Comparison of Allometric Equation and Destructive Measurement of Carbon Storage of Naturally Regenerated Understory in a Pinus rigida Plantation in South Korea
Abstract
1. Introduction
2. Materials and Methods
2.1. Study Site
2.2. Estimation of Understory Aboveground Biomass Using a Destructive Method
2.3. Understory Vegetation Biomass Estimation Using Existing Allometric Equations
2.4. Development and Statistical Analysis of Biomass Allometric Equations for the Main Understory Tree Species
3. Results
3.1. Biomass Analysis by Species
3.2. Biomass Analysis by Plot
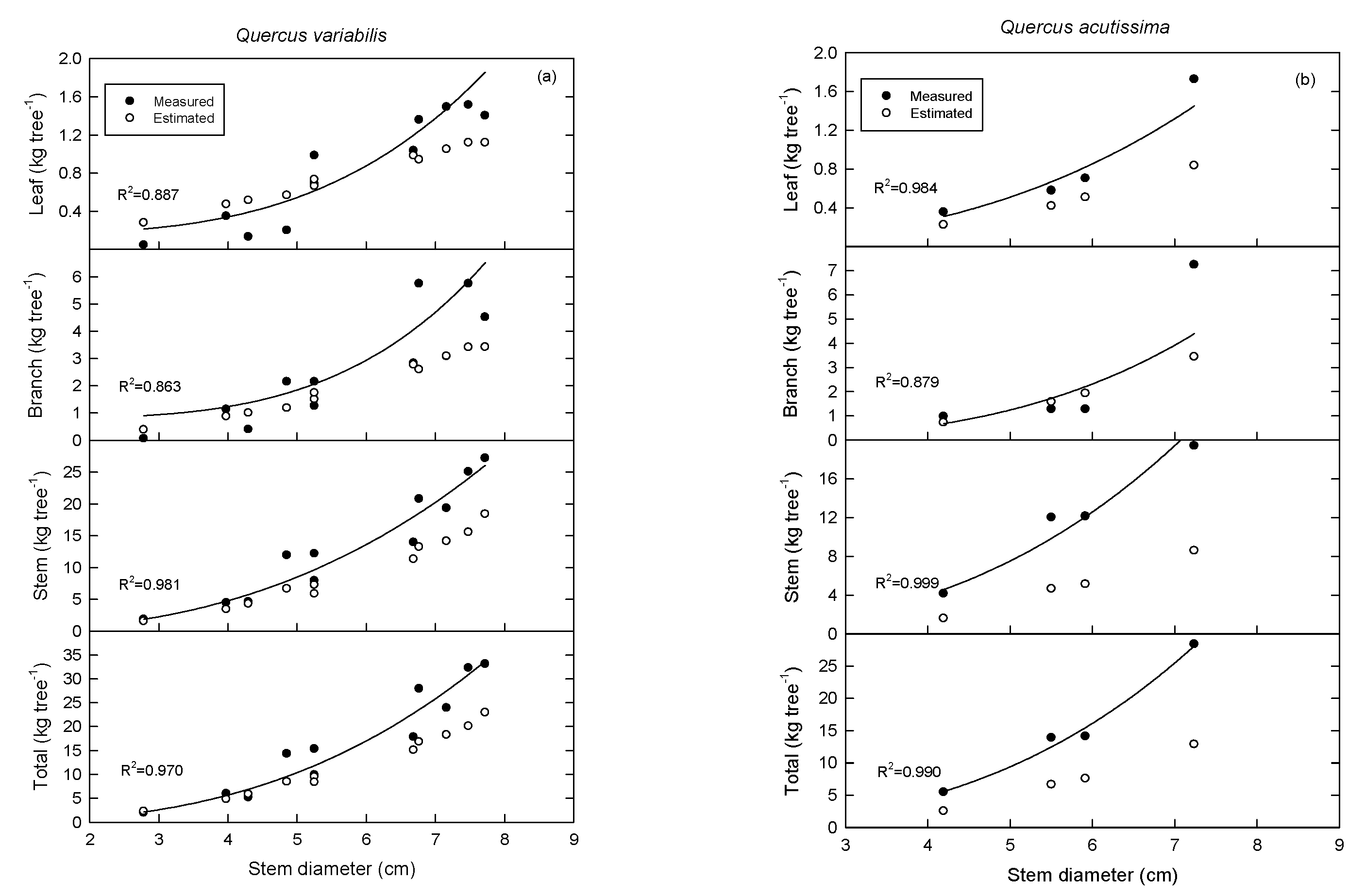
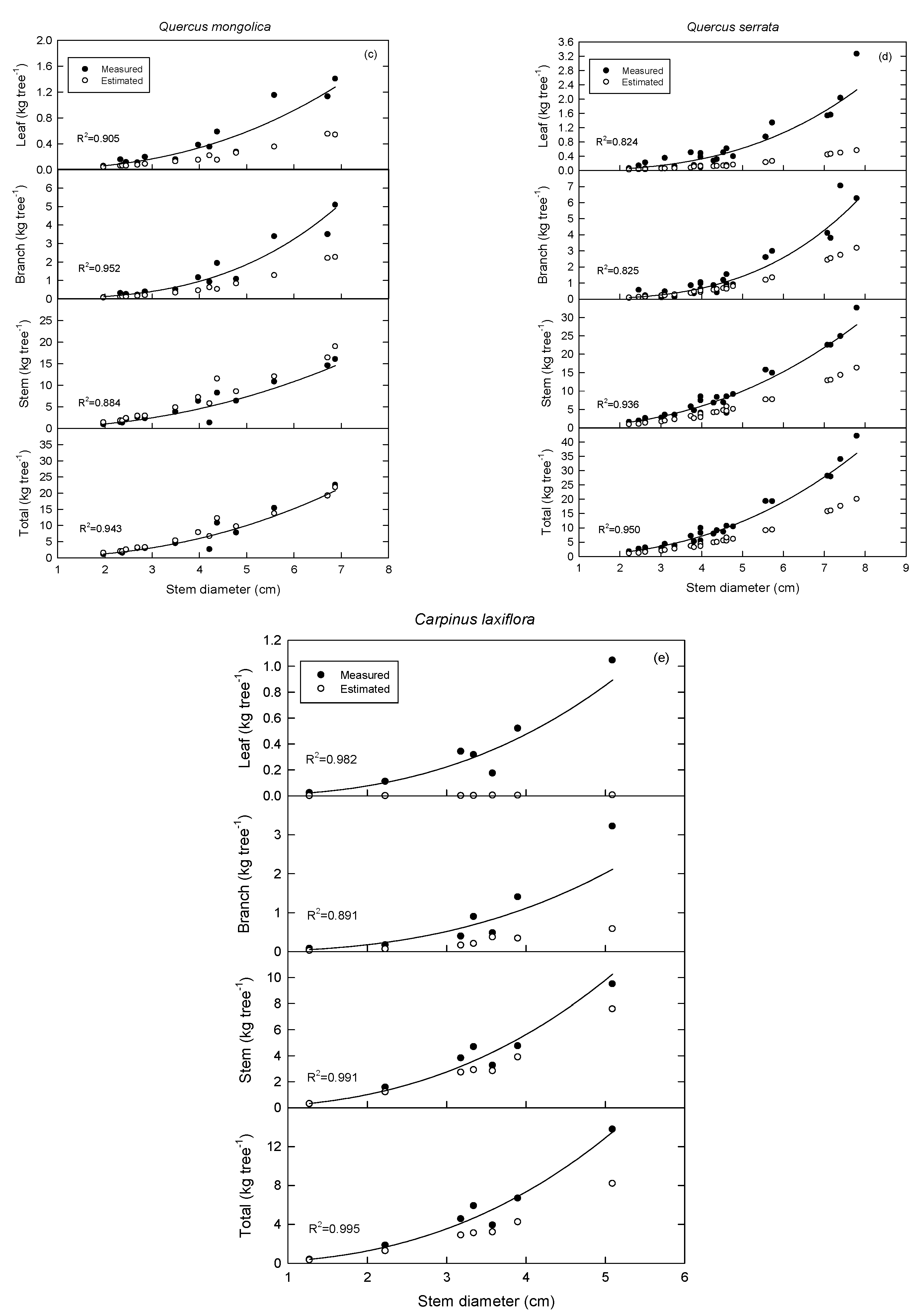
3.3. Species-Specific Biomass Allometric Equations
4. Discussion
5. Conclusions
Supplementary Materials
Author Contributions
Funding
Acknowledgments
Conflicts of Interest
References
- UNFCCC. Reporting and Accounting of LULUCF Activities under the Kyoto Protocol; United Nations Framework Convention on Climatic Change (UNFCCC): Bonn, Germany, 2013. [Google Scholar]
- IPCC. Summary for Policymakers. In Global Warming of 1.5 °C; World Meteorological Organization: Geneva, Switzerland, 2018. [Google Scholar]
- Vitousek, P.M. Can planted forest s counteract increasing atmospheric carbon dioxide? J. Environ. Qual. 1991, 20, 348–354. [Google Scholar] [CrossRef]
- Hu, H.; Wang, G.G. Changes in forest biomass carbon storage in the South Carolina Piedmont between 1936 and 2005. For. Ecol. Manag. 2008, 255, 1400–1408. [Google Scholar] [CrossRef]
- de Coninck, H.; Revi, A.; Babiker, M.; Bertoldi, P.; Buckeridge, M.; Cartwright, A.; Dong, W.; Ford, J.; Fuss, S.; Hourcade, J.C.; et al. Strengthening and Implementing the Global Response. In Global Warming of 1.5 °C; Masson-Delmotte, V., Zhai, P., Pörtner, H.O., Roberts, D., Skea, J., Shukla, P.R., Pirani, A., Moufouma-Okia, W., Péan, C., Pidcock, R., Eds.; IPCC: Geneva, Switzerland, 2018; p. 151. [Google Scholar]
- Gills, M.D.; Omule, A.Y.; Brierley, T. Monitoring Canada’s forests: The national forest inventory. For. Chron. 2005, 81, 214–221. [Google Scholar] [CrossRef]
- Hirata, Y.; Matsumoto, M.; Iehara, T. Japanese National Forest Inventory and Its Spatial Extension by Remote Sensing. In Proceedings of the Eighth Annual Forest Inventory and Analysis Symposium, Monterey, CA, USA, 16–19 October 2006; U.S. Department of Agriculture, Forest Service: Washington, DC, USA, 2006. [Google Scholar]
