Abstract
Research Highlights: Differentiation of Scots pine forests of the class Vaccinio-Piceetea in Poland has been the subject of numerous studies, including revisions. Despite that, the area of southwestern Poland was hitherto practically unexplored in this respect. Background and Objectives: The aim of this work was therefore (i) to present the diversity of the pine forests in the Sudetes and their foreland; (ii) to compare the ecology of studied communities. Materials and Methods: We analyzed 175 phytosociological relevés collected between 1991 and 2020 in natural and anthropogenic pine stands. To identify vegetation types, we used the modified TWINSPAN algorithm; principal coordinate analysis, distance-based redundancy analysis and permutational tests were applied to identify the variation explained and the main environmental gradients shaping the studied plant communities. Results: Five associations were distinguished: thermophilous Asplenio cuneifolii-Pinetum sylvestris Pišta ex Husová in Husová et al. 2002, which develops on shallow soils over ultrabasic substrates, Hieracio pallidi-Pinetum sylvestris Stöcker 1965, which prefers outcrops of acidic rocks; Betulo carpaticae-Pinetum sylvestris Mikyška 1970, which is relict in origin and occurs on the upper Cretaceous sandstones, the peatland pine–birch forests of the Vaccinio uliginosi-Betuletum pubescentis Libbert 1933 and the Vaccinio myrtilli-Pinetum sylvestris Juraszek 1928. Moreover, community Brachypodium sylvaticum-Pinus sylvestris with the occurrence of many thermophilous and basiphilous species was also found on limestone substratum. The analysis of the species composition of pine plantations established on deciduous and mixed forests habitats revealed that these anthropogenic communities were marked by a random combination of species in which a certain group of common forest generalists participated. The distinguished communities differed clearly among each other also in habitat characteristics. Particularly important for their differentiation were soil reaction and nutrients, supported by differences in moisture, temperature and light availability. Apart from the edaphic factors, altitude and the bedrock type proved to be equally important. Conclusions: Our study provides new remarks to the typology and synecology of pine forest communities in SW Poland.
1. Introduction
The history of research on pine forests in Poland dates back to the 1930s of the previous century []. However, more intensive investigations began at the turn of the 1950s and 1960s [,,], and they continue today. Over the last seventy years, there have been several revisions on the national scale relating both to the phytosociological diversity of pine forests [,,,] and the main changes they undergo []. However, it should be emphasized that the data underlying the abovementioned studies were mostly from lowland areas; therefore, they could not capture the full diversity of pine forest stands in the Sudetes mountains and their foreland. According to these studies [,], in the Sudetes and their foreland there are only three associations within pine forests of the Dicrano-Pinion sylvestris (Libbert 1933) W. Mat. 1962 alliance: mesic Leucobryo-Pinetum W. Mat. (1962) 1973, dry Cladonio-Pinetum Juraszek 1927 and moist Molinio caerulae-Pinetum W. Mat. & J. Mat. 1973. The rocky Betulo carpaticae-Pinetum Mikyška 1970 association has also been described [], but so far the concept of its distinction has not been accepted either in the Czech [] or Polish phytosociological literature [,].
Although the first studies on phytosociological differentiation of the Sudetic pine forests date back to the late 1960s [], over the next 60 years only 50 relevés were published from this area—including mixed pine forests and pine plantations [,,,]. Moreover, pine forest communities were distinguished only on a local scale, usually within nature reserves or at most a single microregion (i.e., a mountain range) and described syntaxa were adopted from national revisions without critical assessment. As the consequence, almost all phytosociological material from this area was included in the collective association Leucobryo-Pinetum, even when it represented monocultures and as such did not provide comprehensive information on the real range and diversity of these communities in the Sudetes mountains and their foreland.
The situation may have changed with both the emergence of new analytical tools based on numerical methods and the access to international databases allowing direct comparisons of communities from different geographical regions [,]. Consequently, traditional classification systems of forest communities in Central Europe have started to modify quickly, and many of the syntaxonomic units described from individual countries have been downgraded or renamed to synonyms, e.g., [,,,]. The final framework for the division into higher units (up to the level of alliance) is provided by the study of Mucina et al. [], to which the national classification systems should be gradually adapted. This whole process created a space where the new approach could be implemented not only in the data analyses but also in the interpretation of the results from a broader—international—perspective.
Based on the current state of knowledge, it is obvious that the diversity of pine forests in SW Poland is insufficiently recognized. The aim of this work is therefore (i) to present the diversity of the Vaccinio-Piceetea pine forests in the Sudetes and their foreland; (ii) to compare the ecology of studied communities.
2. Materials and Methods
2.1. Study Area
Our research was conducted on the whole area of the Sudetes—mountain range in Southwestern Poland—and their foreland (Figure 1). The study area is the part of the Bohemian Massif—a geological unit covering a large part of the Czech Republic and parts of Austria, Germany and Poland. The massif is built of crystalline rocks—Paleozoic and Precambrian in origin which were deformed during the Variscan Orogeny and then covered by younger layers of Cretaceous sandstone with numerous remnants of Miocene volcanic activity. The part of the Bohemian Massif on the Polish side which embraces the Sudetes mountains and their foreland is characterized by varied geological structure and diverse relief forms []. It extends from the gentle hills in the north, which are covered by a thick layer of postglacial loess, through isolated hills of the Ślęża ophiolite massif up to the Sudetes mountains with steep slopes, isolated rocks and deep river valleys in the south. The altitude span varies from 120 m a.s.l. in the north to 1602 m. a.s.l. reaching the highest summit of the Sudetes mountains-Śnieżka Mt. It is worth mentioning here that pine forests occur up to 910 m a.s.l. Among the most common soil types connected with the studied communities are podzols, cambisols and rankers. The average annual temperature varies from 8.7 °C in the north to 0.6 °C for the top of Śnieżka Mt. The average annual rainfall varies from ca 600 mm in the foreland up to 1370 mm in the highest parts of the mountains [].

Figure 1.
Area of investigation. Red dots represent analyzed relevés of the Scots pine forest in SW Poland.
2.2. Field Sampling
Vegetation composition was sampled by using phytosociological relevés according to the Braun-Blanquet approach []. Field sampling was conducted from 1991 to 2020. We focused on not only potentially natural pine forests (rock outcrops, peat bogs), but also anthropogenic stands. Collected data originated from the stands where Scots pine’s cover reached more than 25% in the tree layer. The relevés area ranged from 25 square m up to 400 square m (on flat stands and within floristically homogenous plots). The inclusion of relevés of less than 100 square m to document the full variability of Pinus sylvestris L. communities was necessary because most of the sites within hard-to-reach places on rock ledges and pinnacle rocks have an area of 25–50 square meters. Excluding them from the analysis would mean omitting a key part of ecological and phytosociological diversity of the studied communities.
2.3. Environmental Variables
In order to identify ecological conditions of the pine forests within the study area, different environmental variables were analyzed. Altitude (measured in m a.s.l. and divided by 1000 to standardize value), heat load [] and bedrock type were used as explanatory variables. The bedrock type at each site was obtained from a Detailed Geological Map of the Sudetes mountains. (Polish Geological Institute, National Research Institute, http://sudety.pgi.gov.pl/). Based on the criterion of mineral composition and major geological processes [], nine categories of rocks were proposed as explanatory variables: Quaternary deposits (sands, clays and gravels), Quaternary peat bogs, serpentines, limestones, metamorphic rocks (gneisses, schists, mud- and claystones, greywackes, Paleozoic conglomerates), granitoids, trachytes and two kinds of sandstones—very different in terms of their properties. The first one labelled as Upper Jointed Sandstone of Late Turonian/Coniacian age [] is subjected to very slow weathering processes; therefore, only initial podzols derive from it. The second one labelled as Lower Jointed Sandstone (Coenomanian/early Turonian) has got structures that are more prone to weathering; thus, deeper podzols and even cambisols derive from it. Heat load index (HL), is a direct measure of incident radiation calculated from slope inclination, aspect and latitude [].
As there were no direct measurements of light and soil condition Ellenberg indictor values (EIVs) [], corrected by datasets of Berg et al. [] with reference to values of continentality were used. EIVs weighted by percentage species’ cover were calculated for each relevé using the JUICE software [].
2.4. Phytosociological Analysis
Occurrences of the same woody species in different vertical layers were merged using the procedure implemented in JUICE—under the assumption that the overlap of layers is random [,]. Plant nomenclature follows Euro+Med PlantBase [] for vascular plants and Ochyra et al. [] and Fałtynowicz [] for bryophytes and lichens, respectively. The nomenclature of phytosociological alliances and classes is in accordance with Mucina et al. [].
The vegetation types were identified using a modified TWINSPAN algorithm [] with Total Inertia measure of heterogeneity using JUICE software []. The obtained number of clusters coincided with the results of crispness analysis [], suggesting the division of relevés into nine groups.
Diagnostic species were determined using the Φ coefficient as a measure of fidelity for clusters of equalized size [,,]. Species with Φ ≥ 20 (0.10 × 100), constancy ≥ 20%, constancy ratio [] higher than 1.5 and significant concentration in a particular cluster, tested by the Fisher’s exact test (p < 0.05), were considered to be diagnostic. A species was considered diagnostic for more than one cluster with the Φ > 20 (0.2 × 100) in at least two clusters, regardless of the constancy ratio. Species with constancy ratio < 1.5 and Φ > 20 in only one cluster were not considered diagnostic. Constant species were defined as species with frequency of at least 60% in a cluster. Distribution maps of the recognized clusters were prepared using DMAP software [].
