Leaf Phenology Drives Spatio-Temporal Patterns of Throughfall under a Single Quercus castaneifolia C.A.Mey.
Abstract
1. Introduction
2. Materials and Methods
2.1. Site Description
2.2. Gross Rainfall and Throughfall Measurement
2.3. Throughfall Spatial Variability
2.4. Temporal Stability of Spatial Throughfall Patterns
2.5. Minimum Number of Throughfall Collectors
3. Results
3.1. Gross Rainfall and Throughfall Characteristics
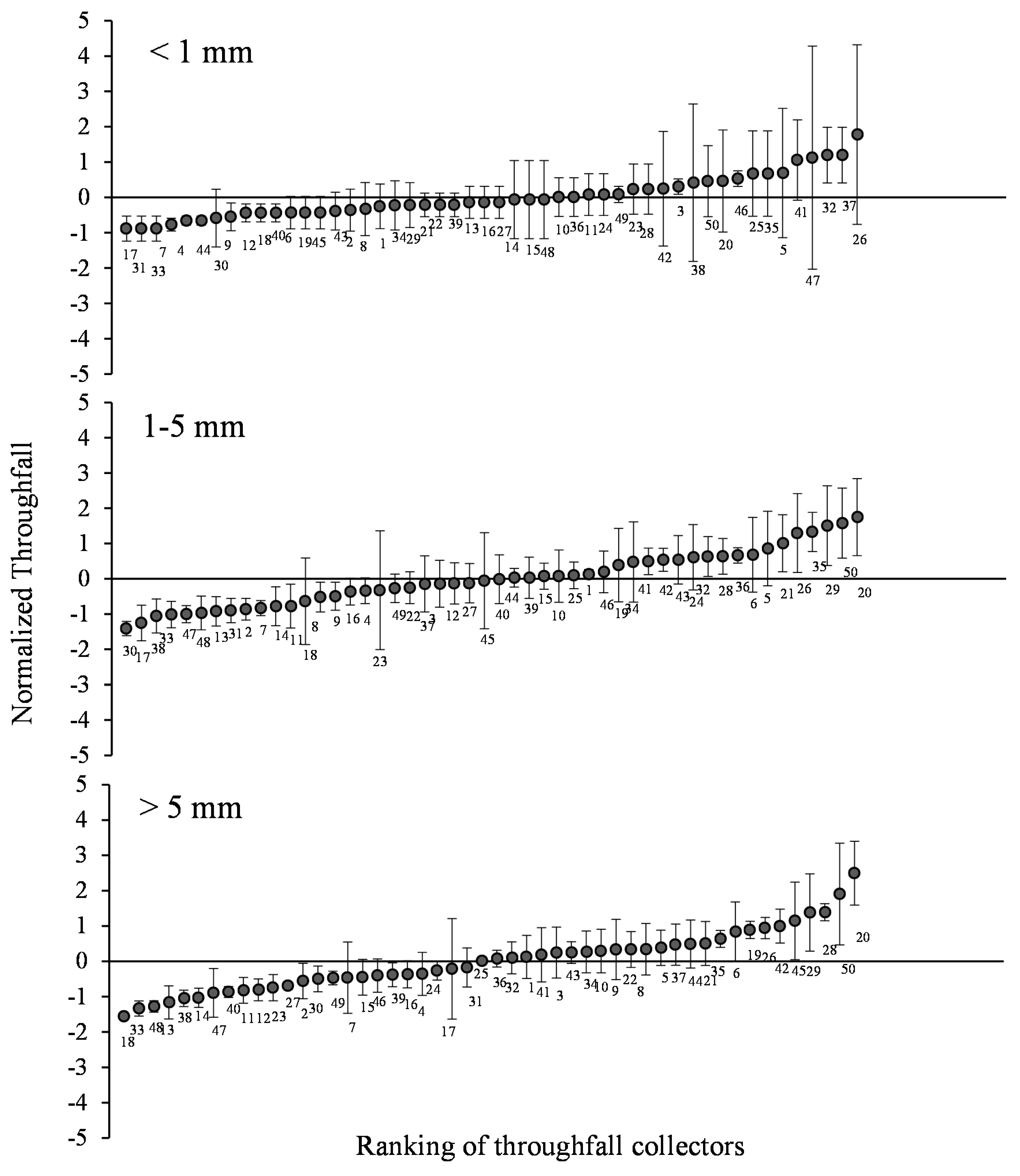
3.2. Spatial Throughfall Variability
3.3. Temporal Stability of Spatial Throughfall
3.4. Optimum Number of Collector for Throughfall Sampling
4. Discussion
4.1. Throughfall Quantity during Canopy Stages
4.2. Spatio-Temporal Throughfall Variability
4.3. Minimum Number of Throughfall Gauges
5. Conclusions
Author Contributions
Funding
Conflicts of Interest
References
- Fan, Y.; Meijide, A.; Lawrence, D.M.; Roupsard, O.; Carlson, K.M.; Chen, H.Y.; Röll, A.; Niu, F.; Knohl, A. Reconciling Canopy Interception Parameterization and Rainfall Forcing Frequency in the Community Land Model for Simulating Evapotranspiration of Rainforests and Oil Palm Plantations in Indonesia. J. Adv. Model. Earth Syst. 2019, 11, 732–751. [Google Scholar] [CrossRef]
- Su, L.; Zhao, C.; Xu, W.; Xie, Z. Hydrochemical Fluxes in Bulk Precipitation, Throughfall, and Stemflow in a Mixed Evergreen and Deciduous Broadleaved Forest. Forests 2019, 10, 507. [Google Scholar] [CrossRef]
- Levia, D.F.; Nanko, K.; Amasaki, H.; Giambelluca, T.W.; Hotta, N.; Iida, S.; Mudd, R.G.; Nullet, M.A.; Sakai, N.; Shinohara, Y.; et al. Throughfall partitioning by trees. Hydrol. Process. 2019, 33, 1698–1708. [Google Scholar] [CrossRef]
- Sadeghi, S.M.M.; Gordon, A.; Van Stan, J.T. A Global Synthesis of Throughfall and Stemflow Hydrometeorology. In Precipitation Partitioning by Vegetation: A Global Synthesis; Van Stan, J.T., Gutmann, E., Friesen, J., Eds.; Springer: Berlin/Heidelberg, Germany, 2020; pp. 49–70. [Google Scholar]
- Van Stan, J.T.; Gordon, D.A. Mini-review: Stemflow as a resource limitation to near-stem soils. Front. Plant Sci. 2019, 9, 248. [Google Scholar] [CrossRef]
- Su, L.; Xie, Z.; Xu, W.; Zhao, C. Variability of throughfall quantity in a mixed evergreen-deciduous broadleaved forest in central China. J. Hydrol. Hydromech. 2019, 67, 225–231. [Google Scholar] [CrossRef]
- Konishi, S.; Tani, M.; Kosugi, Y.; Takanashi, S.; Sahat, M.M.; Nik, A.R.; Niiyama, K.; Okuda. Characteristics of spatial distribution of throughfall in a lowland tropical rainforest, Peninsular Malaysia. For. Ecol. Manag. 2006, 224, 19–25. [Google Scholar] [CrossRef]
- Zimmermann, B.; Zimmermann, A.; Lark, R.M.; Elsenbeer, H. Sampling procedures for throughfall monitoring: A simulation study. Water Resour. Res. 2010, 46, W01503. [Google Scholar] [CrossRef]
