Abstract
The forest understory plays an important role in the carbon and nutrient cycling and forest stability, but cost-efficient quantification of its biomass remains challenging. Most of the existing biomass allometric equations have been developed and designed only for mature forest trees (i.e., Diameter at breast height (DBH) ≥ 10 cm), and those for trees with DBH less than 10 cm are not readily available. In this study, we compared the biomass by plant component (i.e., foliage, branch, and stem) measured by a destructive method with those estimated by the existing biomass allometric equations for understory trees with DBH less than 10 cm in a Pinus rigida plantation. We also developed an allometric biomass equation for the identified understory tree species, namely, Quercus variabilis, Quercus acutissima, Quercus mongolica, Quercus serrata, and Carpinus laxiflora. The estimated biomass using allometric equations for foliage, branch, and stem was lower than the values obtained using the destructive method by 64%, 41%, and 18%, respectively. The biomass allometric equations developed in this study showed high coefficients of determination (mean R2 = 0.970) but varied depending on species and tree part (range: 0.824–0.984 for foliage, 0.825–0.952 for branch, and 0.884–0.999 for the stem, respectively). The computed biomass of the understory vegetation was 22.9 Mg ha−1, representing 12.0% of the total biomass of the P. rigida plantation. The present study demonstrates that understory trees with DBH less than 10 cm account for a considerable portion of carbon stock in forest ecosystems, and therefore suggests that more biomass allometric equations should be optimized for small-DBH trees to improve forest carbon stock estimation.
    1. Introduction
Increasing the use of fossil fuels and changes in land use worldwide are mostly responsible for global warming [,]. Forests have long been recognized as a major reservoir of global carbon, which plays a very crucial role in the mitigation of climate change [,,]. In response, many countries have been developing methods for accurate national forest carbon stock estimations to help define management options for the changing global carbon cycle [,,,]. Thus, a comprehensive and accurate estimation of carbon stocks in different vegetation types is deemed important for a better understanding of both local and global carbon budgets.
Forest biomass can be estimated by either direct or indirect methods. The former is considered the most accurate method but requires destructive sampling because it involves whole-tree cutting which is complicated, labor-intensive, and time-consuming [,]. Indirect estimations of biomass using satellite data, aerial imagery, and numerical altitude models for large forest areas have recently been explored, but are not always reliable due to some technological limitations [,,]. Consequently, allometric equations have been considered as the most appropriate option for biomass estimation of major tree species using the diameter at breast height (DBH) and height parameters, which enable a rapid prediction of aboveground biomass [,], especially in key conservation areas where cutting is prohibited [,]. Even though destructive sampling is also an integral part of developing good allometric models, the succeeding biomass estimations using the established allometric equation are already non-destructive approaches that can be used to estimate the biomass of either whole trees or its components (e.g., leaves, stem, and roots).
Temperate forests play an important role in the global carbon (C) cycle []. Similar to other terrestrial forest ecosystems, the canopy layer in a temperate-zone coniferous plantation is usually dominated by large-DBH planted trees and the understory mostly by broadleaf tree species with DBH less than 10 cm. Forest trees show different biomass distribution patterns depending on stand age and forest strata []. At an early developmental stage, forest trees show a rapid increase in foliage biomass for rapid canopy formation, but the proportion of stem biomass increases once the canopy closure is reached [,]. As a result, the biomass of understory vegetation also varies widely depending on the dominant species, stand age, and stand density, and forest site conditions such as soil and climate characteristics [,]. Understory plants compete for light, nutrients, moisture, and space with canopy trees, and in turn, get indirect benefits including protection from herbivores, mitigation of abrupt environmental fluctuations, reduction of canopy leaching of nutrients, and soil microbial activity enhancement [,]. Moreover, leaf litterfall characteristics of understory plants differ significantly from that of canopy trees [], which has a significant influence on the soil nutrient availability and soil carbon cycle [,,], and tree biomass production.