2.5. Ecological Analysis
Principal coordinate analysis (PCoA) [] was performed both to explore differentiation of recognized clusters and check the percentage of variation explained. Matrix of distance (175*175) was calculated using Sorensen distance and square-root species cover transformation. Distribution of the sample groups on PCoA diagram was visualized and interpreted.
To identify the statistical significance of correlations (using Spearman’s coefficient) between the PCoA sample scores obtained from CANOCO and mean randomized EIVs for relevés a modified permutation test with 499 unrestricted permutations was conducted. The test was performed with MoPeT_v1.2.r script [] in R software []. Permutational analysis of variance (one-way ANOVA on the mean randomized EIVs) and modified permutation test (with 499 unrestricted permutations) were also calculated using MoPeT_v1.2.r [], to determine which EIVs differentiate the selected communities. Using permutation ANOVA is an alternative to other tests under non-normal conditions, because it does not operate under the assumption of normality and uses actual scores [].
Distance-based redundancy analysis (db-RDA) embedded in CANOCO 5.0 [], with Sorensen distance and square-root species transformation, was implemented to check the main ecological drivers affecting the diversity of distinct groups, and variation explained []. A standard Monte Carlo permutation test with 499 unrestricted permutations under the full model was conducted to identify the significance of the simple term and conditional effects of environmental variables (such as altitude, heat load and bedrock type) on the species composition of the analyzed samples []. The conditional effect expresses the variation explained by a single explanatory variable, whereas the others are used as covariables. The simple effect expresses the variation explained by the single explanatory variable without covariables.
3. Results
In the analyzed material we distinguished nine groups of Scots pine forests (both natural and semi-natural, and planted, Table 1, Figure 2 and Figure 3), clearly different from each other in terms of the species composition and main ecological indicators (Table 2 and Table 3, Figure 4 and Figure 5).

Table 1.
Summarized synoptic table of the 175 relevés of Scots pine forest communities of the Vaccinio-Piceetea class in the Sudetes mountains and their foreland (SW Poland). The positive Φ coefficient values (multiplied by 100) are presented as superscripts. Diagnostic species (Φ > 20 and constancy ratio > 1.5) are shaded in grey. Among accompanying species, only the most common ones are included in the table.

Figure 2.
Distribution of relevés of Scots pine forests collected in the Sudetes mountains and their foreland and belonging to particular clusters. Explanation 1—comm. Brachypodium pinnatum-Pinus sylvestris; 2—Asplenio cuneifolii-Pinetum sylvestris; 3—Hieracio pallidi-Pinetum sylvestris; 4—Vaccinio myrtilli-Pinetum sylvestris; 5—Betulo carpaticae-Pinetum sylvestris; 6—Vaccinio uliginosi-Betuletum pubescentis; 7—comm. Pinus sylvestris-Impatiens parviflora; 8—comm. Pinus sylvestris-Prunus serotina; 9—comm. Pinus sylvestris-Molinia caerulea.

Figure 3.
PCoA diagram for the 175 vegetation plots of the Scots pine forests in the Sudetes mountains and their foreland (SW Poland). The numbers of centroids are compatible with Figure 2. Groups 1 and 2 refer to thermophilic forests on basic and ultrabasic substrata; group 3 and 4 represent acidophilic stands (extremely dry and moderately moist) and clusters from 7 to 9 are anthropogenic pine plantations. Isolated positions of 5 (oligothermic Betulo carpaticae-Pinetum sylvestris) and 6 (bog woodland of Betulo pubescensis-Vaccinietum uliginosi) associations are clearly discernible.

Table 2.
Significance of Spearman’s rank correlation of mean EIVs with two main PCoA axes within the Scots pine forests in the Sudetes and their foreland using a modified permutation test.

Table 3.
The simple terms and conditional effects of the environmental variables analyzed on the species compositions of the distinguished pine forest communities identified using dbRDA and Monte Carlo permutation test. Lambda—variance explained by the environmental variable (in %).

Figure 4.
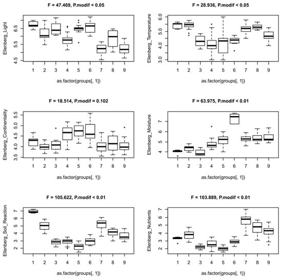
Summary box-and-whisker plots of mean Ellenberg’s indicator values (EIVs) for clusters recognized within Scots pine forests of the Sudetes and their foreland (SW Poland) produced by one-way ANOVA. The central line of each box indicates the median value; box boundaries the lower (25%) and upper (75%) quartiles; and whiskers the range of values. P.modif was calculated using a modified permutation test of significance for analysis of mean Ellenberg indictor values (EIVs); F—test statistic. Numbers of clusters are the same as in Figure 2.

Figure 5.
Db-RDA plot of samples of the Scots pine forest communities overlaid with environmental variables. Numbers of groups (clusters) are compatible with Figure 2. Explanation: ALT—altitude, HL—heat load.
3.1. Natural Or Semi-Natural Communities
Among the analyzed material, six groups (clusters) of the relevés represent natural or semi-natural phytocoenoses, possible for phytosociological identification, even if some of their patches are anthropogenic in character. The identified phytocoenoses can be arranged according to the following syntaxonomic classification.
Class. Vaccinio-Piceetea Br.-Bl. in Br.-Bl. et al. 1939.
Ordo Pinetalia sylvestris Oberd. 1957.
All. Dicrano-Pinion sylvestris (Libbert 1933) W. Matuszkiewicz 1962 nom. conserv. propos
- Community Brachypodium pinnatum-Pinus sylvestris prov.
- Asplenio cuneifolii-Pinetum sylvestris Pišta ex Husová in Husová et al. 2002.
- Hieracio pallidi-Pinetum sylvestris Stöcker 1965.
- Vaccinio myrtilli-Pinetum sylvestris Juraszek 1928.
- Betulo carpaticae-Pinetum sylvestris Mikyška 1970.
Ordo Vaccinio uliginosi-Pinetalia sylvestris Passarge 1968.
All. Vaccinio uliginosi-Pinion sylvestris Passarge 1968.
- 6.
- Vaccinio uliginosi-Betuletum pubescentis Libbert 1933.
Non-hierarchical phytocenons (artificial forest) within Pinetalia sylvestris Oberd. 1957
- 7.
- Comm. Pinus sylvestris-Impatiens parviflora.
- 8.
- Comm. Pinus sylvestris-Prunus serotina.
- 9.
- Comm. Pinus sylvestris-Molinia caerulea.
Cluster 1—community Brachypodium pinnatum-Pinus sylvestris (non Brachypodio pinnati-Pinus sylvestris Michalko 1980)
Number of relevés: 5
Diagnostic species: Anthyllis vulneraria, Brachypodium pinnatum, Campanula rotundifolia, Carlina vulgaris, Centaurea jacea, Ceratodon purpureus, Cornus sanguinea, Encalypta streptocarpa, Epipactis atrorubens, Euphorbia cyparissias, Fragaria viridis, Frangula alnus, Galium album, Hieracium murorum, H. vulgatum, Leontodon autumnalis, Leucanthemum vulgare, Lotus corniculatus, Origanum vulgare, Pimpinella saxifraga, Poa compressa, Potentilla tabernaemontani, Salix caprea, Sanguisorba minor, Scabiosa ochroleuca, Solidago virgaurea, Syntrichia ruralis, Thymus pulegioides, Viola hirta.
Constant species: Betula pendula, Brachypodium pinnatum, Campanula rotundifolia, Carlina vulgaris, Ceratodon purpureus, Cornus sanguinea, Encalypta streptocarpa, Euphorbia cyparissias, Frangula alnus, Galium album, Hieracium murorum, Lotus corniculatus, Origanum vulgare, Pimpinella saxifraga, Pinus sylvestris, Poa compressa, Potentilla tabernaemontani, Salix caprea, Sanguisorba minor, Scabiosa ochroleuca, Solidago virgaurea, Sorbus aucuparia, Thymus pulegioides.
So far, the community has been known from only one site, where it develops on screes and steep, south-facing slopes, in an abandoned limestone quarry (artificial habitat) near the village of Rochowice (Kaczawskie mountains). The exploitation of limestone finished after the World War II, and since then the quarry has been subjected to gradual succession processes. Therefore, the afforestation of the slopes, even though it concerns an anthropogenic site, it is purely natural and the quarry itself is a local hotspot of rare and endangered calciphytic flora. The community has the character of an open forest with the dominance of low-growing pine and a high share of Betula pendula Roth. Early succession species such as Sorbus aucuparia L., Frangula alnus Mill. and Salix caprea L. are also common. The understory is composed of species typical of calcareous screes and thermophilic grasslands, while forest species of the Vaccinio-Piceetea class are almost absent. With regard to the composition of species, we draw attention to the fact that the tree and shrub layers are composed of acidophilic species, while the undergrowth is rather basiphilous. Community is marked by high EIV for soil reaction, high EIV for temperature and low EIV for moisture (Figure 4). It is one of the richest in species Scots pine forest communities in the Sudetes—there are on average 26.6 plant species per relevé. The community develops at altitude 450–460 m a.s.l.
