Next Article in Journal
Survey, Identification, and Pathogenicity of Ceratocystis fimbriata Complex Associated with Wilt Disease on Acacia mangium in Malaysia
Next Article in Special Issue
Taxonomy and an Updated Phylogeny of Anomoloma (Amylocorticiales, Basidiomycota)
Previous Article in Journal
Strategic Application of Topoclimatic Niche Models in Managing Forest Change
Previous Article in Special Issue
New Species of Tomentella (Thelephorales, Basidiomycota) from Temperate Continental Mountain Climate of China (Xinjiang Region)
 
 
Font Type:
Arial Georgia Verdana
Font Size:
Aa Aa Aa
Line Spacing:
Column Width:
Background:
Article

Fungal Community Composition and Enzyme Activity in Different Type Bark of Pinus koraiensis

1
Key Laboratory of Forest Ecology and Management, Institute of Applied Ecology, Chinese Academy of Sciences, Shenyang 110016, China
2
Department of University of CAS, University of Chinese Academy of Sciences, Beijing 100049, China
*
Author to whom correspondence should be addressed.
Forests 2021, 12(12), 1781; https://doi.org/10.3390/f12121781
Submission received: 30 November 2021 / Revised: 13 December 2021 / Accepted: 14 December 2021 / Published: 15 December 2021
(This article belongs to the Special Issue Fungal Diversity in Forest Ecosystems)

Abstract

:
Pinus koraiensis Sieb. et Zucc. is an endemic and dominant tree in temperate zone needle broad-leaf mixed forest and has great economic and ecological value. As the barrier, pine bark has many important functions. However, the ecological functions and forming mechanism of bark fungal community are poorly understood. The aim of this study was to reveal the fungal community of Korean pine bark from Changbai Nature Reserve of Northeast China. Based on Illumina Hiseq2000 platform with five different types from three sites, the results showed that the bark types and collecting sites have strong influence on the fungal community structure. CCA demonstrates the physico-chemical properties of barks and sample collecting height are important factors. Spearman’s correlation coefficients between dominant ASVs and these factors showed the impact in detail. Dominant ASVs in living and dead tree bark are animal or plant pathogens mainly, and they are negative with the total N and P. Meanwhile, wood saprotroph and other undefined saprotroph fungi occur in the bark near the ground and they prefer the substrate with higher total N and P content. Furthermore, enzymes activities including lignin-related oxidoreductases, cellulose and hydrolytic enzyme are affected significantly by the bark’s physico-chemical properties.

1. Introduction

Deadwood is known to be an important structural component of forests by representing a key processes in the carbon and nitrogen cycle and contributes to the soil forming processes and provides habitats as well as carbon and energy sources for a diverse range of forest species. Wood mainly consists of cellulose and hemicelluloses incrusted with lignin, which protects the polysaccharides from microbial decomposition [1]. Wood-decaying fungi belonging to the Basidiomycota and few Ascomycota can attack and destroy the lignin-barrier, playing a key ecological function during the wood-degrading process. These fungi are capable of degrading lignin by actively secreting a set of extracellular enzyme, i.e., lignin-related oxidoreductases, cellulose enzyme and hydrolytic enzyme [2]. In the course of wood decomposition, the degrading fungi secrete substantial amounts of organic acids into their micro-environment to establish optimal conditions for the function of breakdown of crystalline cellulose [3,4].
As one of the main organs of woody plants, bark plays a key ecological role in ensuring the storage and transport of water and nutrients in the xylem. In a living tree, the bark defends against insects and pathogens, and protects against fire and herbivores [5,6]. Moreover, it can “exchange” with its surrounding air, which is crucial to the construction of the plant microbiome [7]. After tree death, all bark tissues are subjected to decomposition when fallen off, or become the component of woody debris. For the discrepancy in chemical and anatomical structure, there are different compositions and ecological function of microbial community of bark in forest ecosystem [8]. Besides wood-decaying fungi, the communities associated with bark may also include other ecological function fungal group, including symbiotroph fungi, pathogen fungi and other saprotroph fungi [1].
Some pathogen fungi could weaken a living tree health via bark disease [9]. In addition, some mycologist isolated entomopathogenic fungi (e.g., Beauveria bassiana (Bals.-Criv.) Vuill., Paecilomyces farinosus (Holmsk.) A.H.S. Br. & G. Sm., Verticillium lecanii (Zimm.) Viégas) from the bark of living trees showed that these fungal interactions are mutually beneficial and they have the ability for interim endophytic growth [10,11]. Some epiphytic and endophytic microorganisms can use bark constituents as substrates [12]. Some incidental transient microorganisms associated with bark can protect a tree against the attack of phytopathogens, herbivorous invertebrates by inducing resistance, nutrient acquisition or toxin production [13]. With the decaying stage, the main fungal communities in bark changed from yeasts, plant pathogens, cosmopolitan saprotrophic fungi to common saprotrophs till the mycorrhizal fungi became dominant. Meanwhile wood-decaying fungi occurred in all stages [14].
Due to limitations in biotechnique development, many previous researchers considered mycorrhizal fungi to mainly live in soil because their mycelia is associated to plant roots. Furthermore, the saprotrophic fungi from soil and woody substrates also are qualitatively different, because wood-saprotrophic fungi can utilize wood and soil-saprotrophic fungi decomposing the organic matter in soil. They employ different ecophysiological strategies adapted to the characteristics of each substrate [15]. Studies on fungal communities showed that the diversity of fungi is highly sensitive to growing substance variables change (e.g., characteristics of dead wood and soil) [16,17]. The research focused on the fungal community in wood and soil separately [18,19], whereas several studies found the presence of wood-decaying fungi in soil and the presence of mycorrhizal fungi in wood [20,21]. Many mycorrhizal fungi can colonize woody substrates that are heavily decayed and in contact with the soil surface [22]. Comparatively, the soil was more species-rich than the fallen wood. However, the species richness in very rotten stage dead wood reached the same species richness and community composition as soil for there are strong soil- and wood-inhabiting fungi communities interacting between the last decay stage of wood and background soil [17]. There is an important implication of the exchange of fungal species between wood and soil in forest nutrient cycling. Wood-decaying fungi reallocate the nutrients from wood resource into soil by extending the mycelial networks for long distances [23]. Conversely, some nitrogen can be translocated from the forest floor to decaying logs by wood-decaying saprotrophs [24].
Bark is the barrier of fallen log and the important debris of soil surface. To our knowledge, the relationship between bark- and soil-fungal community and these fungi ecological function have not been investigated. As the first barrier of tree stem, the characteristics of bark still have not been revealed, including physico-chemical properties, fungal community dynamics of tree dead and so on. However, the highly, heterogeneous structure of bark retarded the process of bark studying [25]. Tree bark represents an especially unexplored component of the plant microbiome. Pinus koraiensis (Korean pine) is an endemic tree to the Eurasia North Temperate Zone. It ranges through the Korean peninsula and east area in Northeast China into the south part in the Far East region in Russia, with outliers on the Japanese islands of Honshu and Shikoku [26]. In China, it mainly grows in Changbai Mountain and Xiaoxing’anling area. As one of the dominant tree species in temperate zone needle broad-leaf mixed forest, Korean pine has great economic and ecological value. The bark of Korean pine contains large amounts of polyphenols, which give them many properties, such as antioxidant capacity, anti-cancer activity, and immune system boosting activity [27]. Several studies reported that fallen wood of Korean pine are the preferred substance of wood-decaying fungi and 102 polypores have been found in the pine wood in Changbai Mountain Nature Reserve [28]. However, the fungal community structure, activities of degradative enzyme and their changes of the different type of pine bark remains incomplete without data.
The goal of this study was to analyze fungal composition change in pine bark of living tree, dead tree, impending log with whole barks or broken barks and lying logs closet to the ground and search for the main factors influencing the fungal community structure. Additionally, the relationship between bark- and soil-fungal communities needs to be revealed. The relative degradative enzyme was also analyzed. We hypothesized that the bark fungal composition has significant corelationship with the bark’s characteristics. Furthermore, the soil- and bark-fungal communities will be more similar as the barks become closest to the ground.

