The Quantity and Biochemical Composition of Sap Collected from Silver Birch (Betula pendula Roth) Trees Growing in Different Soils
Abstract
1. Introduction
2. Materials and Methods
2.1. Study Sites
2.2. Soil Sampling and Chemical Analysis
2.3. Collection of the Silver Birch (Betula pendula Roth) Sap and Chemical Analyses
2.4. Statistical Analyses
3. Results
3.1. The Quantity of Sap Collected from Silver Birch (Betula pendula Roth) Trees with Different Dendrometric Parameters
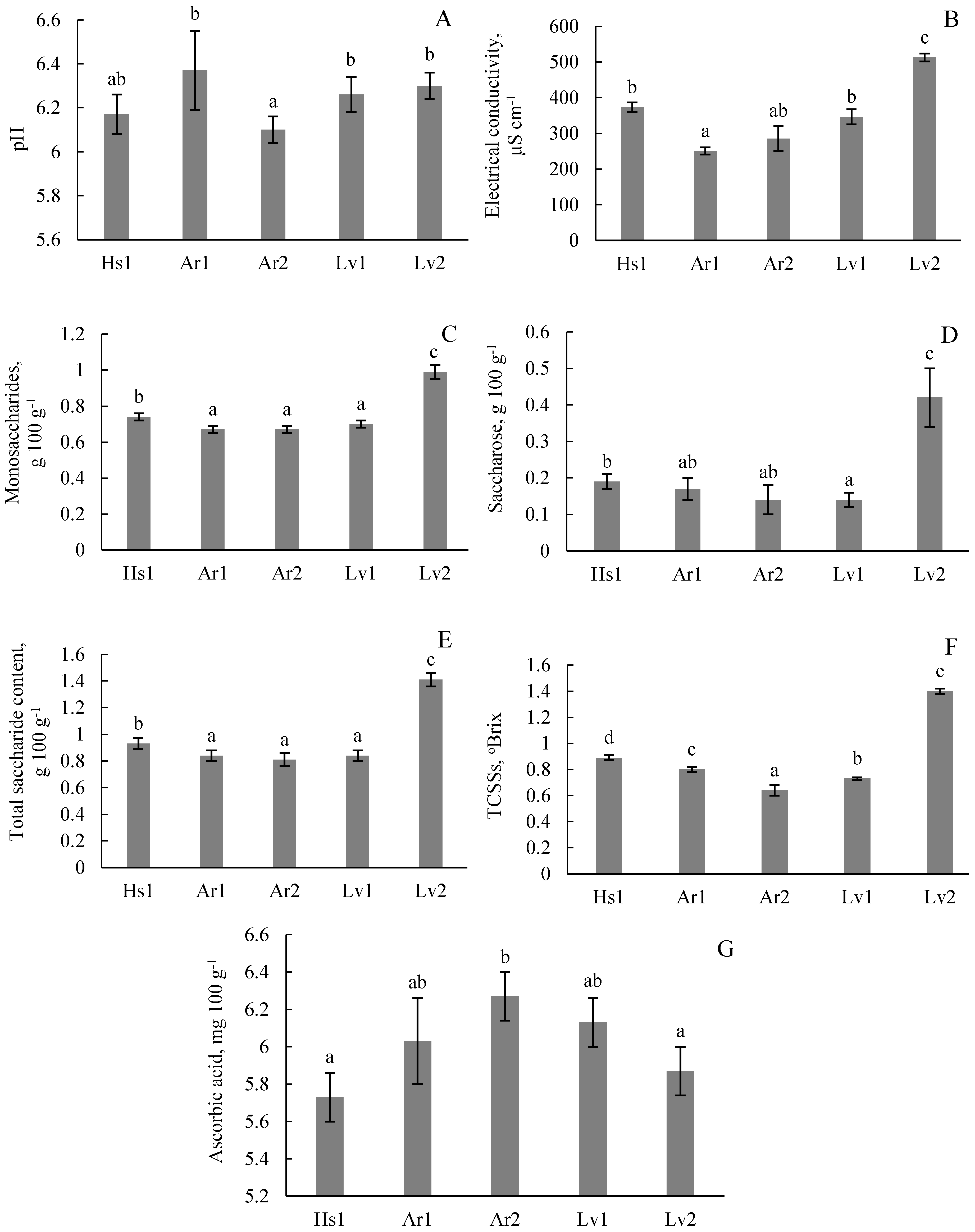
3.2. The Quantity and Biochemical Composition of Silver Birch (Betula pendula Roth) Sap Collected from Trees Growing in Different Soils
3.3. The Influence of Dendrometric Parameters, Soil Group and Nutrient Status on Silver Birch (Betula pendula Roth) Sap Quantity and Biochemical Composition
4. Discussion
5. Conclusions
Author Contributions
Funding
Conflicts of Interest
References
- Svanberg, I.; Sõukand, R.; Łuczaj, Ł.; Kalle, R.; Zyryanova, O.; Dénes, A.; Papp, N.; Nedelcheva, A.; Šeškauskaitė, D.; Kołodziejska-Degórska, I.; et al. Uses of tree saps in northern and eastern parts of Europe. Acta Soc. Bot. Pol. 2012, 81, 343–357. [Google Scholar] [CrossRef]
- Enescu, C.M. Collection and use of birch sap, a less known non-wood forest product in Romania. Sci. Pap. Ser. Manag. Econ. Eng. Agric. Rural Dev. 2017, 17, 191–194. [Google Scholar]
- Kūka, M.; Čakste, I.; Geršebeka, E. Determination of bioactive compounds and mineral substances in Latvian birch and maple saps. Proc. Latv. Acad. Sci. Sect. B Nat. Exact Appl. Sci. 2013, 67, 437–441. [Google Scholar]
- Semjonovs, P.; Denina, I.; Fomina, A.; Patetko, A.; Auzina, L.; Upite, D.; Upitis, A.; Danilevics, A. Development of birch (Betula pendula Roth) sap based probiotic fermented beverage. Int. Food Res. J. 2014, 21, 1763–1767. [Google Scholar]