Cluster 2—Asplenio cuneifolii-Pinetum sylvestris Pišta ex Husová in Husová et al. 2002
Number of relevés: 22
Diagnostic species: Achillea millefolium, Asplenium cuneifolium, Brachypodium pinnatum, Calamagrostis arundinacea, C. epigejos, Campanula rotundifolia, Centaurea stoebe, Danthonia decumbens, Euphorbia cyparissias, Fallopia dumetorum, Festuca ovina, Fragaria vesca, Galium rotundifolium, G. verum, Genista tinctoria, Hieracium pilosella, H. sabaudum, Hylotelephium maximum, Hypericum montanum, H. perforatum, Luzula luzuloides, Lychnis viscaria, Melica nutans, Moehringia trinervia, Phleum phleoides, Pimpinella saxifraga, Poa nemoralis, P. angustifolia, Polypodium vulgare, Potentilla alba, Prunus avium, Pyrus communis agg., Robinia pseudoacacia, Rosa canina, Rubus fruticosus agg., Rumex acetosella, Quercus petraea, Silene vulgaris, Thymus pulegioides, Viola canina, V. riviniana.
Constant species: Achillea millefolium, Avenella flexuosa, Calamagrostis epigejos, Campanula rotundifolia, Festuca ovina, Galium verum, Lychnis viscaria, Pimpinella saxifraga, Pinus sylvestris, Prunus avium, Quercus petraea, Rubus fruticosus agg., Silene vulgaris, Sorbus aucuparia, Vaccinium myrtillus.
These are mostly open-canopy, managed and even-aged forests of Pinus sylvestris on shallow soils derived from serpentine or peridotite bedrock. However, there are some sites known with spontaneous Scots pine regeneration. On such localities the Scots pine trees are dwarf and looks malnourished, in contrast to young trees with straight trunks on intensively managed stands. Rich in species herb layer (mean 32 species per relevè) contains a differentiated composition of grasses, dwarf shrubs and thermophilic forbs, with many locally rare or endangered species. Community stands out from the other of Scots pine forests by the frequent occurrence of Silene vulgaris (Moench) Garcke, Galium verum L., Asplenium cuneifolium Viv. and Potentilla alba L., which locally prefers serpentine soils. This is rare community, known from four isolated localities in the Grochowa Massif (Pogórze Paczkowskie Plateau), Kiełczyńskie and Oleszeńskie Hills (Ślęża ophiolite massif) and near Janowice (Rudawy Janowickie mountains). This community is characterized by high EIVs for nutrients and temperature, and low EIV for moisture (Figure 4). The community develops at altitude 320–460 m a.s.l.
On deeper soils derived from serpentine bedrock Pinus-dominated communities are developed usually as artificial forest, included in cluster 9, rarely 7 (see Figure 5), with dominance of mesophytic forest generalists and the absence of thermophilic species typical of open canopy forests.
Cluster 3—Hieracio pallidi-Pinetum sylvestris Stöcker 1965
Number of relevés: 10
Diagnostic species: Calluna vulgaris, Ceratodon purpureus, Cladonia macilenta, C. uncialis, Grimmia pulvinata, Fagus sylvatica, Polytrichum piliferum, Vaccinium vitis-idaea
Constant species: Avenella flexuosa, Calluna vulgaris, Ceratodon purpureus, Cladonia macilenta, Fagus sylvatica, Picea abies, Pinus sylvestris, Sorbus aucuparia, Vaccinium myrtillus, V. vitis-idaea.
Mixed, dwarf and open canopy Scots pine forests, usually with the share of Fagus sylvatica L., Picea abies (L.) H. Karst. and Betula pendula in the tree layer. Understory is very scarce and poor in species (mean 13.4 species per relevé), mainly dwarf ericoid shrubs, trees juveniles, thermophilic mosses and lichens occur here. Phytocoenoses belonging to this association are known from initial soils developed over granite rocks at altitudes from 480 m to 650 m a.s.l. They are probably of both natural and relict origin and have never been subjected to regular forest management. So far only three localities of this community have been known—all in the Western Sudetes—Chojnik Mt in the Karkonosze mountains, Witosza Mt and Krzyżna Mt near Jelenia Góra. However, it is still possible to find other, new sites. The community is marked by low EIVs for moisture, soil reaction and nutrients (Figure 4).
Cluster 4—Vaccinio myrtilli-Pinetum sylvestris Juraszek 1928 (incl. Leucobryo-Pinetum W. Matuszkiewicz 1962)
Number of relevés: 33
Diagnostic species: Dicranella heteromalla, Dicranum polysetum, D. scoparium, Hylocomium splendens, Hypnum cupressiforme agg., Leucobryum glaucum, Pleurozium schreberi, Vaccinium vitis-idaea.
Constant species: Avenella flexuosa, Betula pendula, Dicranum scoparium, Hypnum cupressiforme agg., Picea abies, Pinus sylvestris, Vaccinium myrtillus, V. vitis-idaea.
This is the most common association in the study area. It occurs on rocky outcrops on steep slopes in the areas of acidic bedrocks (granites, gneisses); on deep soils resulting from weathering serpentinites; on other neutral rocks; and on weathered and blown sands and the podzolic soils derived from them. In most cases, its phytocoenoses are of anthropogenic origin. However, in some localities in the Sudetes they may be close to natural in character, as evidenced by the natural habit of trees, which is not the result of forest management pressure. Herb layer is extremely poor (13 species per relevé) and consists of the common species of acidophilic grasses and ericoid dwarf shrubs; acidophilic bryophytes often dominate or co-dominate here. The community is marked by low EIVs for moisture, soil reaction and nutrients (Figure 4), and develops at altitudes from 220 m to 735 m a.s.l.
Cluster 5—Betulo carpaticae-Pinetum sylvestris Mikyška 1970
Number of relevés: 20
Diagnostic species: Betula pubescens var. glabrata, Calluna vulgaris, Cetraria islandica, Cladonia macilenta, Dicranum scoparium, Empetrum nigrum subsp. nigrum, Pinus x rhaetica, Vaccinium uliginosum, V. vitis-idaea.
Constant species: Betula pubescens var. glabrata, Calluna vulgaris, Cladonia macilenta, Dicranum scoparium, Picea abies, Pinus sylvestris, Vaccinium myrtillus, V. vitis-idaea.
The community occurs only in the highest parts of the Stołowe mountains (from 760 m up to 905 m a.s.l.), on the initial soils derived from sandstone. The best-developed patches occupy the flat tops of sandstone monoliths (Szczeliniec Wielki and Mały Mt., Błędne Skały nature reserve), they are also found on ledges on steep slopes and on the tops of rock monoliths along their edges (Narożnik Mt., Ptak Mt and Skalniak Mt). The community is extremely species-poor (on average only 9.25 species per relevé), however, it is composed of unique set of species rare in the Sudetes. Although it is often found on almost solid rock, it is distinguished by the presence of species typical for peat bogs, such as Vaccinium uliginosum L. or Pinus x rhaetica Brūgger. A special feature is the presence of high-mountain forms of Betula pubescens Ehrh. similar to var. glabrata and relict, postglacial populations of Pinus sylvestris. The community is marked by the lowest EIVs for temperature, soil reaction and nutrients of all the syntaxa described in this study (Figure 4).
All. Vaccinio uliginosi-Pinion sylvestris Passarge 1968—bog woodlands
Cluster 6—Vaccinio uliginosi-Betuletum pubescentis Libbert 1933
Number of relevés: 8
Diagnostic species: Betula pubescens var. pubescens, Carex acutiformis, C. leporina, C. nigra, C. panicea, C. rostrata, Eriophorum angustifolium, E. vaginatum, Juncus effusus, Lysimachia vulgaris, Molinia caerulea subsp. arundinacea, Polytrichum commune, Salix aurita, Sphagnum fallax, S. palustre, Trientalis europaea.
Constant species: Betula pubescens var. pubescens, Carex rostrata, Eriophorum vaginatum, Juncus effusus, Molinia caerulea subsp. arundinacea, Picea abies, Pinus sylvestris, Polytrichum commune, Quercus petraea, Sphagnum fallax, S. palustre, Vaccinium myrtillus.
This very rare community has been known so far from only three localities—one in the Trzcińskie Mokradła peat-bog (Kotlina Jeleniogórska) and two in the Stołowe mountains, where it develops on drained moors on sandstone plateau. The phytocoenoses are loose; the cover of the tree layer reaches 40%–50%; however, in contrast to the remaining natural or semi-natural forests, the shrub layer is well developed, and the undergrowth is abundant, with coverage close to 90%–100%. Depending on their location, apart from Scots pine, they are co-dominated by Betula pubescens var. pubescens Ehrh. or Picea abies. In the shrub layer, the presence of Salix aurita L, S. cinera L. and Frangula alnus is significant. The understory may be dominated by graminoids (such as Molinia caerulea (L.) Moench, Eriophorum sp., Carex sp., Juncus sp.), dwarf shrubs (mainly Vaccinium myrtillus L.) and bryophytes (numerous species of the genus Sphagnum sp. and Polytrichum sp.). In these phytocoenoses on average occur 17 plant species in the relevé. The community is marked by the highest EIV for moisture from all the recorded syntaxa (Figure 4). The community develops at altitudes from 400 m to 720 m a.s.l.