In this study, we suggest that the accuracy of biomass or carbon stock estimations in a forest plantation may also depend on the types of vegetation factored into the equation used. Although a large proportion of the total forest productivity is contributed by the overstory tree layer, understory vegetation also plays an important role in the overall forest productivity due to its higher turnover rate compared to overstory trees []. Despite the significant role of understory vegetation biomass in maintaining forest stability and supplying numerous forest ecosystem services, most of the studies on forest biomass estimation have focused on mature trees with DBH greater than 10 cm [,,]. For Korea, the National Forest Inventory explicitly excludes trees with a DBH < 6 cm from measurement [] due to low or no commercial value of understory trees [,,]. Similarly, relatively fewer forest understory vegetation measurements are available in the United States compared to forest overstory, as their key role in ecosystem and the terrestrial carbon cycle are often overlooked and underappreciated []. Other possible reasons that restrict measurements of biomass to a certain DBH threshold are time and budgetary constraints. Moreover, most of the existing biomass allometric equations have been developed and designed only for mature forest trees (i.e., DBH ≥ 10 cm), and those for trees with DBH less than 10 cm are not readily available. Several studies have also shown the inapplicability of the existing allometric equations (developed for mature trees) to understory plants with DBH ≤ 10 cm [,]. This necessitates optimizing allometric equations for understory vegetation.
In this study, we measured the biomass of understory vegetation in a Pinus rigida plantation in a destructive manner and compared the measured values with the estimated values using the biomass allometric equations, which have been developed for trees with DBH > 6 cm. Afterward, we developed an allometric biomass equation for the identified understory trees with DBH less than 10 cm, namely, Quercus variabilis Blume, Quercus acutissima Carruth., Quercus mongolica Fisch. Ex Ledeb., Quercus serrata Murray, and Carpinus laxiflora Siebold and Succ. Blume. Throughout this paper, the term “understory vegetation” refers to tree vegetation below the overstory, exclusive of epiphytes, ferns, and other growth forms. Our objectives were to (1) investigate the contribution of the understory vegetation to total biomass of a forest stand, (2) to test the application of existing allometric equations developed for estimating the biomass of mature trees to the five regenerated dominant understory tree species, and (3) to develop allometric equations for estimating the biomass of regenerating trees of five important understory tree species in Pinus plantations. This study will demonstrate the important contribution of the understory vegetation biomass in the overall or total carbon storage in a Pinus plantation.
2. Materials and Methods
2.1. Study Site
This study was conducted in a 5.9 ha Pinus rigida plantation located in the premises of the Forest Technology and Management Research Center, National Institute of Forest Science in Pocheon, Gyeonggi-do (37.76° N, 127.10° E), located in northeastern Seoul in a 27 km distance (Figure 1). P. rigida used to be a main species in artificial plantation in Korea, composing 26.0% of plantation []. In 2015, the mean temperature and total precipitation were 12.8 °C and 988 mm, respectively []. This P. rigida plantation was established in 1967 on a northwestern slope at 164 m altitude []. The stand structural parameters of the canopy tree species P. rigida are as follows: stand density = 717 trees ha−1, mean tree height = 21.5 m, mean DBH = 24.2 cm, and mean basal area = 34.9 m2 ha−1. Soil in 0–10 cm depth were sampled to analyze and soil characteristics of the research area are shown in Table 1.
      
