Next Article in Journal
Cell Wall Bulking by Maleic Anhydride for Wood Durability Improvement
Previous Article in Journal
The Quantity and Biochemical Composition of Sap Collected from Silver Birch (Betula pendula Roth) Trees Growing in Different Soils
 
 
Font Type:
Arial Georgia Verdana
Font Size:
Aa Aa Aa
Line Spacing:
Column Width:
Background:
Article

Multi-Factorial Load Analysis of Pine Sawlogs in Transport to Sawmill

by
Łukasz Tymendorf
and
Grzegorz Trzciński
*
Department of Forest Utilization, Institute of Forest Sciences, Warsaw University of Life Sciences—SGGW, 159 Nowoursynowska St., 02-776 Warsaw, Poland
*
Author to whom correspondence should be addressed.
Forests 2020, 11(4), 366; https://doi.org/10.3390/f11040366
Submission received: 26 February 2020 / Revised: 24 March 2020 / Accepted: 25 March 2020 / Published: 26 March 2020
(This article belongs to the Section Wood Science and Forest Products)

Abstract

This study analyzed the variability of truckloads of large-sized pine logs transported to a furniture manufacturing mill, depending on the origin of the timber, delivery period, length of the transported logs, volume of the load and its mass. It was assumed that the volume and mass of the transported timber load depends on the season of the year and the origin of the timber, which has a significant impact on the mass of one cubic meter of the load. The analysis of the wood origin parameters (location of its growth) took into account the type of forest habitat, soil type and stand abundance. The characteristics of the tree parameters from which the roundwood was obtained took into account age, diameter at breast height (DBH) and height of the stand. The origin of the timber was determined for 1063 timber loads from 40 forest districts transported over a 12 month period. We obtained an average timber load volume of 29.34 m3 which includes single shipments differing significantly in their volume of between 24.21 and 36.51 m3. The origin of the timber, habitat conditions and stand parameters of the harvesting site influence load mass and the mass of 1 m3 of load. The delivery date has an impact on the studied elements of the sawlogs load, with two similar periods—spring and summer. The volume of the transported timber is already at a stabilized level in accordance with legal regulations, which is no longer dependent on other factors and only on the accepted conversion factors for roundwood density and the mass of the empty vehicle set. This has not influenced a reduction in the mass of the transported timber.

1. Introduction

Based on the Statistical Yearbook of Forestry 2019, the total forest area in Poland is 9242 thousand ha. The area of all coniferous trees is 6309 thousand ha (68.4% of total forest area). The main tree species is Scots pine (Pinus Sylvestris) with an area of 5366 thousand ha (58.2% of total forest area). [1]. The natural potential and proper management of forests allows the increase of the harvest of raw material, to secure increasing demand from wood industry. In 2018, State Forestssold 47.7 million m3 of total timber volume, of which sawmill coniferous timber (softwood saw timber) constituted 14.5 million m3 [1]. In terms of raw material, large-size pine wood is one of the basic assortments sold by SF and used by the wood industry in Poland.
There are only 29 companies, which buy over 100 thousand m3 of wood. Twenty processed up to 500 thousand m3. Two companies have processing capacity at the level of 500–1000 thousand m3. Four companies process over 1 million m3 [2]. In 2018, 30 of the largest sawmill companies in Poland processed 6440 thousand m3, including 7 sawmills processing over 250 thousand m3 [3]. However, 70% of the State Forests’ contractors, who buy 9% of the total sold volume, are companies processing less than 2000 m3 of wood annually [2]. In 2011, about 309,000 persons were employed in about 67,000 wood sector companies in Poland [4]. Among the entities involved in processing large-sized pine logs are over 15,000 companies from the construction joinery sector and 9000 sawmill plants [5]. The great variety of small and local companies allows for full flexibility and the production of products for the specific needs of the customer. However, it also results in the need to purchase various species and assortments of wood and to deliver them to the processing plant.
One of the challenges of economic forest management was, and still is, the task of transporting timber from the forest to the processing site. It has already been pointed out that this activity is among the basic activities of forest management, as it significantly impacts the costs of timber harvesting, but it also enables the search for the most optimal solutions [6,7,8,9].
Issues relating to the transport of roundwood are very important to companies providing this service, as its efficiency is influenced by many factors. These include vehicle load capacity, driving time and fuel consumption [10,11]. It is estimated that the share of costs of timber transport in the total cost of wood processing is about 17% [12]. Transporting timber is the most expensive process of obtaining the raw material and may constitute 40%–60% of the total cost of its harvesting [13]. Therefore, the search for the most optimal logistic solutions to increase competitiveness and reduce these costs is very important [7,14].
Attention should first be paid to the manner of loading, stacking and using the full transport capacity of the vehicle units [15]. Savings of 4%–14% of transport costs were demonstrated by maximizing the use of transport capacity and limiting the mass variability of the transported timber load. The use of lighter vehicle units will also improve the efficiency of the process by reducing the vehicle’s own mass [16].
Another solution is to increase the limit of the total permissible mass of the vehicle, which directly increases the possibility of transporting a larger mass of timber in one journey. According to Estonian studies, increasing the limit from 44,000 to 60,000 kg would reduce transport costs from 17.7% to 14.2% [17]. In October 2013, the Finnish government allowed a vehicle’s maximum permissible mass to increase up to 76,000 kg, which led to a 3% reduction in the total distance travelled of heavy goods vehicles in this country [18]. In the case of the transport of roundwood, a 12.5% reduction in distance travelled was recorded. In the longer term, after modernizing the fleet and adapting vehicles to the new regulations, the reduction in the distance travelled of timber transport vehicles is estimated to be 26.7% [19]. Analyses conducted in Sweden indicated the possibility of reducing the distance travelled by 21% if 60,000kg trucks were replaced with 90,000 kg timber transport vehicles. This would reduce annual costs by 4% [20]. On the other hand, studies in Germany on the use of longer and heavier transport vehicles showed that 70% of respondents indicated a positive effect by significantly limiting C02 emissions and substantially reducing fuel costs [21]. The increase of the permissible mass of truck units in Finland contributed to the reduction of CO2 and NOx emissions and has resulted in economic benefits [18]. Vehicles traveling with a full load and with an increased weight can result in economic and environmental benefits in the long term; however they may outweigh more negative than positive effects [22,23,24,25].
Determining the GVW (gross vehicle weight)—timber load mass and total mass of a vehicle—is problematic in timber transport. This is due to the variety of tree species, timber assortments produced and measurement methods when timber is loaded in the forest. This often leads to exceeding permissible mass of timber transport units [11,16,26,27,28]. The research conducted in Ireland, based on the analysis of 100 shipments of Sitka spruce intended for paper production, showed that the total mass was exceeded in 67% of cases [14].
It has been shown that the variability of the mass of transported timber is also influenced by the seasons [29]. In the case of large-sized pine logs, the average mass of a single timber load, in the studies by Trzciński et al., is 30,560 kg, reaching a minimum value of 29,930 kg in autumn and a maximum value of 31,120 kg in winter [30]. The timber’s density and moisture content play a significant role in determining its load mass. For freshly harvested pine logs, the mass of one cubic meter is estimated at 750 kg [31]. The density of the wood also depends on the part of the trunk from which a given assortment originates. The butt end is characterized by the highest density at 816 kg⋅m−3, and the lowest values are recorded from the top parts of the stem at 707 kg⋅m−3 [32].
In order to unequivocally determine the mass of transported raw wood material, a resolution providing a normative wood density for each species was introduced in Poland in 2012, and the mass of a load is defined as result of multiplying the volume and the determined wood density for inspections by the relevant public road services [33]. In fact, this resulted in increasing the average load of large-sized pine wood for a single transport from 25.57 m3 in 2012 to 29.14 m3 in 2016 [34].
The current availability of information allows a more extensive analysis of this issue by also adding elements of the taxonomic description of the forest from which the timber originates. Habitat elements, soil conditions, age, height or site index, which may have a potential impact on the delivery of large-sized pine logs to the large processing plant belonging to an international furniture manufacturer.
We wanted to present in the article an analysis of various factors affecting the volume and mass of the transported pine sawlogs. The scope of research included seasons of the year and parameters of the forest stand, such as habitat, soil type, height, dbh, and so forth, which has a significant impact on the mass of one cubic meter of the load (kg⋅m−3).
The scope of work to achieve the research aim and assumptions formulated in this way included:
  • analyzing the timber delivery to the recipient at different times of the year,
  • analyzing the volume of timber in a unit of load (truck load),
  • determining the mass of the load,
  • analyzing the number of logs in a unit of load,
  • determining the parameters of the forest habitat from which the timber was harvested,
  • determining the parameters of the trees from which the timber was harvested.