2. Materials and Methods

2.1. Study Sites

Sampling plots were located in the Changbai Mountain Natural Reserve (CMNR) of northeastern China (41°43′–42°26′ N; 127°42′–128°17′ E). Mean annual precipitation is approximately 700 mm and mostly occurs from June to September (480–500 mm). Mean annual temperature is 2.8 °C with a January mean of −13.7 °C and a July mean of 19.63 °C. Three sites were selected to collect Korean pine bark samples on the 24–27th of August 2020 in broad-leaved Korean pine mixed forest, Dayangdi (DYD) (elevation 720–780 m, 128°05′ E, 42°23′ N), Huangsongpu (HSP) (elevation 1100–1150 m, 128°15′ E, 42°15′ N) and Lushuihe (LSH) (elevation 800–850 m, 127°39′ E, 42°45′ N). The dominant tree species of DYD include Acer mono Maxim., Fraxinus mandshurica Rupr., Pinus koraiensis, Quercus mongolica Fisch. Ex Ledeb., Tilia amurensis Rupr. and Ulmus davidiana var. japonica (Rehd.) Nakai. The dominant trees of HSP are Abies nephrolepis Maxim., A. mono, Picea jezoensis var. microsperma (Lindl.) Cheng et L. K. Fu, P. koraiensis and T. amurensis. Those of LSH are A. nephrolepis, F. mandshurica, P. koraiensis, P. jezoensis var. microsperma, Q. mongolica and T. amurensis.

2.2. Sample Preparation

Barks attached to 57 logs of Korean pine were sampled from 20 to 120 cm in diameter at a length of 1.3 m from root collar (DBH) with 5 types (Table 1). 3–4 bark samples of approximately 20–40 cm2 were taken by chisel and forceps from ca 1.5 m from the stem base of each log and measured in three dimensions. 24 soil samples were collected separately from three sites for surface mineral soil (ca. 0–5 cm depth) which provide an opportunity to explore the soil fungal community. The samples were transported at 4 °C and sieved through (<2 mm) mesh to remove visible roots and rocks. Then, the samples were stored at −80 °C for DNA extraction, physico-chemical analyses and enzyme activity determination.

2.3. Physico-Chemical Properties Analyses

The bark polyphenol contain was measured by Folin–Ciocalteu colorimetry. The moisture in % was calculated based on the fresh weight at the time of sampling and constant weight after drying at 60 °C. Total nitrogen (N) and phosphorus (P) concentrations were analyzed using Bran + Luebbe AutoAnalyzer 3, and total carbon (C) were determined by a C analyzer. The pH value was measured in water extraction (ratio bark:water: 1:25) by STARTER 3100/F pH-sensor (Ohaus, USA). All analytical procedures were performed in 3 replicates.

2.4. Extracellular Enzyme Activities

Bark samples were shattered using a grinder (Bear FSJ-A03D1, China). Activities of degradative enzyme were determined in 46 samples. In the aqueous extracts of the milled samples, lignin-related oxidoreductases (Laccase, EC1.10.3.2) were assayed spectrophotometrically with ABTS (2,20-azino-bis (3-ethylbenzothiazoline-6-sulfonic acid), ε420 = 36.0 cm−1 mM−1). Cellulose enzyme activities, i.e., Endo-1,4-β-glucanase (EC 3.2.1.4) and Endo-1,4-β-xylanasein (EC 3.2.1.8) were measured spectrophotometrically applying AZO-cellulose and AZO-xylan. The activities of hydrolytic (β-1,4-glucosidase, EC 3.2.1.21; β-1,4-xylosidase, EC 3.2.1.37; cellobiohydrolase, EC 3.2.1.91; 1,4-β-N-acetylglucosaminidas, EC 3.2.1.52) were determined spectrophotometrically applying p-nitrophenyl-b-D-glucoside, p-nitrophenyl-b-D-xyloside and p-nitrophenyl-N-acetyl-b-D-glucosaminide, respectively [29]. Activities were photometrically measured in the aqueous extracts in 96-well plates (F-bottom, Greiner Bio-One GmbH, Rickenhausen, Germany) with a plate reader (In-finite M200, Tecan, Männedorf, Switzerland). One unit of enzyme activity was defined as the amount of enzyme forming 1 μmol of reaction product per minute. All measurements were taken in 3 replicates. For further analyses, the mean values were used.

2.5. DNA Extraction, Sequencing and Quality Control

Before molecular studies, the bark samples were stored at −80 °C. Prior to extraction of DNA, the samples were defrosted and subjected to superficial sterilization with blowtorch flame to reduce the amount of surface contamination by airborne microorganisms. Then the samples were grinded and homogenized using a grinder (Bear FSJ-A03D1, Foshan, China). Some homogenized sample (0.5 g) was transferred to a 2 mL eppendorf tube and DNA was extracted using the E-Z 96® Mag-Bind Soil DNA Kit (OMEGA, USA). The Internal Transcribed Spacer 1 (ITS1) region of ribosomal RNA gene cluster was amplified. The DNA was sequenced on Illumina Hiseq2000 platform with PE100 strategy at Personal Biotechnology Co., Ltd. (Shanghai, China).

2.6. Bioinformatic Analyses and Functional Annotation

Microbiome bioinformatics were performed with QIIME 2.0 2017.4 [30]. Raw sequence data were demultiplexed and quality filtered using the q2-demux plugin followed by denoising with DADA2 [31]. All amplicon sequence variants (ASVs) were aligned with mafft [32] and used to construct a phylogeny with fasttree2 [33]. Taxonomy was assigned to ASVs using the q2-feature-classifier [34] classify-sklearn naïve Bayes taxonomy classifier against the Greengenes 13_8 99% ASVs reference sequences [35]. The aligned ITS gene sequences were used for a chimera check using the UCHIME algorithm. By the Ribosomal Database Project (RDP) Classifier method, taxonomic assignment of representative sequences was finished and the minimum confidence was 0.8 with UNITE database [36,37]. Additionally, Nucleotide-Nucleotide Basic Local Alignment Search Tool (BLASTN) was performed for identification with the use of the GenBank databases [38], when the RDP Classifier method gave unsatisfactory results. When the query coverage was 99%, the result was recognized as significant. The query identity of 99% was used for positive identification to the species level, and the query identity of 98% was considered as probable identification to the species level, denoted with the abbreviation cf. The 97% identity was considered as a reliable identification to the genus level.
The fungal ASVs were assigned to functional annotation on the basis of FUNGuild [39]. The identified fungal taxa were classified by taxonomic groups as well as by functional groups according to their ecological strategies. 4413 ASVs were annotated successfully. Sequences were deposited in NCBI Sequence Read Archive under accession number PRJNA784404.