- Zeng, W.; Tomppo, E.; Healey, S.P.; Gawdon, K.V. The national forest inventory in China: History-results-international context. For. Ecosyst. 2015, 2, 23. [Google Scholar] [CrossRef]
- Park, B.B.; Han, S.H.; Rahman, A.; Choi, B.A.; Im, Y.S.; Bang, H.S.; So, S.J.; Koo, K.M.; Park, D.Y.; Kim, S.B.; et al. Brief history of Korean national forest inventory and academic usage. Korean J. Agric. Sci. 2016, 43, 299–319. [Google Scholar] [CrossRef][Green Version]
- Whittaker, R.H.; Bormann, F.H.; Likens, G.E.; Siccama, T.G. The Hubbard Brook ecosystem study: Forest biomass and production. Ecol. Monogr. 1974, 44, 233–252. [Google Scholar] [CrossRef]
- Sah, J.P.; Ross, M.S.; Koptur, S.; Snyder, J.R. Estimating aboveground biomass of broadleaved woody plants in the understory of Florida keys pine forests. For. Ecol. Manag. 2004, 203, 319–329. [Google Scholar] [CrossRef]
- Yim, J.S.; Han, W.S.; Hwang, J.H.; Chung, S.Y.; Cho, H.K.; Shin, M.Y. Estimation of forest biomass based upon satellite data and national forest inventory data. Korean J. Remote Sens. 2009, 25, 311–320. [Google Scholar]
- Jung, J.H.; Heo, J.; Yoo, S.H.; Kim, K.M.; Lee, J.B. Estimation of aboveground biomass carbon stock in Danyang area using kNN algorithm and Landsat TM seasonal satellite images. J. Korean Soc. Geospat. Inf. Syst. 2010, 18, 119–129. [Google Scholar]
- Kim, S.H.; Park, E.J.; Kim, I.K. Estimation of carbon sequestration in urban green spaces using environmental spatial information. J. Korea Soc. Environ. Restor. Technol. 2018, 21, 13–26. [Google Scholar]
- Na, S.J.; Kim, C.S.; Woo, K.S.; Kim, H.J.; Lee, D.H. Correlation of above- and below-ground biomass between natural and planted stands of Pinus densiflora for. erecta of one age-class in Gangwon province. J. Korean Soc. For. Sci. 2011, 100, 42–51. [Google Scholar]
- Annighöfer, P.; Ameztegui, A.; Ammer, C.; Balandier, P.; Bartsch, N.; Bolte, A.; Coll, L.; Collet, C.; Ewald, J.; Frischbier, N.; et al. Species-specific and generic biomass equations for seedlings and saplings of European tree species. Eur. J. For. Res. 2016, 135, 313–329. [Google Scholar] [CrossRef]
- Daryaei, A.; Sohrabi, H. Additive biomass equations for small diameter trees of temperate mixed deciduous forests. Scand. J. For. Res. 2016, 31, 394–398. [Google Scholar] [CrossRef]