    
    Figure 1.
      The location of the Pinus rigida plantation in the Forest Technology and Management Research Center in Pocheon and sampling plots of this study.
  
       
    
    Table 1.
    Soil characteristics of the research area in the Pinus rigida plantation. Total N, CEC and EC represent the sum of organic N and inorganic N, cation exchange capacity, and electrical conductivity, respectively. Parentheses denote standard errors (n = 4).
  
2.2. Estimation of Understory Aboveground Biomass Using a Destructive Method
In this study site, four plots (16 × 16 m) were established randomly in August 2015. Average steepness of the slope of the research sites were 16°. To measure the understory vegetation biomass within a quadrat using the destructive method, we cut all plants with a diameter larger than 1 cm at the 1 cm height from the ground using a hand saw. Afterward, we measured the tree height and diameter at 10 cm height from the cut edge using a diameter tape (Table 2) and measured the fresh weights by component (foliage, branch, and stem). DBHs for trees < 2 cm at 1.3 m in height were estimated by the DBH = aDsb equation, where D means diameter at 10 cm in height above the ground, which was developed by the Korea Forest Services (KFS) in this region []. A total of 123 trees belonging to 16 species were used in this study. Lastly, samples of each species by tree part were transferred to the laboratory and oven-dried for 72 h at 65 °C. The ratio of dry weight to fresh weight of the cut trees was 0.375, 0.584, and 0.670 for foliage, branch, and stem, respectively (Supplementary Table S1).
       
    
    Table 2.
    Species characteristics of over- and under-story layer in the Pinus rigida plantation. The values of mean diameter at 10 cm height above the ground for all understory trees and DBH (Diameter at Breast Height) for P. rigida and understory trees, respectively. Parentheses denote standard errors. ‘na’ means not available because of one sample only.
  
2.3. Understory Vegetation Biomass Estimation Using Existing Allometric Equations
The DBH and height were measured to estimate the biomass of the canopy tree species P. rigida. We estimated the understory vegetation biomass by species and tree part using existing biomass allometric equations developed for P. rigida, Q. variabilis, Q. acutissima, Q. mongolica, Q. serrata, and C. laxiflora from the Korea Forest Service []. For the species that have no existing allometric equations, we applied the most suitable allometric equation taking into account the species-specific developmental curve. The allometric biomass equation of Q. serrata was used for Fraxinus rhynchophylla, Prunus sargentii, and C. laxiflora, for the remaining species (Table 3).
       
    
    Table 3.
    The coefficients for allometric equations of each part of the species []. Y = aDbHc was used for allometric equations, where D is DBH, H is tree height, and Y is dry weight. The coefficients for allometric equations were developed for over 6 cm of DBH trees.
  
2.4. Development and Statistical Analysis of Biomass Allometric Equations for the Main Understory Tree Species
We used the data obtained using the destructive method for developing the biomass allometric equations for the aboveground components of the five major understory tree species (Q. variabilis, Q. acutissima, Q. mongolica, Q. serrata, and C. laxiflora). The allometric equations for estimating the total aboveground biomass and the component-specific biomass were derived using the linear regression equation (log Y = a + b log D + c log H) with DBH (D) and height (H) as the independent variables and the dry weight of each component (Y) as the dependent variable. The regression equations were then derived and were considered for statistical significance at α = 0.05. Lastly, the coefficients of determination (R2) were calculated. All analyses were performed using SPSS 24.0 (SPSS, Inc., Chicago, IL, USA) statistical software packge.
3. Results
3.1. Biomass Analysis by Species
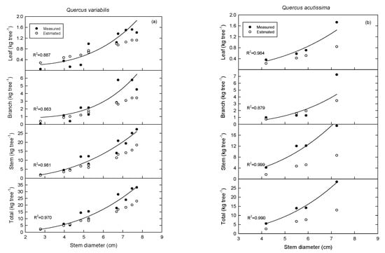
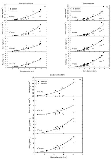
The biomass of each tree part estimated with the regression equation (hereinafter the “estimated value”) was generally lower than the values obtained using the destructive method (hereinafter the “measured value”). However, variations across species and tree parts were observed (Figure 2). The measured values of the foliage and branch biomass of Q. variabilis varied significantly by DBH, such that the stem biomass increased exponentially as the DBH increased (Figure 2a). In the case of branch of Q. acutissima, the measured value was less than the estimated value in the DBH range of 5.5–5.9 cm (Figure 2b). Foliage and branch biomass of Q. mongolica was underestimated, but stem biomass was estimated close to the measured value (Figure 2c). In Q. serrata, the difference between the measured and estimated values of aboveground biomass (foliage, branch, and stem) tended to increase with the increase in the DBH (Figure 2d). Lastly, the estimated value of foliage biomass in the case of C. laxiflora was remarkably lower than the measured value (Figure 2e).