- Carlyle-Moses, D.E.; Lishman, C.E.; McKee, A.J. A preliminary evaluation of throughfall sampling techniques in a mature coniferous forest. J. For. Res. 2014, 25, 407–413. [Google Scholar] [CrossRef]
- Wullaert, H.; Pohlert, T.; Boy, J.; Valarezo, C.; Wilcke, W. Spatial throughfall heterogeneity in a montane rain forest in Ecuador: Extent, temporal stability and drivers. J. Hydrol. 2009, 377, 71–79. [Google Scholar] [CrossRef]
- Lloyd, C.R.; de Marques, F. Spatial variability of throughfall and stemflow measurements in Amazonian Rainforest. Agric. For. Meteorol. 1988, 42, 63–73. [Google Scholar] [CrossRef]
- Holwerda, F.; Scatena, F.N.; Bruijnzeel, L.A. Throughfall in a Puerto Rican lower montane rain forest: A comparison of sampling strategies. J. Hydrol. 2006, 327, 592–602. [Google Scholar] [CrossRef]
- Fan, J.; Oestergaard, K.T.; Guyot, A.; Lockington, D.A. Measuring and modeling rainfall interception losses by a native Banksia woodland and an exotic pine plantation in subtropical coastal Australia. J. Hydrol. 2014, 515, 156–165. [Google Scholar] [CrossRef]
- Ford, E.D.; Deans, J.D. The effects of canopy structure on stemflow, throughfall and interception loss in a young Sitka spruce plantation. J. Appl. Ecol. 1978, 15, 905–917. [Google Scholar] [CrossRef]
- Herwitz, S.R. Raindrop impact and water flow on the vegetative surfaces of trees and the effects on stemflow and throughfall generation. Earth Surf. Proc. Land 1987, 12, 425–432. [Google Scholar] [CrossRef]
- Johnson, R.C. The interception, throughfall and stemflow in a forest in highland Scotland and the comparison with other upland forests in the U.K. J. Hydrol. 1990, 118, 281–287. [Google Scholar] [CrossRef]
- Beier, C.; Hansen, K.; Gundersen, P. Spatial variability of throughfall fluxes in a spruce forest. Environ. Poll. 1993, 81, 257–267. [Google Scholar] [CrossRef]
- Whelan, M.J.; Sanger, L.J.; Baker, M.; Anderson, J.M. Spatial patterns of throughfall and mineral ion deposition in a lowland Norway spruce (Picea abies) plantation at the plot scale. Atmos. Environ. 1998, 32, 3493–3501. [Google Scholar] [CrossRef]
- Loustau, D.; Berbigier, P.; Granier, A.; Moussa, F.E.H. Interception loss, throughfall and stemflow in a maritime pine stand. I. Variability of throughfall and stemflow beneath the pine canopy. J. Hydrol. 1992, 138, 449–467. [Google Scholar] [CrossRef]
- Keim, R.F.; Skaugset, A.E.; Weiler, M. Temporal persistence of spatial patterns in throughfall. J. Hydrol. 2005, 314, 263–274. [Google Scholar] [CrossRef]
- Fathizadeh, O.; Attarod, P.; Keim, R.F.; Stein, A.; Amiri, G.Z.; Darvishsefat, A.A. Spatial heterogeneity and temporal stability of throughfall under individual Quercus brantii trees. Hydrol. Process. 2014, 28, 1124–1136. [Google Scholar] [CrossRef]
- Staelens, J.; De Schrijver, A.; Verheyen, K.; Verhoest, N.E. Spatial variability and temporal stability of throughfall deposition under beech (Fagus sylvatica L.) in relationship to canopy structure. Environ. Poll. 2006, 142, 254–263. [Google Scholar] [CrossRef] [PubMed]