- Binkley, D.; Fisher, R.F. Ecology and Management of Forest Soils; John Wiley & Sons, Inc.: New York, NY, USA, 2000. [Google Scholar]
- Viera, M.; Schumacher, M.V.; Bonacina, D.M.; de Oliveira Ramos, L.O.; Rodríguez-Soalleiro, R. Biomass and nutrient allocation to aboveground components in fertilized Eucalyptus saligna and E. urograndis plantations. New For. 2017, 48, 445–462. [Google Scholar]
- Çömez, A.; Tolunay, D.; Güner, Ş.T. Litterfall and the effects of thinning and seed cutting on carbon input into the soil in Scots pine stands in Turkey. Eur. J. For. Res. 2019, 138, 1–14. [Google Scholar] [CrossRef]
- Peichl, M.; Arain, M. Allometry and partitioning of above and belowground tree biomass in an age-sequence of white pine forests. For. Ecol. Manag. 2007, 253, 68–80. [Google Scholar] [CrossRef]
- Fatemi, R.F.; Yanai, R.D.; Hamburg, S.P.; Vadeboncoeur, M.A.; Arthur, M.A.; Briggs, R.D.; Levine, C.R. Allometric equations for young northern hardwoods: The importance of age-specific equations for estimating aboveground biomass. Can. J. For. Res. 2011, 41, 881–891. [Google Scholar] [CrossRef]
- Yarie, J. The role of understory vegetation in the nutrient cycle of forested ecosystems in the Mountain Hemlock biogeoclimatic zone. Ecology 1980, 61, 1498–1514. [Google Scholar] [CrossRef]
- Du, Z.; Cai, X.; Bao, W.; Chen, H.; Pan, H.; Wang, X.; Zhao, Q.; Zhu, W.; Liu, X.; Jiang, Y.; et al. Short-term vs. long-term effects of understory removal on nitrogen and mobile carbohydrates in overstory trees. Forests 2016, 7, 67–79. [Google Scholar] [CrossRef]
- Kim, J.H.; Chang, N.K. A Study on the production and decomposition of litters of major forest trees in Korea. Weed Turfgrass Sci. 1997, 11, 33–43. [Google Scholar]
- Kim, C.; Lee, I.K.; Lim, J.H.; Park, B.B.; Chun, J.H. Annual variation of soil CO2 efflux in a broadleaved deciuous forest of the Geumsan (Mt.) long-term ecological research site. Korean J. Agric. For. Meteorol. 2013, 15, 186–190. [Google Scholar] [CrossRef]
- Selig, M.F.; Seiler, J.R.; Tyree, M.C. Soil carbon and CO2 efflux as influenced by the thinning of loblolly pine (Pinus taeda L.) plantations on the Piedmont of Virginia. For. Sci. 2008, 54, 58–66. [Google Scholar]
- Gilliam, F.S. The ecological significance of the herbaceous layer in temperate forest ecosystems. BioScience 2007, 57, 845–858. [Google Scholar] [CrossRef]