2. Material and Methods

Appropriate analyses were performed on the deliveries of the raw material to one of the largest recipients of timber in Poland, a mill purchasing sawlogs pine timber, both tree-length and shortwood logs. The analyses were conducted from 1 April 2016 to 29 March 2017 on the premises of the plant processing sawlogs pine timber in the Warmińsko-Mazurskie Voivodeship. During the analyzed period, 310,207 m3 of sawlogs pine timber was delivered to the plant in 10,800 deliveries of wood. Randomly selected deliveries of wood were analyzed; the unit load on vehicle of the deliveries was obtained from a single location, separated. The total number of observations was 1514 deliveries. Nevertheless, a description of the stand could be obtained for 1063 deliveries, where the supplied wood came from one harvest operation in the same place. The remaining 451 deliveries were combined loads from more than one place. In the conducted research, we analyzed 1514 truckloads of sawlogs pine timber from 40 forest districts, which were transported by 59 different vehicle units (e.g. truck with trailer, truck with semi-trailer) in specific months of the year. The timber from the forest was delivered by 11 private transport companies contracted by the consignee (wood processing mill). In the analyzed transports from January (100 observations) and in subsequent months (observations in February–39, March–431, April–176, May–101, June–118, July–10, August–239, September–25, October–270, November–83) until in December there were 12 observations, and 44,429 m3 of wood was delivered to the mill.
Large-size wood (L), is wood with a thin end diameter of 14 cm (excluding bark), calculated in single pieces. In terms of quality and size, large-size wood is divided into four classes—WA, WB, WC, WD and into 2 sub-classes—general purpose wood (0) and special purpose wood (1). The large-size general purpose wood is comparable to the assortment defined as sawmill wood. The markings (WA, WB, WC, WD) refer to the quality of the raw material, where WA is the best class and WD the worst. [35].
The timber loads were transported by external companies contracted by the mill. The delivery date was determined from the recipient’s (mill’s) documents as well as the shipping documents issued by the forest inspectorate.
Information given in the Wood Delivery Note, verified in a sawmill during wood reception— number of logs in the load (pieces), length of logs in the load (m), load volume (m3). Calculated—mean volume of one log (m3), mass of 1 m3 of load (kg). The number of pieces of sawlogs and tree-length logs as well as their length per unit of load was determined on the basis of the shipping documents describing each piece of the timber load, providing its length, diameter and volume. The volume (load volume) of the transported timber in cubic meters was determined on the basis of the shipping documents, which form the basis for accounting for the timber delivered from supplier to consignee after verification. At the same time, it should be noted that when timber is sold in Poland and subsequently transported in Poland, the reported volumes do not include bark. The share of bark is significant and may be as high as several dozen percent [36,37] of the pine stem, affecting the mass of the transported cargo. Therefore, in the analyses, we discuss the mass of the whole load (wood, bark, moisture) or the mass of one cubic meter of the load (kg⋅m−3).
The actual mass of each load (kg) was determined from the difference between the gross vehicle mass plus load (GVW) and the empty vehicle mass after unloading (tare). The mass of the vehicle unit was obtained by weighing it on the stationary scale of the mill at the time of delivery of the raw material, and then after unloading, the empty vehicle unit was weighed again (tare).
The analysis of the parameters of the timber’s origin (place where it grew) took into account such factors as forest habitat type, soil type and stand abundance. The characteristics of the parameters of the trees from which the timber was harvested took into account the age, diameter at breast height (DBH) and stand height. The forest inspectorate specifies the harvesting site on the shipping documents by providing the forest address from the State Forests Information System (SILP). The forest address is unambiguously specified by the code of the regional directorate, forest district, precinct, forester area, division up to the smallest area unit—plot. Having precise data on the origin of the harvested timber, the characteristics of the forest habitat and stand were determined on the basis of the Forest Data Bank (BDL: https://www.bdl.lasy.gov.pl/portal/mapy-en), which contains forest survey descriptions from the management operations of the forest inspectorates. The factors characterizing the origin of the timber in the loads are stand parameters such as age, DBH and height. To perform the analyses, the results were grouped for stand age (years), DBH (cm), tree height (m) and abundance (m3⋅ha−1) into categories:
  • Stand age into: 30–40 (4 observations), 41–50 (22), 51–60 (115), 61–70 (127), 71–80 (147), 81–90 (123), 91–100 (136), 101–110 (139), 111–120 (45), 121–130 (45), 131–140 (18), 141 < (21).
  • DBH divided into: 10–20 (22), 21–30 (281), 31–40 (543), 41–50 (127).
  • Tree height into: 10–20 (46), 21–30 (836), 31–40 (91).
  • Abundance into: 10–50 (11), 51–100 (9), 101–150 (26), 151–200 (51), 201–250 (102), 251–300 (133), 301–350 (227), 351–400 (212), 401–450 (123), 451–500 (64), 501–550 (9), 551–600 (6).
Some of the distinguished stand groups were not included in the statistical analyses due to the small number of their transports, less than 20.
Based on the literature [11,12,26], we know that the volume and mass of loads in the transport of freshly felled wood differs, therefore the mass of one cubic meter of the load, calculated as the quotient of the load mass (kg) and its volume (m3), was used for the comparative analyses of the effect of timber origin.
The obtained results were statistically analyzed using the STATISTICA 12 package. In all analyzed periods, the distributions of the variables for all parameters deviated from the normal distribution. Therefore, the significance of the differences was determined mainly by using the Kruskal-Wallis and Dunn tests. The Mann-Whitney test was conducted to examine the significance of selected characteristics depending on the procedure in which the wood was harvested (pre-final cut, final cut). Due to the heterogeneity of variance, analyses were performed with the Kruskal-Wallis test on the significance of differences in load volume (m3), load mass (kg), one cubic meter of load (kg⋅m−3) and the number of logs (pieces) in a timber load for individual months of the year and depending on forest habitat and soil. Additionally, the multiple comparison of mean ranks test (Dunn tests) was conducted, and the analyses were performed at a significance level of 0.05. The dependencies analyzed were for the date of delivery in the month, the tested habitat and stand characteristics, as well as for specific seasons (in accordance with the calendar). The need to purchase wood from many forest districts results in a significant diversity of timber origin, therefore we also checked the significance of habitat characteristics and timber origin depending on delivery date. For the statistical tests Kruskal-Wallis, Dunn and Manna-Whitney were not taken for some of the observations groups (e.g. of the month (July i December), stand age) due to the low number of results in a specific group (less than 20).
In order to determine the strength of the relationship (correlation) between the analyzed parameters (load volume, load mass, mass of 1 m3 load) and parameters describing forest stand (stand age, DBH, tree height as well as habitat abundance and habitat), a Spearman rank correlation test was performed.

