Color Change and Physical-Mechanical Properties of Polystyrene-Impregnated Glulam from Three Tropical Fast-Growing Wood Species
Abstract
1. Introduction
2. Materials and Methods
2.1. Materials
2.2. Discoloration of Polystyrene Glulam
2.3. Physical and Mechanical Tests
2.3.1. Density and MC
2.3.2. MOE and MOR Tests
2.3.3. Shear Strength
2.3.4. Hardness
(Area of hemispherical steel ball (cm2))
2.3.5. Delamination in hot water
(Sum of gluing lengths of two cross-sections)) × 100
2.4. Analysis of the Data
3. Results and Discussion
3.1. Discoloration of Polystyrene Glulam
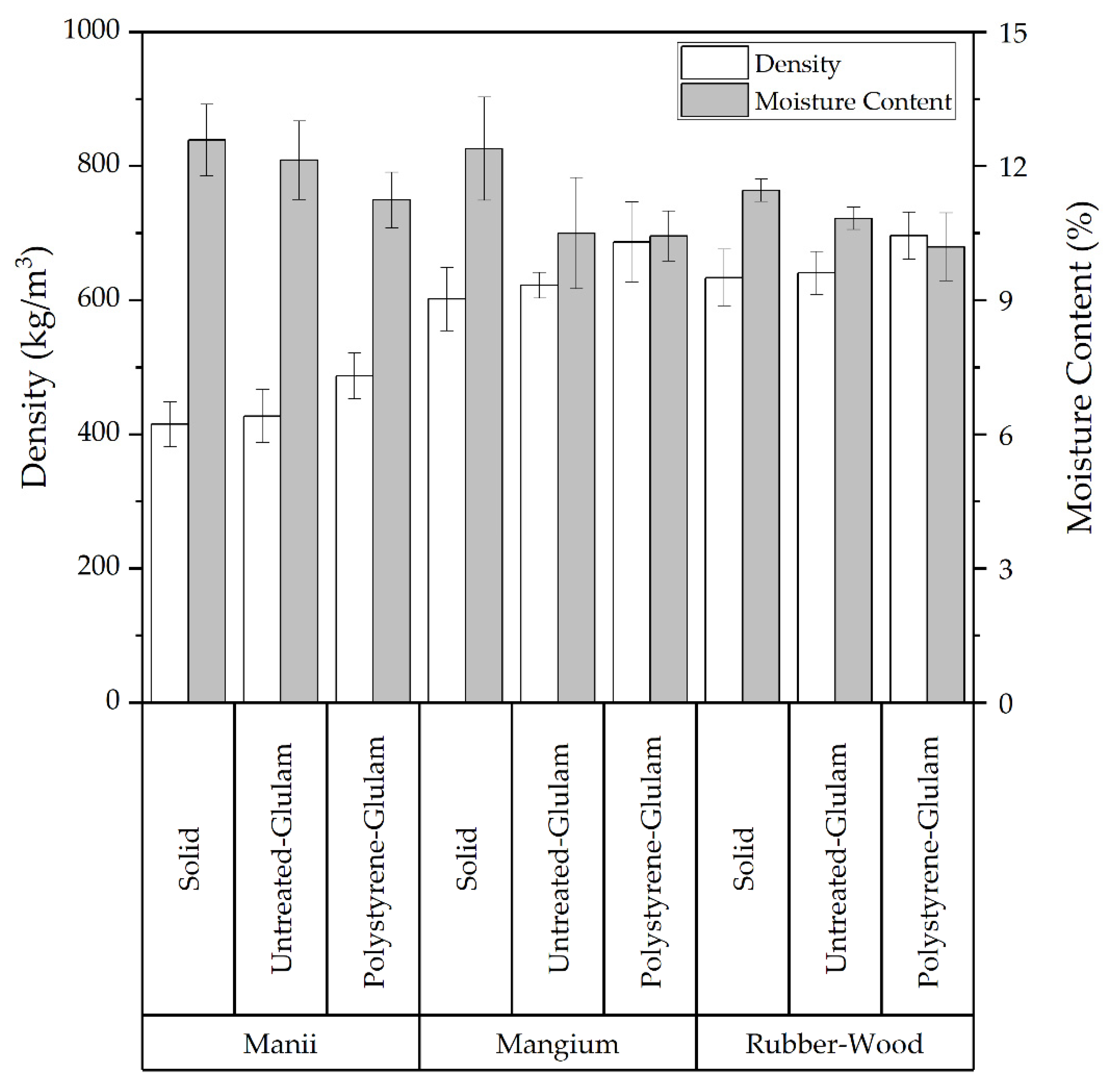
3.2. Physical Properties
3.3. Mechanical Properties
3.4. Delamination in Hot Water
4. Conclusions
Author Contributions
Funding
Institutional Review Board Statement
Informed Consent Statement
Data Availability Statement
Acknowledgments
Conflicts of Interest
References
- Indonesian Statistics Center Agency. Statistics of Forestry Production; Publication number 05230.2003, Catalog: 5601005; Indonesian Statistics Center Agency: Jakarta, Indonesia, 2020. [Google Scholar]
- Fajriani, E.; Rulle, J.; Dlouha, J.; Fournier, M.; Hadi, Y.S.; Darmawan, W. Radial variation of wood properties of sengon (Paraserianthes falcataria) and jabon (Anthocephalus cadamba). J. Indian Acad. Wood Sci. 2013, 10, 110–117. [Google Scholar] [CrossRef]
- Komariah, R.N.; Hadi, Y.S.; Massijaya, M.Y.; Suryana, J. Physical-mechanical properties of glued laminated timber made from tropical small-diameter logs grown in Indonesia. J. Korean Wood Sci. Technol. 2015, 43, 156–167. [Google Scholar] [CrossRef]
- Japan Agricultural Standard 234-2003 (JAS). Glued Laminated Timber; JAS 234-2003; Ministry of Agriculture, Forestry, and Fisheries: Tokyo, Japan, 2003. [Google Scholar]
- Lestari, A.S.R.D.; Hadi, Y.S.; Hermawan, D.; Santoso, A. Glulam Properties of Fast-growing Species Using Mahogany Tannin Adhesive. BioResources 2015, 10, 7419–7433. [Google Scholar] [CrossRef]
- Lestari, A.S.R.D.; Hadi, Y.S.; Hermawan, D.; Santosa, A. Physical and Mechanical Properties of Glued Laminated Lumber of Pine (Pinus merkusii) and Jabon (Anthocephalus cadamba). J. Korean Wood Sci. Technol. 2018, 46, 143–148. [Google Scholar] [CrossRef]
- Stolf, D.O.; Lahr, F.A.R. Wood-polymer composite: Physical and mechanical properties of some wood species impregnated with styrene and methyl methacrylate. Mater. Res. 2004, 7, 611–617. [Google Scholar] [CrossRef]