- Bond-Lamberty, B.; Wang, C.; Gower, S.T. Aboveground and belowground biomass and sapwood area allometric equations for six boreal tree species of northern Manitoba. Can. J. For. Res. 2002, 32, 1441–1450. [Google Scholar] [CrossRef]
- KFRI. The 5th National Forest Inventory Report; Korea Forest Research Institute (KFRI): Seoul, Korea, 2011. (In Korean) [Google Scholar]
- KFS. Forest and Forestry Technique 2; Korea Forest Service (KFS): Daejeon, Korea, 2000. (In Korean) [Google Scholar]
- Brown, S. Measuring carbon in forests: Current status and future challenges. Environ. Pollut. 2002, 116, 363–372. [Google Scholar] [CrossRef]
- Johnson, K.D.; Domke, G.M.; Russell, M.W.; Walters, B.; Hom, J.; Peduzzi, A.; Birdsey, R.; Dolan, K.; Huang, W. Estimating aboveground live understory vegetation carbon in the United States. Environ. Res. Lett. 2017, 12, 125010. [Google Scholar] [CrossRef]
- NIFoS. The Investigation of Forest Resources in the Gwangneung Experimental Forest; National Institute of Forest Science (NIFoS): Seoul, Korea, 2016. (In Korean) [Google Scholar]
- KMA. Annual Climatological Report 2015; Korea Meteorological Administration (KMA): Seoul, Korea, 2015. [Google Scholar]
- KFRI. 90 Years History of Gwangneung Experimental Forest; Korea Forest Research Institute (KFRI): Seoul, Korea, 2003. (In Korean) [Google Scholar]
- KFRI. Carbon Emission Factors and Biomass Allometric Equations by Species in Korea; Korea Forest Research Institute (KFRI): Seoul, Korea, 2014. (In Korean) [Google Scholar]
- Arias, D.; Calvo-Alvarado, J.; Ritchter, D.B.; Dohrenbusch, A. Productivity, aboveground biomass, nutrient uptake and carbon content in fast-growing tree plantations of native and introduced species in the Southern Region of Costa Rica. Biomass Bioenergy 2011, 35, 1779–1788. [Google Scholar] [CrossRef]
- Kimmins, J.P. Forest Ecology: A Foundation for Sustainable Management, 2nd ed.; Prentice Hall: Upper Saddle River, NJ, USA, 1996. [Google Scholar]
- Moore, P.T.; Van Miegroet, H.; Nicholas, N.S. Relative role of understory and overstory in carbon and nitrogen cycling in a southern Appalachian spruce-fir forest. Can. J. For. Res. 2007, 37, 2689–2700. [Google Scholar] [CrossRef]
- Martin, J.G.; Kloeppel, B.D.; Schaefer, T.L.; Kimbler, D.L.; McNulty, S.G. Aboveground biomass and nitrogen allocation of ten deciduous southern Appalachian tree species. Can. J. For. Res. 1998, 28, 1648–1659. [Google Scholar] [CrossRef]