3. Results

3.1. Characteristics of the Origin of the Timber

The delivered sawlogs pine timber came from 40 forest districts and the following forest habitat types:
  • fresh mixed coniferous forest (BMśw)—402 transports,
  • moist mixed coniferous forest (BMw)—21 transports,
  • fresh coniferous forest (Bśw)—343 observations,
  • fresh mixed broadleaved forest (LMśw)—269 transports,
  • fresh broadleaved forest (Lśw)—28 transports.
The most common soils in the analyzed habitats from which the timber was harvested were RDb—rusty podzolic soils (436 plots), RDw—(proper) podzolic soils (332), RDbr—rusty brown soils (160), Bw—(proper) podzolic soils (66) and Bgw—(proper) gley-podzolic soils (17). Only a few observations (from 3 to 7) were recorded of various other soil types for the remaining 17 transports, thus further analyses were performed only on the transported timber from the soil types enumerated above.
In the case of 873 transports, the timber was cut based on final harvesting, the remaining cases were pre-final cuttings.
The characteristics of the harvested stands are presented in Table 1. The average age of the trees was 87.79 years with a span of 30 to 191 years (SD = 24.33). The average height was 26.20 m (SD = 3.17), with the lowest stand being 14 m high and the highest − 36 m. The average DBH of the trees was 33.42 cm (determined on the basis of the forest survey descriptions). The forest areas from which the timber was harvested were characterized by an average abundance of 327.10 m3⋅ha−1 with SD = 94.19.
The statistical analysis with the Kruskal-Wallis test indicated a significant difference (p < 0.05) between the characteristics of the wood’s origin (Abundance and DBH p = 0.0000, Age p = 0.0008, Tree height p = 0.0004) from 40 forest districts depending on the month of delivery.
The multiple comparison of mean ranks test showed differences in stand abundance for deliveries between the months of January with June March with April, June and April with June and May with November and November with April, May, June. The timber deliveries in February, from July to October, and in December do not differ in terms of the types of forest habitats from which the timber originated. Tree heights are very similar and the difference is only between the April and October deliveries. The DBH of harvested trees, despite the difference shown, is only statistically significant for deliveries between March and October as well as April and October. In general, significant differences for tree age were also found (p = 0.0008), however, the multiple comparison of mean ranks test showed statistically significant differences between deliveries in December and March, April, May, June, August, October and November. On this basis, it can be concluded that the wood of the analyzed deliveries originates from sites having very similar habitat and stand conditions.

3.2. Characteristics of the Sawlogs Pine Timber Loads

The mill acquires shortwood or tree-length pine logs. The observed transports included shortwood logs of: 3.7 m (12 transports), 4.0 m (6), 4.4 m (588), 5.0 m (816) and tree-length timber of 10 m (3), 13 m (7), 14 m (9). Tree-length logs were delivered in 47 transports, while 23 transports were recorded during the study with mixed log lengths and tree-length logs (described hereinafter as a mix). Currently, the mill is receiving mainly 5.0 m logs. The average values of the parameters characterizing timber loads are presented in Table 2.
The analyzed timber loads were characterized by an average volume of 29.34 m3 with very small differences (SD = 1.53 and a median of 29.14), but individual shipments occurred with significantly different volumes, from a minimum of 24.21 m3 to a maximum of 36.51 m3. The transported cubic meters of timber determined the resulting load mass, where the average was 30,330 kg, broadly ranging from 21,750 kg to 38,910 kg, which with the same tree species as well as assortment (sawlogs logs) indicates that other factors are influencing the load mass than just volume. A reliable indicator for analyses and comparisons of variable loads (volume and mass) can be the mass of 1 m3 of wood in the load, which amounted to 1,033.87 kg⋅m−3, with similar results in the population at SD = 57.87, and a median of 1,031.61 kg⋅m−3. There was an average of 146 logs (shortwood or tree-length) in one load, and the range of the results was from a minimum of 28 logs (the transport of only tree-length pieces) to 360 logs (3.7 m log lengths from a pre-final cut).