- Pelit, H.; Emiroglu, F. Density, hardness and strength properties of densified fir and aspen woods pretreated with water repellents. Holzforschung 2021, 75, 358–367. [Google Scholar] [CrossRef]
- Hadjib, N. Physical and mechanical properties of three polystyrene impregnated Indonesian wood species. J. Forest Res. 2005, 2, 75–88. [Google Scholar] [CrossRef]
- Hartono, R.; Sucahyo; Hadi, Y.S.; Jasni. Physical and mechanical properties of randu and angsana impregnated with polystyrene. In Proceedings of the First International Symposium of Indonesian Wood Research Society, Bogor, Indonesia, 2–3 November 2009; pp. 79–82. [Google Scholar]
- Budiman, I.; Purnawati, R.; Siruru, H.; Hadi, Y.S. Physical and mechanical properties of five Indonesian wood treated with polystyrene. In Proceedings of the 9th International Symposium for Sustainable Humanosphere, Bogor, Indonesia, 28–29 October 2019; IOP Conf. Series: Earth and Environmental Science 572:012039. 2020. [Google Scholar] [CrossRef]
- Syamani, F.A.; Fatriasari, W.; Budiman, I.; Hadi, Y.S. Physical-mechanical and electricity properties of polystyrene impregnated durian (Durio zibethinus Murr.) and kecapi (Sandoricum koetjape Merr.) woods. In Proceedings of the 15th National Seminar Proceedings of Indonesian Wood Research Society, Makassar, Indonesia, 6–7 November 2012. [Google Scholar]
- Liptáková, E.; Kúdela, J.; Paprzycki, O. The adhesion of polystyrene to wood. Holz Als Roh-Werkst. 1991, 49, 31–37. [Google Scholar] [CrossRef]
- Borysiuk, P.; Maminski, M.L.; Parzuchowski, P.; Zado, A. Application of polystyrene as binder for veneers bonding—the effect of pressing parameters. Eur. J. Wood Prod. 2020, 68, 487–489. [Google Scholar] [CrossRef][Green Version]
- Del Menezzi, C.H.S.; Nakamura, A.; Queiroz, F.; Couto, M. Preliminary evaluation of laminated veneer lumber bonded with expanded polystyrene. Eur. J. Wood Prod. 2016, 74, 759–761. [Google Scholar] [CrossRef]
- Hadi, Y.S.; Nawawi, D.S.; Abdillah, I.B.; Pari, G.; Pari, R. Evaluation of discoloration and subterranean termite resistance of four furfurylated tropical wood species after one-year outdoor exposure. Forests 2021, 12, 900. [Google Scholar] [CrossRef]
- Hadi, Y.S.; Massijaya, M.Y.; Abdillah, I.B.; Pari, G.; Arsyad, W.O.M. Color change and resistance to subterranean termite attack of mangium (Acacia mangium) and sengon (Falcataria moluccana) smoked wood. J. Korean Wood Sci. Technol. 2020, 48, 1–11. [Google Scholar] [CrossRef]