      
    
    Figure 2.
      Measured and estimated allometric biomass of five species sampled in this study: (a), Quercus variabilis; (b), Q. acutissima; (c), Q. mongolica; (d), Q. serrata; (e), Carpinus laxiflora. Measured (●) were made using samples of each species from Pinus rigida plantation. Estimated (○) were made using equations developed from Korea Forest Service []. Black line represents the calculating result of the biomass equation, log Y = a + b log D + c log H, that was developed in this study, where D is stem DBH, H is tree height, and Y is component dry weight.
  
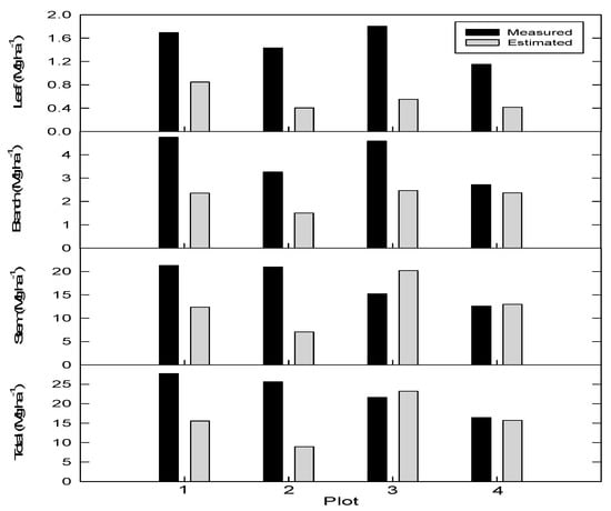
3.2. Biomass Analysis by Plot
Generally, the biomass estimated with allometric equations were lower than the measured values in all plots (Figure 3), with the mean estimated values for foliage, branch, and stem lower than the mean measured values by 64%, 41%, and 18%, respectively. Specifically, the estimated values for foliage and branch were lower than the measured values in all plots by 50%–72% and 13%–54%, respectively. In the case of the stem, however, whereas the estimated value was lower in plots 2 and 4 by 58% and 34% respectively, it was 33% higher in plot 5.
      
    
    Figure 3.
      Measured (black bars) and estimated allometric aboveground biomass (gray bars) of each plot in this study.
  
The estimated mean total biomass of P. rigida was 167.6 Mg ha−1. The measured and estimated mean total values of understory vegetation were 22.9 and 15.9 Mg ha−1 respectively (Figure 3), accounting for 12.0% and 8.6% of the total biomass of the P. rigida plantation.
3.3. Species-Specific Biomass Allometric Equations
In the biomass allometric equations derived for the five understory tree species based on the DBH and height, the constants a, b, and c varied depending on species and tree part (Table 3; Figure 2). The biomass allometric equations showed high explanatory power in all the aboveground components of all five species (mean R2 = 0.970). The range of R2 values of the allometric equations for the foliage, branch, and stem biomass estimations in the five species were 0.824–0.984, 0.825–0.952, and 0.884–0.999, respectively. Almost all of the constants and coefficients of the allometric equations by species and tree part were statistically significant (Table 4).
       
    
    Table 4.
    Regressions coefficients, their probabilities, and determination coefficients of tree component dry mass (kg) on diameter (cm) at breast height (DBH), height (m) and equation (eq) for 5 species of understory vegetation in the Pinus rigida plantation. Equations follow the form: log Y = a + b log D + c log H, where D is stem DBH, H is tree height and Y is component dry mass. “n” means the number of trees of each species that were destructively sampled in this study.
  