3.3. Analysis of the Factors Influencing the Load Parameters and Their Significance

A Mann-Whitney test was used to analyze the significance of selected characteristics of the loads depending on the type of cut from which the wood was obtained (pre-final and final cuts). The statistical analysis at the assumed significance level of 0.05 shows no significant differences between the loads only for the volume of transported timber (p = 0.65108). The lack of differences in load volume may be the result of the introduced wood conversion factors [30], where drivers, knowing the mass of an empty vehicle unit, take such a load volume that after applying the conversion factor of 740 kg⋅m−3, the total mass of the vehicle unit does not exceed the legally permissible 40,000 kg.
We analyzed the significance of the differences in the tested characteristics of the load depending on the length of the transported timber. Due to the small number of observations (from 3 to 9) for log lengths of 4.0, 10.0, 13.0 and 14.0 m in the loads, they were excluded from the Kruskal-Wallis test. Statistically significant differences were found for load volume (p = 0.0000), mass of 1 m3 of load (p = 0.0001), number of logs (pieces) in the load (obtained p = 0.000) and load mass (p = 0.0059) (Figure 1a–d). The diagrams for given load volumes (Figure 1a), mass of 1 m3 of wood in a load (Figure 1c ) and especially for the number of logs (pieces) (Figure 1d) show significant differences in the values of the examined characteristics; however, the small number of observations resulted in the exclusion of these lengths from the statistical analyses. The multiple comparison of mean ranks test showed differences in load volume between logs of 4.4 m in length and those of 4.0 m and 5.0 m (Figure 1a). Loads of 4.4 m and 5.0 m lengths have statistically significant differences for load volume and load mass (Figure 1a,b) and the mass of 1 m3 wood (Figure 1c), whereas the number of logs (pieces) in a transport varies for all lengths except 5.0 m from a mixed load (mix) (Figure 1d).
In accordance with the methodology, analyses were performed of the significance of the examined load characteristics depending on the delivery date. The comparison of the values obtained for particular characteristics is presented in Figure 2a–d. The Kruskal-Wallis test showed statistically significant differences in the tested characteristics of the load depending on the delivery date, with a statistical value at 0.0000 ≤ p ≤ 0.0281 (0.0281 for the volume of timber in the load). Comparing the load volume in individual months with the multiple comparison of mean ranks test, no differences were found in relation to the month of transporting the load (Figure 2a), which is explained by the use of the wood conversion factors when the timber is issued by the foresters, and transports are conducted by the same vehicle units. The results for July and December were not included in the statistics due to the small (10–12) observation samples. Statistically significant differences for load mass and 1 m3 of load mass were mainly found between particular groups of months: January, February, March and November (the winter period) and April, May, June, August, September (spring, summer) (Figure 2b,c). For the number of sawlogs or tree-length logs in one delivery, the transport date is significant (statistically significant differences at p = 0.0000). Differences also occur between single pairs of months: March and June as well as June with January and March (Figure 2d).
The literature contains analyses of timber transports by season [12,29,30]. We analyzed changes in the values of the characteristics of timber loads depending on the season. Statistically significant differences (p = 0.0000) occur between the value of load mass as well as the mass of 1 m3 of load and the number of logs (pieces) in the load. The Kruskal-Wallis test showed no differences for load volume (p = 0.1807) (Figure 3a). The load mass (Figure 3b) and 1 m3 mass (Figure 3c) do not differ statistically only between spring and summer (multiple comparison of mean ranks test). The number of logs in a transport differs only between the data for spring and winter (Figure 3d).
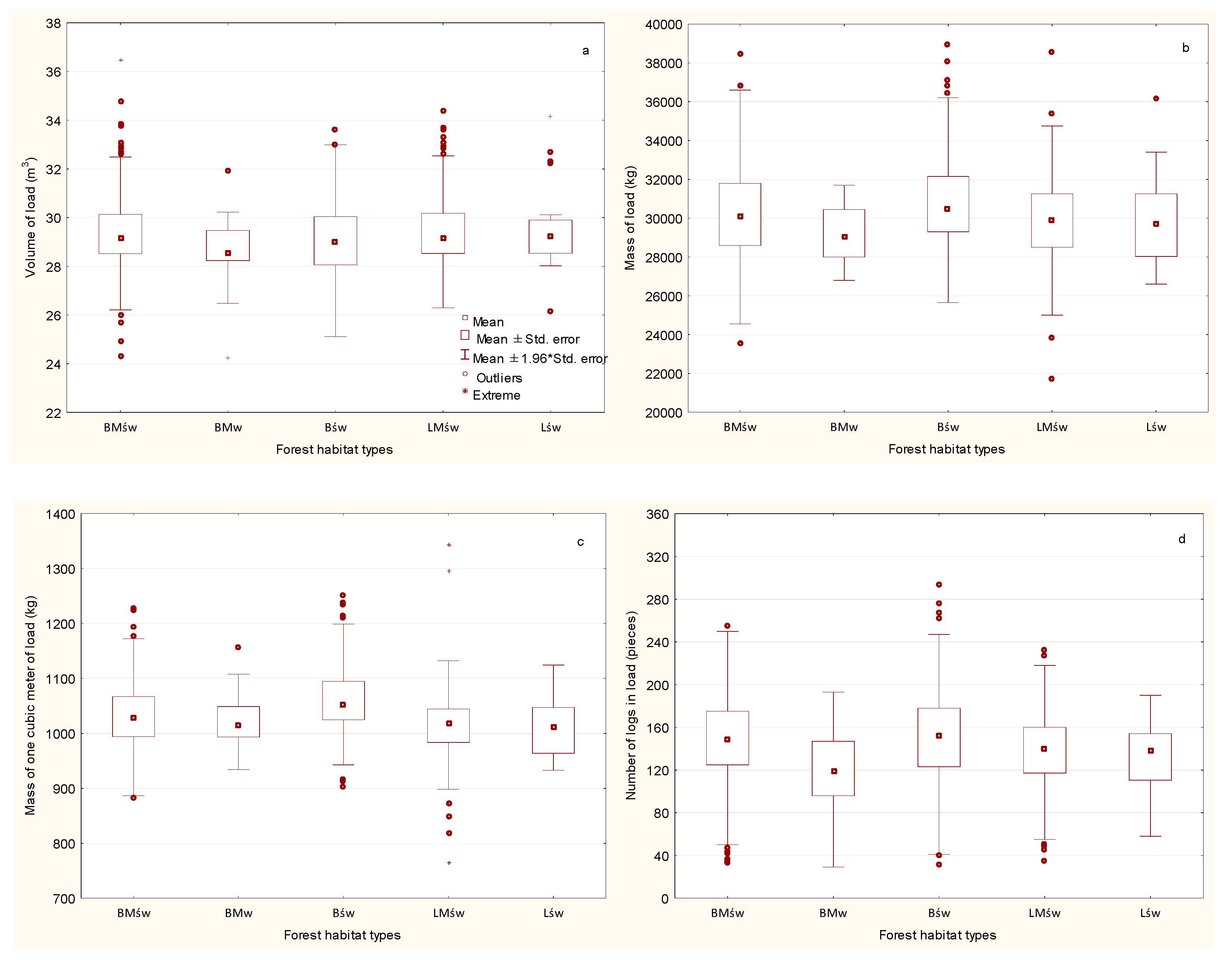
The origin of timber loads from different types of forest habitats influences the results obtained characterizing the loads except for load volume – p = 0.3516 and load mass – p = 0.0201 (Figure 4a). Statistically significant differences occur for the load mass of timber from Bśw compared to BMw and LMśw (Figure 4b). Similar differences occur for the mass of 1 m3 of the load from Bśw compared to BMśw, LMśw and Lśw and between BMśw and LMśw (Figure 4c). The number of logs (pieces) in the load also statistically differs between timber originating mainly from Bśw (different from LMśw and BMw) and BMśw (different from BMw and LMśw) (Figure 4d).
Analyses were performed of the influence of forest soil types occurring in the areas from which the timber loads originated on the examined characteristics. Loads from the five most frequent forest soil types (Bw, Bgw, RDb, RDbr, RDw) were analyzed (Figure 5), and no statistically significant differences were found for the results of load volume (p = 0.4726) and load mass (p = 0.634) depending on soil type. Figure 5a–d show small changes in median values for the examined characteristics and for the median results ± standard error. Statistically significant differences were found for the results of the mass of 1 m3 of load and the number of logs (pieces) between RDbr soils and RDb, RDw as well as Bw soils (Figure 5c,d).
The last factors characterizing the origin of the timber in the loads are stand parameters such as age, DBH and height. Some of the distinguished stand abundance groups (10–50, 51–100 or 551–600) were not included in the statistical analyses due to the small number of their transports, less than 20. The statistical analysis (Kruskal-Wallis test at p < 0.05) showed that there were no statistically significant differences between the results of load volume and the abundance value of stands from which the timber was harvested for the remaining characteristics. The results of the assessment of the significance of the differences are presented in Table 3.
The multiple comparison of mean ranks test for the value of timber depending on stand height as well as for the number of logs in the load depending on abundance showed no statistically significant differences between the results. Statistically significant differences in the mass of 1 m3 of load occurred depending on stand age in the category of 91–100 years and those from 60 to 90 years, as well as between 111–120 years and 71–80 and 121–130 years (Figure 6a). The mass of 1 m3 of load also differs depending on the DBH of the tree between groups of 21–30 cm and 41–50 cm (Figure 6b) and in all height groups (Figure 6c). Due to stand abundance, the mass of 1 m3 of load varies between the 401–450 value group and those with values of 151 to 350 m3⋅ha−1 (3 groups) as well as the 451–500 value group with those of 101–400 m3⋅ha−1 (6 groups) (Figure 6d). The stand age from which the timber originated also influences the differences in load volume between the groups aged 81–90 years and 101–110 years (this is the only statistically significant difference), as well as the load mass between the group aged 71–80 years and those in the 91–100 and 111–120 age groups. Figure 6 shows the distribution of the obtained results of the mass of 1 m3 (kg) of load depending on the parameters of the stands from which the timber was obtained.
Statistically significant relationships (correlations) were obtained between the analyzed parameters, load mass, mass of 1m3, and parameters describing the origin of the wood, except the age of the trees (p < 0.05). For the volume of load, only significant dependence on the number of pieces of logs in the load was obtained (Table 4). The mass of the load depends mainly on volume (0.617103). The number of logs in the load is correlated with the parameters of the tree from which the timber assortment was obtained, but these are not significant dependencies (0.278936–0.429014).

3.4. Load Mass as a Function of Load Volume

The main problem in organizing the transport of timber is that it is not possible to unequivocally determine its mass. The research conducted concerned the same tree species and a largely limited assortment (in terms of length and diameter) as well as timber origin (see Section 3.1. Statistical analysis of the characteristics of the origin of the timber). A regression model was developed for load mass M (kg) as a function of load volume V (m3). The assessment of the model parameters is presented in Table 4. For the developed model, the standard error of the estimate is 1689.2 and the coefficient of determination r2 is equal to 0.4126 (Table 5). The developed model took the following form:
M = 3199.789 + 924.537 * V,
where: M − load mass (kg); V − load volume (m3)
We compared the calculated mass of the load according to the presented relationship. Calculated mass as multiplying the volume of the load and the factor of 740 kg⋅m−3 (legally determined [33]) and real mass obtained from weighing in the plant. We received a statistically significant linear relationship (p < 0.05) for the mass of the load depending on volume (Figure 7).
As is presented in Figure 7, the calculated load mass as the product of multiplying the volume of the load and the factor of 740 kg⋅m−3 (legally determined [33]) is significantly understated in relation to the real load masses. The obtained values of load mass on the basis of formula (1) are similar to the real load mass, where the average are 30,329 kg (median 30,145) and 30,330 kg (median 30,200), respectively. The Mann-Whitney test analysis showed no statistically significant differences between the real mass of the load obtained from weighing and calculated on the basis of the obtained formula (p = 0.245116). Of course, the mass calculated on the basis of the conversion factor 740 is very different from the others.

