Fuelwood Harvest and No Harvest Effects on Forest Composition, Structure, and Diversity of Arasbaran Forests—A Case Study
Abstract
:1. Introduction
2. Materials and Methods
2.1. Case Study Area
2.2. Data Collection and Analysis
3. Results
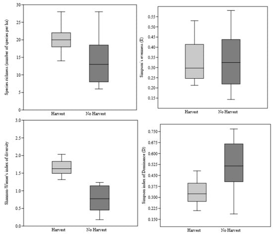
3.1. Species Composition and Structure
3.2. Large Woody Species Diversity
3.3. Small Woody Species Status
4. Discussion
5. Conclusions
Author Contributions
Funding
Institutional Review Board Statement
Informed Consent Statement
Data Availability Statement
Conflicts of Interest
References
- Negi, V.S.; Joshi, B.C.; Pathak, R.; Rawal, R.S.; Sekar, K.C. Assessment of fuelwood diversity and consumption patterns in cold desert part of Indian Himalaya: Implication for conservation and quality of life. J. Clean. Prod. 2018, 196, 23–31. [Google Scholar] [CrossRef]
- Lattimore, B.; Smith, C.; Titus, B.; Stupak, I.; Egnell, G. Environmental factors in woodfuel production: Opportunities, risks, and criteria and indicators for sustainable practices. Biomass Bioenergy 2009, 33, 1321–1342. [Google Scholar] [CrossRef]
- Nerfa, L.; Rhemtulla, J.M. Changes in tree species diversity, composition and aboveground biomass in areas of fuelwood harvesting in miombo woodland ecosystems of southern Malawi. For. Trees Live 2019, 28, 176–193. [Google Scholar] [CrossRef]
- Forest, Rangelands, Watershed Organization. Dependency on Forest; Forest, Rangelands, Watershed Organization: Tehran, Iran, 2013. [Google Scholar]
- Odunwole, S.; Ben, O.O.; Oluwayomi, A.; Joseph, O. Implications of fuelwood demandon sustainable forest conservation of the Sub-Sahara Africa. Int. J. Sci. Technol. Res. 2017, 6, 74–80. [Google Scholar]
- Huda, A.S.N.; Mekhilef, S.; Ahsan, A. Biomass energy in Bangladesh: Current status and prospects. Renew. Sustain. Energy Rev. 2014, 30, 504–517. [Google Scholar] [CrossRef]
- Stickler, M.; Shackleton, C. Local wood demand, land cover change and the state of Albany thicket on an urban commonage in the Eastern Cape, South Africa. Environ. Manag. 2015, 55, 411–422. [Google Scholar] [CrossRef]
- Bessaad, A.; Bilger, I.; Korboulewsky, N. Assessing Biomass Removal and Woody Debris in Whole-Tree Harvesting System: Are the Recommended Levels of Residues Ensured? Forests 2021, 12, 807. [Google Scholar] [CrossRef]
- Achat, D.L.; Deleuze, C.; Landmann, G.; Pousse, N.; Ranger, J.; Augusto, L. Quantifying consequences of removing harvesting residues on forest soils and tree growth—A meta-analysis. For. Ecol. Manag. 2015, 348, 124–141. [Google Scholar] [CrossRef]
- Rasquinha, D.N.; Mishra, D.R. Impact of wood harvesting on mangrove forest structure, composition and biomass dynamics in India. Estuar. Coast. Shelf Sci. 2020, 2020, 106974. [Google Scholar] [CrossRef]
- Muvengwi, J.; Chisango, T.; Mpakairi, K.; Mbiba, M.; Witkowski, E. Structure, composition and regeneration of miombo woodlands within harvested and unharvested areas. For. Ecol. Manag. 2020, 458, 117792. [Google Scholar] [CrossRef]
- Scales, I.R.; Friess, D.A. Patterns of mangrove forest disturbance and biomass removal due to small-scale harvesting in southwestern Madagascar. Wetl. Ecol. Manag. 2019, 27, 609–625. [Google Scholar] [CrossRef] [Green Version]
- Esmaeili, A.; Nasrnia, F. Deforestation and the environmental Kuznets curve in Iran. Small-Scale For. 2014, 13, 397–406. [Google Scholar] [CrossRef]