4. Discussion
In this study, we stated that the DBH-dependent biomass variations make the existing biomass allometric equations developed for large-DBH trees inappropriate to apply for trees with smaller DBH values (e.g., understory tree regeneration) for biomass estimation. One possible reason is the inevitable inaccuracy/error in estimating foliage and branch biomass due to differences in growth rates among tree species []. For example, in a study measuring the DBH-dependent biomass of the aboveground components in a forest plantation, foliage and branch biomass decreased and stem biomass increased with the increase in the DBH []. This is because understory vegetation biomass growth is influenced by the structural characteristics of a forest stand [,]. At an early developmental stage, canopy biomass increases rapidly because of fast foliage growth to enhance photosynthesis. Once the canopy closure is reached, however, the proportion of stem biomass increases [,].
Across understory trees investigated, there were up to five-fold differences in the total aboveground biomass between the estimated and measured values, mostly in the foliage biomass. The scope of difference was similar to that resulting from the comparison between the measured values and the values estimated with the regression equations developed for sugar maple, yellow birch, and American beech [,]. Aboveground forest tree biomass distribution by component varies increasingly as the stand age and DBH increase [] on account of the increasing deviation in the foliage and branch biomass distribution in understory vegetation. This may be attributed to the differences in light availability within a forest stand depending on the degree of canopy closure [,,].
The measured total aboveground biomass of the understory vegetation accounted for ~12.0% of the total aboveground biomass of the P. rigida plantation. This is a much higher value compared to the values (3%–5%) reported in previous works [,]. This is probably because such studies were conducted in forest stands with greater stand age and canopy coverage. Stand density and age of the canopy trees play an important role in understory vegetation [], and light-use efficiency has a great effect on the diversity of understory vegetation species []. This suggests the importance of some silvicultural approaches (e.g., operational thinning) to enhance the biomass growth of both overstory and understory vegetation in traditionally managed overly dense pine plantations.
The explanatory power of biomass allometric equations is generally known to be highest for foliage, followed by branch and stem [,,]. The results of our study are not consistent with those of a study on biomass allometric equations for nine tree species at sapling stage (DBH ≤ 8 cm) in temperate mixed deciduous forests, in which foliage and stem showed the lowest (0.750) and highest (0.954) coefficients of determination []. From these inconsistent findings, it can be inferred that species-specific growth characteristics, site-specific environmental characteristics, and forest stand characteristics have diverse and significant effects on biomass distribution by tree part. These three factors may further complicate the accurate biomass estimation for different aboveground components, especially foliage and branch.
Growth characteristics of understory vegetation biomass can vary greatly depending on the dominant species and site environments [,]. Therefore, care should be taken when applying the biomass allometric equations derived in this study to plantations with different dominant species, natural forests, and trees with higher DBH values.
5. Conclusions