2.7. Statistical Analyses

All statistical analyses were conducted in R (version 4.1.2) [40]. The ASVs composition of different bark type were visualized using the venn function within the venn package. The correlation between enzyme activities and bark types were analyzed using mantel test, using the mantel function within the vegan package. Distance matrices for ASVs were constructed using the Bray–Curtis dissimilarity index, for physico-chemical characteristics were using the Euclidean dissimilarity index. The results were visualized through the ggcor package.
For comparing fungal community structure the non-metrical multidimensional scaling (NMDS) was analyzed using metaMDS function (vegan) [41]. In order to make the results clearly understand, the ASVs’ abundance that under 50 were regarded as 0. The global stress score of 0.198 was relatively low to reliable data interpretation in two dimensions. Differences between sample sites and bark types shown in NMDS plot were assessed using permutational multivariate analysis of variance (PERMANOVA), conducted using the adonis 2 function within the vegan package, based on 999 permutations.
To examine the correlation between the ASVs abundances matrix and physico-chemical properties matrix, the Canonical Correlation Analysis (CCA) were used by the function cca within the vegan packages (the ASVs belowed 1% total abundance were ignored). The ASV matrix was hellinger-transformed before the analysis and select sampling height, Polyphenol content, total p and C, pH and water content as factors except total N for its similiar with total P. The result was analyzed using Permutation test, using the function anova within the vegan package (nperm = 999, p < 0.001).
To achieve the data normality: enzyme activities, polyphenol content, total N and P were log-transformed, sqrt-transformed or boxcox-transformed. They were analyzed using one-way analysis of variance (ANOVA) and Tukey’s pairwise comparisons, with bark types as factor. Laccase activity, total C, bark water content, pH value were analyzed using Kruskal–Wallis test and multiple comparison, with bark type as factor. Associations between dominant species which known its ecological function and enzyme activities, as well as with polyphenol content, total C, total N, total P, water content and pH value were explored using Spearman’ correlation.

3. Results

3.1. Pine Barks Fungal Species Richness

We observed 10,737 ASVs from bark samples and soil samples in total. On average 91,089 reads were generated for bark samples and 118,492 reads for soil samples. Mean more specie richness of soil fungal communities were significantly higher than those of wood communities. Among them, 2264 ASVs were annotated about ecological function of bark samples and 4413 ASVs were annotated about ecological function of soil samples.
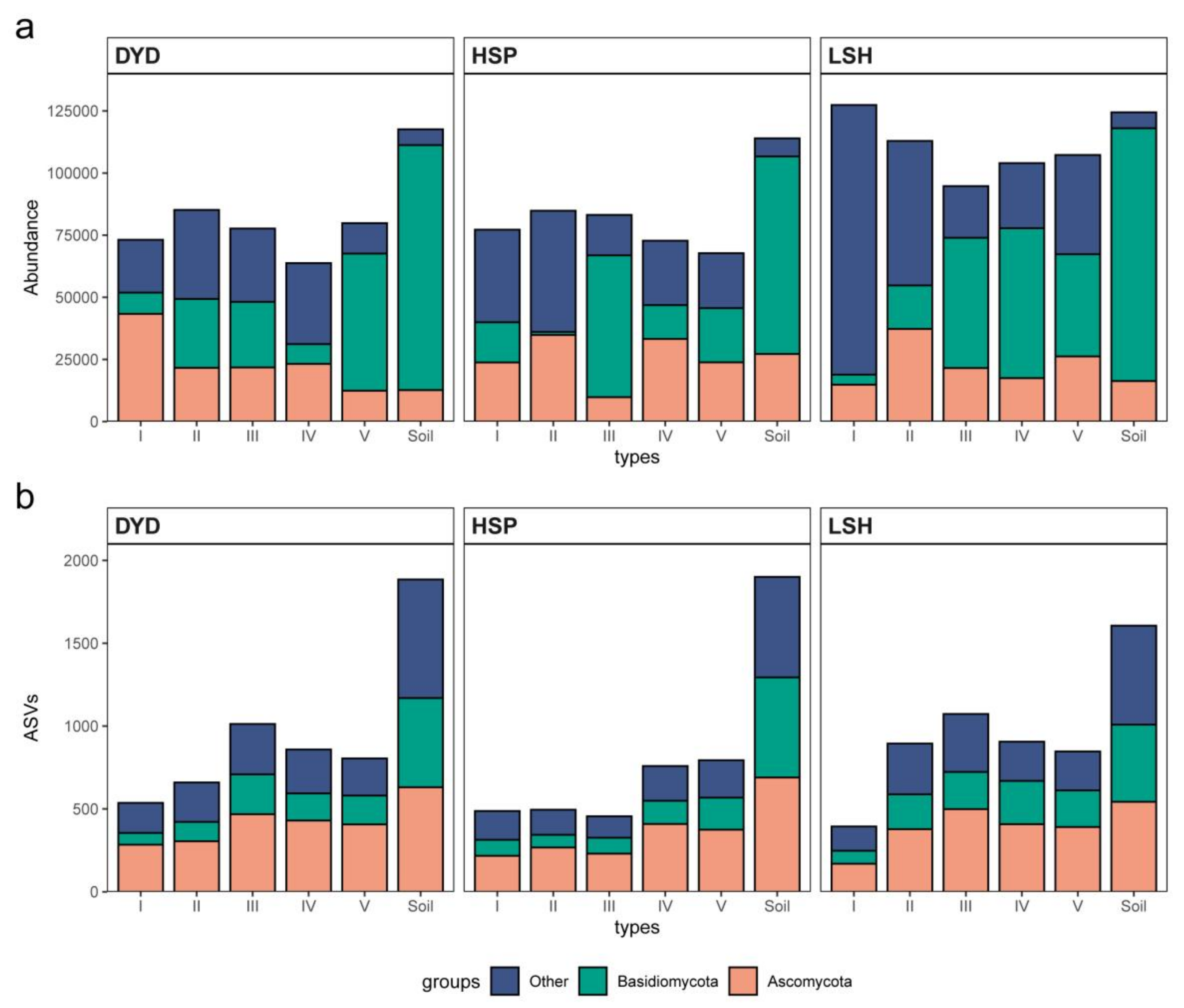
Among three sites, the fungal species abundance and richness in soil samples were all more than those in bark samples. Moreover, Basidiomycota occurred in a dominant position with maximum abundance (DYD, 83.84%; HSP, 69.74%; LSH, 81.76%). However, the Basidiomycota richness in soil were the least (DYD, 538; HSP, 604; LSH, 466). In contrast, the number of Basidiomycota ASVs in bark were more than Ascomycota and others, including Mortierellomycota, Rozellomycota, and unclassified fungi. With the height of bark collecting point decreasing, the total ASVs richness showed similar variation tendency from type I to type V from DYD and LSH, except HSP (Figure 1). In addition, Ascomycota ASVs were the most group in every bark sample. There were the same ASVs in same bark types from different collecting sites and the number approached 75 of type I, 89 ASVs of type II, 104 ASVs of type III, 85 ASVs of type IV and 100 ASVs of type V separately.

3.2. Ordination Plot of Non-Metric Multidimensional Scaling of All Fungal Communities

Bark type and collecting site showed clearly distinct fungal communities, illustrated by the NMDS of dissimilarities between all barks with the ASVs which abundance >100 (Figure 2). The fungal communities of different bark types from DYD and LSH arrayed along the first dimension regularly. However, HSP showed disorderly. In permutational multivariate analysis of variance (PERMANOVA), R2 of types (0.2502) was higher than R1 of sites (0.1114), which showed type had more influence on the fungal communities than collecting site.

3.3. Physico-Chemical Properties of Pine Barks

Most physico-chemical properties changed significantly from type I to type V. In contrast, total C, N and P concentration from DYD was higher than those from HSP and LSH. With the decreasing of collecting height, total C, N and P concentration increased gradually, especially total N and P. The pH values were in the range from 5.25 to 6.59 and had a significantly lower median in living pine tree (type I) than in lying log closest to ground (type V). The water contained also showed the similar variation tendency, i.e., they increased obviously. As the special element of Korean pine bark, polyphenol median concentration did not show obvious discrepancy between different types and sites. The water contents in type IV were significantly higher than in type I and II (Figure 3).

3.4. Canonical Correspondence Analysis of Korean Pine Bark Fungal Community Structure

The CCA showed that bark fungal community structure was influenced fundamentally by the collecting points’ height of environmental variables (6 variables in total) (Figure 4). This variable was distributed in opposite directions along the CCA1 axis. Total P and pH value were distributed in accordance direction along CCA1 axis and CCA2 axis. Polyphenol contain was opposite to CCA2 axis. CCA1 and CCA2 accounted for 7.30% and 4.52%, respectively.