3.2. Artificial Scots Pine Forests
Among the analyzed material, we also distinguished three groups of fully artificial forests dominated by Pinus sylvestris, differing in floristic composition, fertility of the habitat and soil reaction. All these communities, due to domination of Scots pine in the tree layer may be conditionally included in the Pinetalia sylvestris order as non-hierarchical phytocoenons. A characteristic feature that distinguishes them from natural or semi-natural communities (except for Vaccinio myrtilli-Pinetum, whose patches are also partially anthropogenic) is low light availability (Figure 4).
Cluster 7—Comm. Pinus sylvestris-Impatiens parviflora
Number of relevés: 39
Diagnostic species: Acer platanoides, A. pseudoplatanus, Brachypodium sylvaticum, Corylus avellana, Crataegus monogyna, Dryopteris carthusiana, D. filix-mas, Drymochloa sylvatica, Fragaria vesca, Galeopsis pubescens, Hypnum cupressiforme agg., Impatiens parviflora, Oxalis acetosella, Poa nemoralis, Prunus avium, Quercus robur, Rubus fruticosus agg., Sambucus nigra, Stellaria media, Urtica dioica.
Constant species: Acer pseudoplatanus, Dryopteris carthusiana, Impatiens parviflora, Pinus sylvestris, Quercus robur, Rubus fruticosus agg., Sorbus aucuparia.
The most common recorded community with the dominance of Pinus sylvestris, but with a constant and high proportion of nemoral species. The undergrowth includes common forest species of the Carpino-Fagetea sylvaticae Jakucs ex Passarge 1968 class (e.g., Acer platanoides L., Corylus avellana L., Brachypodium sylvaticum (Huds.) P. Beauv., Dryopteris filix-mas (L.) Schott, Drymochloa sylvatica (Pollich) Holub), along with nitrophilous (Urtica dioica L., Rubus fruticosus agg., R. idaeus L.) and alien species (Impatiens parviflora L.) is particularly common in this cluster). Among plantation forests, this community has the highest EIVs for soil reaction and nutrients, which indicates that pine was planted here on fertile habitats of deciduous forests of the Carpino-Fagetea sylvaticae class, most often in sub-mountainous locations (Carpinion betuli Issler 1931 alliance), less often in nutrient-rich beech forest habitats of the Fagetalia sylvaticae Pawł. in Pawł., Sokoł. et Wall. 1928. However, the identified combination of species indicates important transformation of the ecosystem, in which native forest species play a week role in relation to non-forest species. The mean number of species per relevé is quite high (23.6).
Cluster 8—Comm. Pinus sylvestris-Prunus serotina
Number of relevés: 14
Diagnostic species: Atrichum undulatum, Calamagrostis epigejos, Carex pilulifera, Convallaria majalis, Dryopteris carthusiana, Fallopia dumetorum, Frangula alnus, Hedera helix, Holcus mollis, Moehringia trinervia, Pleurozium schreberi, Prunus serotina, Pyrus communis agg., Quercus robur, Q. rubra, Rubus fruticosus agg., Rumex acetosella, Stellaria media, Viscum album.
Constant species: Avenella flexuosa, Calamagrostis epigejos, Dryopteris carthusiana, Frangula alnus, Moehringia trinervia, Pinus sylvestris, Pleurozium schreberi, Prunus serotina, Quercus robur, Rubus fruticosus agg., Sorbus aucuparia, Viscum album.
A lowland community characterized by a high share of mesophilous forest generalists (Dryopteris carthusiana (Vill.) H. P. Fuchs, Frangula alnus, Sorbus aucuparia), species of the forest clearings (Calamagrostis epigejos (L.) Roth, Rubus fruticosus agg.) and invasive alien species (Prunus serotina Ehrh., Quercus rubra L., Impatiens parviflora L.). Among plantation forests, these phytocoenoses are marked by intermediate values of EIVs for soil reaction and nutrients, which indicates that pine was planted here in the habitats of mesotrophic deciduous and mixed forests (poor forms of oak-hornbeam forests Tilio-Carpinetum Traczyk 1962, acidophilic oak forests of the Quercetea robori-petraeae Br.-Bl. et Tüxen ex Oberdorfer 1957 class). However, the identified combination of species indicates a complete transformation of the ecosystem, in which native forest species play a marginal role in relation to non-forest’s ones. The mean number of species per relevé is quite high (21.4). The community develops at altitudes between 120 and 320 m a.s.l.
Cluster 9—Comm. Pinus sylvestris-Molinia caerulea
Number of relevés: 24
Diagnostic species: Acer pseudoplatanus, Athyrium filix-femina, Calamagrostis arundinacea, Carex pilulifera, Corylus avellana, Dryopteris carthusiana, Fagus sylvatica, Luzula luzuloides, L. pilosa, Lysimachia vulgaris, Maianthemum bifolium, Molinia caerulea subsp. caerulea, Oxalis acetosella, Polytrichastrum formosum, Pseudoscleropodium purum, Pteridium aquilinum, Quercus rubra, Q. petraea, Rubus fruticosus agg., R. hirtus agg.
Constant species: Avenella flexuosa, Dryopteris carthusiana, Fagus sylvatica, Picea abies, Pinus sylvestris, Polytrichastrum formosum, Quercus petraea, Rubus fruticosus agg., Sorbus aucuparia, Vaccinium myrtillus.
Submountain community (as evidenced by the constant share of Luzula luzuloides (Lam.) Dandy & Wilmott or Fagus sylvatica), similarly to the previous one in terms of high share of mesophilous general forest species but with higher requirements as to the soil moisture (Athyrium filix-femina (L.) Roth, Maianthemum bifolium (L.) F. W. Schmidt, Luzula pilosa (L.) Willd., Molinia caerulea). The share of alien species is much lower here than in the two previous groups (only Quercus rubra seems to be common). Among plantation forests, this community has the lowest EIVs for soil reaction and nutrients, but a constant share of forest species (e.g., Corylus avellana, Acer pseudoplatanus L.) suggests that pine was planted here on mesotrophic deciduous and mixed forests’ habitats (submountain forms of the Tilio-Carpinetum and beech forests of the Luzulo-Fagion sylvaticae Lohmeyer et Tüxen in Tüxen 1954 alliance). Among artificial forest, this community retained its character most closely to the natural. The mean number of species per relevé is 21.4.
3.3. Ecological Differentiation
PCoA ordination diagram (Figure 3) shows a species compositional pattern within all distinguished associations and communities. The PCoA results derived from CANOCO revealed that the first and the second PCoA axes explained 13.64% and 5.92% of compositional variability of studied communities, respectively. The first PCoA axis was significantly correlated with the EIVs for soil reaction and nutrients (both p < 0.01) and for temperature (p < 0.05). The second PCoA axis was significantly correlated (p < 0.01) with the EIV for light (Table 2).
The obtain results suggest that the studied communities are arranged along the first axis from those developing on nutrient-rich substrates with higher pH and favorable thermal conditions towards poor, acidic and oligothermic sites. The second axis determines a gradient along which studied forests are distributed from shaded ones to those with loose structure and higher light availability.
ANOVA of the six EIVs for the nine relevé groups suggested that most of the analyzed factors (except for continentality index) played a significant role in shaping the diversity of the studied vegetation types (Figure 4), as reflected by p < 0.01 for soil reaction, moisture and nutrients and p < 0.05 for light and temperature.
The db-RDA revealed that the explanatory variables used in the analysis accounted for 27.26% (adjusted explained variation was 22.76%) of variation in species composition. Figure 5 presents the db-RDA diagram of studied samples and main environmental gradients derived from: altitude, heat load index and the main types of bedrock. However, their contribution to the explained variability varies depending on whether we consider simple term effects or conditional effects (Table 3).
The most important variable (both in simple and conditional effects) is altitude, but the effect of some bedrock types (especially two different kinds of sandstones, postglacial formations, limestones and serpentinites) is also significant.
4. Discussion
The present study suggests that pine forests of the Sudetes mountains and their foreland are more differentiated than previously reported in phytosociological literature. Instead of three associations of pine forests known so far, five (and one community) were distinguished, and their distinctiveness was confirmed both by the differences in species combinations and ecological conditions under which they develop.