The results demonstrate that the use of existing allometric equations for biomass estimation of understory vegetation tends to underestimate biomass compared to the actual biomass. Our findings should provide a better understanding of the distribution and circulation patterns of carbon stocks in temperate forests by including the carbon stock of understory vegetation, which accounts for a considerable portion of total forest biomass. Further, the study can help future carbon stock assessment efforts to uplift the value of forest ecosystem services of a forest plantation, particularly P. rigida plantations with similar forest site conditions as described in this study. Nevertheless, further studies on biomass estimations of understory vegetation in P. rigida plantations and other forest types with a validation test procedure will completely shed light on the biomass contained within the understory stratum of the plantation.
Supplementary Materials
The following are available online at https://www.mdpi.com/1999-4907/11/4/425/s1, Table S1: Dry-to-fresh weight ratio of each species measured for biomass calculation in the Pinus rigida plantation. Parentheses denote standard errors. ‘na’ means not available because of one sample only.
Author Contributions
Conceptualization, B.B.P.; methodology, B.B.P.; writing—original draft preparation, S.H.H.; writing—review and editing, B.B.P.; supervision, B.B.P. All authors have read and agreed to the published version of the manuscript.
Funding
This research was supported by Basic Science Research Program through the National Research Foundation of Korea (NRF) funded by the Ministry of Education (2018R1D1A3B07045079) and R&D Program for Forest Science Technology (Project No. 2018112D10-2020-BB01) provided by Korea Forest Service (Korea Forestry Promotion Institute).
Acknowledgments
The authors would like to thank the following researchers, L. Meng, J.M. Seo, J.H. Song, J.Y. An, W.B. Youn, and J.O. Hernandez for their help in the data collection and tree biomass investigation.
Conflicts of Interest
The authors declare no conflict of interest.
References
- UNFCCC. Reporting and Accounting of LULUCF Activities under the Kyoto Protocol; United Nations Framework Convention on Climatic Change (UNFCCC): Bonn, Germany, 2013. [Google Scholar]
 - IPCC. Summary for Policymakers. In Global Warming of 1.5 °C; World Meteorological Organization: Geneva, Switzerland, 2018. [Google Scholar]
 - Vitousek, P.M. Can planted forest s counteract increasing atmospheric carbon dioxide? J. Environ. Qual. 1991, 20, 348–354. [Google Scholar] [CrossRef]
 - Hu, H.; Wang, G.G. Changes in forest biomass carbon storage in the South Carolina Piedmont between 1936 and 2005. For. Ecol. Manag. 2008, 255, 1400–1408. [Google Scholar] [CrossRef]
 - de Coninck, H.; Revi, A.; Babiker, M.; Bertoldi, P.; Buckeridge, M.; Cartwright, A.; Dong, W.; Ford, J.; Fuss, S.; Hourcade, J.C.; et al. Strengthening and Implementing the Global Response. In Global Warming of 1.5 °C; Masson-Delmotte, V., Zhai, P., Pörtner, H.O., Roberts, D., Skea, J., Shukla, P.R., Pirani, A., Moufouma-Okia, W., Péan, C., Pidcock, R., Eds.; IPCC: Geneva, Switzerland, 2018; p. 151. [Google Scholar]
 - Gills, M.D.; Omule, A.Y.; Brierley, T. Monitoring Canada’s forests: The national forest inventory. For. Chron. 2005, 81, 214–221. [Google Scholar] [CrossRef]
 - Hirata, Y.; Matsumoto, M.; Iehara, T. Japanese National Forest Inventory and Its Spatial Extension by Remote Sensing. In Proceedings of the Eighth Annual Forest Inventory and Analysis Symposium, Monterey, CA, USA, 16–19 October 2006; U.S. Department of Agriculture, Forest Service: Washington, DC, USA, 2006. [Google Scholar]
 - Zeng, W.; Tomppo, E.; Healey, S.P.; Gawdon, K.V. The national forest inventory in China: History-results-international context. For. Ecosyst. 2015, 2, 23. [Google Scholar] [CrossRef]