- Um, T.W. Change of tree species and stand structure on the different thinning intensity of Larix kaemferi plantation. Korean J. Environ. Ecol. 2015, 29, 580–589. [Google Scholar] [CrossRef]




| Soil Properties | Concentrations | |
|---|---|---|
| Texture | ||
| Sand (%) | 53.5 | (3.2) |
| Silt (%) | 26.3 | (1.8) |
| Clay (%) | 20.3 | (1.8) |
| Chemical properties | ||
| pH (−log(H+)) | 4.6 | (0.0) |
| Organic matter (%) | 2.95 | (0.12) |
| Total N (%) | 0.22 | (0.02) |
| Available P2O5 (mg kg−1) | 6.2 | (1.4) |
| Exchangeable K+ (cmolc kg−1) | 0.18 | (0.00) |
| Exchangeable Ca2+ (cmolc kg−1) | 0.15 | (0.05) |
| Exchangeable Mg2+ (cmolc kg−1) | 1.24 | (0.03) |
| CEC (cmolc kg−1) | 7.0 | (0.1) |
| EC (dS m−1) | 0.16 | (0.01) |
| Plot No. | Species | Mean Height (m) | Diameter at 10 cm above the Ground (cm) | DBH (cm) | Tree Density (100 trees ha−1) |
|---|---|---|---|---|---|
| 1 | Pinus rigida | - | 24.2(1.2) | 8.2 | |
| Acer palmatum | 2.9(na) | 1.5(na) | 1.2(na) | 1 | |
| Acer pseudosieboldianum | 3.7(1.4) | 1.6(0.2) | 1.3(0.2) | 5 | |
| Carpinus cordata | 5.2(0.8) | 2.6(0.8) | 2.0(0.6) | 5 | |
| Carpinus laxiflora | 7.4(1.3) | 4.2(1.0) | 3.7(0.8) | 4 | |
| Fraxinus rhynchophylla | 3.7(na) | 1.6(na) | 1.3(na) | 1 | |
| Prunus sargentii | 10.9(na) | 6.0(na) | 4.8(na) | 1 | |
| Quercus mongolica | 6.7(0.6) | 4.6(0.6) | 3.7(0.5) | 11 | |
| Quercus serrata | 7.9(1.0) | 5.7(1.5) | 4.5(1.2) | 4 | |
| Quercus variabilis | 8.6(0.7) | 6.7(1.0) | 5.4(0.8) | 5 | |
| Rhus trichocarpa | 2.8(na) | 1.6(na) | 1.7(na) | 1 | |
| Styrax japonica | 5.3(1.3) | 2.9(1.2) | 2.3(0.9) | 2 | |
| Styrax obassia | 6.9(0.1) | 4.3(0.7) | 3.4(0.6) | 4 | |
| 2 | Pinus rigida | - | 25.4(1.2) | 5.5 | |
| Carpinus cordata | 3.8(0.3) | 1.5(0.2) | 1.2(0.1) | 8 | |
| Carpinus laxiflora | 7.0(0.7) | 3.5(0.7) | 2.8(0.6) | 2 | |
| Prunus sargentii | 8.0(na) | 4.2(na) | 3.3(na) | 1 | |
| Quercus acutissima | 9.2(0.1) | 8.0(1.1) | 6.4(0.9) | 2 | |
| Quercus serrata | 8.3(0.4) | 6.1(0.6) | 4.8(0.5) | 14 | |
| Styrax japonica | 4.8(na) | 2.1(na) | 1.7(na) | 1 | |
| 3 | Pinus rigida | - | 26.4(1.6) | 6.6 | |
| Carpinus cordata | 4.5(0.2) | 1.9(0.2) | 1.5(0.1) | 6 | |
| Carpinus laxiflora | 6.4(na) | 4.5(na) | 3.6(na) | 1 | |
| Castanea crenata | 2.6(na) | 5.9(na) | 4.7(na) | 1 | |