3.5. Correlation Analysis between Dominant ASVs and Physico-Chemical Properties of Pine Bark

The Spearman’s correlation coefficients between dominant ASVs (relative abundance >1%) and the physico-chemical properties of bark had and collecting heights showed that these factors effected the distribution of these fungi strongly (Table 2). Total P had significant negative correlation with the Devriesia strelitziicola, Engyodontium album, Hymenochaete fuliginosa, etc. These ASVs mainly exist in living tree. Additionally, total P had significant positive correlation with Collophora sp., Eucasphaeria capensis, Gyoerffyella entomobryoides, Holtermanniella takashimae, etc., which mainly distribute in bark type IV. Total C had significant positive correlation with some ASVs, including Collophora sp. Only two ASVs showed they had significant correlation with polyphenol content of pine bark, Collophora sp. was negative and Engyodontium album positive.

3.6. Effect of Soil Fungal Community on Pine Barks Fungal Community

With bark being closer to the ground, the percentages of fungal ASVs sharing between pine bark and soil have increased (Figure 5). Among type I and II, the sharing percentage of living tree bark were more than those of dead tree slightly. In type III and type IV, the percentage of sharing fungal ASVs both increased. In type V, these decreased slightly. Furthermore, bark V-DYD increased continually. The numbers of Ascomycetes sharing in 5 types bark with soil were 106, 134, 217, 261 and 248 separately. Basidiomycetes were 55, 68, 123, 160 and 115, separately. The percentage of Ectomycorrhizal fungi and wood-decaying fungi also showed the same variation. In 5 types, the sharing Ectomycorrhizal fungi were 10, 15, 23, 44 and 27, separately. The wood-decaying fungi were 29, 24, 45, 54 and 52, separately.

3.7. Extracellular Enzyme Activity of Different Pine Bark Types

Comparing extracellular enzyme distribution in five types of bark, the results showed that the highest activity of the hydrolytic enzyme β-1,4-xylosidase and cellobiohydrolase were present in type IV pine bark, and the activity of cellulose enzyme endo-1,4-β-xylanase in it also was the highest. However, there were not significant difference of 1,4-β-N-acetylglucosaminidase, β-1,4-xylosidase, laccase and endo-1,4-β-glucanase activity in 5 types pine barks (Figure 6).
For the analysis of variability of enzyme activity and physico-chemical properties of different pine bark types, seven enzymes, except β-1,4-xylosidase and Endo-1,4-β-glucanase, were significantly affected by total N and P content positively. Total C content and pH value affected laccase activity significantly. The water content was significantly related with β-1,4-glucosidase and cellobiohydrolase. Bark polyphenol content were significantly correlated with 1,4-β-N-acetylglucosaminidase, endo-1,4-β-glucanase and endo-1,4-β-xylanase negatively (Figure 7).

4. Discussion

There are significant differences in fungal community structures of different Korean pine bark types in Changbai Mountain Nature Reserve (Figure 1). These differences indicate that unique fungal communities exist for different bark types. The variation of fungal community composition did not show a certain regularity either in the similar pine types or in the three collecting sites, mainly attributing to fungal ASVs’ abundance. Some ASVs grew rapidly in the adapted environment, and their abundance were very high. Here ASV_23925 is needed special attention with its widespread distribution and higher in abundance in every bark samples and but not detected in the soil samples. It can be considered as the dominant species and is obligate to the pine bark samples. However, till now there is not any relative reports or data published and we know nothing about it.
Our study illustrated that the bark with different sites affected fungal species richness and community composition significantly. PERMANOVA results also verified this (Figure 2). This finding differ from some other research which thought the forest-stand type did not affect fungal species richness and community composition [42]. However, their studying results based on the fungal fruitbodie collecting from fallen logs. Generally speaking, the distribution of fungal fruitbodie can show distinct spatial character and they have more correlation with tree species rather than forest-stand type [43,44]. Whereas the research based on high-throughput sequencing methods will give different results for many fungal species exist in substrate abundantly but no sporophore growing [45].
The fungal community is highly sensitive to forest structural variables (e.g., characteristics of dead wood) [16,46,47]. Tree species and associated bark chemistry were the controlling factors on fungal assemblages [48]. However, if even one species has a different type, their variation in the chemical and physical attributes could cause the differences of the fungal community structure, just like the Korean pine bark in this study. Total P and N content had a significant negative correlation with the fungal community in the bark of living trees and dead standing trees based on CCA analyzation and Spearman’s correlation analysis (Figure 4, Table 2), but significantly positively correlated with dominant species in types III, IV and V. Some pathogen fungi including plant and animal pathogen, can attack the living tree to gain nutrient and select the growth medium with low N and P. For instance, Devriesia strelitziicola from I-HSP, Phialophora japonica and Pseudoteratosphaeria sp. from I-DYD, Teratosphaeria encephalarti from I-LSH, and Engyodontium album from I-LSH. With the decrease of bark height, N, P nutrition in soil can enter the bark, and the nutrition of bark is more abundant, which attract more saprophytic fungi, just like Ganoderma sp. from IV-DYD, Gyoerffyella entomobryoides from V-HSP and Holtermanniella takashimae from IV-LSH. Accordingly, water content and pH value of bark increase gradually. These two variables had significant effects on most dominant species, i.e., negatively correlation with species in type I and II and positively correlation with species in type IV and V. Total C content and polyphenols did not vary significantly in all bark samples. In conclusion, total N and P, water content and pH value have a significant positive correlation with the distribution of dominant fungi in types IV and V, and a significant negative correlation with the distribution of dominant fungi in types I and II.
The study also investigated the sharing ASVs between soil and pine bark fungal communities and an increased sharing fungal ASVs percentage were observed with decreasing collecting height (Figure 5). This result fitted the original assumption to a certain degree. However, these exchanging species are not the dominant species of fungal community either in bark or in soil. Among dominant ASVs, only Serpula himantioides from IV-LSH and Tremella sp. from V-DYD were both detected in bark and soil. This finding revealed that the soil fungal species could extend to the bark, but they cannot achieve a dominant position. On average the soil was more species-rich than the decaying wood, and the species richness in dead wood increased monotonically along the decay gradient, reaching the same species richness and community composition as soil in the late stages [17]. However, some research found that the fungal ASVs sharing both in pine root and soil only constituted a small percentage of the overall real abundance within soil and likely play a small function in the overall community for their low sequence reads [49]. In this study, the sharing ASVs were less than 20% of total soil ASVs with low abundance so they could hardly have a vital position during the bark degradation.
Fungal hyphal organization combines the ability to assimilate nutrients along a distributed network with the capacity to focus extracellular enzyme release at growing tips [50,51]. As a result, they are high efficient at colonizing and breaking down large detritial particles. In this study, Spearman’s correlation matrix of seven enzyme activities and physico-chemical properties of bark types showed that total N and P had significant positive relationship with β-1,4-glucosidase, 1,4-β-N-acetylglucosaminidas, cellobiohydrolase, laccase and endo-1,4-b-xylanasein (Figure 7). Six enzymes activities in type IV were higher than in other types except laccase (Figure 6). In fact more saprotroph fungi existed in type IV than in other types (Table 2). The observed patterns for oxidative enzyme activities were superposed by an enormous variation. So the conclusion can be conjectured that these dominant saprotroph fungi in type IV caused the high enzymes activities. During the wood decaying course, the activity of Laccase and their variation increased with proceeding decomposition [52]. It is remarkable that although biotechnology develops rapidly, there are still many species we do not know. In this study, some important fungi have not been recognized yet. We look forward to further exploration to reveal their function.