Cluster 1 embraces phytocoenoses of pine forest communities developing on limestone substrate and classified as the community Brachypodium pinnatum-Pinus sylvestris, resembling more the Festuco-Pinion sylvestris alliance phytocoenoses than typical Dicrano-Pinion forest. These basiphilous, species-rich pine forests have been found so far neither in the Sudetes, nor in Poland at all (except for Erico-Pinetea Horvat 1959 relic Carpathian forest). They are reported in the north-western part of the Czech Republic [] and Slovakia []. Communities described from Slovakia as Brachypodio pinnati-Pinus sylvestris Michalko 1980 are very different from the Sudeten phytocoenoses, in terms of the occurrence of Carpathian and sub-Mediterranean species, such as Calamagrostis varia (Schrad.) Host, Pulsatilla helleri subsp. slavica (G. Reuss) Zāmelis, Tanacetum corymbosum subsp. subcorymbosum (Schur) Pawł., Aster amellus L., Cotoneaster melanocarpus (Bunge) Loudon, Aegonychon purpurocaeruleum (L.) Holub and Euphorbia epithymoides L. The species composition of our community is almost identical with Czech basiphilous Scots pine forests [], which are, however, probably erroneously identified with thermophilic, but acidophilous Festuco ovinae-Pinetum Kobendza 1930 association, described from rather acidic dunes in Central Poland []. The other type of subcontinental pine forests with the occurrence of thermophilous species (ass. Peucedano-Pinetum W.Mat. (1962) 1973 subass. pulsatilletosum and ass. Serratulo-Pinetum J.Mat 1981) is recorded from the central and north-western part of Poland and belongs to the Dicrano-Pinion alliance. These forests prefer poor in nutrients podzolic soils derived from Quaternary postglacial formations []. According to the Central European classification, the alliance Festuco-Pinion sylvestris is included in the separate class Pyrolo-Pinetea sylvestris Korneck 1974 embracing Euro-Siberian (sub)continental psammophilous (sub)thermophilous steppic pine forests []. Therefore, for the time being, we kept the classification of comm. Brachypodium pinnatum-Pinus sylvestris within the Dicrano-Pinion alliance. Certainly, this community requires further research based on wider phytosociological material from southern Poland.
Cluster 2 includes xerothermic pine forests developing on shallow soils formed on ultra-metamorphic bedrock, included in the Czech Republic in the Asplenio cuneifolii-Pinetum sylvestris Pišta ex Husová in Husová et al. 2002 []. The differences between phytocoenoses described from the Czech Republic and Poland are insignificant—in the Czech Republic, Erica carnea L., which is not present in Poland, is one of the diagnostic species, and Larix decidua Mill., which is a symptom of phytocoenoses deformations due to forest management, was also more frequent in the Czech stands. Other species, such as Asplenium cuneifolium, Silene vulgaris and Festuca ovina L., are diagnostic for the association in both countries. However, analogous serpentine communities in Austria (Festuco eggleri-Pinetum Eggler 1954 corr Wallnofer 1993) already differ significantly in terms of floristic composition [,]. The Asplenio cuneifolii-Pinetum sylvestris association has not been recorded in Poland so far.
Cluster 3 includes rocky, thermophilic pine forests of the Hieracio pallidi-Pinetum sylvestris Stöcker 1965 association, found so far on three sites on the peaks of granite hills in the Kotlina Jeleniogórska and its surroundings (Chojnik Mt., Witosza Mt. and Krzyżna Góra Mt.). The phytocoenoses known from Chojnik were originally described by Matuszkiewicz A. and W. [,] as Leucobryo-Pinetum, then by Świerkosz [] as Betulo carpaticae-Pinetum; the other sites have no published phytosociological documentation. Of the diagnostic species [], the most important ones are bryophytes (Polytrichum piliferum Hedw., Ceratodon purpureus (Hedw.) Brid), although one of the plots on Chojnik Mt. also recorded another important species for the diagnosis of the association, Hieracium schmidtii Tausch [] (Table 1, erroneously as “Hieracium glaucinum”). The phytocoenoses of rocky pine forests in the Sudetes are severely impoverished, probably due to their presence on the northern border of the range and a small number of typical species’ sites. They are also exposed to the invasion of alien species, especially Pseudotsuga menziesii (Mirb.) Franco. These communities require further research, especially on the associated lichen flora and the origin of the pine trees. This association has not been recorded in Poland so far, but is found in the close vicinity of its borders in the Czech Republic [] and Germany [].
Cluster 4 embraces a typical forms of mesic pine forests which are of both anthropogenic and probably natural origin, belonging to the association Vaccinio myrtylli-Pinetum with the typical species composition of vascular plants and bryophytes [,]. The part of the phytocoenoses reported in the past from the Karkonosze mountains [,], the Ślęża Massif and Oleszeńskie Hills [] and the Grochowa Massif [] under the name Leucobryo-Pinetum (earlier synonym) in fact represent Vaccinio myrtylli-Pinetum. The association is frequent throughout Central Europe [,,,,,].
The relict, rocky pine forests on the sandstones of lower mountain zone (cluster 5), occurring on both sides of the Polish-Czech border. They were first described as Betulo carpaticae-Pinetum by Mikyška [] and then reported by Passarge [] from the Zittau mountains (Zittauer Gebirge) on the Czech-German border. This is how they were treated in some synthetic studies from the Bohemian Massif [], and even suggested that they form an endemic association of this structural unit []. This concept has not yet been adopted and the name is now treated as a synonym for the Vaccinio myrtilli-Pinetum [], while the association’s distinctiveness is supported by many specific floral and ecological characteristics. Pine trees occurring here are a postglacial relicts as shown by Bobowicz [] and Krzakowa, Lisowska [] and differ significantly from the lowland populations in Poland. The closest to them, in biochemical term, populations of pine are found in Finland []. The species composition of phytocoenoses from SW Poland includes both Betula pubescens specimens with distinct features of subalpine B. pubescens var. glabrata [,] and hybrids with Betula pubescens var. pubescens []. Another species recorded in these phytocoenoses is subalpine Pinus mugo Turra and its hybrids with P. sylvestris—P. x rhaetica (=P. uliginosa Neumann) [,]. The herb layer is composed of rare in the study area species of boreocontinental range type (Empetrum nigrum L., Vaccinium uliginosum). The similarities of these phytocoenoses to subarctic ones are so clear that Kącki et al. [] proposed their inclusion in the Betuletum pubescentis var. glabratae Lohmeyer and Bohn 1962 from the class Betuletea pendulo-pubescentis Julve 2016 (now as Vaccinio myrtilli-Betuletalia pubescentis Mucina et Willner ined.) [], embracing European boreo-subarctic and orotemperate birch woods and krummholz on nutrient-poor podzolic soils. Regardless of the final solution adopted at a higher syntaxonomic level, it seems that this community should be given the status of an independent unit in the rank of an association.
Equally intriguing as the previous one is cluster 6, which includes bog pine–birch forests with the participation of Betula pubescenes var. pubescens (communities with Pinus sylvestris belonging to the class Oxycoco-Sphagnetea Br.-Bl. et Tüxen ex Westhoff et al. 1946 were not the subject of present study). The species composition of phytocoenoses included here clearly indicates their affiliation with the Vaccinio uliginosi-Betuletum pubescentis Libbert 1933 (e.g., through the presence of Salix aurita and some bog species of Cyperaceae and the lack of Rhododendron tomentosum Harmaja); in the Polish phytosociological literature this name refers to communities in the north-western part of Poland occurring in the sub-Atlantic climate range [,]. It is not known where this limitation comes from, since the association is also recorded in the southern part of Germany []; in the Czech Republic [], Austria [] and Slovakia a similar Eriophoro vaginati-Betuletum pubescentis (Hueck 1931) Passarge et Hoffmann 1968 [,] was recorded. However, in Slovakia this community is more continental in character, and is classified within the Alnetea glutinosae Br.-Bl. et R. Tx. ex Westhoff et al. 1946 or the Molinio-Betuletea pubescentis Passarge et Hofmann 1968 classes [].
In present study we also distinguished three different communities of anthropogenic pine forests established by planting Pinus sylvestris in deciduous and mixed forest habitats. Most of these patches represent anthropogenic ecosystems with random combinations of species, in which a group of common forest generalists also participates. Only the communities on nutrient-poor substrates (comm. Pinus sylvestris-Molinia caerulea) refer to the floristic composition of the native communities within the Luzulo-Fagion sylvaticae alliance.
A distinct feature of these anthropogenic and artificial forest ecosystems is the presence of non-forest species which find here optimal conditions and benefit from changes caused by forest management and other anthropogenic processes of global character—eutrophication [,], invasions of geographically alien species [,] and thermophilization—all connected with climate change and enhanced by direct human impact on forests [,]. These processes favor the entry of species which have not been present in native forest ecosystems so far, and their impact is particularly noticeable in the group of secondary (artificial) communities. The same refers to neophyte species whose presence is particularly pronounced in the discussed communities of anthropogenic character (Table 4).

Table 4.
The percentage frequency of neophytes in a given cluster, selected from the full synthetic table of the Scots pine forests, recorded in the Sudetes mountains and their foreland.
Among the neophytes, the most common are Impatiens parviflora, Quercus rubra and Robinia pseudoacacia L. for which artificial pine forests are favorable habitats, especially when compared with pine communities of natural character. Among the latter ones, neophytes were encountered only occasionally (clusters 3 and 4) or were not recorded at all (clusters 5 and 6). This suggests that anthropogenically altered forests, heavily overexposed and with a disturbed undergrowth structure, may be a kind of gateway through which alien species enter the local pool of forest communities. Such a mechanism is known and well documented from both forests [,,] and other types of ecosystems worldwide []. Research conducted in both tropical [] and temperate forests [] indicates that tree felling creating large gaps, combined with wide roads for transporting timber, enhances the penetration of alien species into native communities. The share of neophytes in the undergrowth increases as the crown density decreases []. Although many attempts of invasion fail and alien species disappear as the forest regenerates and light availability declines [], some of them become invasive. They start to modify the structure of ecosystems significantly, e.g., by limiting the growth of seedlings [], directly competing with native species and changing the physical, chemical and biotic properties of environment [,]. Among the species considered highly invasive in Europe [], and reported also during present study, at least five (Impatiens parviflora, Solidago gigantea, Quercus rubra, Robinia pseudoacacia and Prunus serotina) fully meet the definition of “transformers”—species which change the structures of ecosystems []. Their high share in forest plantations creates a serious risk of transition to native forest communities in the closest vicinity, as previously reported from many forests of tropical [] and subtropical zones [].