- Haghshenas, M.; Mohadjer, M.R.M.; Attarod, P.; Pourtahmasi, K.; Feldhaus, J.; Sadeghi, S.M.M. Climate effect on tree-ring widths of Fagus orientalis in the Caspian forests, northern Iran. For. Sci. Technol. 2016, 12, 176–182. [Google Scholar]
- Deljouei, A.; Sadeghi, S.M.M.; Abdi, E.; Bernhardt-Römermann, M.; Pascoe, E.L.; Marcantonio, M. The impact of road disturbance on vegetation and soil properties in a beech stand, Hyrcanian forest. Eur. J. For. Res. 2018, 137, 759–770. [Google Scholar] [CrossRef]
- Deljouei, A.; Abdi, E.; Schwarz, M.; Majnounian, B.; Sohrabi, H.; Dumroese, R.K. Mechanical characteristics of the fine roots of two broadleaved tree species from the Temperate Caspian Hyrcanian Ecoregion. Forests 2020, 11, 345. [Google Scholar] [CrossRef]
- Rouhi-Moghaddam, E.; Hosseini, S.M.; Ebrahimi, E.; Tabari, M.; Rahmani, A. Comparison of growth, nutrition and soil properties of pure stands of Quercus castaneifolia and mixed with Zelkova carpinifolia in the Hyrcanian forests of Iran. For. Ecol. Manag. 2008, 255, 1149–1160. [Google Scholar] [CrossRef]
- Azaryan, M.; MarviMohadjer, M.R.; Etemad, V.; Shirvany, A.; Sadeghi, S.M.M. Morphological characteristics of old trees in Hyrcanian forest (Case study: Pattom and Namkhaneh districts, Kheyrud). J. For. Wood Prod. 2015, 68, 47–59. [Google Scholar]
- Kimmins, J.P. Some statistical aspects of sampling throughfall precipitation in nutrient cycling studies in British Columbian coastal forests. Ecology 1973, 54, 1008–1019. [Google Scholar] [CrossRef]
- Fathizadeh, O.; Attarod, P.; Pypker, T.G.; Darvishsefat, A.A.; Amiri, G.Z. Seasonal variability of rainfall interception and canopy storage capacity measured under individual oak (Quercus brantii) trees in Western Iran. J. Agric. Sci. Technol. 2013, 15, 175–188. [Google Scholar]
- Sadeghi, S.M.M.; Attarod, P.; Pypker, T.G. Differences in rainfall interception during the growing and non-growing seasons in a Fraxinus rotundifolia Mill. plantation located in a semiarid climate. J. Agric. Sci. Technol. 2015, 17, 145–156. [Google Scholar]
- Staelens, J.; De Schrijver, A.; Verheyen, K.; Verhoest, N.E.C. Rainfall partitioning into throughfall, stemflow, and interception within a single beech (Fagus sylvatica L.) canopy: Influence of foliation, rain event characteristics, and meteorology. Hydrol. Process. 2008, 22, 33–45. [Google Scholar] [CrossRef]
- Mużyło, A.; Llorens, P.; Domingo, F. Rainfall partitioning in a deciduous forest plot in leafed and leafless periods. Ecohydrology 2012, 5, 759–767. [Google Scholar] [CrossRef]
- Sadeghi, S.M.M.; Van Stan II, J.T.; Pypker, T.G.; Friesen, J. Canopy hydrometeorological dynamics across a chronosequence of a globally invasive species, Ailanthus altissima (Mill., tree of heaven). Agric. For. Meteorol. 2017, 240, 10–17. [Google Scholar] [CrossRef]