4. Discussion

Analyses of timber transport research, omitting studies on the forest biomass supply chain (sawdust, wood shavings, wood chips, etc.), concerns actual data specific to a given region [11,12,16,18,19,21,26,28,29,30], tree species and their origin, the assortments of transported timber [12,13,22,25,26,27,28], the types of transport used [10,11,12,15,16,19,21] or legal regulations (total permissible mass of the DCM unit) and costs [3,7,8,12,13,16,17,18,20,34,38]. A good diagnosis of the configuration of timber truck units, their own mass and their potential timber cargoes, given the large variation in cargo weight, can contribute to improving the efficiency of forest transport [14,16].
The weight of the load depends mainly on its volume, but also on the characteristics of the origin of the wood. The greater strength of the relationship we get for one cubic meter of load, which is still dependent on the type of forest habitat and the age of the trees. This is confirmed by other authors dealing with the impact of forest stand conditions on tree parameters [36,37,39,40,41]. The number of logs in the load mainly depends on the size of the transported wood, but it is a derivative of the age, diameter and height of the tree from which the load was obtained. So from older and larger trees we get a greater assortment (which is understandable) and the result is a negative, significant correlation (−0.429014).
Differences in the mass of the load in individual months, with indicated lack of differences in the volume of the load of wood occuring mainly between the winter (heaviest loads) and early autumn and summer, which is caused by vegetation of trees. Comparing the load masses depending on the month of delivery (Dunn’s test) and the mass of one cubic meter we get the same differences, this indicates that conversion factors can be develop for wood from a specific area.
When transporting timber, the high variability of species, as well as assortments and moisture content of the wood, impact the determination of the mass of transported timber and GVW- gross vehicle weight [11,26,28], which largely depends on the load volume and its density [11,15,29]. Our study shows that, currently, the volume of the wood is similar in the entire analyzed period (no statistically significant differences) and does not depend on season of the year or origin of the wood. The lack of statistically significant differences in load volume when analyzing transports using semi-trailer trucks was demonstrated by Trzciński and others [12], at the same time indicating significant differences (however of little practical significance) between the results from autumn and the remaining seasons of the year for vehicle units with a trailer. The load volume slightly differed for transports in the autumn and summer [30]. The obtained average volume of 29.34 m3 (SD = 1.53) is similar to the research results of other authors of 29.47 m3 [30] or 29.07–30.29 m3 [12]. The value of the average load volume obtained from the study of 1514 transports is slightly higher (0.72 m3) than the average of 28.72 m3 for all 10,800 deliveries transported during the year to the mill, which provided 310,207 m3 of timber. The lack of variability in load volume shown in our study results from the current legal regulations in Poland [33], where a mass of one cubic meter of wood converter was introduced to regulate timber transports, which is 740 kg⋅m−3 for pine. A forester releases an amount of wood to the load to ensure that the total mass of a vehicle unit (GVW) does not exceed 40,000 kg, which, with a limited number of vehicle types delivering wood to a specific recipient (known set mass − tare) determines the variability of load volume [12,16,17,18,30]. The empty mass (tare), ranging from 13,800 to 23,700 kg, was observed for the truck and semi-trailer, trailer 20,224 kg, platform 14,941 kg and dolly 20,071 kg [12]. Introducing mass of one cubic meter of wood coefficients [33] resulted in an increase in the average volume of timber loads [34]. It is very practical in wood transport, where an increase in the demand for wood in a sawmill by 40% caused an increase in the number of courses by only 23% [34]. At the same time, overloading the car may contribute to the risk of traffic safety, damage to the car and administrative penalties resulting from legal provisions [42].
One of the main problems in this field is to determine the mass of 1 m3 of the load, which would allow transport companies to decide on the volume of the timber load using as much DCM as possible and the capacity of the vehicle units, when timber is delivered from a wide range of different areas to consignees. Wood is a natural material which differs greatly in origin [39,43], density [44], moisture content [43,44,45], but it also varies depending on the part of the tree it comes from or seasonal variations [45,46,47]. Another factor influencing load mass is the density of 1 m3 of the load and not the density of the wood, because in the study, the load also includes bark—which is not quantified by the forester in the load mass—as well as the moisture content of the wood or even at times, other factors, such as soil, snow, or ice on the logs. The share of bark in the biomass of pine stems depends on the age and origin of the wood and is defined at the significant level of 9.3% [36], or even 13.5% or 17% [48,49,50]. Load density (mass of 1 m3) is strongly influenced by the parameters [38,39,42,44,45,46] of the timber. The mass of 1 m3 of load was on average 1033.87 kg at SD = 57.87 kg and is consistent with previously published studies [30] and with the 979 kg reported by Tomczak and others [37]. In many cases, significant differences in the mass of 1 m3 of load were found, depending on the date of transport or the origin of the wood, due to the forest habitat or stand age and its parameters, which corresponds to the dependencies presented in the literature [15,29,43]. The ratio of the actual mass of one cubic meter (1033.87 kg⋅m3) to the mass provided in the tables [33] (740 kg⋅m3) amounted to 1.4:1, is similar to previous published studies [34]. The real mass of the timber was about 40% higher than the mass, which can be estimated on the basis of the wood density tables developed for the road transport needs. The results of the mass of 1 m3 of load in the range from 763.15–1,343.07 kg⋅m3 (Table 2) also indicate needs of verification of the table values. A wrong choice of table factor often contributes to overloading. Transported volumes, 24.21–36.51 m3 (Table 2), gives the level of overloading of 12,796-19,298 kg. These results are similar to other authors [12,16,22,26] and therefore DCM has been raised in some countries [17,18,20]. In this situation, the presented formula can be used in practice, where with the known mass of the empty set (truck units weigh in many sawmills), during loading, a safe amount of loaded wood can be calculated to not overload the truck units. This pattern obviously works well for loads of wood from the analyzed State Forest Districts, and further research with wood from another region of Poland can verify it.
The origin of wood from various regions of the country and forest habitats has a huge impact on its characteristics, which is confirmed by studies of the physical properties of wood [39,40,41,43,44,45,46,47,50].
However, while no variability was found for load volume of the timber transports, load mass is varied, having an average of 30,330 kg with a range of 21,750 to 38,910 kg (SD = 2203) and this depends on the season of the year or the origin of the timber [29,43]. Because of the actual load mass and its variability, transport vehicles are often loaded with more than the allowable total mass [11,15,16,26,30,51], and introducing the legally prescribed conversion factors for individual tree species [33] resulting in an increased load mass and gross vehicle weight [30], which our research confirms. This is the result of not taking into account the content of water and bark in wood (as described above) and the origin of wood from various habitats in the wood mass conversion [33].
Drivers who know the mass of a vehicle unit to be 15,000–20,000 kg [12,30] take such a volume of timber that after using the conversion factor of 740 kg⋅m−3, the total mass of the transport does not exceed the legally permissible 40,000 kg. They are not guided by the actual conditions and parameters of the wood. The difference in the mass of 1 m3 of load based on our research is an average of 293 kg⋅m−3 (39.5%), which results in an average GVW of 55,800 kg. The large variation in the volume, as well as the mass of 1m3 of the load in relation to the normative conversion factor (740 kg⋅m−3) contributes to real GVW increased by 17% [12,30].

5. Conclusions

The research conducted enabled the factors influencing load volume and load weight mass of sawlogs pine wood to be characterized. These factors include the date of delivery, origin of the timber, mainly the type of forest habitat, as well as the stand age and height of trees from which the wood was harvested.
In the analyzed period, the average mass of delivered timber loads, determined on the basis of weighing, was 30,330 kg, oscillating in the range of 21,750–38,910 kg. The relatively lighter loads were transported in the early spring months, while the heaviest were in the autumn and winter season. The decisive factor was the date when the wood was harvested and transported. The limit mass is highly correlated (0.617) with its volume, and the developed linear relationship allows to calculate the limit mass that does not differ statistically from reality.
Parameters determining the origin of the wood—habitat abundance, soil type and stand parameters (BDH, tree height) from which the wood was obtained has an impact on the mass of the load. The mass of one cubic meter of load is additionally dependent on the type of forest habitat. These are statistically significant relationships, but the strength of their relationship is not very high (from 0.0627 to 0.2987).
The volume of transported wood is at a stable level with an average of 29.34 m3 (SD = 1.53 m3), which does not depend on the factors characterizing the origin of the wood and the delivery date. This is the effect of implemented conversion factors for wood density (740 kg⋅m−3). We can state with a high degree of probability that the real mass of one cubic meter of a load is between 996 and 1,070 kg⋅m−3 and is greater than the conversion factor of 740 kg⋅m−3 implemented in the legislation. This may result in an average underestimation of the load weight of 8,6114 kg. This indicates the need to verify the adopted values of the kg⋅m−3 conversion factor, and an incorrectly selected indicator contributes to overloading the truck units.