- Shirvani, Z.; Abdi, O.; Buchroithner, M.F.; Pradhan, B. Analysing spatial and statistical dependencies of deforestation affected by residential growth: Gorganrood Basin, Northeast Iran. Land Degrad. Dev. 2017, 28, 2176–2190. [Google Scholar] [CrossRef]
- Gharibreza, M.; Zaman, M.; Porto, P.; Fulajtar, E.; Parsaei, L.; Eisaei, H. Assessment of deforestation impact on soil erosion in loess formation using 137Cs method (case study: Golestan Province, Iran). Int. Soil Water Conserv. Res. 2020, 8, 393–405. [Google Scholar] [CrossRef]
- Salehi, A.; Karltun, L.C.; Söderberg, U.; Lo, E. Livelihood dependency on woodland resources in southern Zagros, Iran. Casp. J. Environ. Sci. 2010, 8, 181–194. [Google Scholar]
- Moayeri, M.; Barani, H.; Shahraki, M.; Behmanesh, B. Investigating the type and amount of utilization of forest resources by rural people in marginal villages (case study: Hezarjerib region-Mazindaran province). Iran. J. For. 2013, 5, 151–160. [Google Scholar]
- Ghanbari, S.; Jafari, M.; Nasiri, V. Effects of conservation programs in changing the pattern of fuel consumption of villagers in the Arasbaran forests. J. For. Res. Dev. 2015, 1, 67–83. [Google Scholar]
- Sagheb-Talebi, K.; Pourhashemi, M.; Sajedi, T. Forests of Iran: A Treasure from the Past, a Hope for the Future; Springer: Berlin/Heidelberg, Germany, 2014. [Google Scholar]
- Sasanifar, S.; Alijanpour, A.; Shafiei, A.B.; Rad, J.E.; Molaei, M.; Azadi, H. Forest protection policy: Lesson learned from Arasbaran biosphere reserve in Northwest Iran. Land Use Policy 2019, 87, 104057. [Google Scholar] [CrossRef]
- Sikkema, R.; Caudullo, G.; De Rigo, D. Carpinus betulus in Europe: Distribution, habitat, usage and threats. In European Atlas of Forest Tree Species; Publication Office of the European Union: Luxembourg, 2016; pp. 73–75. [Google Scholar]
- Sabeti, H. Forest, Trees, Shrubs of Iran; Univerity of Yazn Press: Yazd, Iran, 1994; p. 807. [Google Scholar]
- Mahmoudi, B.; Eshaghi, F. Assessment of the Role of Solar Water Heaters in Reducing Fuel Wood Consumption for Forest Dwellers in Central Zagros. For. Res. Dev. 2019, 5, 277–292. [Google Scholar]
- Department of Environment (D.o.E). Management Plan of Arasbaran Protected Area; Department of Environment: Tehran, Iran, 2001; Volume 10.
- Desta, G.A.; Melka, Y.; Sime, G.; Yirga, F.; Marie, M.; Haile, M. Biogas technology in fuelwood saving and carbon emission reduction in southern Ethiopia. Heliyon 2020, 6, e04791. [Google Scholar] [CrossRef]
- An, L.; Lupi, F.; Liu, J.; Linderman, M.A.; Huang, J. Modeling the choice to switch from fuelwood to electricity: Implications for giant panda habitat conservation. Ecol. Econ. 2002, 42, 445–457. [Google Scholar] [CrossRef]
- Makhdoum, M. Management of protected areas and conservation of biodiversity in Iran. Int. J. Environ. Stud. 2008, 65, 563–585. [Google Scholar] [CrossRef]
- Ghanbari, S.; Heshmatol Vaezin, S.M.; Shamekhi, T.; Eastin, I.L. Market expansion’s influence on the harvesting of non-wood forest products in the Arasbaran forests of Iran. For. Chron. 2014, 90, 599–604. [Google Scholar] [CrossRef]
- Ghanbari, S.; Heshmatol Vaezin, S.M.; Shamekhi, T.; Eastin, I.L.; Lovrić, N.; Aghai, M.M. The economic and biological benefits of non-wood forest products to local communities in Iran. Econ. Bot. 2020, 74, 59–73. [Google Scholar] [CrossRef]