- Bilek, M.J.; Wawer, J.; Szwerc, W.; Słowik, K.; Sosnowski, S. Birch sap concentrate as a potential modern food product. Econtechmod 2018, 7, 5–9. [Google Scholar]
- Peev, C.; Dehelean, C.; Mogosanu, C.; Feflea, S.; Corina, T. Spring drugs of Betula pendula Roth: Biologic and pharmacognostic evaluation. Studia Universitatis Vasile Goldis Arad Seria Stiintele Vietii 2010, 20, 41–43. [Google Scholar]
- Viškelis, P.; Rubinskienė, M. Chemical composition of birch sap. Sodininkystė ir Daržininkystė 2011, 30, 75–81. (In Lithuanian) [Google Scholar]
- Grabek-Lejko, D.; Kasprzyk, I.; Zaguła, G.; Puchalsky, C. The bioactive and mineral compounds in birch sap collected in different types of habitats. Balt. For. 2017, 23, 394–401. [Google Scholar]
- Hynynen, J.; Niemistö, P.; Viherä-Aarnio, A.; Brunner, A.; Hein, S.; Velling, P. Silviculture of birch (Betula pendula Roth and Betula pubescens Ehrh.) in northern Europe. Forestry 2010, 83, 103–119. [Google Scholar] [CrossRef]
- Soloviy, I. Use of birch sap in the Eastern Europe: Heritage of traditions and perspectives for industry development. In Proceedings of the International Maple Symposium, Quebec City, QC, Canada, 20–21 November 2015; Available online: https://docplayer.net/50744494-Ihor-soloviy-l-utilisation-de-la-seve-de-bouleau-en-europe-de-l-est-traditions-et-nouvelles-perspectives.html) (accessed on 31 October 2019).
- Global Forest Resource Assessment. Country Reports. Forestry Department of Food and Agriculture Organization. United Nations, 2010. Available online: http://www.fao.org/forestry/site/fra/en/ (accessed on 18 September 2019).