Author Contributions

Ł.T. and G.T. conceived and designed the experiments; Ł.T. performed the experiments; Ł.T. analyzed the data; Ł.T. contributed reagents/materials/analysis tools; Ł.T. and G.T. wrote the paper.” All authors have read and agreed to the published version of the manuscript.

Funding

The publication of the article was financed by the Polish National Agency for Academic Exchange as part of the Foreign Promotion Program.
Forests 11 00366 i001

Conflicts of Interest

The authors declare no conflict of interest.

References

  1. GUS Forestry 2019. Available online: https://stat.gov.pl/en/topics/statistical-yearbooks/statistical-yearbooks/statistical-yearbook-of-forestry-2019,12,2.html (accessed on 25 January 2020).
  2. Czemko, B. Theoretical and practical aspects of the round wood market and sales procedures, as well as the price level in Poland from the sawmill industry’s point of view. In Proceedings of the International Symposium on the Wood Industry, Poland, Poznań, 18 March 2010. (Teoretyczne i praktyczne aspekty rynku drewna okrągłego i form jego sprzedaży oraz cen w Polsce z punktu widzenia przemysłu tartacznego. In Proceedings of the Międzynarodowe Sympozjum Przemysłu Drzewnego, Polska, Poznań, 18 Marzec 2010). (In Polish). [Google Scholar]
  3. Wnorowska, M. Raport Forestor Tartacznictwo. Sawmilling Forestor Raport. Przemysł Drzewny. Reaserch & Development 2019, 4, 15–35. Available online: https://forestor.przemysldrzewny.eu/przemysl-drzewny-nr-4-2019/?v=9b7d173b068d (accessed on 20 March 2020). (In Polish).
  4. Ratajczak, E. Innovativeness of the wood sector and the labor market—Assessment of the situation. In Proceedings of the Possibilities of Using the Forest-Wood Sector in the Country’s Development, Sękocin Stary, Poland, 20–22 March 2012. (Innowacyjność sektora drzewnego i rynek pracy—Ocena sytuacji. Możliwość wykorzystania sektora leśno-drzewnego w rozwoju kraju, Sękocin Stary, Poland, 20–22 Marzec 2012). (In Polish). [Google Scholar]
  5. Strykowski, B., III. European Economic Congress. In Proceedings of the Session: Wood in the EU and Polish economy, Katowice, Poland, 18–20 May 2011. (Drewno w gospodarce UE i Polski, Katowice, Poland, 18–20 Maj 2011). (In Polish). [Google Scholar]
  6. Greulich, F. Transportation networks in forest harvesting: Early development of the theory. In Proceedings of the International Seminar on New Roles of Plantation Forestry Requiring Appropriate Tending and Harvesting Operations, Tokyo, Japan, 2002; Yoshimura, T., Ed.; pp. 57–65. Available online: http://faculty.washington.edu/greulich/Documents/IUFRO2002Paper.pdf (accessed on 25 January 2020).
  7. Devlin, G.J.; McDonnell, K.; Ward, S. Timber haulage routing in Ireland: An analysis using GIS and GPS. J. Transp. Geogr. 2008, 16, 63–72. [Google Scholar] [CrossRef]
  8. Devlin, G.J.; McDonnell, K.M. Assessing real time GPS asset tracking for timber haulage. Open Transp. J. 2009, 3, 78–86. [Google Scholar] [CrossRef]
  9. McDonald, T.P.; Haridass, K.; Valenzuela, J. Mileage savings from optimization of coordinated trucking. In Proceedings of the 2010 COFE: 33rd Annual Meeting of the Council on Forest Engineering, Auburn, AL, USA, 6–9 June 2010; Mitchell, D., Gallagher, T., Eds.; CD−ROM. Available online: https://www.srs.fs.fed.us/pubs/ja/2010/ja_2010_mcdonald_002.pdf (accessed on 25 January 2020).
  10. Acuna, M.; Mirowski, L.; Ghaffariyan, M.R.; Brown, M. Optimizing transport efficiency and costs in Australian wood chipping operations. Biomass Bioenergy 2012, 46, 291–300. [Google Scholar] [CrossRef]
  11. Ghaffariyan, M.R.; Acuna, M.; Brown, M. Analysing the effect of five operational factors on forest residue supply chain costs: A case study in Western Australia. Biomass Bioenergy 2013, 59, 486–493. [Google Scholar] [CrossRef]
  12. Trzciński, G.; Moskalik, T.; Wojtan, R. Total weight and axle loads of truck units in the transport of timber depending on the timber cargo. Forests 2018, 9, 164. [Google Scholar] [CrossRef]
  13. Shaffer, R.M.; Stuart, W.B. A checklist for efficient log trucking. Virginia Cooperative Extension. 1998. USA. Available online: https://pdfs.semanticscholar.org/e6f8/f30602317d743b8c035bcdb27df9d99e52db.pdf (accessed on 25 January 2020).
  14. Sosa, A.; Klvac, R.; Coates, E.; Kent, T.; Devlin, G. Improving Log Loading Efficiency for Improved Sustainable Transport within the Irish Forest and Biomass Sectors. Sustainability 2015, 7, 3017–3030. [Google Scholar] [CrossRef]
  15. Beardsell, M.G. Decreasing the Cost of Hauling Timber through Increasing Payload. Ph.D. Thesis, Virginia Polytechnic Institute and State University, Blacksburg, VA, USA, 1986. Available online: https://vtechworks.lib.vt.edu/bitstream/handle/10919/53617/LD5655.V8561986.B427.pdf?sequence=1&isAllowed=y (accessed on 25 January 2020).
  16. Hamsley, A.; Greene, W.G.; Siry, J.; Mendell, B. Improving timber trucking performance by reducing variability of log truck weights. South. J. Appl. For. 2007, 31, 12–16. [Google Scholar] [CrossRef]
  17. Lukason, O.; Ukrainski, K.; Varblane, U. Economic benefit of maximum truck weight regulation change for Estonian forest sektor. Veokite täismassi regulatsiooni muutmise majanduslikud mõjud eesti metsatööstuse sektorile. Est. Discuss. Econ. Policy 2011, 19. [Google Scholar] [CrossRef]
  18. Liimatainen, H.; Nykänen, L. Impacts of Increasing Maximum Truck Weight—Case Finland; Transport Research Centre Verne, Tampere University of Technology: Tampere, Finland, 2017; Available online: http://www.tut.fi/verne/aineisto/LiimatainenNyk%C3%A4nen.pdf (accessed on 10 January 2018).
  19. Palander, T.; Kärhä, K. Potential Traffic Levels after Increasing the Maximum Vehicle Weight in Environmentally Efficient Transportation System: The Case of Finland. J. Sustain. Dev. Energy Water Environ. Syst. 2017, 5, 417–429. [Google Scholar] [CrossRef]
  20. Haraldsson, M.; Jonsson, L.; Karlsson, R.; Vierth, I.; Yahya, M.R.; Ögren, M. Cost Benefit Analysis of Round Wood Transport Using 90-Tonne Vehicles; VTI Swedish National Road an Transport Research Institute: Linköping, Sweden, 2012; Rapport 758; Available online: https://www.vti.se/en/Publications/Publication/cost-benefit-analysis-of-round-wood-transports-usi_670633 (accessed on 25 January 2020).
  21. Sanchez Rodrigues, V.; Piecyk, M.; Manson, R.; Boenders, T. The longer and heavier vehicle debate: A review of empirical evidence from Germany. Transport. Res. D-Tr. E 2015, 40, 114–131. [Google Scholar] [CrossRef]
  22. McKinnon, A.C. The economic and environmental benefits of increasing maximum truck weight: The British experience. Transp. Res. Part Transp. Environ. 2005, 10, 77–95. [Google Scholar] [CrossRef]
  23. Knight, I.; Newton, W.; McKinnon, A.; Palmer, A.; Barlow, T.; McCrae, I.; Dodd, M.; Couper, G.; Davies, H.; Daly, A.; et al. Longer and/or Longer and Heavier Goods Vehicles (LHVs)—A Study of the Likely Effects if Permitted in the UK: Final Report. 2008. Available online: https://www.nomegatrucks.eu/deu/service/download/trl-study.pdf (accessed on 10 February 2020).