- Safari, M.; Sefidi, K.; Alijanpour, A.; Elahian, M.R. Evaluation of altitude effects on the spatial structure of Caucasian oak (Quercus macranthera) stands in Arasbaran protected forests, Northwest of Iran. For. Ideas 2019, 25, 227–236. [Google Scholar]
- Safari, M.; Omid, N.; Sefidi, K.; Abhasht, S.; Elahian, M.R. Influence of Elevation on Tree Species Biodiversity Indicators in Arasbaran Forest. J. Environ. Sci. Stud. 2020, 5, 2801–2806. [Google Scholar]
- Assadi, M. Plants of Arasbaran protected area, N. Iran. Iran. J. Bot. 1988, 4, 3–59. [Google Scholar]
- Haq, S.M.; Rashid, I.; Khuroo, A.A.; Malik, Z.A.; Malik, A.H. Anthropogenic disturbances alter community structure in the forests of Kashmir Himalaya. Trop. Ecol. 2019, 60, 6–15. [Google Scholar] [CrossRef]
- Maua, J.O.; MugatsiaTsingalia, H.; Cheboiwo, J.; Odee, D. Population structure and regeneration status of woody species in a remnant tropical forest: A case study of South Nandi forest, Kenya. Glob. Ecol. Conserv. 2020, 21, e00820. [Google Scholar] [CrossRef]
- Atsbha, T.; Desta, A.B.; Zewdu, T. Woody species diversity, population structure, and regeneration status in the Gra-Kahsu natural vegetation, southern Tigray of Ethiopia. Heliyon 2019, 5, e01120. [Google Scholar] [CrossRef] [Green Version]
- Ghanbari, S.; Sheidai Karkaj, E. Diversity of tree and shrub species in woodlands of Guijeh-bel region of Ahar. Iran. J. For. Poplar Res. 2018, 26, 118–128. [Google Scholar] [CrossRef]
- Majidi, E.; Sobhani, K.; Rezaei, M. Deforestation of forests in Iran. J. Appl. Environ. Biol. Sci. 2011, 1, 184–186. [Google Scholar]
- Lassauce, A.; Lieutier, F.; Bouget, C. Woodfuel harvesting and biodiversity conservation in temperate forests: Effects of logging residue characteristics on saproxylic beetle assemblages. Biol. Conserv. 2012, 147, 204–212. [Google Scholar] [CrossRef]
- Bouget, C.; Lassauce, A.; Jonsell, M. Effects of fuelwood harvesting on biodiversity—A review focused on the situation in Europe. Can. J. For. Res. 2012, 42, 1421–1432. [Google Scholar] [CrossRef]
- Rüger, N.; Williams-Linera, G.; Kissling, W.D.; Huth, A. Long-term impacts of fuelwood extraction on a tropical montane cloud forest. Ecosystems 2008, 11, 868–881. [Google Scholar] [CrossRef]
- Specht, M.J.; Pinto, S.R.R.; Albuquerque, U.P.; Tabarelli, M.; Melo, F.P. Burning biodiversity: Fuelwood harvesting causes forest degradation in human-dominated tropical landscapes. Glob. Ecol. Conserv. 2015, 3, 200–209. [Google Scholar] [CrossRef] [Green Version]
- Parrotta, J.A.; Francis, J.K.; Knowles, O.H. Harvesting intensity affects forest structure and composition in an upland Amazonian forest. For. Ecol. Manag. 2002, 169, 243–255. [Google Scholar] [CrossRef]
- Günther, B.; Gebauer, K.; Barkowski, R.; Rosenthal, M.; Bues, C.-T. Calorific value of selected wood species and wood products. Eur. J. Wood Wood Prod. 2012, 70, 755–757. [Google Scholar] [CrossRef]
- Nestorovski, L.; Nacevski, M.; Trajanov, Z.; Trajkov, P. Analysis of Energy Value of Some Tree Species. Nova Meh. Šumarstva Časopis Teor. Praksu Šumarskoga Inženjerstva 2014, 35, 99–103. [Google Scholar]
- Alijanpour, A.; Fathollahi, A.; Eshaghi Rad, J.; Mahamed Shabanlu, A. Effect of aspect and soil on quantitative and qualitative characteristic of hornbeam (Carpinus betulus L.) in Arasbaran forest. J. Plant Res. Iran. J. Biol. 2018, 30, 887–898. [Google Scholar]