- Leaf, A.L.; Watterston, K.G. Chemical analysis of sugarmaple sap and foliage as related to sap and sugar yields. For. Sci. 1964, 10, 288–292. [Google Scholar]
- Laing, F.M.; Howard, D.B. Sap sweetness consistency vs. growth rates in young sugar maples. North. J. Appl. For. Res. 1990, 7, 5–9. [Google Scholar] [CrossRef]
- Westhoff, M.; Schneider, H.; Zimmermann, D.; Mimietz, S.; Stinzing, A.; Wegner, L.H.; Kaiser, W.; Krohne, G.; Shirley, S.; Jakob, P.; et al. The mechanisms of refilling of xylem conduits and bleeding of tall birch during spring. Plant Biol. 2008, 10, 604–623. [Google Scholar] [CrossRef] [PubMed]
- Zajączkowska, U.; Kaczmarczyk, K.; Liana, J. Birch sap exudation: Influence of tree position in a forest stand on birch sap production, trunk wood anatomy and radial bending strength. Silva Fenn. 2019, 53. [Google Scholar] [CrossRef]
- Horna, V.; Schuldt, B.; Brix, S.; Leuschner, C. Environment and tree size controlling stem sap flux in a perhumid tropical forest of Central Sulawesi, Indonesia. Ann. For. Sci. 2011, 68, 1027–1038. [Google Scholar] [CrossRef]
- Jeong, S.J.; Lee, C.H.H.; Kim, H.Y.; Lee, S.H.; Hwang, I.G.; Shin, C.S.; Lee, J.; Jeong, H.S. Quality characteristics of the white birch sap with varying collection periods. J. Korean Soc. Food Sci. Nutr. 2012, 41, 143–148. [Google Scholar] [CrossRef]
- Ozolinčius, R.; Bareika, V.; Rubinskiene, M.; Viškelis, P.; Mažeika, R.; Staugaitis, G. Chemical Composition of Silver Birch (Betula pendula Roth) and Downy Birch (Betula pubescens Ehrh.) Sap. Baltic For. 2016, 22, 222–229. [Google Scholar]
- Zwieniecki, M.A.; Melcher, P.J.; Feild, T.S.; Holbrook, N.M. A potential role for xylem-phloem interactions in the hydraulic architecture of trees: Effects of phloem girdling on xylem hydraulic conductance. Tree Physiol. 2004, 24, 911–917. [Google Scholar] [CrossRef]
- WRB (World reference base of soil resources 2014 (update 2015). International Soil Classification System for Naming Soils and Creating Legends for Soil Maps; Food and Agriculture Organization of The United Nations: Rome, Italy, 2015; 203p. [Google Scholar]
- Galvonaitė, A.; Valiukas, D.; Kilpys, J.; Kitrienė, Z.; Misiūnienė, M. Climate Atlas of Lithuania; Lithuanian Hydrometeorological Service: Vilnius, Lithuania, 2013; 175p. [Google Scholar]
- ISO 10390. Soil Quality-Determination of pH; International Organization for Standardization: Geneva, Switzerland, 2005; 5p. [Google Scholar]
- ISO 11261. Soil Quality-Determination of Total Nitrogen-Modified Kjeldahl Method; International Organization for Standardization: Geneva, Switzerland, 1995; 4p. [Google Scholar]
- ISO 10694. Soil Quality-Determination of Organic and Total Carbon after Dry Combustion (Elementary Analysis); International Organization for Standardization: Geneva, Switzerland, 1995; 7p. [Google Scholar]