- Fathizadeh, O.; Hosseini, S.M.; Zimmermann, A.; Keim, R.F.; Boloorani, A.D. Estimating linkages between forest structural variables and rainfall interception parameters in semi-arid deciduous oak forest stands. Sci. Total Environ. 2017, 601, 1824–1837. [Google Scholar] [CrossRef] [PubMed]
- Fathizadeh, O.; Hosseini, S.M.; Keim, R.F.; Boloorani, A.D. A seasonal evaluation of the reformulated Gash interception model for semi-arid deciduous oak forest stands. For. Ecol. Manag. 2018, 409, 601–613. [Google Scholar] [CrossRef]
- Hakimi, L.; Sadeghi, S.M.M.; Van Stan, J.T.; Pypker, T.G.; Khosropour, E. Management of pomegranate (Punica granatum) orchards alters the supply and pathway of rain water reaching soils in an arid agricultural landscape. Agric. Ecosyst. Environ. 2018, 259, 77–85. [Google Scholar] [CrossRef]
- Sadeghi, S.M.M.; Attarod, P.; Van Stan, J.T.; Pypker, T.G. The importance of considering rainfall partitioning in afforestation initiatives in semiarid climates: A comparison of common planted tree species in Tehran, Iran. Sci. Total Environ. 2016, 568, 845–855. [Google Scholar] [CrossRef]
- Sadeghi, S.M.M.; Van Stan, J.T.; Pypker, T.G.; Tamjidi, J.; Friesen, J.; Farahnaklangroudi, M. Importance of transitional leaf states in canopy rainfall partitioning dynamics. Eur. J. For. Res. 2018, 137, 121–130. [Google Scholar] [CrossRef]
- Sadeghi, S.M.M.; Attarod, P.; Pypker, T.G.; Dunkerley, D. Is canopy interception increased in semiarid tree plantations? evidence from a field investigation in Tehran, Iran. Turk. J. Agric. For. 2014, 38, 792–806. [Google Scholar] [CrossRef]
- Abbasian, P.; Attarod, P.; Sadeghi, S.M.M.; Van Stan, J.T.; Hojjati, S.M. Throughfall nutrients in a degraded indigenous Fagus orientalis forest and a Picea abies plantation in the of North of Iran. For. Syst. 2015, 24, 1–10. [Google Scholar] [CrossRef]
- Attarod, P.; Sadeghi, S.M.M.; Pypker, T.G.; Bagheri, H.; Bagheri, M.; Bayramzadeh, V. Needle-leaved trees impacts on rainfall interception and canopy storage capacity in an arid environment. New For. 2015, 46, 339–355. [Google Scholar] [CrossRef]
- Attarod, P.; Sadeghi, S.M.M.; Pypker, T.G.; Bayramzadeh, V. Oak trees decline; a sign of climate variability impacts in the west of Iran. Casp. J. Environ. Sci. 2017, 15, 373–384. [Google Scholar]
- Nazari, M.; Sadeghi, S.M.M.; Van Stan, J.T.; Chaichi, M.R. Rainfall interception and redistribution by maize farmland in central Iran. J. Hydrol. Reg. Stud. 2020, 27, 100656. [Google Scholar] [CrossRef]
- Horton, R.E. Rainfall Interception. Mon. Weather. Rev. 1919, 47, 608–623. [Google Scholar] [CrossRef]
- Sheng, H.; Cai, T. Influence of Rainfall on Canopy Interception in Mixed Broad-Leaved—Korean Pine Forest in Xiaoxing’an Mountains, Northeastern China. Forests 2019, 10, 248. [Google Scholar] [CrossRef]