- Negi, V.S.; Maikhuri, R. Forest resources consumption pattern in Govind wildlife sanctuary, western Himalaya, India. J. Environ. Plan. Manag. 2017, 60, 1235–1252. [Google Scholar] [CrossRef]
- Jakoby, O.; Rademacher, C.; Grimm, V. Modelling dead wood islands in European beech forests: How much and how reliably would they provide dead wood? Eur. J. For. Res. 2010, 129, 659–668. [Google Scholar] [CrossRef]
- Herrero, C.; Krankina, O.; Monleon, V.J.; Bravo, F. Amount and distribution of coarse woody debris in pine ecosystems of north-western Spain, Russia and the United States. iFor.-Biogeosci. For. 2013, 7, 53–60. [Google Scholar] [CrossRef] [Green Version]
- Walters, B.B. Ecological effects of small-scale cutting of Philippine mangrove forests. For. Ecol. Manag. 2005, 206, 331–348. [Google Scholar] [CrossRef]
- Javanmiri Pour, M.; Marvi Mohdjer, M.; Etenad, V.; Zobeiri, M. The Effects of Grazing on Change and Diversity of Natural Regeneration (A Case Study: Patom District, Kheyroud Forest). For. Wood Prod. 2014, 66, 401–426. [Google Scholar] [CrossRef]
- Jew, E.K.; Dougill, A.J.; Sallu, S.M.; O’Connell, J.; Benton, T.G. Miombo woodland under threat: Consequences for tree diversity and carbon storage. For. Ecol. Manag. 2016, 361, 144–153. [Google Scholar] [CrossRef] [Green Version]
- Grubb, P.J. The maintenance of species-richness in plant communities: The importance of the regeneration niche. Biol. Rev. 1977, 52, 107–145. [Google Scholar] [CrossRef]
- Komiyama, A.; Ong, J.E.; Poungparn, S. Allometry, biomass, and productivity of mangrove forests: A review. Aquat. Bot. 2008, 89, 128–137. [Google Scholar] [CrossRef]
- Amir, A.A. Canopy gaps and the natural regeneration of Matang mangroves. For. Ecol. Manag. 2012, 269, 60–67. [Google Scholar] [CrossRef]
- Knapp, S.P.; Kern, C.C.; Webster, C.R. Harvested opening size affects cohort development and failures in a second-growth northern hardwood forest. For. Ecol. Manag. 2021, 482, 118804. [Google Scholar] [CrossRef]
- Sefidi, K.; Esfandiary Darabad, F.; Azaryan, M. Effect of topography on tree species composition and volume of coarse woody debris in an Oriental beech (Fagus orientalis Lipsky) old growth forests, northern Iran. iFor.-Biogeosci. For. 2016, 9, 658. [Google Scholar] [CrossRef]
- Mohammadzadeh, A.; Basiri, R.; Tarahi, A.A.; Dadashian, R.; Elahiyan, M.R. Evaluation of biodiversity of plant species in Arasbaran area using non-parametric measures with respect to topographic factor of slope: A case study of aquiferous land of Ilgina and Kaleibar rivers. J. Plant Res. 2015, 27, 728–741. [Google Scholar]
- Parma, R.; Jouybari, S.S. Impact of physiographic and human factors on crown cover and diversity of woody species in the Zagros forests (Case study: Ghalajeh forests, Kermanshah province). Iran. J. For. Poplar Res. 2010, 18, 539–555. [Google Scholar]
- Stohlgren, T.J.; Owen, A.J.; Lee, M. Monitoring shifts in plant diversity in response to climate change: A method for landscapes. Biodivers. Conserv. 2000, 9, 65–86. [Google Scholar] [CrossRef]






| Sites | Latitude/Longitude | Altitude from Sea Level (m) | ||
|---|---|---|---|---|
| Harvest | No Harvest | Harvest | No Harvest | |
| A | 38°51′47″/46°48′44″ | 38°50′59″/46°52′14″ | 2008 | 1878 |
| B | 38°49′59″/46°47′49″ | 38°49′38″/49°55′08″ | 2143 | 1825 |
| C | 38°47′16″/46°45′41″ | 38°51′36″/46°57′33″ | 2284 | 1864 |