- Égnér, H.; Riehm, H.; Domingo, W.R. Untersuchungen iber die chemische Bodenanalyse als Grundlag fur die Beurteilunger des Nahrstoffzustandes der Boden, II: Chemische Extractionsmethoden zur Phosphor, und Kalium-bestimmung. Kunglia Lantbrukshogskolans Annaler 1960, 26, 199–215. [Google Scholar]
- AOAC (The Association of Official Agricultural Chemists). Sucrose in Fruits and Fruit Products. In Official Methods of Analysis, 15th ed.; Helrich, K., Ed.; AOAC Inc.: Arlington, Quezon City, QC, Canada, 1990; 922p. [Google Scholar]
- AOAC (The Association of Official Agricultural Chemists). Vitamin C (Ascorbic Acid) in Vitamin Preparations and Juice. In Official Methods of Analysis, 15th ed.; Helrich, K., Ed.; AOAC Inc.: Arlington, Quezon City, QC, Canada, 1990; 1058p. [Google Scholar]
- Kallio, H.; Rine, S.; Pangborn, R.-M.; Jennings, W. Effect of heating on the headspace volatiles of Finnish birch syrup. Food Chem. 1987, 24, 287–299. [Google Scholar] [CrossRef]
- Sonneveld, C.; Voogt, W. Plant Nutrition of Greenhouse Crops; Springer: New York, NY, USA, 2009. [Google Scholar]
- Brown, H.R. The theory of the rise of sap in trees: Some historical and conceptual remarks. Phys. Perspect. 2013, 15, 320–358. [Google Scholar] [CrossRef]
- Nardini, A.; Lo Gullo, M.A.; Salleo, S. Refilling embolized xylem conduits: Is it a matter of phloem unloading? Plant Sci. 2011, 180, 604–611. [Google Scholar] [CrossRef] [PubMed]
- Westhoff, M.; Zimmermann, D.; Schneider, H.; Wegner, L.H.; Geßner, P.; Jakob, P.; Bamberg, E.; Shirley, S.; Bentrup, F.W.; Zimmermann, U. Evidence for discontinuous water columns in the xylem conduit of tall birch trees. Plant Biol. 2009, 11, 307–327. [Google Scholar] [CrossRef] [PubMed]
- Fuchen, S.; Lingwen, L.; Takayoshi, K.; Shaoquan, N. Resources of the white birch (Betula platyphylla) for sap production and its ecological characteristics in Northeast China. Eurasian J. For. Res. 2001, 2, 31–38. [Google Scholar]
- Jung, E.Y.; Otieno, D.; Lee, B.; Lim, J.H.; Kang, S.K.; Schmidt, M.W.T.; Tenhunen, J. Up-scaling to stand transpiration of an Asian temperate mixed-deciduous forest from single tree sapflow measurements. Plant Ecol. 2011, 212, 383–395. [Google Scholar] [CrossRef]
- Meinzer, F.C.; Goldstein, G.; Andrade, J.K. Regulation of water flux through tropical forest canopy trees: Do universal rules apply? Tree Physiol. 2001, 21, 19. [Google Scholar] [CrossRef]
- Trumer, L. Some Impacts to Paper Birch Trees Tapped for Sap Harvesting in Alaska; United States Department of Agriculture, US Forest Service Alaska Region, State and Private Forestry Forest Health Protection: Anchorage, Alaska, 2009; pp. 1–12.
- Wild, A.D.; Yanai, R.D. Soil nutrients affect sweetness of sugar maple sap. For. Ecol. Manag. 2015, 341, 30–36. [Google Scholar] [CrossRef]
- Wilmot, T.; Perkins, T. Fertilizing a Sugar Bush; Proctor Maple Research Center, University of Vermont: Burlington, VY, USA, 2004; 9p. [Google Scholar]
- Costanza-Robinson, M.S.; Crosby, C.; Doleac, Z.; Wood, C. Maple from the Ground Up: The Role of Place in Distinguishing Sap; Research Methods in Vermont Environmental Science Final Report; Environmental Studies Program, Middlebury College: Middlebury, VY, USA, 2009. [Google Scholar]