| Lindera obtusiloba | 6.1(na) | 3.3(na) | 2.6(na) | 1 | |
| Quercus acutissima | 7.5(1.3) | 6.4(1.1) | 5.1(0.9) | 2 | |
| Quercus mongolica | 8.4(1.2) | 7.3(1.7) | 5.9(1.4) | 4 | |
| Quercus serrata | 7.9(0.6) | 6.3(0.8) | 5.0(0.7) | 7 | |
| Quercus variabilis | 8.0(1.2) | 6.7(1.0) | 5.3(0.8) | 3 | |
| Styrax japonica | 5.5(1.3) | 3.1(0.7) | 2.5(0.6) | 3 | |
| Sorbus alnifolia | 6.1(na) | 2.6(na) | 2.1(na) | 1 | |
| 4 | Pinus rigida | - | 25.5(1.1) | 5.1 | |
| Carpinus cordata | 5.2(1.0) | 2.2(0.6) | 1.8(0.5) | 4 | |
| Lindera obtusiloba | 6.2(0.2) | 3.1(0.4) | 2.5(0.4) | 4 | |
| Quercus serrata | 8.3(2.3) | 6.3(3.5) | 5.0(2.8) | 2 | |
| Quercus variabilis | 9.7(1.2) | 8.2(1.4) | 6.5(1.1) | 3 | |
| Sorbus alnifolia | 5.7(na) | 1.6(na) | 1.3(na) | 1 | |
| Styrax japonica | 6.5(0.3) | 3.8(0.4) | 3.0(0.3) | 8 |
| Species | Part | a | b | c |
|---|---|---|---|---|
| Pinus rigida | Stem | 0.029 | 1.824 | 1.036 |
| Branch | 0.002 | 2.632 | 2.058 | |
| Foliage | 0.053 | 1.820 | −0.220 | |
| Quercus acutissima | Stem | 0.008 | 2.334 | 1.069 |
| Branch | 0.012 | 2.853 | 0.006 | |
| Foliage | 0.008 | 2.518 | −0.151 | |
| Quercus variabilis | Stem | 0.053 | 1.810 | 0.881 |
| Branch | 0.082 | 2.553 | −0.608 | |
| Foliage | 1.108 | 1.630 | −0.406 | |
| Quercus mongolica | Stem | 0.098 | 1.406 | 1.135 |
| Branch | 0.018 | 3.083 | −0.493 | |
| Foliage | 0.023 | 2.609 | −0.833 | |
| Quercus serrata | Stem | 0.046 | 1.988 | 0.759 |
| Branch | 0.019 | 3.500 | −0.923 | |
| Foliage | 0.008 | 2.970 | −0.785 | |
| Carpinus laxiflora | Stem | 0.065 | 1.780 | 0.809 |
| Branch | 0.107 | 3.706 | −1.884 | |
| Foliage | 0.003 | 5.321 | −3.491 |
| Species | Tree Component | a | b | c | Probability | R2 | |||
|---|---|---|---|---|---|---|---|---|---|
| a | b | c | eq | ||||||
| Quercus variabilis (n = 11) | Leaf | −1.854 | 4.618 | −1.928 | 0.046 | 0.002 | 0.229 | 0.000 | 0.887 |
| Branch | −3.383 | 2.975 | 1.512 | 0.009 | 0.047 | 0.441 | 0.000 | 0.863 | |
| Stem | −1.721 | 1.495 | 1.765 | 0.000 | 0.001 | 0.004 | 0.000 | 0.981 | |
| Total | −1.662 | 1.724 | 1.617 | 0.001 | 0.002 | 0.023 | 0.000 | 0.970 | |
| Quercus acutissima (n = 4) | Leaf | −1.690 | 3.914 | −1.522 | 0.153 | 0.110 | 0.312 | 0.125 | 0.984 |
| Branch | −0.822 | 6.149 | −3.845 | 0.699 | 0.259 | 0.436 | 0.348 | 0.879 | |
| Stem | −1.612 | 1.856 | 1.355 | 0.033 | 0.047 | 0.077 | 0.026 | 0.999 | |