5. Conclusions

In this study, the fungal community of Korean pine bark from Changbai Nature Reserve of Northeast China are studied based on Illumina Hiseq2000 platform with PE100 strategy. By examining the temporal dynamics of the fungal communities across Korean pine barks from three distant sites, this study provides a systematic understanding on the fungal community composition and a primary knowledge about their forming mechanism. Our results demonstrate that physico-chemical properties (i.e., total C, N and P, pH value and water content) of barks have a strong influence on the distribution and abundance of the fungal species. Dominant fungi in Korean pine bark of living tree and dead tree are mainly animal and plant pathogens. Meanwhile, fungi in the bark near the ground are wood Saprotroph and other undefined Saprotroph. Furthermore, physico-chemical properties of barks have strong influence on the enzymes activities. Lignin-related oxidoreductases, cellulose enzyme and hydrolytic enzyme are effected significantly by the bark’s physico-chemical properties.

Author Contributions

Designed the research Y.-L.W.; samples collection, Y.-L.W. and Q.-S.L.; physico-chemical properties and enzyme activity of samples examination, Q.-S.L. and Q.-X.W.; data analysis, Y.-L.W., Z.B. and Q.-S.L.; manuscript preparation, Y.-L.W. All authors have read and agreed to the published version of the manuscript.

Funding

The research is supported by the National Natural Science Foundation of China (No. 31870018; 32070018).

Institutional Review Board Statement

Not applicable.

Informed Consent Statement

Not applicable.

Data Availability Statement

The data and results of this study are available upon reasonable request. Please contact the main author of this publication. And Sequences were deposited in NCBI Sequence Read Archive under accession number PRJNA784404. http://www.ncbi.nlm.nih.gov/bioproject/784404 (accessed on 30 November 2021).

Acknowledgments

We express our gratitude to Wen-Min Qin (China) for help during field collections and Si-Yao Zhang (China) for the samples previous preparation.

Conflicts of Interest

The authors declare no conflict of interest. The funders had no role in the design of the study; in the collection, analyses, or interpretation of data; in the writing of the manuscript, or in the decision to publish the results.