- Bailey, S.W.; Horsley, S.B.; Long, R.P.; Hallett, R.A. Influence of edaphic factors on sugar maple nutrition and health on the allegheny plateau. Soil Sci. Soc. Am. J. 2004, 68, 243–252. [Google Scholar] [CrossRef]
- Horsley, S.B.; Long, R.P.; Bailey, S.W.; Hallett, R.A.; Wargo, P.M. Health of eastern North American sugar maple forest and factors affecting decline. North. J. Appl. Forestry 2002, 19, 34–44. [Google Scholar] [CrossRef]
- Schaberg, P.G.; Tilley, J.W.; Hawley, D.H.; Bailey, S.W. Associations of calcium and aluminum with the growth and health of sugar maple trees in Vermont. For. Ecol. Manag. 2006, 223, 159–169. [Google Scholar] [CrossRef]
- Long, R.P.; Horsley, S.B.; Hal, T.J. Long-term impact of liming on growth and vigor ofnorthern hardwoods. Can. J. For. Res. 2011, 41, 1295–1307. [Google Scholar] [CrossRef]
- Moore, J.D.; Ouimet, R.; Duchesne, L. Soil and sugar maple response 15 years after dolomitic lime application. For. Ecol. Manag. 2012, 281, 130–139. [Google Scholar] [CrossRef]
- Moore, H.R.; Anderson, W.R.; Baker, R.H. Ohio Maple Syrup—Some Factors Influencing Production; Ohio Agricultural Experiment Station, Research bulletin: Wooster, OH, USA, 1951; p. 718. [Google Scholar]
- Battles, J.J.; Fahey, T.J.; Driscoll, C.T.; Blum, J.D.; Johnson, C.E. Restoring soil calcium reverses forest decline. Environ. Sci. Technol. Lett. 2013, 1, 15–19. [Google Scholar] [CrossRef]
- Safford, L.O. Fertilization Increases Diameter Growth of Birch-Beech-Maple trees in New Hampshire; USDA Forest Service Research Note NE-182; US Department of Agriculture, Forest Service, Northeastern Forest Experiment Station: Upper Darby, PA, USA, 1973; pp. 1–4.






| Site | Age (yr) | Tree Density (ha−1) | DBH (cm) | H (m) | Volume (m3 ha−1) | Soil Group [20] | Soil Moisture Condition |
|---|---|---|---|---|---|---|---|
| Hs1 | 73 | 175 | 38.8 ± 2.9 | 24.9 ± 1.3 | 225 | Histosol | Undrained peatland |
| Ar1 | 88 | 268 | 31.7 ± 2.3 | 28.5 ± 0.7 | 263 | Arenosol | Temporarily flooded mineral soils |
| Lv2 | 91 | 308 | 39.4 ± 1.2 | 25.0 ± 0.9 | 395 | Luvisol | |
| Ar2 | 105 | 223 | 35.6 ± 2.4 | 27.2 ± 0.7 | 265 | Arenosol | Mineral soils of normal moisture |
| Lv1 | 93 | 106 | 42.6 ± 2.7 | 28.5 ± 0.4 | 184 | Luvisol |
| Soil Layer | Histosol (site Hs1) | Arenosol (site Ar1) | Arenosol (site Ar2) | Luvisol (site Lv1) | Luvisol (site Lv2) |
|---|---|---|---|---|---|
| pHCaCl2 | |||||
| 0–20 cm | 4.25 ± 0.64 b | 3.63 ± 1.89 a | 3.26 ± 0.05 a | 3.29 ± 0.06 a | 5.37 ± 0.18 c |
| 20–40 cm | 5.29 ± 1.17 b | 4.30 ± 1.96 ab | 4.64 ± 0.58 a | 3.89 ± 0.61 a | 6.53 ± 0.30 b |
| SOC, % | |||||
| 0–20 cm | 30.80 ± 0.51 e | 1.62 ± 0.15 a | 2.99 ± 0.19 c | 3.81 ± 0.49 d | 2.66 ± 0.15 b |
| 20–40 cm | 28.67 ± 1.20 b | 0.48 ± 0.14 a | 0.49 ± 0.02 a | 0.59 ± 0.19 a | 0.42 ± 0.03 a |
| TN, % | |||||
