W.H.; Song, H.; Li, C.X. Photosynthetic characteristics of Taxodium ascendens and Taxodium distichum under different submergence in the hydro-fluctuation belt of the Three Gorges Reservoir. Acta Ecol. Sin. 2018, 38, 2722–2731. [Google Scholar] [CrossRef]
- Wang, C.Y.; Li, C.X.; Wei, H.; Xie, Y.Z.; Han, W.J. Effects of long-term periodic submergence on photosynthesis and growth of Taxodium distichum and Taxodium ascendens saplings in the hydro-fluctuation zone of the Three Gorges Reservoir of China. PLoS ONE 2016, 11, e0162867. [Google Scholar] [CrossRef] [PubMed]
- Li, C.X.; Wei, H.; Geng, Y.H.; Schneider, R. Effects of submergence on photosynthesis and growth of Pterocarya stenoptera (Chinese wingnut) seedlings in the recently-created Three Gorges Reservoir region of China. Wetl. Ecol. Manag. 2010, 18, 485–494. [Google Scholar] [CrossRef]
- Magdziak, Z.; Mleczek, M.; Rutkowski, P.; Goliński, P. Diversity of low-molecular weight organic acids synthesized by Salix growing in soils characterized by different Cu, Pb and Zn concentrations. Acta Physiol. Plant. 2017, 39, 137. [Google Scholar] [CrossRef]
- Adeleke, R.; Nwangburuka, C.; Oboirien, B. Origins, roles and fate of organic acids in soils: A review. J. Bot. 2017, 108, 393–406. [Google Scholar] [CrossRef]
- Huang, G.Y.; Guo, G.G.; Yao, S.Y.; Zhang, N.; Hu, H.Q. Organic acids, amino acids compositions in the root exudates and Cu-accumulation in castor (Ricinus communis L.) Under Cu stress. Int. J. Phytoremediat. 2016, 18, 33–40. [Google Scholar] [CrossRef] [PubMed]
- Yang, L.T.; Qi, Y.P.; Jiang, H.X.; Chen, L.S. Roles of organic acid anion secretion in aluminium tolerance of higher plants. BioMed Res. Int. 2013, 173682. [Google Scholar] [CrossRef] [PubMed]
- Wang, Y.; Chen, X.; Whalen, J.K.; Cao, Y.H.; Quan, Z.; Lu, C.Y.; Shi, Y. Kinetics of inorganic and organic phosphorus release influenced by low molecular weight organic acids in calcareous, neutral and acidic soils. J. Plant Nutr. Soil Sci. 2015, 178, 555–566. [Google Scholar] [CrossRef]
- Wang, T.; Wei, H.; Zhou, C.; Chen, H.C.; Li, R. Responses of root organic acids and nonstructural carbohydrates of Taxodium distichum to water-level changes in the hydro-fluctuation belt of the Three Gorges Reservoir. Acta Ecol. Sin. 2018, 38, 3004–3013. [Google Scholar] [CrossRef]
- Li, C.X.; Wei, H.; Lv, Q.; Zhang, Y. Effects of Water Stresses on Growth and Contents of Oxalate and Tartarate in the Roots of Chinese Wingnut (Pterocarya stenoptera) Seedlings. For. Res. 2010, 46, 81–88. [Google Scholar] [CrossRef]
- Zhong, Y.; Liu, Z.X.; Qin, H.W.; Xiong, Y.; Xiang, L.X.; Liu, R.; Yang, Y.; Ma, R. Effects of winter submergence and waterlogging on growth and recovery growth of Salix babylonica. J. South. Agric. 2013, 44, 275–279. [Google Scholar]
- Wang, T.; Wei, H.; Ma, W.C.; Zhou, C.; Chen, H.C.; Li, R.; Li, S. Response of Taxodium distichum to winter submergence in the water-level-fluctuating zone of the Three Gorges Reservoir region. J. Freshw. Ecol. 2019, 34, 1–17. [Google Scholar] [CrossRef]
- Elcan, J.M.; Pezeshki, S.R. Effects of Flooding on Susceptibility of Taxodium distichum L. Seedlings to Drought. Photosynthetica. 2002, 40, 177–182. [Google Scholar] [CrossRef]