- Hsueh, Y.; Allen, S.T.; Keim, R.F. Fine-scale spatial variability of throughfall amount and isotopic composition under a hardwood forest canopy. Hydrol. Process. 2016, 30, 1796–1803. [Google Scholar] [CrossRef]
- Kato, H.; Onda, Y.; Nanko, K.; Gomi, T.; Yamanaka, T.; Kawaguchi, S. Effect of canopy interception on spatial variability and isotopic composition of throughfall in Japanese cypress plantations. J. Hydrol. 2013, 504, 1–11. [Google Scholar] [CrossRef]
- He, Z.B.; Yang, J.J.; Du, J.; Zhao, W.Z.; Liu, H.; Chang, X.X. Spatial variability of canopy interception in a spruce forest of the semiarid mountain regions of China. Agric. For. Meteorol. 2014, 188, 58–63. [Google Scholar] [CrossRef]
- Fang, S.; Zhao, C.; Jian, S. Spatial variability of throughfall in a Pinus tabulaeformis plantation forest in Loess Plateau, China. Scand. J. For. Res. 2016, 31, 467–476. [Google Scholar] [CrossRef]
- Whelan, M.J.; Anderson, J.M. Modelling spatial patterns of throughfall and interception loss in a Norway spruce (Picea abies) plantation at the plot scale. J. Hydrol. 2016, 31, 467–476. [Google Scholar] [CrossRef]
- Van Stan, J.T.; Hildebrandt, A.; Friesen, J.; Metzger, J.C.; Yankine, S.A. Spatial Variability and Temporal Stability of Local Net Precipitation Patterns. In Precipitation Partitioning by Vegetation: A Global Synthesis; Van Stan, J.T., Gutmann, E., Friesen, J., Eds.; Springer: Berlin/Heidelberg, Germany, 2020; pp. 89–104. [Google Scholar]
- Liu, J.; Liu, W.; Li, W.; Zeng, H. How does a rubber plantation affect the spatial variability and temporal stability of throughfall? Hydrol. Res. 2019, 50, 60–74. [Google Scholar] [CrossRef]
- Shen, H.; Wang, X.; Jiang, Y.; You, W. Spatial variations of throughfall through secondary succession of evergreen broad-leaved forests in eastern China. Hydrol. Process. 2012, 26, 1739–1747. [Google Scholar]
- Zhang, H.X.; Wu, H.W.; Li, J.; He, B.; Liu, J.F.; Wang, N.; Duan, W.L.; Liao, A.M. Spatial-temporal variability of throughfall in a subtropical deciduous forest from the hilly regions of eastern China. J. Mount. Sci. 2019, 16, 1788–1801. [Google Scholar] [CrossRef]
- Carlyle-Moses, D.E.; Laureano, J.F.; Price, A.G. Throughfall and throughfall spatial variability in Madrean oak forest communities of northeastern Mexico. J. Hydrol. 2004, 297, 124–135. [Google Scholar] [CrossRef]
- Fan, J.; Oestergaard, K.T.; Guyot, A.; Jensen, D.G.; Lockington, D.A. Spatial variability of throughfall and stemflow in an exotic pine plantation of subtropical coastal Australia. Hydrol. Process. 2015, 29, 793–804. [Google Scholar] [CrossRef]
- Lin, T.C.; Hamburg, S.P.; King, H.B.; Hsia, Y.J. Spatial variability of throughfall in a subtropical rain forest in Taiwan. J. Environ. Qual. 1997, 26, 172–180. [Google Scholar] [CrossRef]
- Zhang, Y.F.; Wang, X.P.; Hu, R.; Pan, Y.X. Throughfall and its spatial variability beneath xerophytic shrub canopies within water-limited arid desert ecosystems. J. Hydrol. 2016, 539, 406–416. [Google Scholar] [CrossRef]