  24. Saber, A. Economic Impact of Higher Timber Truck Loads on Louisiana Bridges. J. Civ. Eng. Archit. 2010, 4, 10. [Google Scholar]
  25. Ryś, D. Obciążenie dróg przez pojazdy ciężkie i ich wpływ na trwałość zmęczeniową konstrukcji nawierzchni podatnych i półsztywnych. (Loading of Roads by Heavy Vehicles and Their Impact on Fatigue Life of Flexible and Semi-Rigid Pavement Structures); Gdańsk University of Technology: Gdańsk, Poland, 2015; ISBN 978-83-60261-45-3. (In Polish). Available online: http://www.geomatyka.eu/publikacje/isbn9788360261453/isbn9788360261453.pdf (accessed on 15 March 2020).
  26. Brown, M. The Impact of Tare Weight on Transportation Efficiency in Australian Forest Operations. Harvesting and Operations Program, Research Bulletin 3, 2008. Available online: https://fgr.nz/documents/download/4740 (accessed on 8 December 2017).
  27. Sieniawski, W.; Trzciński, G. Analysis of large-size and medium-size wood supply. In Raport 12/2010; Norwegian Forest and Landscape Institute: Honne, Norway, 2010; pp. 56–57. Available online: https://nibio.brage.unit.no/nibio-xmlui/bitstream/handle/11250/2469357/SoL-Rapport-2010-12.pdf?sequence=2&isAllowed=y (accessed on 10 February 2020).
  28. Trzciński, G. Analiza parametrów technicznych dróg leśnych w aspekcie wywozu drewna samochodami wysokotonażowymi. (Analysis of Technical Parameters of Forest Roads in Terms on Timber Haulage by High-Tonnage Vehicles); Warsaw University of Life Sciences—SGGW: Warszawa, Poland, 2011; ISBN 978-83-7583-291-1. (In Polish) [Google Scholar]
  29. Owusu−Ababio, S.; Schmitt, R. Analysis of Data on Heavier Truck Weights. Transp. Res. Rec. J. Transp. Res. Board 2015, 2478, 82–92. [Google Scholar] [CrossRef]
  30. Trzciński, G.; Moskalik, T.; Wojtan, R.; Tymendorf, Ł. Variability of loads and gross vehicle weight in timber transportation. Sylwan 2017, 161, 1026–1034. (In Polish) [Google Scholar] [CrossRef]
  31. Shmulsky, R.; Jones, P.D. Forest Products and Wood Science, 6th ed.; Wiley-Blackwell: Chichester, UK; Ames, IA, USA, 2011; ISBN 978-0-8138-2074-3. [Google Scholar]
  32. Tomczak, A.; Jelonek, T. Green density of Scots pine (Pinus sylvestris L.) sapwood coming from selected stands north-western Poland. For. Lett. 2014, 107, 5–9. (In Polish) [Google Scholar]
  33. Regulation of the Minister of the Environment and the Minister of Economy of 2 May 2012 on the determination of the density of the wood. Rozporządzenie Ministra Środowiska oraz Ministra Gospodarki z dnia 2 maja 2012 r. w sprawie określenia gęstości drewna. Available online: http://prawo.sejm.gov.pl/isap.nsf/DocDetails.xsp?id=WDU20120000536 (accessed on 25 January 2020). (In Polish)
  34. Trzciński, G.; Tymendorf, Ł. Timber deliveries after introduction of the normative calculators of wood density to determine the load weigh. Sylwan 2017, 161, 451–459. (in Polish). [Google Scholar] [CrossRef]
  35. Zastocki, D.; Lachowicz, H.; Sadowski, J.; Moskalik, T. Changes in the Assortment and Species Structure of Timber Harvested from the Polish Managed Part of Białowieża Forest. Sustainability 2018, 10, 3279. [Google Scholar] [CrossRef]
  36. Orzeł, S.; Forgiel, M.; Ochał, W.; Socha, J. Aboveground biomass and annual production in stands of the Niepołomicka Forest. Sylwan 2006, 9, 16–32. (In Polish) [Google Scholar] [CrossRef]
  37. Tomczak, A.; Jakubowski, M.; Jelonek, T.; Wąsik, R.; Grzywiński, W. Mass and density of pine pulpwood harvested in selected stands from the Forest Experimental Station in Murowana Goślina. Acta Sci. Pol. Ser. Silvarum Colendarum Ratio Ind. Lignaria 2016, 15, 105–112. [Google Scholar] [CrossRef]
  38. Koirala, A.; Kizhal, A.R.; Roth, B.E. Perceiving Major Problems in Forest Products Transportation by Trucks and Trailers: A Cross-sectional Survey. Eur. J. Forest Eng. 2017, 3, 23–34. [Google Scholar]
  39. Paschalis, P. Variation in technical quality of Scots pine wood in the estern part of Poland. Sylwan 1980, 29–43. (In Polish) [Google Scholar]
  40. Witkowska, J.; Lachowicz, H. Variability of conventional wood density of Scots pine (Pinus syluestris L.) depending on the selected factors. Sylwan 2013, 157, 336–347. (In Polish) [Google Scholar] [CrossRef]
  41. Dibdiakova, J.; Vadla, K. Basic density and moisture content of coniferous branches and wood in Northern Norway. Eur. Phys. J. Conf. 2012, 33, 02005. [Google Scholar] [CrossRef]
  42. Bolding, M.C.; Dowling, T.N.; Barnett, S.M. Safe and efficient practices for trucking unmanufactured forest products. Virginia Cooperative Extension publication 2009, 420–310, 1–10. Available online: https://www.pubs.ext.vt.edu/420/420-310/420-310.html (accessed on 15 March 2020).
  43. Belart, F.; Sessions, J.; Murphy, G. Seasonal Changes in Live Tree Branch Moisture in Oregon, USA: Four Case Studies. For. Sci. 2019, 65, 100–107. [Google Scholar] [CrossRef]
  44. Tomczak, A.; Wesołowski, P.; Jelonek, T.; Jakubowski, M. Weight loss and green density changes of Scots pine pulpwood harvested and stored during the summer. Sylwan 2016, 160, 619–626. (In Polish) [Google Scholar] [CrossRef]
  45. Millers, M. The proportion of heartwood in conifer (Pinus sylvestris L., Picea abies [L.] Karst.) trunks and its influence on trunk wood moisture. J. For. Sci. 2013, 59, 295–300. [Google Scholar] [CrossRef]
  46. Beedlow, P.A.; Tingey, D.T.; Waschmann, R.S.; Phillips, D.L.; Johnson M., G. Bole water content shows little seasonal variation in century-old Douglas-fir trees. Tree Physiol. 2007, 27, 737–747. [Google Scholar] [CrossRef]
  47. Cermak, J.; Kucera, J.; Bauerle, W.L.; Phillips, N.; Hinckley, T.M. Tree water storage and its diurnal dynamics related to sap flow and changes in stem volume in old-growth Douglas-fir trees. Tree Physiol. 2007, 27, 181–198. [Google Scholar] [CrossRef]
  48. Meixner, J. The bark share in the volume of pine arrow Udział kory w miąższości strzał sosny. Prace Komisji Nauk Rolniczych i Leśnych 1970, 30, 173–184. (In Polish) [Google Scholar]
  49. Rymer-Dudzińska, T. Empirical formulae for determinig the pine brak volume percentage. Sylwan 1997, 141, 17–20. (In Polish) [Google Scholar]
  50. Ochał, W.; Grabczyński, S.; Orzeł, S.; Wertz, B.; Socha, J. Aboveground biomass allocation in Scots pines of different biosocial positions in the stand. Sylwan 2013, 157, 737–746. (In Polish) [Google Scholar] [CrossRef]
  51. Šušnjar, M.; Horvat, D.; Zorić, M.; Pandur, Z. Odredivanje osovinskih opterećenja kamionskoga i tegljačkoga skupa za prijevoza drva. Axle load determination of truk with trailer and truck with semitrailer for wood transportation. Croat. J. For. Eng. 2011, 32, 379–388. [Google Scholar]
Figure 1. Comparison of average values characterizing timber loads depending on the length of the transported timber. (a) load volume, (b) load mass, (c) mass of 1 m3, (d) number of logs (pieces). D—tree-length logs; mix—load of mixed sawlogs and tree-length logs.