A similar relationship was observed for nitrophilous species (EIV ≤ 7)—Rubus fruticosus agg., Sambucus nigra L., S. racemosa L., Senecio ovatus (G. Gaertn. & al.) Hoppe, Stellaria media (L.) Cirillo, Galium aparine L., Urtica dioica L., Geum urbanum L., Elytrigia repens (L.) Nevski, Alliaria petiolata (M. Bieb.) Cavara & Grande, Geranium robertianum L., Aegopodium podagraria L., Chaerophylum temulum L., Chelidonium majus L. and Ranunculus repens L. were found only in secondary pine forests (comm. Impatiens parviflora-Pinus sylvestris, comm. Prunus serotina-Pinus sylvestris, comm. Molinia caerulea-Pinus sylvestris and ass. Asplenio cuneifolii-Pinus sylvestris). This may indicate the role that secondary forests play in the general decline of native forest biodiversity in Europe [,]. It should be emphasized that the majority of the analyzed patches are located within larger forest complexes, and the Polish rules of forest management do not require additional fertilization of plantations established in such areas. Therefore, the presence of alien and nitrophilous species can be associated with the direct impact of the management itself, i.e., the harvesting of wood and then the renewal of the area by natural or artificial pine planting.
5. Conclusions
In this study we distinguished five associations: thermophilous Asplenio cuneifolii-Pinetum sylvestris, which develops on shallow soils over ultrabasic substrates, Hieracio pallidi-Pinetum sylvestris, which prefers outcrops of acidic rocks; Betulo carpaticae-Pinetum sylvestris, which is relict in origin and occurs on the upper Cretaceous sandstones; the peatland pine–birch forests of the Vaccinio uliginosi-Betuletum pubescentis and the Vaccinio myrtilli-Pinetum sylvestris previously described as the Leucobryo-Pinetum. Moreover, community Brachypodium sylvaticum-Pinus sylvestris with the occurrence of many thermophilous and basiphilous species was also found on limestone substratum. Three of the abovementioned syntaxonomical units are new for Poland. The obtained results also indicate that the anthropogenic pine plantations established in deciduous and mixed forests habitats are marked by a random combination of species in which a certain group of common forest generalists participated. The distinguished syntaxonomical units differ clearly among each other in habitat characteristics as well. Particularly important for their differentiation are edaphic conditions reflected by soil reaction and nutrients. Studied communities show their distinctiveness also in terms of moisture, temperature, light availability, altitude and bedrock type.
Aliens, including invasive species and nitrophilous, non-forest species were recorded within secondary forest communities (comm. Impatiens parviflora-Pinus sylvestris, comm. Prunus serotina-Pinus sylvestris, comm. Molinia caerulea-Pinus sylvestris, ass. Asplenio cuneifolii-Pinus sylvestris) almost exclusively. This may indicate the general role of such secondary forests in the decreasing of native forest biodiversity not only on a local, but also on a European scale.
Author Contributions
Investigation, K.R., P.P. and K.Ś.; conceptualization, K.R. and K.Ś.; writing—original draft, K.R. and K.Ś.; writing—review and editing, K.R., P.P. and K.Ś. All authors have read and agreed to the published version of the manuscript.
Funding
This research received no external funding.
Institutional Review Board Statement
Not applicable.
Informed Consent Statement
Not applicable.
Data Availability Statement
Raw phytosociological data is available via Figshare DOI: 10.6084/m9.figshare.13595891.
Acknowledgments
We would like to thank all the anonymous reviewers whose valuable comments significantly contributed to the improvement of this paper. We also thank Stephan Hennekens for sharing the Turboveg program, which we have been using for creating our phytosociological database.
Conflicts of Interest
The authors declare no conflict of interest.
References
- Kobendza, R. Stosunki fitosocjologiczne Puszczy Kampinoskiej. Planta Pol. 1930, 2, 1–200. [Google Scholar]
- Matuszkiewicz, W. Zespoły leśne Białowieskiego Parku Narodowego. Ann. UMCS 1952, Sect. C (Suppl. 6), 1–218. [Google Scholar]
- Matuszkiewicz, W. Zur Systematik der natürlichen Kiefernwälder des mittel- u. osteuropäischen Flachlandes. Mitt. Florist. Soziol. Arbeitsgem. NF 1962, 9, 145–186. [Google Scholar]
- Matuszkiewicz, W. Tymczasowa klasyfikacja zespołów leśnych Polski. Mat. Zakł. Fitosocjol. Stos. UW 1964, 4, 1–5. [Google Scholar]
- Matuszkiewicz, W.; Matuszkiewicz, J.M. Przegląd fitosocjologiczny zbiorowisk leśnych Polski. Vol. 2. Bory sosnowe. Phytocoenosis 1973, 3, 273–356. [Google Scholar]
- Matuszkiewicz, W. Przewodnik do Oznaczania Zbiorowisk Roślinnych Polski; Państwowe Wydawnictwo Naukowe: Warszawa, Poland, 2001; p. 536. [Google Scholar]
- Matuszkiewicz, J.M. Zespoły Leśne Polski; Wydawnictwo Naukowe PWN: Warszawa, Poland, 2007; p. 357. [Google Scholar]
- Zbiorowiska Roślinne Polski. Lasy i Zarośla; Matuszkiewicz, W., Sikorski, P., Szwed, W., Wierzba, M., Eds.; Wydawnictwo Naukowe PWN SA: Warszawa, Poland, 2013; p. 517. [Google Scholar]
- Matuszkiewicz, J.M. (Ed.) Geobotanical Identification of the Development Tendencies in Forest Associations in the Regions of Poland; Stanisław Leszczycki Institute of Geography and Spatial Organization Monographies: Warszawa, Poland, 2007; Volume 8, pp. 1–976. [Google Scholar]
- Mikyška, R. Poznamky k některym borum w Čechach a v Kladsku. Preslia 1970, 42, 130–135. [Google Scholar]
- Zelený, D. Vaccinio myrtilli-Pinetum sylvestris Juraszek 1928. In Vegetace České Republiky. 4. Lesní a Křovinná Vegetace; Chytrý, M., Ed.; Academia: Praha, Czech Republic, 2013; pp. 394–398. [Google Scholar]
- Matuszkiewicz, A.; Matuszkiewicz, W. 1967. Zespoły roślinne Karkonoskiego Parku Narodowego. Cz. I. Zbiorowiska leśne. Pr. Wrocł. Tow. Nauk. Ser. B 1967, 135, 1–100. [Google Scholar]
- Matuszkiewicz, A.; Matuszkiewicz, W. Mapa zbiorowisk roślinnych Karkonoskiego Parku Narodowego. Ochr. Przyr. 1974, 40, 45–112. [Google Scholar]
- Berdowski, W. Flora mchów i zbiorowisk mszaków Masywu Ślęży. Monogr. Bot. 1974, 45, 125. [Google Scholar]
- Berdowski, W.; Radziuk, M. Szata roślinna Masywu Grochowskiego na Przedgórzu Sudeckim. Acta Univ. Wrat. Prace Bot. 1998, 74, 39–70. [Google Scholar]
- Pender, K. Lasy obszaru Wzgórz Strzelińskich i ich zbiorowiska zastępcze. II. Zbiorowiska zastępcze. Acta Univ. Wrat. Prace Bot 1990, 44, 141–255. [Google Scholar]
- Dengler, J.; Jansen, F.; Glöckler, F.; Peet, R.K.; De Cáceres, M.; Chytrý, M.; Ewald, J.; Oldeland, J.; Lopez-Gonzalez, G.; Finckh, M.; et al. The Global Index of Vegetation-Plot Databases (GIVD): A new resource for vegetation science. J. Veg. Sci. 2011, 22, 582–597. [Google Scholar] [CrossRef]
- Dengler, J.; Oldeland, J.; Jansen, F.; Chytrý, M.; Ewald, J.; Finckh, M.; Glöckler, F.; Lopez-Gonzalez, G.; Peet, R.K.; Schaminée, J.H.J. Vegetation databases for the 21st century. Biodivers. Ecol. 2012, 4, 1–447. [Google Scholar] [CrossRef]
- Willner, W. Syntaxonomische Revision der südmitteleuropäischen Buchenwälder. Phytocoenologia 2002, 32, 337–453. [Google Scholar] [CrossRef]
- Chytrý, M. (Ed.) Vegetace České Republiky 4. Lesní a Křovinná Vegetace. Vegetation of the Czech Republic 4. Forest and Scrub Vegetation; Academia: Praha, Czech Republic, 2013; p. 551. [Google Scholar]