References

  1. Siitonen, J. Microhabitats. In Biodiversity in Dead Wood, 1st ed.; Stokland, J.N., Siitonen, J., Jonsson, B.G., Eds.; Cambridge University Press: Cambridge, UK, 2012; p. 301. [Google Scholar]
  2. Liers, C.; Ullrich, R.; Steffen, K.T.; Hatakka, A.; Hofrichter, M. Mineralization of 14C-labelled synthetic lignin and extracellular enzyme activities of the wood-colonizing ascomycetes Xylaria hypoxylon and Xylaria polymorpha. Appl. Microbiol. Biotechnol. 2005, 69, 573–579. [Google Scholar] [CrossRef] [PubMed]
  3. Hofrichter, M.; Vares, T.; Kalsi, M.; Galkin, S.; Scheibner, K.; Fritsche, W.; Hatakka, A. Production of Manganese Peroxidase and Organic Acids and Mineralization of 14 C-Labelled Lignin (14 C-DHP) during Solid-State Fermentation of Wheat Straw with the White Rot Fungus Nematoloma frowardii. Appl. Environ. Microbiol. 1999, 65, 1864–1870. [Google Scholar] [CrossRef] [PubMed] [Green Version]
  4. Arnstadt, T.; Hoppe, B.; Kahl, T.; Kellner, H.; Krüger, D.; Bässler, C.; Bauhus, J.; Hofrichter, M. Patterns of laccase and peroxidases in coarse woody debris of Fagus sylvatica, Picea abies and Pinus sylvestris and their relation to different wood parameters. Eur. J. For. Res. 2015, 135, 109–124. [Google Scholar] [CrossRef] [Green Version]
  5. Paine, C.E.T.; Stahl, C.; Courtois, E.A.; Patiño, S.; Sarmiento, C.; Baraloto, C. Functional explanations for variation in bark thickness in tropical rain forest trees. Funct. Ecol. 2010, 24, 1202–1210. [Google Scholar] [CrossRef]
  6. Rosell, J.A. Bark thickness across the angiosperms: More than just fire. New Phytol. 2016, 211, 90–102. [Google Scholar] [CrossRef]
  7. Lymperopoulou, D.S.; Adams, R.I.; Lindow, S.E. Contribution of Vegetation to the Microbial Composition of Nearby Outdoor Air. Appl. Environ. Microbiol. 2016, 82, 3822–3833. [Google Scholar] [CrossRef] [Green Version]
  8. Shorohova, E.; Kapitsa, E.; Kazartsev, I.; Romashkin, I.; Polevoi, A.; Kushnevskaya, E. Tree species traits are the predominant control on the decomposition rate of tree log bark in a mesic old-growth boreal forest. For. Ecol. Manag. 2016, 377, 36–45. [Google Scholar] [CrossRef]
  9. Schmidt, O. Wood and Tree Fungi; Springer: Berlin/Heidelberg, Germany, 2006. [Google Scholar]
  10. Bing, L.A.; Lewis, L.C. Suppression of Ostrinia nubilalis (Huebner) (Lepidoptera: Pyralidae) by endophytic Beauveria bassiana (Balsamo) Vuillemin. Environ. Entomol. 1991, 20, 1207–1211. [Google Scholar] [CrossRef]
  11. Stone, J.K.; Bacon, C.W.; White, J.F. An Overview of Endophytic Microbes: Endophytism Defined. In Microbial Endophytes; Bacon, C.W., White, J.F., Jr., Eds.; Marcel Dekker Inc.: New York, NY, USA, 2000. [Google Scholar]
  12. Schmull, M.; Hauck, M. Element microdistribution in the bark of Abies balsamea and Picea rubens and its impact on epiphytic lichen abundance on Whiteface Mountain, New York. Flora Morphol. Distrib. Funct. Ecol. Plants 2003, 198, 293–303. [Google Scholar] [CrossRef]
  13. Vega, F.E.; Posada, F.; Aime, M.C.; Pava-Ripoll, M.; Infante, F.; Rehner, S.A. Entomopathogenic fungal endophytes. Biol. Control. 2008, 46, 72–82. [Google Scholar] [CrossRef] [Green Version]
  14. Kazartsev, I.; Shorohova, E.; Kapitsa, E.; Kushnevskaya, H. Decaying Picea abies log bark hosts diverse fungal communities. Fungal Ecol. 2018, 33, 1–12. [Google Scholar] [CrossRef]
  15. Watkinson, S.; Bebber, D.; Darrah, P.; Fricker, M.; Tlalka, M.; Boddy, L. The role of wood decay fungi in the carbon and nitrogen dynamics of the forest floor. In Fungi in Biogeochemical Cycles; Gadd, G.M., Ed.; Cambridge University Press (CUP): Cambridge, UK, 2006; pp. 151–181. [Google Scholar]
  16. Ódor, P.; Heilmann-Clausen, J.; Christensen, M.; Aude, E.; van Dort, K.W.; Piltaver, A.; Siller, I.; Veerkamp, M.T.; Walleyn, R.; Standovár, T.; et al. Diversity of dead wood inhabiting fungi and bryophytes in semi-natural beech forests in Europe. Biol. Conserv. 2006, 131, 58–71. [Google Scholar] [CrossRef]
  17. Mäkipää, R.; Rajala, T.; Schigel, D.; Rinne, K.T.; Pennanen, T.; Abrego, N.; Ovaskainen, O. Interactions between soil- and dead wood-inhabiting fungal communities during the decay of Norway spruce logs. ISME J. 2017, 11, 1964–1974. [Google Scholar] [CrossRef] [Green Version]
  18. Kubartová, A.; Ottosson, E.; Dahlberg, A.; Stenlid, J. Patterns of fungal communities among and within decaying logs, revealed by 454 sequencing. Mol. Ecol. 2012, 21, 4514–4532. [Google Scholar] [CrossRef]
  19. Ovaskainen, O.; Schigel, D.; Ali-Kovero, H.; Auvinen, P.; Paulin, L.; Nordén, B.; Nordén, J. Combining high-throughput sequencing with fruit body surveys reveals contrasting life-history strategies in fungi. ISME J. 2013, 7, 1696–1709. [Google Scholar] [CrossRef]
  20. Lindahl, B.D.; Ihrmark, K.; Boberg, J.; Trumbore, S.E.; Högberg, P.; Stenlid, J.; Finlay, R.D. Spatial separation of litter decom-position and mycorrhizal nitrogen uptake in a boreal forest. New Phytol. 2007, 173, 611–620. [Google Scholar] [CrossRef] [Green Version]
  21. Rajala, T.; Tuomivirta, T.; Pennanen, T.; Mäkipää, R. Habitat models of wood-inhabiting fungi along a decay gradient of Norway spruce logs. Fungal Ecol. 2015, 18, 48–55. [Google Scholar] [CrossRef] [Green Version]
  22. Tedersoo, L.; Kõljalg, U.; Hallenberg, N.; Larsson, K.H. Fine scale distribution of ectomycorrhizal fungi androots across sub-strate layers including coarse woody debris in a mixed forest. New Phytol. 2003, 159, 153–165. [Google Scholar] [CrossRef]
  23. Boddy, L.; Watkinson, S.C. Wood decomposition, higher fungi, and their role in nutrient redistribution. Can. J. Bot. 1995, 73, 1377–1383. [Google Scholar] [CrossRef]
  24. Philpott, T.; Prescott, C.; Chapman, W.; Grayston, S. Nitrogen translocation and accumulation by a cord-forming fungus (Hypholoma fasciculare) into simulated woody debris. For. Ecol. Manag. 2014, 315, 121–128. [Google Scholar] [CrossRef]
  25. Harmon, M.E.; Franklin, J.F.; Swanson, F.J.; Sollins, P.; Gregory, S.V.; Lattin, J.D.; Anderson, N.H.; Cline, S.P.; Aumen, N.G.; Sedell, J.R.; et al. Ecology of coarse woody debris in temperate ecosystems. Adv. Ecol. Res. 1986, 15, 133–302. [Google Scholar]
  26. Ma, J.L.; Zhuang, L.W.; Chen, D.; Li, J.W. Geographic distribution of Pinus koraiensis in the world. J. Northeast. For. Univ. 1992, 5, 40–48. [Google Scholar]
  27. Huang, Y.Y. The Separation, Isolation and Identification of Polyphenol Sturctures in Korean Pine (Pinus koraiensis) Bark and Evaluation of Its Antioxidant and Anticancer Activity; Northeast Forestry University: Harbin, China, 2014. [Google Scholar]
  28. Wei, Y.-L. Polypore species diversity, floral composition, and distribution characteristics in Changbai Mountains, Northeast China. Yingyong Shengtai Xuebao 2011, 22, 2711–2717. [Google Scholar] [PubMed]
  29. Valšková, V.; Šnajdr, J.; Bittner, B.; Cajthaml, T.; Merhautová, V.; Hoffichter, M.; Baldrian, P. Production of lignocellu-lose-degrading enzymes and degradation of leaf litter by saprotrophic basidiomycetes isolated from a Quercus petraea forest. Soil Biol. Biochem. 2007, 39, 2651–2660. [Google Scholar] [CrossRef]
  30. Bolyen, E.; Rideout, J.R.; Dillon, M.R.; Bokulich, N.A.; Abnet, C.; Alghalith, G.A.; Alexander, H.; Alm, E.; Arumugam, M.; Animozhiyan, A.; et al. QIIME 2: Reproducible, interactive, scalable, and extensible microbiome data science. Peer J. Preprints 2018, 6, e27295v2. [Google Scholar] [CrossRef]
  31. Callahan, B.J.; Mcmurdie, P.J.; Rosen, M.J.; Han, A.W.; Johnson, A.J.A.; Holmes, S.P. DADA2: High-resolution sample inference from Illumina amplicon data. Nat. Methods 2016, 13, 581–583. [Google Scholar] [CrossRef] [Green Version]
  32. Katoh, K.; Misawa, K.; Kuma, K.; Miyata, T. MAFFT: A novel method for rapid multiple sequence alignment based on fast Fourier transform (describes the FFT-NS-1, FFT-NS-2 and FFT-NS-i strategies). Nucleic Acids Res. 2002, 30, 3059–3066. [Google Scholar] [CrossRef] [Green Version]
  33. Price, M.N.; Dehal, P.S.; Arkin, A.P. FastTree: Computing Large Minimum Evolution Trees with Profiles instead of a Distance Matrix. Mol. Biol. Evol. 2009, 26, 1641–1650. [Google Scholar] [CrossRef]
  34. Bokulich, N.A.; Kaehler, B.D.; Ram, R.J.; Matthew, D.; Evan, B.; Rob, K.; Huttley, G.A.; Caporaso, J.G. Optimizing taxonomic classification of marker-gene amplicon sequences with qiime 2’s q2-feature-classifier plugin. Microbiome 2018, 6, 90. [Google Scholar] [CrossRef]
  35. McDonald, D.; Price, M.N.; Goodrich, J.; Nawrocki, E.P.; DeSantis, T.Z.; Probst, A.; Andersen, G.L.; Knight, R.; Hugenholtz, P. An improved Greengenes taxonomy with explicit ranks for ecological and evolutionary analyses of bacteria and archaea. ISME J. 2012, 6, 610–618. [Google Scholar] [CrossRef]
  36. Wang, Q.; Garrity, G.M.; Tiedje, J.M.; Cole, J.R. Naive Bayesian classifier for rapid assignment of rRNA sequences into the new bacterial taxonomy. Appl. Environ. Microbiol. 2007, 73, 5261–5267. [Google Scholar] [CrossRef] [Green Version]
  37. Abarenkov, K.; Tedersoo, L.; Nilsson, R.H.; Vellak, K.; Saar, I.; Veldre, V.; Parmasto, E.; Prous, M.; Aan, A.; Ots, M.; et al. PlutoF-a web based workbench for ecological and taxonomic research, with an online implementation for fungal ITS sequences. Evol. Bioinf. 2010, 6, 189–196. [Google Scholar] [CrossRef]
  38. Altschul, S.F.; Madden, T.L.; Schäffer, A.A.; Zhang, J.; Zhang, Z.; Miller, W.; Lipman, D.J. Gapped BLAST and PSI-BLAST: A new generation of protein database search programs. Nucleic Acids Res. 1997, 25, 3389–3402. [Google Scholar] [CrossRef] [Green Version]
  39. Nguyen, N.H.; Song, Z.; Bates, S.T.; Branco, S.; Tedersoo, L.; Menke, J.; Schilling, J.S.; Kennedy, P. FUNGuild: An open anno-tation tool for parsing fungal community datasets by ecological guild. Fungal Ecol. 2016, 20, 241–248. [Google Scholar] [CrossRef]
  40. R Core Team. R: A Language and Environment for Statistical Computing; R Foundation for Statistical Computing: Vienna, Austria, 2021; Available online: https://www.R-project.org/ (accessed on 1 November 2021).
  41. Oksanen, J.; Kindt, R.; Legendre, P.; O’Hara, B.; Stevens, M.H.H.; Oksanen, M.J.; Suggests, M. The Vegan Package. Community Ecol. Package 2007, 10, 631–637. [Google Scholar]
  42. Baber, K.; Otto, P.; Kahl, T.; Gossner, M.M.; Wirth, C.; Gminder, A.; Bässler, C. Disentangling the effects of forest-stand type and dead-wood origin of the early successional stage on the diversity of wood-inhabiting fungi. For. Ecol. Manag. 2016, 177, 161–169. [Google Scholar] [CrossRef]
  43. Zhou, L.W.; Hao, Z.Q.; Wang, Z.; Wang, B.; Dai, Y.C. Comparison of ecological patterns of polypores in three forest zones in China. Mycology 2011, 2, 260–275. [Google Scholar]
  44. Zhou, L.-W.; Dai, Y.-C. Recognizing ecological patterns of wood-decaying polypores on gymnosperm and angiosperm trees in Northeast China. Fungal Ecol. 2012, 5, 230–235. [Google Scholar] [CrossRef]