| 0–20 cm | 2.42 ± 0.14 c | 0.17 ± 0.03 a | 0.15 ± 0.03 a | 0.26 ± 0.03 b | 0.26 ± 0.01 b |
| 20–40 cm | 2.24 ± 0.05 d | 0.08 ± 0.02 c | 0.04 ± 0.00 a | 0.08 ± 0.01 c | 0.05 ± 0.00 b |
| P2O5, g kg−1 | |||||
| 0–20 cm | 0.044 ± 0.004 c | 0.058 ± 0.010 c | 0.171 ± 0.024 d | 0.016 ± 0.003 a | 0.026 ± 0.002 b |
| 20–40 cm | 0.024 ± 0.002 b | 0.130 ± 0.019 d | 0.067 ± 0.012 c | 0.011 ± 0.003 a | 0.126 ± 0.025 d |
| K2O, g kg−1 | |||||
| 0–20 cm | 0.118 ± 0.003 d | 0.028 ± 0.004 a | 0.042 ± 0.005 b | 0.035 ± 0.005 a | 0.057 ± 0.005 c |
| 20–40 cm | 0.028 ± 0.005 c | 0.014 ± 0.002 b | 0.013 ± 0.012 b | 0.009 ± 0.000 a | 0.057 ± 0.030 d |
| Ca, g kg−1 | |||||
| 0–20 cm | 10.913 ± 0.284 e | 0.266 ± 0.025 b | 0.211 ± 0.028 a | 0.523 ± 0.133 c | 2.110 ± 0.165 d |
| 20–40 cm | 11.044 ± 1.047 d | 0.171 ± 0.018 a | 0.199 ± 0.035 a | 0.514 ± 0.005 b | 1.788 ± 0.224 c |
| Mg, g kg−1 | |||||
| 0–20 cm | 1.117 ± 0.011 c | 0.083 ± 0.009 a | 0.070 ± 0.011 a | 0.076 ± 0.005 a | 0.382 ± 0.049 b |
| 20–40 cm | 1.081 ± 0.019 c | 0.061 ± 0.006 a | 0.063 ± 0.014 a | 0.062 ± 0.007 a | 0.438 ± 0.064 b |
| Monosacharides | Saccharose | Sweetness | pHsap | Ascorbic Acid | Conductivity | |
|---|---|---|---|---|---|---|
| pHsoil | 0.7* | 0.6* | 0.7* | 0.1 | −0.5* | 0.7* |
| OC | 0.0 | 0.0 | 0.0 | −0.1 | −0.2 | 0.0 |
| N | 0.0 | 0.0 | 0.0 | 0.2 | −0.3 | 0.0 |
| P2O5 | 0.1 | 0.0 | 0.1 | 0.0 | 0.0 | 0.0 |
| K2O | 0.3 | 0.2 | 0.3 | 0.0 | 0.2 | 0.3 |
| Ca | 0.5* | 0.4* | 0.5* | 0.0 | −0.3 | 0.5* |
| Mg | 0.5* | 0.5* | 0.5* | 0.0 | −0.3 | 0.5* |
© 2020 by the authors. Licensee MDPI, Basel, Switzerland. This article is an open access article distributed under the terms and conditions of the Creative Commons Attribution (CC BY) license (http://creativecommons.org/licenses/by/4.0/).
Share and Cite
Mingaila, J.; Čiuldienė, D.; Viškelis, P.; Bartkevičius, E.; Vilimas, V.; Armolaitis, K. The Quantity and Biochemical Composition of Sap Collected from Silver Birch (Betula pendula Roth) Trees Growing in Different Soils. Forests 2020, 11, 365. https://doi.org/10.3390/f11040365
Mingaila J, Čiuldienė D, Viškelis P, Bartkevičius E, Vilimas V, Armolaitis K. The Quantity and Biochemical Composition of Sap Collected from Silver Birch (Betula pendula Roth) Trees Growing in Different Soils. Forests. 2020; 11(4):365. https://doi.org/10.3390/f11040365
Chicago/Turabian StyleMingaila, Justas, Dovilė Čiuldienė, Pranas Viškelis, Edmundas Bartkevičius, Vladas Vilimas, and Kęstutis Armolaitis. 2020. "The Quantity and Biochemical Composition of Sap Collected from Silver Birch (Betula pendula Roth) Trees Growing in Different Soils" Forests 11, no. 4: 365. https://doi.org/10.3390/f11040365
APA StyleMingaila, J., Čiuldienė, D., Viškelis, P., Bartkevičius, E., Vilimas, V., & Armolaitis, K. (2020). The Quantity and Biochemical Composition of Sap Collected from Silver Birch (Betula pendula Roth) Trees Growing in Different Soils. Forests, 11(4), 365. https://doi.org/10.3390/f11040365