- Douda, J.; Boublík, K.; Slezák, M.; Biurrun, I.; Nociar, J.; Havrdová, A.; Doudová, J.; Aćić, S.; Brisse, H.; Brunet, J.; et al. Vegetation classification and biogeography of European floodplain forests and alder carrs. Appl. Veg. Sci. 2016, 19, 147–163. [Google Scholar] [CrossRef]
- Novák, P.; Willner, W.; Zukal, D.; Kollár, J.; Roleček, K.; Świerkosz, K.; Ewald, J.; Wohlgemuth, T.; Csiky, K.; Onyshchenko, V.; et al. Oak-hornbeam forests of Central Europe: A formalized classification and syntaxonomic revision. Preslia 2020, 92, 1–34. [Google Scholar] [CrossRef]
- Mucina, L.; Bültmann, H.; Dierßen, K.; Theurillat, J.-P.; Dengler, J.; Čarni, A.; Šumberová, K.; Raus, T.; Di Pietro, R.; Tichý, L.; et al. Vegetation of Europe: Hierarchical floristic classification system of plant; lichen; and algal communities. Appl. Veg. Sci. 2016, 19 (Suppl. 1), 3–264. [Google Scholar] [CrossRef]
- Opracowanie Ekofizjograficzne dla Województwa Dolnośląskiego; Blachowski, J., Markowicz-Judycka, E., Zięba, D., Eds.; Wojewódzkie Biuro Urbanistyczne we Wrocławiu: Wrocław, Poland, 2005; p. 268. [Google Scholar]
- Mueller-Dombois, D.; Ellenberg, H. Aims and Methods of Vegetation Ecology; Reprint; The Blackburn Press: Caldwell, NJ, USA, 2002; p. 547. [Google Scholar]
- McCune, B.; Keon, D. Equations for potential annual direct incident radiation and heat load. J. Veg. Sci. 2002, 13, 603–606. [Google Scholar] [CrossRef]
- Bolewski, A.; Parachoniak, W. Petrografia [Petrography]; Wydawnictwo Geologiczne: Warszawa, Poland, 1988; p. 656. [Google Scholar]
- Wojewoda, J. Geology and geological history. In Góry Stolowe. Geology, Landforms, Vegetation Pattern and Human Impacts; Kasprzak, M., Migon, P., Eds.; Instytut Geografii i Rozwoju Regionalnego Uniwersystetu Wrocławskiego: Wrocław, Poland, 2012; pp. 5–11. [Google Scholar]
- Ellenberg, H.; Weber, H.E.; Düll, R.; Wirth, W.; Werner, W.; Paulißen, D. Zeigerwerte von Pflanzen in Mitteleuropa. Scr. Geobot. 1991, 18, 1–258. [Google Scholar]
- Berg, C.; Welk, E.; Jager, E.J. Revising Ellenberg’s indicator values for continentality based on global vascular plant species distribution. Appl. Veg. Sci. 2017, 20, 482–493. [Google Scholar] [CrossRef]
- Tichý, L.; Holt, J. Juice Program for Management; Analysis and Classification of Ecological Data, 1st ed.; Masaryk University: Brno, Czech Republic, 2006; p. 98. [Google Scholar]
- Fischer, H.S. On the combination of species cover values from different vegetation layers. Appl. Veg. Sci. 2015, 18, 169–170. [Google Scholar] [CrossRef]
- Euro+Med. Euro+Med PlantBase—The Information Resource for Euro-Mediterranean Plant Diversity. 2006. Available online: http://ww2.bgbm.org/EuroPlusMed/ (accessed on 2 September 2020).
- Ochyra, R.; Żarnowiec, J.; Bednarek-Ochyra, H. Census Catalogue of Polish Mosses. Biodiversity of Poland; W. Szafer Institute of Botany Polish Academy of Sciences: Kraków, Poland, 2003; Volume 3, p. 372. [Google Scholar]
- Fałtynowicz, W. The Lichens; Lichenicolous and Allied Fungi of Poland—An Annotated Checklist; W. Szafer Institute of Botany Polish Academy of Sciences: Kraków, Poland, 2003; p. 435. [Google Scholar]
- Roleček, J.; Tichý, L.; Zelený, D.; Chytrý, M. Modified TWINSPAN classification in which the hierarchy respects cluster heterogeneity. J. Veg. Sci. 2009, 20, 596–602. [Google Scholar] [CrossRef]
- Tichý, L. JUICE; software for vegetation classification. J. Veg. Sci. 2002, 13, 451–453. [Google Scholar] [CrossRef]
- Botta-Dukát, Z.; Chytrý, M.; Hájková, P.; Havlová, M. Vegetation of lowland wet meadows along a climatic continentality gradient in Central Europe. Preslia 2005, 77, 89–111. [Google Scholar]
- Chytrý, M.; Tichý, L.; Holt, J.; Botta-Dukát, Z. Determination of diagnostic species with statistical fidelity measures. J. Veg. Sci. 2002, 13, 79–90. [Google Scholar] [CrossRef]
- Tichý, L.; Chytrý, M. Statistical determination of diagnostic species for site groups of unequal size. J. Veg. Sci. 2006, 17, 809–818. [Google Scholar] [CrossRef]
- Willner, W.; Tichý, L.; Chytrý, M. Effects of different fidelity measures and contexts on the determination of diagnostic species. J. Veg. Sci. 2009, 20, 130–137. [Google Scholar] [CrossRef]
- Dengler, J.; Berg, C.; Jansen, F. New ideas for modern phytosociological monographs. Annali Bot. Nuova Ser. 2005, 5, 193–210. [Google Scholar] [CrossRef]
- Morton, A. DMAP Distribution Mapping Software. 2001. Available online: http://www.dmap.co.uk/ (accessed on 10 October 2020).
- Ter Braak, C.J.F.; Smilauer, P. Canoco Reference Manual and User’s Guide: Software for Ordination; Version 5.0; Microcomputer Power: Ithaca, NY, USA, 2012; p. 496. [Google Scholar]
- Zelený, D.; Schaffers, A.P. Too good to be true: Pitfalls of using mean Ellenberg indicator values in vegetation analyzes. J. Veg. Sci. 2012, 23, 419–431. [Google Scholar] [CrossRef]
- R Development Core Team. R: A Language and Environment for Statistical Computing; R Foundation for Statistical Computing: Vienna, Austria, 2008; Available online: http://www.R-project.org (accessed on 10 October 2020).
- Gleason, J. Comparative Power of the Anova, Randomization Anova, and Kruskal-Wallis Test. Wayne State University Dissertations 658. 2013. Available online: https://digitalcommons.wayne.edu/oa_dissertations/658 (accessed on 12 December 2020).
- Jupke, J.F.; Schäfer, R.B. Should ecologists prefer model- over distance-based multivariate methods? Ecol. Evol. 2020, 10, 2417–2435. [Google Scholar] [CrossRef]
- Sádlo, J.; Chytrý, M. Festuco-Pinetum sylvestris Kobendza 1930. In Vegetace České Republiky. 4. Lesní a Křovinná Vegetace; Chytrý, M., Ed.; Academia: Praha, Czech Republic, 2013; pp. 385–389. [Google Scholar]
- Jarolímek, I.; Šibík, J.; Hegedüšová, K.; Janišová, M.; Kliment, J.; Kučera, P.; Májeková, J.; Michálková, D.; Sadloňová, J.; Zaliberová, M.; et al. A list of vegetation units of Slovakia. In Diagnostic; Constant and Dominant Species of the Higher Vegetation Units of Slovakia; Jarolímek, I., Šibík, J., Eds.; Veda: Bratislava, Slovakia, 2008; pp. 295–329. [Google Scholar]
- Zelený, D. Asplenio cuneifolii-Pinetum sylvestris Pišta ex Husová in Husová et al. 2002. In Vegetace České Republiky. 4. Lesní a Křovinná Vegetace; Chytrý, M., Ed.; Academia: Praha, Czech Republic, 2013; pp. 401–404. [Google Scholar]
- Mucina, L.; Grabherr, G.; Wallnöfer, S. Die Pflanzengesellschaften Österreichs. Teil III. Wälder und Gebüsche; Gustav Fischer Verlag: Jena, Germany, 1993; p. 353. [Google Scholar]
- Die Wälder und Gebüsche Österreichs; Willner, W., Grabherr, G., Eds.; Spektrum Akademischer Verlag: Heidelberg, Germany, 2007; p. 302. [Google Scholar]
- Świerkosz, K. Zbiorowiska roślinne Góry Chojnik—Eksklawy Karkonoskiego Parku Narodowego. część 1. Zbiorowiska leśne. Parki Nar. Rezerw. Przyr. 1994, 13, 17–36. [Google Scholar]
- Zelený, D. Hieracio pallidi-Pinetum sylvestris Stöcker 1965. In Vegetace České Republiky. 4. Lesní a Křovinná Vegetace; Chytrý, M., Ed.; Academia: Praha, Czech Republic, 2013; pp. 398–401. [Google Scholar]
- Pott, R. Die Pflanzengesellschaften Deutschlands, 2nd ed.; Eugen Ulmer Verlag: Stuttgart, Germany, 1995; p. 427. [Google Scholar]
- Seibert, P. Klasse Vaccinio-Piceetea Br.-Bl in Br.-Bl. et al 39. In Süddeutsche Pflanzengesellschaften; Band 4: Wälder und Gebüsche, 2nd ed.; Oberdorfer, E., Ed.; Gustav Fischer Verlag: Jena, Germany, 1992; pp. 53–80. [Google Scholar]