Figure 1. Comparison of average values characterizing timber loads depending on the length of the transported timber. (a) load volume, (b) load mass, (c) mass of 1 m3, (d) number of logs (pieces). D—tree-length logs; mix—load of mixed sawlogs and tree-length logs.
Forests 11 00366 g001
Figure 2. Comparison of average values characterizing timber loads depending on delivery date. (a) load volume, (b) load mass, (c) mass of 1 m3, (d) number of logs (pieces).
Figure 2. Comparison of average values characterizing timber loads depending on delivery date. (a) load volume, (b) load mass, (c) mass of 1 m3, (d) number of logs (pieces).
Forests 11 00366 g002
Figure 3. Comparison of the average values characterizing the timber loads depending on the time of timber transport by season. (a) load volume, (b) load mass, (c) mass of 1 m3, (d) number of logs (pieces).
Figure 3. Comparison of the average values characterizing the timber loads depending on the time of timber transport by season. (a) load volume, (b) load mass, (c) mass of 1 m3, (d) number of logs (pieces).
Forests 11 00366 g003
Figure 4. Comparison of average values characterizing timber loads depending on the type of forest habitat from which the timber was harvested. (a) load volume, (b) load mass, (c) mass of 1 m3, (d) number of logs (pieces). BMśw − fresh mixed coniferous forest, BMw − moist mixed coniferous forest, Bśw − fresh coniferous forest, LMśw − fresh mixed broadleaved forest, Lśw − fresh broadleaved forest.
Figure 4. Comparison of average values characterizing timber loads depending on the type of forest habitat from which the timber was harvested. (a) load volume, (b) load mass, (c) mass of 1 m3, (d) number of logs (pieces). BMśw − fresh mixed coniferous forest, BMw − moist mixed coniferous forest, Bśw − fresh coniferous forest, LMśw − fresh mixed broadleaved forest, Lśw − fresh broadleaved forest.
Forests 11 00366 g004
Figure 5. Comparison of average values characterizing timber loads depending on the type of soil in which the harvested trees grew. (a) load volume, (b) load mass, (c) mass of 1 m3, (d) number of logs (pieces). Bgw—(proper) gley podzolic soil, Bw—podzolic soil, RDb—podzolic rusty soil, RDbr—brown rusty soil, RDw—(proper) podzolic soil.
Figure 5. Comparison of average values characterizing timber loads depending on the type of soil in which the harvested trees grew. (a) load volume, (b) load mass, (c) mass of 1 m3, (d) number of logs (pieces). Bgw—(proper) gley podzolic soil, Bw—podzolic soil, RDb—podzolic rusty soil, RDbr—brown rusty soil, RDw—(proper) podzolic soil.
Forests 11 00366 g005
Figure 6. Comparison of average mass values of 1 m3 of load depending on the stand characteristics from which the timber was harvested. (a) stand age, (b) diameter at breast height (DBH), (c) stand height, (d) abundance.
Figure 6. Comparison of average mass values of 1 m3 of load depending on the stand characteristics from which the timber was harvested. (a) stand age, (b) diameter at breast height (DBH), (c) stand height, (d) abundance.
Forests 11 00366 g006
Figure 7. Comparison of real load mass with calculated. (W)- Real mass of the weighing load, (P)- Calculated mass of load by the conversion factor 740 kg⋅m−3, (F) - Calculated load mass based on a specific function.
Figure 7. Comparison of real load mass with calculated. (W)- Real mass of the weighing load, (P)- Calculated mass of load by the conversion factor 740 kg⋅m−3, (F) - Calculated load mass based on a specific function.
Forests 11 00366 g007
Table 1. Characteristics of the parameters of the origin of the timber.
Table 1. Characteristics of the parameters of the origin of the timber.
MeasureMeanSDMinMaxQ1MedianQ3
Stand age (years)87.7924.3330.00191.0070.0087.00105.00
Habitat abundance (m3⋅ha−1)327.1094.1915.00664.00273.00334.00391.00
DBH (cm)33.426.3514.0052.0030.0033.0038.00
Tree height (m)26.203.1714.0036.0024.0026.0028.00
Notes: SD. standard deviation; Q1. first quartile; Q3 third quartile.
Table 2. List of selected characteristics of timber loads.
Table 2. List of selected characteristics of timber loads.
MeasureMeanSDMinMaxQ1MedianQ3
Load mass (kg)30,330.002203.1921,750.0038,910.0028,800.0030,200.0031,750.00
Load volume (m3)29.341.5324.2136.5128.3829.1430.15
Mass of 1 m3 of load (kg)1033.8757.87763.151343.07996.121031.611070.04
Mean volume of one log (m3)0.220.100.081.010.170.200.23
Length of logs in the load (m)4.841.013.7014.004.405.005.00
Number of logs in the load (pieces)146.9040.6128.00360.00122.00146.00172.00
Notes: SD. standard deviation; Q1. first quartile; Q3 third quartile.
Table 3. The results of the assessment of the significance of the differences of the selected load characteristics depending on the parameters describing the stand.
Table 3. The results of the assessment of the significance of the differences of the selected load characteristics depending on the parameters describing the stand.
MeasureTimber Load Volume (m3)Load Mass (kg)Mass of 1 m3 of Load kg⋅m−3Number of Logs in the Load (Pieces)
p - Value
Stand age0.02390.00860.00000.0000
DBH0.00610.00170.04520.0000
Stand height0.04300.00460.00000.0000
Abundance 0.22970.00000.00000.0383
Table 4. Spearman’s rank correlation coefficient for load parameters depending on the wood origin parameters.
Table 4. Spearman’s rank correlation coefficient for load parameters depending on the wood origin parameters.
Measure Timber Load Volume (m3)Load Mass (kg)Mass of 1 m3 of Load kg⋅m−3Number of Logs in the Load (Pieces)
Correlation Coefficient
Stand age −0.050277−0.0140960.046490−0.429014
DBH −0.003670−0.093286−0.114647−0.395939
Tree height 0.059803−0.182405−0.298790−0.278936
Habitat abundance0.011110−0.144083−0.1948650.011960
Forest habitat0.003504−0.036730−0.066797−0.104125
Soil types0.003771−0.062737−0.105935−0.014686
Number of logs in the load0.1630270.1231430.006468
Timber load volume 0.617103−0.0809890.163017
Statistically significant results have been highlighted.
Table 5. Assessment of model parameters on load mass.
Table 5. Assessment of model parameters on load mass.
ParameterParameter ValueStandard Errort-StatisticP-Valuer2 - Coefficient of Determination
Constant term3199.789834.52553.834260.000130.4126
Volume V (kg) 924.53728.400132.553980.00000

Share and Cite

MDPI and ACS Style

Tymendorf, Ł.; Trzciński, G. Multi-Factorial Load Analysis of Pine Sawlogs in Transport to Sawmill. Forests 2020, 11, 366. https://doi.org/10.3390/f11040366

AMA Style

Tymendorf Ł, Trzciński G. Multi-Factorial Load Analysis of Pine Sawlogs in Transport to Sawmill. Forests. 2020; 11(4):366. https://doi.org/10.3390/f11040366

Chicago/Turabian Style

Tymendorf, Łukasz, and Grzegorz Trzciński. 2020. "Multi-Factorial Load Analysis of Pine Sawlogs in Transport to Sawmill" Forests 11, no. 4: 366. https://doi.org/10.3390/f11040366

APA Style

Tymendorf, Ł., & Trzciński, G. (2020). Multi-Factorial Load Analysis of Pine Sawlogs in Transport to Sawmill. Forests, 11(4), 366. https://doi.org/10.3390/f11040366

Note that from the first issue of 2016, this journal uses article numbers instead of page numbers. See further details here.

Article Metrics

Back to TopTop