  45. Watkinson, S.C. Molecular Ecology. In The Fungi, 3rd ed.; Elsevier: Amsterdam, The Netherlands, 2016. [Google Scholar]
  46. Bader, P.; Jansson, S.; Jonsson, B. Wood-inhabiting fungi and substratum decline in selectively logged boreal spruce forests. Biol. Conserv. 1995, 72, 355–362. [Google Scholar] [CrossRef]
  47. Junninen, K.; Similä, M.; Kouki, J.; Kotiranta, H. Assemblages of wood-inhabiting fungi along the gradients of succession and naturalness in boreal pine-dominated forests in Fennoscandia. Ecography 2006, 29, 75–83. [Google Scholar] [CrossRef]
  48. Pellitier, P.T.; Zak, D.R.; Salley, S. Environmental filtering structures fungal endophyte communities in tree bark. Mol. Ecol. 2019, 28, 5188–5198. [Google Scholar] [CrossRef]
  49. Birch, J.D.; Lutz, J.A.; Turner, B.L.; Karst, J. Divergent, age-associated fungal communities of Pinus flexilis and Pinus longaeva. For. Ecol. Manag. 2021, 494, 119277. [Google Scholar] [CrossRef]
  50. Frey, S.D.; Elliott, E.T.; Paustian, K. Fungal translocation as a mechanism for soil nitrogen inputs to surface residue decompo-sition in a no-tillage agroecosystem. Soil Biol. Biochem. 2000, 32, 689–698. [Google Scholar] [CrossRef]
  51. Frey, S.; Six, J.; Elliott, E. Reciprocal transfer of carbon and nitrogen by decomposer fungi at the soil–litter interface. Soil Biol. Biochem. 2003, 35, 1001–1004. [Google Scholar] [CrossRef]
  52. Arnstadt, T.; Hoppe, B.; Kahl, T.; Kellner, H.; Krüger, D.; Bauhus, J.; Hofrichter, M. Dynamics of fungal community composi-tion, decomposition and resulting dead-wood properties in logs of Fagus sylvatica, Picea abies and Pinus sylvestris. For. Ecol. Manag. 2016, 382, 129–142. [Google Scholar] [CrossRef]
Figure 1. Fungal community composition with different groups in different bark types and soil. (a) Fungal abundance in bark and soil substrates. (b) Fungal richness in bark and soil substrates.
Figure 1. Fungal community composition with different groups in different bark types and soil. (a) Fungal abundance in bark and soil substrates. (b) Fungal richness in bark and soil substrates.
Forests 12 01781 g001
Figure 2. Ordination plot of non-metric multidimensional scaling (NMDS) using the metaMDS function between all barks with the ASVs abundance >50. The final stress value for the 2-dimensional solution was 0.1980. Collecting sites and types were abbreviated as defined in Table 1.
Figure 2. Ordination plot of non-metric multidimensional scaling (NMDS) using the metaMDS function between all barks with the ASVs abundance >50. The final stress value for the 2-dimensional solution was 0.1980. Collecting sites and types were abbreviated as defined in Table 1.
Forests 12 01781 g002
Figure 3. Physico-chemical properties of different pine bark types from three sites.
Figure 3. Physico-chemical properties of different pine bark types from three sites.
Forests 12 01781 g003
Figure 4. Canonical correspondence analysis (CCA) of bark fungal community from 5 types and 3 sites. The physico-chemical properties of bark were indicated by blue axes, included polyphenol content (Pp), total P (P), total C (C), water content (Wc) and pH value (pH). The collecting points height (H_cm) was included too. Only the ASVs with relative abundance >1% were analyzed in CCA. Different sites marked with different color. The bark types were showed with different shape dot.
Figure 4. Canonical correspondence analysis (CCA) of bark fungal community from 5 types and 3 sites. The physico-chemical properties of bark were indicated by blue axes, included polyphenol content (Pp), total P (P), total C (C), water content (Wc) and pH value (pH). The collecting points height (H_cm) was included too. Only the ASVs with relative abundance >1% were analyzed in CCA. Different sites marked with different color. The bark types were showed with different shape dot.
Forests 12 01781 g004
Figure 5. Sharing fungal ASVs of different type bark with soil.
Figure 5. Sharing fungal ASVs of different type bark with soil.
Forests 12 01781 g005
Figure 6. Seven enzyme activities in 5 type pine bark samples. Significance differences (p < 0.05) between 5 type pine bark for the corresponding variable were marked with different letters (a, b, c).
Figure 6. Seven enzyme activities in 5 type pine bark samples. Significance differences (p < 0.05) between 5 type pine bark for the corresponding variable were marked with different letters (a, b, c).
Forests 12 01781 g006
Figure 7. Spearman correlation matrix of seven enzyme activities and physico-chemical properties of bark types. *** p < 0.001; ** p < 0.01; * p < 0.05; Glu: β-1,4-glucosidase; Ace: 1,4-β-N-acetylglucosaminidase; Cel: Cellobiohydrolase; Xyl: β-1,4-xylosidase; Lac: Laccase; 4βGlu: Endo-1,4-β-glucanase; 4βXyl: Endo-1,4-β-xylanase.
Figure 7. Spearman correlation matrix of seven enzyme activities and physico-chemical properties of bark types. *** p < 0.001; ** p < 0.01; * p < 0.05; Glu: β-1,4-glucosidase; Ace: 1,4-β-N-acetylglucosaminidase; Cel: Cellobiohydrolase; Xyl: β-1,4-xylosidase; Lac: Laccase; 4βGlu: Endo-1,4-β-glucanase; 4βXyl: Endo-1,4-β-xylanase.
Forests 12 01781 g007
Table 1. The characteristics of 5 types of Korean pine bark samples.
Table 1. The characteristics of 5 types of Korean pine bark samples.
TypeConditionCollecting Height (cm)Notes
ILiving tree150–170Bark was fresh and healthy. Collected clear ones from four different points and mixed.
IIDead tree150–170Bark was broken partially. Collected clear ones from four different points and mixed.
IIIImpending log100–120Bark kept perfectly. Collected clear ones from four different points and mixed.
IVImpending log50–60Bark was broken partially. Some ones dropped to the soil surface and touched soil. Collected the untouched parts from four different points and mixed.
VLying log closest to ground0–3Bark was broken completely and dropped to the soil. Collected four parts close to soil and mixed.
Table 2. Spearman’s correlation coefficients for the correlation between dominant ASVs and the physico-chemical properties of bark and collecting height. Significances were marked as follow: *** p < 0.001; ** p < 0.01; * p < 0.05. The ecological function of these ASVs were noted.
Table 2. Spearman’s correlation coefficients for the correlation between dominant ASVs and the physico-chemical properties of bark and collecting height. Significances were marked as follow: *** p < 0.001; ** p < 0.01; * p < 0.05. The ecological function of these ASVs were noted.
ASVsType-SiteNPCPpWcpHH_cmEcological Function
ChaetosphaeriaceaeI-HSP−0.42027 **−0.51154 ***−0.10519−0.00214−0.36901 **−0.59416 ***0.58404 ***Plant Saprotroph-Wood Saprotroph
Chloridium sp.V-HSP0.34847 **0.252850.1853−0.094860.39404 **0.34321 **−0.36782 **Ectomycorrhizal
Collophora sp.IV-DYD0.62952 ***0.58176 ***0.35379 **−0.28265 *0.5831 ***0.52576 ***−0.4399 ***Plant Pathogen
Devriesiastrelitziicola Arzanlou & CrousI-HSP−0.58717 ***−0.65799 ***−0.092940.05523−0.58317 ***−0.58236 ***0.7771 ***Plant Pathogen
Engyodontiumalbum (Limber) de HoogI-HSP−0.37785 **−0.28339 *−0.049660.35069 **−0.19738−0.222080.39015 **Animal Pathogen
Eucasphaeriacapensis CrousIV-DYD0.34649 **0.34512 **−0.14348−0.169960.33915 *0.18387−0.13009endophytic fungi
Ganoderma sp.IV-DYD0.29567 *0.30706 *0.09148−0.036860.4461 ***0.21728−0.21755Wood Saprotroph
Gyoerffyellaentomobryoides (Boerema & Arx) MarvanováV-HSP0.39435 **0.53284 ***−0.018230.12020.40469 **0.65847 ***−0.71019 ***Undefined Saprotroph
Holtermanniellatakashimae Wuczk., Passoth, A.-C. Andersson, Turchetti, Prillinger, Boekhout & LibkindIV-LSH0.32572 *0.3815 **−0.004760.205570.43039 ***0.37396 **−0.63874 ***Undefined Saprotroph
Hymenochaetefuliginosa (Fr.) Lév.I-DYD−0.08828−0.31073 *0.25099−0.129120.0177−0.26346 *0.26839 *Wood Saprotroph
Hymenochaete fuliginosa (Fr.) Lév.II-LSH−0.11769−0.156270.28638 *−0.00318−0.23187−0.31254 *0.36307 **Wood Saprotroph
Kuraishiamolischiana Dlauchy, G. Péter, Tornai-Leh. & KurtzmanII-LSH−0.32065 *−0.17142−0.48064 ***0.20931−0.33462 *−0.3276 *0.07798Undefined Saprotroph
Mariannaeasamuelsii Seifert & BissettIII-DYD0.41535 **0.38432 **0.20207−0.091560.57932 ***0.32385 *−0.38355 **Undefined Saprotroph
Naganishiacerealis (Passoth, A.-C. Andersson, Olstorpe, Theelen, Boekhout & Schnürer) Xin Zhan Liu, F.Y. Bai, M. Groenew. & BoekhoutIV-LSH0.32281 *0.35058 **0.013990.144830.29027 *0.1936−0.67137 ***Undefined Saprotroph
Nakazawaea holstii (Wick.) Y. Yamada, K. Maeda & MikataIV-LSH0.33259 *0.37819 **−0.155470.074050.31148 *0.2894 *−0.42209 **Undefined Saprotroph
Peterozyma
toletana (Socias, C. Ramírez & Peláez) Kurtzman & Robnett
IV-DYD0.51026 ***0.58943 ***0.19928−0.070980.48773 ***0.52501 ***−0.34207 **Undefined Saprotroph
Pezicula sp.IV-DYD0.3436 **0.33559 *−0.02744−0.121160.43092 ***0.30086 *−0.34954 **Undefined Saprotroph
Phialocephala fusca W.B. Kendr.I-DYD−0.02463−0.256590.37366 **−0.143570.01675−0.33018 *0.39015 **Endophyte
Phialophora japonica Iwatsu & UdagawaI-DYD−0.14267−0.3641 **0.22505−0.01393−0.08506−0.32705 *0.31275 *Plant Pathogen
Phlebiopsis gigantea (Fr.) JülichV-HSP0.28512 *0.33356 *−0.04281−0.180030.25330.24777−0.21439Wood Saprotroph
Pseudoteratosphaeria sp.I-DYD−0.39898 **−0.53475 ***−0.004−0.11655−0.48064 ***−0.52299 ***0.62296 ***Plant Pathogen
Sakaguchia lamellibrachiae (Nagah., Hamam., Nakase & Horikoshi) Q.M. Wang, F.Y. Bai, M. Groenew. & BoekhoutIV-LSH0.58176 ***0.65954 ***−0.01538−0.003910.54981 ***0.52497 ***−0.667 ***Undefined Saprotroph
Serpulahimantioides (Fr.) P. Karst.IV-LSH0.041830.12973−0.32163 *0.056260.06251−0.10271−0.23728Wood Saprotroph
Sistotrema sp.III-D0.17680.146270.36528 **−0.097840.10289−0.033720.09446Wood Saprotroph
Teratosphaeriaencephalarti Crous & A.R. WoodI-LSH−0.52565 ***−0.62286 ***−0.16118−0.03546−0.42869 ***−0.59112 ***0.68998 ***Plant Pathogen
TeratosphaeriaceaeII-LSH−0.34933 **−0.37335 **0.071490.00367−0.43903 ***−0.43732 ***0.44238 ***Animal Pathogen-Plant Pathogen
Tremella sp.V-DYD0.34527 **0.36954 **0.37419 **−0.100190.36161 **0.32992 *−0.29751 *Fungal Parasite
TremellalesV-HSP0.37249 **0.46203 ***−0.10606−0.100040.26532 *0.22017−0.48118 ***Fungal Parasite-Undefined Saprotroph
Trichaptumabietinum (Pers. ex J.F. Gmel.) RyvardenIII-DYD0.251170.239610.30346 *−0.130520.204630.080760.02301Wood Saprotroph
Trichoderma sp.III-DYD0.3238 *0.31916 *0.3793 **−0.133520.31134 *0.18385−0.21448Wood Saprotroph
Trichodermaatroviride P. Karst. V-HSP−0.25694−0.17028−0.163040.29729 *−0.105140.09028−0.06518Wood Saprotroph
CapnodialesI-LSH−0.52565 ***−0.62286 ***−0.16118−0.03546−0.42869 ***−0.59112 ***0.68998 ***Animal Pathogen-Plant Pathogen
Venturia sp.V-HSP0.262840.31145 *−0.096670.152660.28038 *0.35911 **−0.37968 **Plant Pathogen
Xenopolyscytalum pinea CrousII-HSP−0.152170.029940.026550.37774 **−0.025240.20164−0.142Undefined Saprotroph
Publisher’s Note: MDPI stays neutral with regard to jurisdictional claims in published maps and institutional affiliations.