- Passarge, H. Pflanzengesellschaften im Zittauer Bergland. Abh. Ber. Nat. Gorlitz 1981, 54, 1–48. [Google Scholar]
- Härtel, H.; Sadlo, J.; Świerkosz, K.; Markova, I. Phytogeography of the sandstone areas in the Bohemian Cretaceous Basin (Czech Republic/Germany/Poland). In Sandstone Landscapes; Härtel, H., Cilek, V., Hebren, T., Jackson, A., Williams, R., Eds.; Academia: Praha, Czech Republic, 2007; pp. 177–189. [Google Scholar] [CrossRef]
- Świerkosz, K. General characteristics of the vascular flora and geobotanical division of the Góry Stołowe Mts; Sudety Mts (Poland). In Sandstone Landscapes; Härtel, H., Cilek, V., Hebren, T., Jackson, A., Williams, R., Eds.; Academia: Praha, Czech Republic, 2007; pp. 194–200. [Google Scholar] [CrossRef]
- Bobowicz, M.A. Intrapopulational variability of Pinus sylvestris L. from Piekielna Góra in respect to cone and needle traits. Acta Soc. Bot. Pol. 1993, 62, 131–136. [Google Scholar] [CrossRef]
- Krzakowa, M.; Lisowska, D. Genetyczne zróżnicowanie populacji sosny zwyczajnej (Pinus sylvestris L.) z Piekielnej Góry. In Środowisko Przyrodnicze Parku Narodowego Gór Stołowych; Park Narodowy Gór Stołowych: Kudowa Zdrój, Poland, 1996; pp. 125–131. [Google Scholar]
- Boratyński, A.; Danielewicz, W. Chronione i godne ochrony drzewa i krzewy polskiej części Sudetów; Pogórza i Przedgórza Sudeckiego. 5. Betula pubescens Ehrh. ssp. carpatica (Waldst. et Kit) Asch. et Greabn. Arbor. Kórnickie 1989, 34, 71–88. [Google Scholar]
- Świerkosz, K.; Boratyński, A. Chorological and synanthropodynamical analysis of trees and shrubs of the Stołowe Mts (Middle Sudety). Dendrobiology 2002, 48, 75–85. [Google Scholar]
- Białobrzeska, M.; Truchanowicz, J. Badania systematyczno-biometryczne nad rodzajem Betula L. ze Szczelińca w Górach Stołowych. Rocz. Sekc. Dendr. 1991, 39, 51–78. [Google Scholar]
- Boratyński, A. Sosna błotna (Pinus uliginosa Neumann) w rezerwacie “Błędne Skały” w Górach Stołowych. Arbor. Kórnickie 1978, 23, 261–267. [Google Scholar]
- Sobierajska, K.; Wachowiak, W.; Zaborowska, J.; Łabiszak, B.; Wójkiewicz, B.; Sękiewicz, M.; Jasińska, A.K.; Sękiewicz, K.; Boratyńska, K.; Marcysiak, K.; et al. Genetic Consequences of Hybridization in Relict Isolated Trees Pinus sylvestris and the Pinus mugo Complex. Forests 2020, 11, 1086. [Google Scholar] [CrossRef]
- Kącki, Z.; Szymura, M.; Świerkosz, K.; Swacha, G.; Pender, K. Zbiorowiska roślinne Gór Stołowych. In Góry Stołowe—Przyroda i Ludzie; Kabała, C., Ed.; Park Narodowy Gór Stołowych: Kudowa Zdrój, Poland, 2018; pp. 311–328. [Google Scholar]
- Navrátilová, J. Vaccinio uliginosi-Pinetum sylvestris de Kleist 1929. In Vegetace České Republiky. 4. Lesní a Křovinná Vegetace; Chytrý, M., Ed.; Academia: Praha, Czech Republic, 2013; pp. 424–426. [Google Scholar]
- Valachovič, M.; Hegedüšová, K. Forest communities of the Jurske jazero (Malé Karpaty Mts). Nat. Tutela 2013, 17, 15–19. [Google Scholar]
- Perring, M.P.; Diekmann, M.; Midolo, G.; Schellenberger Costa, D.; Bernhardt-Römermann, M.; Otto, J.C.J.; Gilliam, S.F.; Hedwall, P.O.; Nordin, A.; Dirnböck, T.; et al. How nitrogen deposition affects forest understorey plant community change: Towards understanding context dependency. Environ. Pollut. 2018, 242, 1787–1799. [Google Scholar] [CrossRef]
- Staude, I.; Waller, D.M.; Bernhardt-Römermann, M.; Bjorkman, A.D.; Brunet, J.; De Frenne, P.; Hédl, R.; Jandt, U.; Lenoir, J.; Máliš, F.; et al. Replacements of small- by larger-ranged species scale to diversity loss in Europe’s temperate forest biome. Nat. Ecol. Evol. 2020, 4, 802–808. [Google Scholar] [CrossRef] [PubMed]
- Pyšek, P.; Pergl, J.; Essl, F.; Lenzner, B.; Dawson, W.; Kreft, H.; Weigelt, P.; Winter, M.; Kartesz, J.; Nishino, M.; et al. Naturalized alien flora of the world: Species diversity; taxonomic and phylogenetic patterns; geographic distribution and global hotspots of plant invasion. Preslia 2017, 89, 203–274. [Google Scholar] [CrossRef]
- Pyšek, P.; Hulme, P.E.; Simberloff, D.; Bacher, S.; Blackburn, T.M.; Carlton, J.T.; Dawson, W.; Essl, F.; Foxcroft, L.C.; Genovesi, P.; et al. Scientists’ warning on invasive alien species. Biol. Rev. 2020, 95, 1511–1534. [Google Scholar] [CrossRef] [PubMed]
- De Frenne, P.; Zellweger, F.; Rodríguez-Sánchez, F.; Scheffers, B.R.; Hylander, K.; Luoto, M.; Vellend, M.; Verheyen, K.; Lenoir, J. Global buffering of temperatures under forest canopies. Nat. Ecol. Evol. 2019, 3, 744–749. [Google Scholar] [CrossRef] [PubMed]
- Zellweger, F.; De Frenne, P.; Lenoir, J.; Vangansbeke, P.K.; Bernhardt-Römermann, M.; Baeten, L.; Hédl, R.; Berki, I.; Brunet, J.; Van Calster, H.; et al. Forest microclimate feedbacks drive plant responses to warming. Science 2020, 368, 772–775. [Google Scholar] [CrossRef] [PubMed]
- Gan, J.; Miller, J.H.; Wang, H.; Taylor, J.W., Jr. Invasion of tallow tree into southern US forests: Influencing factors and implications for mitigation. Can. J. For. Res. 2009, 39, 1346–1356. [Google Scholar] [CrossRef]
- Lenda, M.; Knops, J.H.; Skórka, P.; Moroń, D.; Woyciechowski, M. Cascading effects of changes in land use on the invasion of the walnut Juglans regia in forest ecosystems. J. Ecol. 2018, 106, 671–686. [Google Scholar] [CrossRef]
- Vítková, M.; Müllerová, J.; Sádlo, J.; Pergl, J.; Pyšek, P. Black locust (Robinia pseudoacacia) beloved and despised: A story of an invasive tree in Central Europe. For. Ecol. Manag. 2017, 384, 287–302. [Google Scholar] [CrossRef]
- Glasby, T.M.; Connell, S.D.; Holloway, M.G.; Hewitt, C.L. Nonindigenous biota on artificial structures: Could habitat creation facilitate biological invasions? Mar. Biol. 2007, 151, 887–895. [Google Scholar] [CrossRef]
- Padmanaba, M.; Corlett, R.T. Minimizing Risks of Invasive Alien Plant Species in Tropical Production Forest Management. Forests 2014, 5, 1982–1998. [Google Scholar] [CrossRef]
- Charbonneau, N.C.; Fahrig, L. Influence of canopy cover and amount of open habitat in the surrounding landscape on proportion of alien plant species in forest sites. Écoscience 2004, 11, 278–281. [Google Scholar] [CrossRef]
- Langmaier, M.; Lapin, K. A Systematic Review of the Impact of Invasive Alien Plants on Forest Regeneration in European Temperate Forests. Front. Plant Sci. 2020, 11, 524969. [Google Scholar] [CrossRef] [PubMed]
- Foxcroft, L.C.; Spear, D.; van Wilgen, N.J.; McGeoch, M.A. Assessing the association between pathways of alien plant invaders and their impacts in protected areas. NeoBiota 2019, 43, 1–25. [Google Scholar] [CrossRef]
- Richardson, D.M.; Pyšek, P.; Rejmánek, M.; Barbour, M.G.; Panetta, F.D.; West, C.J. Naturalization and invasion of alien plants: Concepts and definitions. Divers. Distrib. 2000, 6, 93–107. [Google Scholar] [CrossRef]
- Eichenberg, D.; Bowler, D.E.; Bonn, A.; Bruelheide, H.; Grescho, V.; Harter, D.; Jandt, U.; May, R.; Winter, M.; Jansen, F. Widespread decline in Central European plant diversity across six decades. Glob. Chang. Biol. 2020. [Google Scholar] [CrossRef] [PubMed]
Publisher’s Note: MDPI stays neutral with regard to jurisdictional claims in published maps and institutional affiliations. |
© 2021 by the authors. Licensee MDPI, Basel, Switzerland. This article is an open access article distributed under the terms and conditions of the Creative Commons Attribution (CC BY) license (http://creativecommons.org/licenses/by/4.0/).