- Torniainen, P.; Popescu, C.-M.; Jones, D.; Scharf, A.; Sandberg, D. Correlation of Studies between Colour, Structure and Mechanical Properties of Commercially Produced ThermoWood® Treated Norway Spruce and Scots Pine. Forests 2021, 12, 1165. [Google Scholar] [CrossRef]
- Bureau of Meteorology. Climatology and Geophysics; Pusat Data Online (Center of online data), Central Database; BMKG: Jakarta, Indonesia, 2021. [Google Scholar]
- Surjokusumo, S.; Nugroho, N.; Priyono, J.; Suroso, A. Buku Petunjuk Penggunaan Mesin Pemilah Kayu Panter Versi Panter MPK-5 (Manual Operation of Wood Grading Using Panter version Panter MPK-5); Faculty of Forestry, Bogor Agricultural University: Bogor, Indonesia, 2003. [Google Scholar]
- Christie, R.M. Colour Chemistry; The Royal Society of Chemistry: Cambridge, UK, 2007. [Google Scholar]
- Hunter Lab. Application note: Hunter color scale. Insight Color 1996, 8, 1–4. [Google Scholar]
- Hrčková, M.; Koleda, P.; Koleda, P.; Barcík, S.; Štefková, L. Color change of selected wood species affected by thermal treatment and sanding. BioResources 2018, 13, 8956–8975. [Google Scholar] [CrossRef]
- Martawijaya, A.; Kartasujana, I.; Kadir, K.; Prawira, S.A. Atlas Kayu Indonesia (Indonesian Wood Atlas); Ministry of Forestry, Forestry Development and Research Agency: Bogor, Indonesia, 2014. [Google Scholar]
- ASTM [American Society for Testing and Materials]. Standard Test Methods for Small Clear Samples of Timber D 143-94; Annual Book of ASTM Standards; ASTM International: West Conshohocken, PA, USA, 2014. [Google Scholar]
- Nurhanifah; Hermawan, D.; Hadi, Y.S.; Arsyad, W.O.M.; Abdillah, I.B. Shear strength and subterranean termite resistance of polystyrene impregnated sengon (Falcataria moluccana) glulam. In Proceedings of the International Conference on Forest Products (ICFP) 2020: 12th International Symposium of IWORS, Bogor, Indonesia, 1 September 2020. IOP Conf. Series: Materials Science and Engineering 935:012052. [Google Scholar] [CrossRef]
- Ashaari, Z. Low Density Wood from Poor to Excellent; Inaugural Lecture Series; Universiti Putra Malaysia: Serdang, Malaysia, 2017. [Google Scholar]
- Kadir, K. Kadar Air Kering Udara di Bogor (Air Dry Moisture Content in Bogor); Report No. 12; Forest Products Research Institute: Bogor, Indonesia, 1973. [Google Scholar]