| Equation Number | Index | Equation | Description & Reference |
|---|---|---|---|
| 1 | Relative density (RDe) | [33,34] | |
| 2 | Species Richness (S) | [34,35] | |
| 3 | Simpson index of Dominance (D) | Where D = Simpson index of dominance; where pi = the proportion of the important value of the ith species (pi = ni/N, ni is the important value index of ith species and N is the important value index of all the species) [34,36] | |
| 4 | Simpson’s evenness (E) | E: Simpson’s evenness; S: species richness [34,35,36] | |
| 5 | Shannon-Wiener’s index of diversity (H) | Where pi = ni/N; ni is the number of individual trees present for species i, and N is the total number of individuals [34,35,36] | |
| 6 | Relative frequency (RF) | [33,34] | |
| 7 | Relative dominance (RDo) | RDo | [34] |
| 8 | The importance value index (IVI) | IVI = RDo + RDe + RF | [10,32,35] |
| Variable (Mean ± SE) | No Harvest | Harvest | ||||
|---|---|---|---|---|---|---|
| Acer campestre | Carpinus orientalis | Quercus macranthera | Quercus macranthera | Sorbus graeca | Viburnum lantana | |
| Stem ha−1 | 124 ± 66 | 1975 ± 975 | 824 ± 361 | 947 ± 204 | 136 ± 83 | 410 ± 95 |
| DBH (cm) | 10.3 ± 1.6 | 12.1 ± 2 | 14.3 ± 3 | 15.3 ± 1.6 | 10.9 ± 5.4 | 2.9 ± 0.08 |
| Height (m) | 6.2 ± 1.1 | 6.9 ± 0.8 | 6.9 ± 0.9 | 4.9 ± 0.7 | 3.3 ± 1.7 | 2.4 ± 0.1 |
| Basal area (m2ha−1) | 1.1 ± 0.4 | 20.3 ± 7.8 | 15.4 ± 7.78 | 20.5 ± 7.4 | 3.5 ± 1.8 | 0.3 ± 0.09 |
| Variable | All Species | |
|---|---|---|
| Harvest | No Harvest | |
| Stem ha−1 | 2271 (430) | 3043 (599) |
| DBH (cm) | 12.6 (1.2) | 12.5 (2.3) |
| Height (m) | 4.3 (0.5) | 6.6 (0.8) |
| Basal area (m2ha−1) | 27.8 (9.0) | 38 (12.2) |
| Canopy cover (%) | 63 (4) | 75 (1.3) |
| Species richness (ha−1) | 20 (1) | 14 (2) |
| Simpson evenness | 0.32 (0.03) | 0.33 (0.04) |
| Simpson index of dominance | 0.33 (0.02) | 0.53 (0.08) |
| Shannon-Wiener’s index of diversity | 1.66 (0.05) | 0.77 (0.21) |
| Variable (±SE) | All Species | |
|---|---|---|
| Harvest | No Harvest | |
| Stem ha−1 | 501 (154) | 71 (3) |
| Species richness (ha−1) | 11 (1) | 10 (3) |
Publisher’s Note: MDPI stays neutral with regard to jurisdictional claims in published maps and institutional affiliations. |
© 2021 by the authors. Licensee MDPI, Basel, Switzerland. This article is an open access article distributed under the terms and conditions of the Creative Commons Attribution (CC BY) license (https://creativecommons.org/licenses/by/4.0/).
Share and Cite
Ghanbari, S.; Kern, C.C. Fuelwood Harvest and No Harvest Effects on Forest Composition, Structure, and Diversity of Arasbaran Forests—A Case Study. Forests 2021, 12, 1631. https://doi.org/10.3390/f12121631
Ghanbari S, Kern CC. Fuelwood Harvest and No Harvest Effects on Forest Composition, Structure, and Diversity of Arasbaran Forests—A Case Study. Forests. 2021; 12(12):1631. https://doi.org/10.3390/f12121631
Chicago/Turabian StyleGhanbari, Sajad, and Christel C. Kern. 2021. "Fuelwood Harvest and No Harvest Effects on Forest Composition, Structure, and Diversity of Arasbaran Forests—A Case Study" Forests 12, no. 12: 1631. https://doi.org/10.3390/f12121631
APA StyleGhanbari, S., & Kern, C. C. (2021). Fuelwood Harvest and No Harvest Effects on Forest Composition, Structure, and Diversity of Arasbaran Forests—A Case Study. Forests, 12(12), 1631. https://doi.org/10.3390/f12121631