| Total | −1.261 | 2.661 | 0.426 | 0.169 | 0.133 | 0.640 | 0.101 | 0.990 | |
| Quercus mongolica (n = 15) | Leaf | −2.250 | 2.037 | 0.658 | 0.000 | 0.002 | 0.384 | 0.000 | 0.905 |
| Branch | −2.432 | 2.308 | 1.200 | 0.000 | 0.000 | 0.084 | 0.000 | 0.952 | |
| Stem | −1.538 | 0.917 | 1.952 | 0.002 | 0.107 | 0.023 | 0.000 | 0.884 | |
| Total | −1.367 | 1.275 | 1.632 | 0.000 | 0.006 | 0.010 | 0.000 | 0.943 | |
| Quercus serrata (n = 27) | Leaf | −2.546 | 2.647 | 0.527 | 0.000 | 0.000 | 0.586 | 0.000 | 0.824 |
| Branch | −2.011 | 3.387 | −0.219 | 0.008 | 0.000 | 0.840 | 0.000 | 0.825 | |
| Stem | −0.654 | 2.309 | 0.041 | 0.026 | 0.000 | 0.925 | 0.000 | 0.936 | |
| Total | −0.629 | 2.426 | 0.023 | 0.020 | 0.000 | 0.955 | 0.000 | 0.950 | |
| Carpinus laxiflora (n = 7) | Leaf | −3.435 | 0.824 | 2.849 | 0.002 | 0.203 | 0.025 | 0.000 | 0.982 |
| Branch | −1.827 | 2.342 | 0.505 | 0.190 | 0.169 | 0.822 | 0.012 | 0.891 | |
| Stem | −1.673 | 1.407 | 1.718 | 0.005 | 0.016 | 0.032 | 0.000 | 0.991 | |
| Total | −1.546 | 1.491 | 1.648 | 0.002 | 0.005 | 0.016 | 0.000 | 0.995 | |
© 2020 by the authors. Licensee MDPI, Basel, Switzerland. This article is an open access article distributed under the terms and conditions of the Creative Commons Attribution (CC BY) license (http://creativecommons.org/licenses/by/4.0/).
Share and Cite
Han, S.H.; Park, B.B. Comparison of Allometric Equation and Destructive Measurement of Carbon Storage of Naturally Regenerated Understory in a Pinus rigida Plantation in South Korea. Forests 2020, 11, 425. https://doi.org/10.3390/f11040425
Han SH, Park BB. Comparison of Allometric Equation and Destructive Measurement of Carbon Storage of Naturally Regenerated Understory in a Pinus rigida Plantation in South Korea. Forests. 2020; 11(4):425. https://doi.org/10.3390/f11040425
Chicago/Turabian StyleHan, Si Ho, and Byung Bae Park. 2020. "Comparison of Allometric Equation and Destructive Measurement of Carbon Storage of Naturally Regenerated Understory in a Pinus rigida Plantation in South Korea" Forests 11, no. 4: 425. https://doi.org/10.3390/f11040425
APA StyleHan, S. H., & Park, B. B. (2020). Comparison of Allometric Equation and Destructive Measurement of Carbon Storage of Naturally Regenerated Understory in a Pinus rigida Plantation in South Korea. Forests, 11(4), 425. https://doi.org/10.3390/f11040425