Share and Cite

MDPI and ACS Style

Wei, Y.-L.; Li, Q.-S.; Bai, Z.; Wu, Q.-X. Fungal Community Composition and Enzyme Activity in Different Type Bark of Pinus koraiensis. Forests 2021, 12, 1781. https://doi.org/10.3390/f12121781

AMA Style

Wei Y-L, Li Q-S, Bai Z, Wu Q-X. Fungal Community Composition and Enzyme Activity in Different Type Bark of Pinus koraiensis. Forests. 2021; 12(12):1781. https://doi.org/10.3390/f12121781

Chicago/Turabian Style

Wei, Yu-Lian, Qiu-Shi Li, Zhen Bai, and Qing-Xue Wu. 2021. "Fungal Community Composition and Enzyme Activity in Different Type Bark of Pinus koraiensis" Forests 12, no. 12: 1781. https://doi.org/10.3390/f12121781

APA Style

Wei, Y.-L., Li, Q.-S., Bai, Z., & Wu, Q.-X. (2021). Fungal Community Composition and Enzyme Activity in Different Type Bark of Pinus koraiensis. Forests, 12(12), 1781. https://doi.org/10.3390/f12121781

Note that from the first issue of 2016, this journal uses article numbers instead of page numbers. See further details here.

Article Metrics

Back to TopTop