- Viet, D.D.; Ma, T.; Inagaki, T.; Kim, N.T.; Chi, N.Q.; Tsuchikawa, S. Physical and mechanical properties of fast growing polyploid acacia hybrids (A. auriculiformis × A. mangium) from Vietnam. Forests 2020, 11, 717. [Google Scholar] [CrossRef]
- Han, X.; Wang, Z.; Zhang, Q.; Pu, J. An effective technique for constructing wood composite with superior dimensional stability. Holzforschung 2020, 74, 435–443. [Google Scholar] [CrossRef]
- Blaskova, G.; Tashev, A.; Bardarov, N. Structure, properties and possibility of use of wood of Turkish pine (Pinus brutia Ten.). In Proceedings of the Second Scientific-Technical Conference Innovations in Woodworking Industry and Engineering Design, Yundola, Bulgaria, 6–8 November 2009; pp. 67–71. [Google Scholar]







| Strength Class | Specific Gravity | MOR (MPa) |
|---|---|---|
| I | >0.90 | >107.9 |
| II | 0.60–0.90 | 71.1–107.9 |
| III | 0.40–0.60 | 49.0–71.1 |
| IV | 0.30–0.40 | 35.3–49.0 |
| V | <0.30 | <35.3 |
| Parameter | Density | Weight % Gain | Moisture Content |
|---|---|---|---|
| Wood species | ** | ** | ** |
| Wood product | ** | na | ** |
| Parameter | Wood Species | Wood Product | ||||
|---|---|---|---|---|---|---|
| Manii | Mangium | Rubber-Wood | Solid Wood | Untreated Glulam | Polystyrene Glulam | |
| Density | 439 a | 637 b | 656 b | 550 c | 562 c | 625 d |
| Weight % gain | 16.9 a | 16.1 a | 12.3 b | na | na | na |
| Moisture content | 12.0 a | 11.1 b | 10.8 b | 12.1 c | 11.2 d | 10.6 d |
| Wood Species | Wood Product 1 | MOR (MPa) | Strength Class 2 | MOE (GPa) | Shear Strength (MPa) | Wood Failure (%) | Hardness (MPa) |
|---|---|---|---|---|---|---|---|
| Manii | Solid wood | 42.7 (3.3) | IV | 4.5 (0.4) | 6.2 (1.1) | - | 22.8 (2.4) |
| Untreated glulam | 61.7 (4.9) | III | 6.8 (0.4) | 4.3 (0.5) | 73 (31) | 25.6 (2.2) | |
| PS Glulam | 48.6 (3.2) | IV | 5.7 (0.5) | 3.9 (0.5) | 48 (34) | 32.2 (3.3) | |
| Mangium | Solid wood | 79.4 (8.4) | II | 10.5 (1.5) | 5.1 (1.2) | - | 49.8 (5.6) |
| Untreated glulam | 102.1 (9.0) | II | 12.1 (1.1) | 4.9 (2.2) | 28 (26) | 64.0 (6.2) | |
| PS Glulam | 81.6 (7.6) | II | 11.3 (0.6) | 4.7 (1.6) | 13 (5) | 66.3 (3.6) | |
| Rubber-wood | Solid wood | 50.5 (8.6) | III | 6.1 (0.6) | 8.0 (1.1) | - | 56.0 (4.4) |
| Untreated glulam | 72.7 (4.4) | II | 8.3 (0.4) | 6.8 (2.1) | 25 (14) | 57.1 (6.1) | |
| PS Glulam | 64.9 (8.7) | III | 7.5 (0.9) | 6.2 (2.3) | 55 (27) | 64.9 (6.3) | |