- Arif, M.; Zhang, S.L.; Zheng, J.; Wokadala, C.; Mzondi, P.S.; Li, C.X. Evaluating the Effects of Pressure Indicators on Riparian Zone Health Conditions in the Three Gorges Dam Reservoir, China. Forests 2020, 11, 214. [Google Scholar] [CrossRef]
- Ren, Q.S.; Song, H.; Yuan, Z.X.; Ni, X.L.; Li, C.X. Changes in soil enzyme activities and microbial biomass after revegetation in the Three Gorges Reservoir, China. Forests 2018, 9, 249. [Google Scholar] [CrossRef]
- Yamashita, N.; Tanabata, S.; Ohtake, N.; Sueyoshi, K.; Sato, T.; Higuchi, K.; Ohyama, T. Effects of Different Chemical Forms of Nitrogen on the Quick and Reversible Inhibition of Soybean Nodule Growth and Nitrogen Fixation Activity. Front. Plant Sci. 2019, 10, 131. [Google Scholar] [CrossRef]
- Park, S.; Cho, E.; Chung, H.; Cho, K.; Sa, S.; Balasubramanian, B.; Jeong, Y. Digestibility of phosphorous in cereals and co-products for animal feed. Saudi J. Biol. Sci. 2019, 26, 373–377. [Google Scholar] [CrossRef] [PubMed]
- Gao, Z.X.; Zhou, G.M.; Huang, C.; Li, C.X.; Wang, L. Rapid determination of rudimental organic acids in root of Taxodium ascendens and Taxodium distichum by ion-suppression RP-HPLC. Chin. J. Pharm. Anal. 2005, 25, 1082–1085. [Google Scholar]
- Huang, T.Z.; Wang, S.J.; Liu, X.M.; Liu, H.; Wu, Y.Y.; Luo, X.Q. Rapid determination of eight organic acids in plant tissue by sequential extraction and high performance liquid chromatography. Chin. J. Chrom. 2014, 32, 1356–1361. [Google Scholar] [CrossRef][Green Version]
- Field, A.; Miles, J.; Field, Z. Discovering Statistics Using R; SAGE Publications Ltd.: London, UK, 2012. [Google Scholar]
- de Moraes Pontes, J.G.; Vendramini, P.H.; Fernandes, L.S.; de Souza, F.H.; Pilau, E.J.; Eberlin, M.N.; Magnani, R.F.; Wulff, N.A.; Fill, T.P. Mass spectrometry imaging as a potential technique for diagnostic of Huanglongbing disease using fast and simple sample preparation. Sci. Rep. 2020, 10, 13457. [Google Scholar] [CrossRef] [PubMed]
- Yang, C.X.; Zhao, W.N.; Wang, Y.N.; Zhang, L.; Huang, S.C.; Lin, J.X. Metabolomics analysis reveals the alkali tolerance mechanism in puccinellia tenuiflora plants inoculated with arbuscular mycorrhizal fungi. Microorganisms 2020, 8, 327. [Google Scholar] [CrossRef]
- Li, C.X.; Wei, H.; Lv, Q.; Zhang, Y. Effects of different water treatments on growth and contents of secondary metabolites in roots of slash pine (Pinus elliottii Engelm.) seedlings. Acta Ecol. Sin. 2010, 30, 6154–6162. [Google Scholar]
- Liu, Y.H.; Peng, X.X.; Yu, L. Difference in oxalate content between buckwheat and soybean leaves and its possible cause. J. Plant Physiol. Mol. Biol. 2004, 20, 201–208. [Google Scholar] [CrossRef]
- Zhang, J.; Gao, N.F.; Yang, H. Study on the organic acids during the grapes growing. Liquor Mak. 2004, 34, 69–71. [Google Scholar]




| Elevation (m) | Treatment Group | Maximum Submergence Depth (m) | Experiment Duration (Days) | ||
|---|---|---|---|---|---|
| T0–T1 | T1–T2 | T2–T3 | |||
| 175 | SS | 0 | 0 | 295 | 70 |
| 170 | MS | 5 | 135 | 160 | 70 |
| 165 | DS | 10 | 205 | 90 | 70 |
| Indices | Treatment Group | T. distichum | S. matsudana | ||