- Macinnis-Ng, C.M.O.; Flores, E.E.; Müller, H.; Schwendenmann, L. Rainfall partitioning into throughfall and stemflow and associated nutrient fluxes: Land use impacts in a lower montane tropical region of Panama. Biogeochemistry 2012, 111, 661–676. [Google Scholar] [CrossRef]
- Rodrigo, A.; Àvila, A. Influence of sampling size in the estimation of mean throughfall in two Mediterranean holm oak forests. J. Hydrol. 2001, 243, 216–227. [Google Scholar] [CrossRef]
- Lawrence, G.B.; Fernandez, I.J. A reassessment of areal variability of throughfall deposition measurements. Ecol. Appl. 1993, 3, 473–480. [Google Scholar] [CrossRef]
- Price, A.G.; Carlyle-Moses, D.E. Measurement and modeling of growing-season canopy water fluxes in a mature mixed deciduous forest stand, southern Ontario, Canada. Argic. For. Meteorol. 2003, 119, 69–85. [Google Scholar]
- Helvey, J.D.; Patric, J.H. Design criteria for interception studies. Int. Assoc. Sci. Hydrol. 1965, 67, 131–137. [Google Scholar]









| Rainfall Classes | Summed TF of Events within Rainfall Classes | Between Two Periods | + Time-Stable Pairs of Events (%) | |||
|---|---|---|---|---|---|---|
| No. events | 4 | 4 | 4 | 0.157 | 76.4 | |
| (<1 mm) | (1–5 mm) | (>5 mm) | ||||
| (<1 mm) | 0.562 ** | 0.494 ** | ||||
| (1–5 mm) | 0.776 ** | |||||
| Leafed Period | Leafless Period | |||||
|---|---|---|---|---|---|---|
| Error of Cumulative TF Mean (%) | Confidence Interval (%) | |||||
| 90 | 95 | 99 | 90 | 95 | 99 | |
| 5 | 73 | 105 | 186 | 34 | 49 | 87 |
| 10 | 18 | 26 | 46 | 8 | 12 | 22 |
| 15 | 8 | 12 | 20 | 4 | 5 | 10 |
© 2020 by the authors. Licensee MDPI, Basel, Switzerland. This article is an open access article distributed under the terms and conditions of the Creative Commons Attribution (CC BY) license (http://creativecommons.org/licenses/by/4.0/).
Share and Cite
Fathizadeh, O.; Sadeghi, S.M.M.; Holder, C.D.; Su, L. Leaf Phenology Drives Spatio-Temporal Patterns of Throughfall under a Single Quercus castaneifolia C.A.Mey. Forests 2020, 11, 688. https://doi.org/10.3390/f11060688
Fathizadeh O, Sadeghi SMM, Holder CD, Su L. Leaf Phenology Drives Spatio-Temporal Patterns of Throughfall under a Single Quercus castaneifolia C.A.Mey. Forests. 2020; 11(6):688. https://doi.org/10.3390/f11060688
Chicago/Turabian StyleFathizadeh, Omid, Seyed Mohammad Moein Sadeghi, Curtis D. Holder, and Lei Su. 2020. "Leaf Phenology Drives Spatio-Temporal Patterns of Throughfall under a Single Quercus castaneifolia C.A.Mey." Forests 11, no. 6: 688. https://doi.org/10.3390/f11060688
APA StyleFathizadeh, O., Sadeghi, S. M. M., Holder, C. D., & Su, L. (2020). Leaf Phenology Drives Spatio-Temporal Patterns of Throughfall under a Single Quercus castaneifolia C.A.Mey. Forests, 11(6), 688. https://doi.org/10.3390/f11060688