| JAS 234-2003 | Min. 28.8 | Min. 7.2 | Min 5.2 | ||||
| Parameter | MOR | MOE | Shear Strength | Wood Failure | Hardness | Delamination |
|---|---|---|---|---|---|---|
| Wood species | ** | ** | ** | ** | ** | ns |
| Wood product | ** | ** | ** | ns | ** | ns |
| Parameter | Wood Species | Wood Product | ||||
|---|---|---|---|---|---|---|
| Manii | Mangium | Rubber-Wood | Solid Wood | Untreated Glulam | Polystyrene Glulam | |
| MOR | 51.0 a | 87.8 b | 62.7 c | 57.6 d | 78.8 f | 65.0 e |
| Strength class | III | II | III | III | II | III |
| MOE | 5.7 a | 11.3 c | 7.3 b | 7.1 d | 9.0 f | 8.1 e |
| Shear strength | 2.7 a | 6.0 b | 6.3 b | 6.5 d | 5.3 c | 4.9 c |
| Wood failure | 61 b | 21 a | 40 ab | - | 40 c | 39 c |
| Hardness | 26.9 a | 60.0 b | 59.3 b | 42.9 c | 48.9 d | 54.4 e |
Publisher’s Note: MDPI stays neutral with regard to jurisdictional claims in published maps and institutional affiliations. |
© 2021 by the authors. Licensee MDPI, Basel, Switzerland. This article is an open access article distributed under the terms and conditions of the Creative Commons Attribution (CC BY) license (https://creativecommons.org/licenses/by/4.0/).
Share and Cite
Hadi, Y.S.; Hermawan, D.; Sulastiningsih, I.M.; Basri, E.; Pari, G.; Pari, R.; Abdillah, I.B. Color Change and Physical-Mechanical Properties of Polystyrene-Impregnated Glulam from Three Tropical Fast-Growing Wood Species. Forests 2021, 12, 1420. https://doi.org/10.3390/f12101420
Hadi YS, Hermawan D, Sulastiningsih IM, Basri E, Pari G, Pari R, Abdillah IB. Color Change and Physical-Mechanical Properties of Polystyrene-Impregnated Glulam from Three Tropical Fast-Growing Wood Species. Forests. 2021; 12(10):1420. https://doi.org/10.3390/f12101420
Chicago/Turabian StyleHadi, Yusuf Sudo, Dede Hermawan, Ignasia Maria Sulastiningsih, Efrida Basri, Gustan Pari, Rohmah Pari, and Imam Busyra Abdillah. 2021. "Color Change and Physical-Mechanical Properties of Polystyrene-Impregnated Glulam from Three Tropical Fast-Growing Wood Species" Forests 12, no. 10: 1420. https://doi.org/10.3390/f12101420
APA StyleHadi, Y. S., Hermawan, D., Sulastiningsih, I. M., Basri, E., Pari, G., Pari, R., & Abdillah, I. B. (2021). Color Change and Physical-Mechanical Properties of Polystyrene-Impregnated Glulam from Three Tropical Fast-Growing Wood Species. Forests, 12(10), 1420. https://doi.org/10.3390/f12101420