|---|---|---|---|---|---|
| 15 September 2015 | 15 September 2016 | 15 September 2015 | 15 September 2016 | ||
| Height(cm) | SS | 69.10 ± 0.59 Aa | 86.87 ± 0.81 Ba | 136.25 ± 0.88 Aa | 176.75 ± 0.99 Ba |
| MS | 69.10 ± 0.59 Aa | 80.25 ± 0.42 Ba | 136.25 ± 0.88 Aa | 171.50 ± 1.25 Ba | |
| DS | 69.10 ± 0.59 Aa | 72.30 ± 0.87 Ab | 136.25 ± 0.88 Aa | 146.50 ± 0.80 Ab | |
| Base diameter(mm) | SS | 8.38 ± 0.54 Aa | 11.00 ± 0.64 Ba | 17.82 ± 0.86 Aa | 20.00 ± 0.55 Aa |
| MS | 8.38 ± 0.54 Aa | 9.37 ± 0.59 Aa | 17.82 ± 0.86 Aa | 19.02 ± 0.83 Aa | |
| DS | 8.38 ± 0.54 Aa | 9.13 ± 0.35 Aa | 17.82 ± 0.86 Aa | 18.55 ± 0.77 Aa | |
| Variable | Treatment | Experimental Period | Treatment × Experimental Period | ||||||
|---|---|---|---|---|---|---|---|---|---|
| df | F | df | F | df | F | ||||
| T. distichum | S. matsudana | T. distichum | S. matsudana | T. distichum | S. matsudana | ||||
| Oxalic acid in main roots | 2 | 0.103 ns | 0.414 ns | 3 | 56.075 * | 16.995 * | 6 | 1.238 ns | 2.078 ns |
| Oxalic acid in lateral roots | 2 | 0.034 ns | 3.463 * | 3 | 1.242 ns | 12.034 * | 6 | 1.157 ns | 5.202 * |
| Tartaric acid in main roots | 2 | 4.856 * | 14.412 * | 3 | 17.263 * | 8.404 * | 6 | 5.347 * | 1.570 ns |
| Tartaric acid in lateral roots | 2 | 13.672 * | 10.243 * | 3 | 14.659 * | 4.282 * | 6 | 1.179 ns | 1.153 ns |
| Malic acid in main roots | 2 | 17.779 * | 2.374 ns | 3 | 14.847 * | 1.388 ns | 6 | 6.564 * | 1.343 ns |
| Malic acid in lateral roots | 2 | 0.232 ns | 0.599 ns | 3 | 4.588 * | 15.792 * | 6 | 0.232 ns | 1.093 ns |
Publisher’s Note: MDPI stays neutral with regard to jurisdictional claims in published maps and institutional affiliations. |
© 2021 by the authors. Licensee MDPI, Basel, Switzerland. This article is an open access article distributed under the terms and conditions of the Creative Commons Attribution (CC BY) license (http://creativecommons.org/licenses/by/4.0/).
Share and Cite
He, X.; Wang, T.; Wu, K.; Wang, P.; Qi, Y.; Arif, M.; Wei, H. Responses of Swamp Cypress (Taxodium distichum) and Chinese Willow (Salix matsudana) Roots to Periodic Submergence in Mega-Reservoir: Changes in Organic Acid Concentration. Forests 2021, 12, 203. https://doi.org/10.3390/f12020203
He X, Wang T, Wu K, Wang P, Qi Y, Arif M, Wei H. Responses of Swamp Cypress (Taxodium distichum) and Chinese Willow (Salix matsudana) Roots to Periodic Submergence in Mega-Reservoir: Changes in Organic Acid Concentration. Forests. 2021; 12(2):203. https://doi.org/10.3390/f12020203
Chicago/Turabian StyleHe, Xinrui, Ting Wang, Kejun Wu, Peng Wang, Yuancai Qi, Muhammad Arif, and Hong Wei. 2021. "Responses of Swamp Cypress (Taxodium distichum) and Chinese Willow (Salix matsudana) Roots to Periodic Submergence in Mega-Reservoir: Changes in Organic Acid Concentration" Forests 12, no. 2: 203. https://doi.org/10.3390/f12020203
APA StyleHe, X., Wang, T., Wu, K., Wang, P., Qi, Y., Arif, M., & Wei, H. (2021). Responses of Swamp Cypress (Taxodium distichum) and Chinese Willow (Salix matsudana) Roots to Periodic Submergence in Mega-Reservoir: Changes in Organic Acid Concentration. Forests, 12(2), 203. https://doi.org/10.3390/f12020203