 - Park, B.B.; Han, S.H.; Rahman, A.; Choi, B.A.; Im, Y.S.; Bang, H.S.; So, S.J.; Koo, K.M.; Park, D.Y.; Kim, S.B.; et al. Brief history of Korean national forest inventory and academic usage. Korean J. Agric. Sci. 2016, 43, 299–319. [Google Scholar] [CrossRef][Green Version]
 - Whittaker, R.H.; Bormann, F.H.; Likens, G.E.; Siccama, T.G. The Hubbard Brook ecosystem study: Forest biomass and production. Ecol. Monogr. 1974, 44, 233–252. [Google Scholar] [CrossRef]
 - Sah, J.P.; Ross, M.S.; Koptur, S.; Snyder, J.R. Estimating aboveground biomass of broadleaved woody plants in the understory of Florida keys pine forests. For. Ecol. Manag. 2004, 203, 319–329. [Google Scholar] [CrossRef]
 - Yim, J.S.; Han, W.S.; Hwang, J.H.; Chung, S.Y.; Cho, H.K.; Shin, M.Y. Estimation of forest biomass based upon satellite data and national forest inventory data. Korean J. Remote Sens. 2009, 25, 311–320. [Google Scholar]
 - Jung, J.H.; Heo, J.; Yoo, S.H.; Kim, K.M.; Lee, J.B. Estimation of aboveground biomass carbon stock in Danyang area using kNN algorithm and Landsat TM seasonal satellite images. J. Korean Soc. Geospat. Inf. Syst. 2010, 18, 119–129. [Google Scholar]
 - Kim, S.H.; Park, E.J.; Kim, I.K. Estimation of carbon sequestration in urban green spaces using environmental spatial information. J. Korea Soc. Environ. Restor. Technol. 2018, 21, 13–26. [Google Scholar]
 - Na, S.J.; Kim, C.S.; Woo, K.S.; Kim, H.J.; Lee, D.H. Correlation of above- and below-ground biomass between natural and planted stands of Pinus densiflora for. erecta of one age-class in Gangwon province. J. Korean Soc. For. Sci. 2011, 100, 42–51. [Google Scholar]
 - Annighöfer, P.; Ameztegui, A.; Ammer, C.; Balandier, P.; Bartsch, N.; Bolte, A.; Coll, L.; Collet, C.; Ewald, J.; Frischbier, N.; et al. Species-specific and generic biomass equations for seedlings and saplings of European tree species. Eur. J. For. Res. 2016, 135, 313–329. [Google Scholar] [CrossRef]
 - Daryaei, A.; Sohrabi, H. Additive biomass equations for small diameter trees of temperate mixed deciduous forests. Scand. J. For. Res. 2016, 31, 394–398. [Google Scholar] [CrossRef]
 - Binkley, D.; Fisher, R.F. Ecology and Management of Forest Soils; John Wiley & Sons, Inc.: New York, NY, USA, 2000. [Google Scholar]
 - Viera, M.; Schumacher, M.V.; Bonacina, D.M.; de Oliveira Ramos, L.O.; Rodríguez-Soalleiro, R. Biomass and nutrient allocation to aboveground components in fertilized Eucalyptus saligna and E. urograndis plantations. New For. 2017, 48, 445–462. [Google Scholar]
 - Çömez, A.; Tolunay, D.; Güner, Ş.T. Litterfall and the effects of thinning and seed cutting on carbon input into the soil in Scots pine stands in Turkey. Eur. J. For. Res. 2019, 138, 1–14. [Google Scholar] [CrossRef]
 - Peichl, M.; Arain, M. Allometry and partitioning of above and belowground tree biomass in an age-sequence of white pine forests. For. Ecol. Manag. 2007, 253, 68–80. [Google Scholar] [CrossRef]
 - Fatemi, R.F.; Yanai, R.D.; Hamburg, S.P.; Vadeboncoeur, M.A.; Arthur, M.A.; Briggs, R.D.; Levine, C.R. Allometric equations for young northern hardwoods: The importance of age-specific equations for estimating aboveground biomass. Can. J. For. Res. 2011, 41, 881–891. [Google Scholar] [CrossRef]
 - Yarie, J. The role of understory vegetation in the nutrient cycle of forested ecosystems in the Mountain Hemlock biogeoclimatic zone. Ecology 1980, 61, 1498–1514. [Google Scholar] [CrossRef]
 - Du, Z.; Cai, X.; Bao, W.; Chen, H.; Pan, H.; Wang, X.; Zhao, Q.; Zhu, W.; Liu, X.; Jiang, Y.; et al. Short-term vs. long-term effects of understory removal on nitrogen and mobile carbohydrates in overstory trees. Forests 2016, 7, 67–79. [Google Scholar] [CrossRef]
 - Kim, J.H.; Chang, N.K. A Study on the production and decomposition of litters of major forest trees in Korea. Weed Turfgrass Sci. 1997, 11, 33–43. [Google Scholar]
 - Kim, C.; Lee, I.K.; Lim, J.H.; Park, B.B.; Chun, J.H. Annual variation of soil CO2 efflux in a broadleaved deciuous forest of the Geumsan (Mt.) long-term ecological research site. Korean J. Agric. For. Meteorol. 2013, 15, 186–190. [Google Scholar] [CrossRef]
 - Selig, M.F.; Seiler, J.R.; Tyree, M.C. Soil carbon and CO2 efflux as influenced by the thinning of loblolly pine (Pinus taeda L.) plantations on the Piedmont of Virginia. For. Sci. 2008, 54, 58–66. [Google Scholar]
 - Gilliam, F.S. The ecological significance of the herbaceous layer in temperate forest ecosystems. BioScience 2007, 57, 845–858. [Google Scholar] [CrossRef]
 - Bond-Lamberty, B.; Wang, C.; Gower, S.T. Aboveground and belowground biomass and sapwood area allometric equations for six boreal tree species of northern Manitoba. Can. J. For. Res. 2002, 32, 1441–1450. [Google Scholar] [CrossRef]
 - KFRI. The 5th National Forest Inventory Report; Korea Forest Research Institute (KFRI): Seoul, Korea, 2011. (In Korean) [Google Scholar]
 - KFS. Forest and Forestry Technique 2; Korea Forest Service (KFS): Daejeon, Korea, 2000. (In Korean) [Google Scholar]
 - Brown, S. Measuring carbon in forests: Current status and future challenges. Environ. Pollut. 2002, 116, 363–372. [Google Scholar] [CrossRef]
 - Johnson, K.D.; Domke, G.M.; Russell, M.W.; Walters, B.; Hom, J.; Peduzzi, A.; Birdsey, R.; Dolan, K.; Huang, W. Estimating aboveground live understory vegetation carbon in the United States. Environ. Res. Lett. 2017, 12, 125010. [Google Scholar] [CrossRef]
 - NIFoS. The Investigation of Forest Resources in the Gwangneung Experimental Forest; National Institute of Forest Science (NIFoS): Seoul, Korea, 2016. (In Korean) [Google Scholar]
 - KMA. Annual Climatological Report 2015; Korea Meteorological Administration (KMA): Seoul, Korea, 2015. [Google Scholar]
 - KFRI. 90 Years History of Gwangneung Experimental Forest; Korea Forest Research Institute (KFRI): Seoul, Korea, 2003. (In Korean) [Google Scholar]
 - KFRI. Carbon Emission Factors and Biomass Allometric Equations by Species in Korea; Korea Forest Research Institute (KFRI): Seoul, Korea, 2014. (In Korean) [Google Scholar]
 - Arias, D.; Calvo-Alvarado, J.; Ritchter, D.B.; Dohrenbusch, A. Productivity, aboveground biomass, nutrient uptake and carbon content in fast-growing tree plantations of native and introduced species in the Southern Region of Costa Rica. Biomass Bioenergy 2011, 35, 1779–1788. [Google Scholar] [CrossRef]
 - Kimmins, J.P. Forest Ecology: A Foundation for Sustainable Management, 2nd ed.; Prentice Hall: Upper Saddle River, NJ, USA, 1996. [Google Scholar]
 - Moore, P.T.; Van Miegroet, H.; Nicholas, N.S. Relative role of understory and overstory in carbon and nitrogen cycling in a southern Appalachian spruce-fir forest. Can. J. For. Res. 2007, 37, 2689–2700. [Google Scholar] [CrossRef]
 - Martin, J.G.; Kloeppel, B.D.; Schaefer, T.L.; Kimbler, D.L.; McNulty, S.G. Aboveground biomass and nitrogen allocation of ten deciduous southern Appalachian tree species. Can. J. For. Res. 1998, 28, 1648–1659. [Google Scholar] [CrossRef]
 - Um, T.W. Change of tree species and stand structure on the different thinning intensity of Larix kaemferi plantation. Korean J. Environ. Ecol. 2015, 29, 580–589. [Google Scholar] [CrossRef]
 
© 2020 by the authors. Licensee MDPI, Basel, Switzerland. This article is an open access article distributed under the terms and conditions of the Creative Commons Attribution (CC BY) license (http://creativecommons.org/licenses/by/4.0/).