Effects of Summer Drought on the Fine Root System of Five Broadleaf Tree Species along a Precipitation Gradient
Abstract
1. Introduction
2. Materials and Methods
2.1. Site Description
2.1.1. Forest Stands and Tree Species
2.1.2. Climatic Conditions
2.1.3. Edaphic Conditions
2.2. Fine Root Inventories
2.2.1. Sampling Periods
2.2.2. Fine Root Biomass and Necromass
2.2.3. Fine Root Morphology
2.3. Statistical Analyses
3. Results
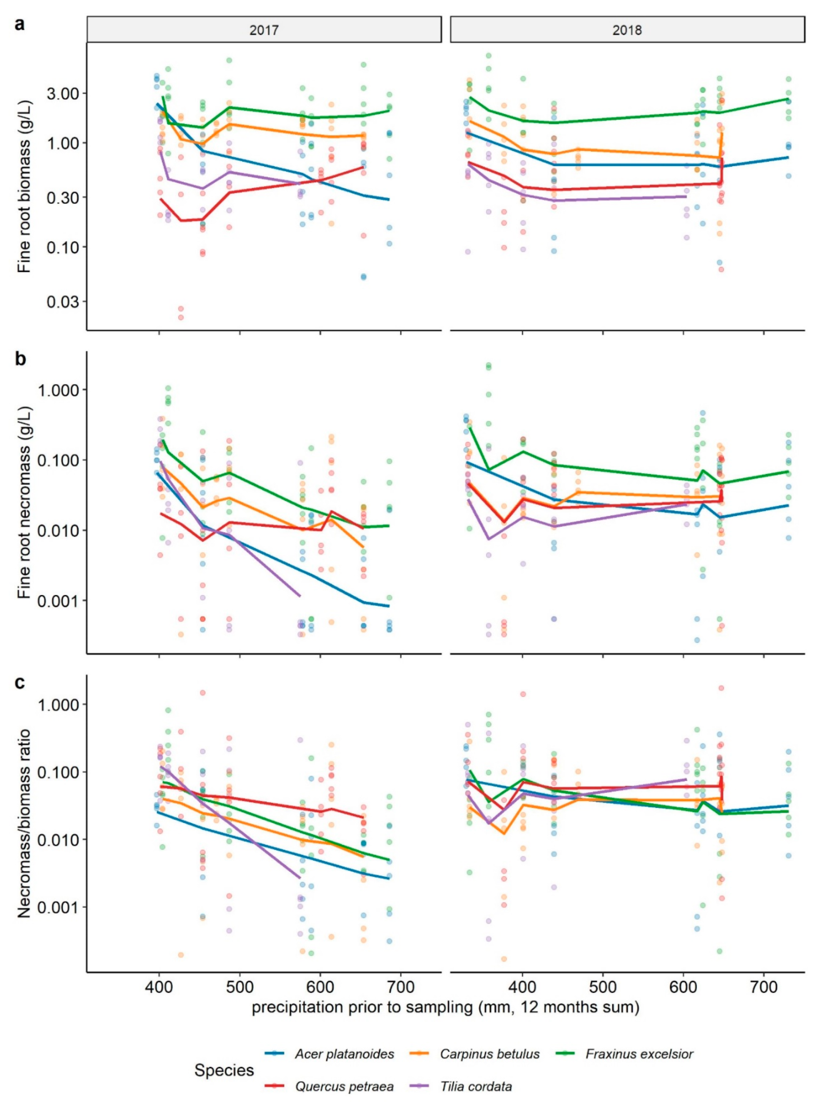
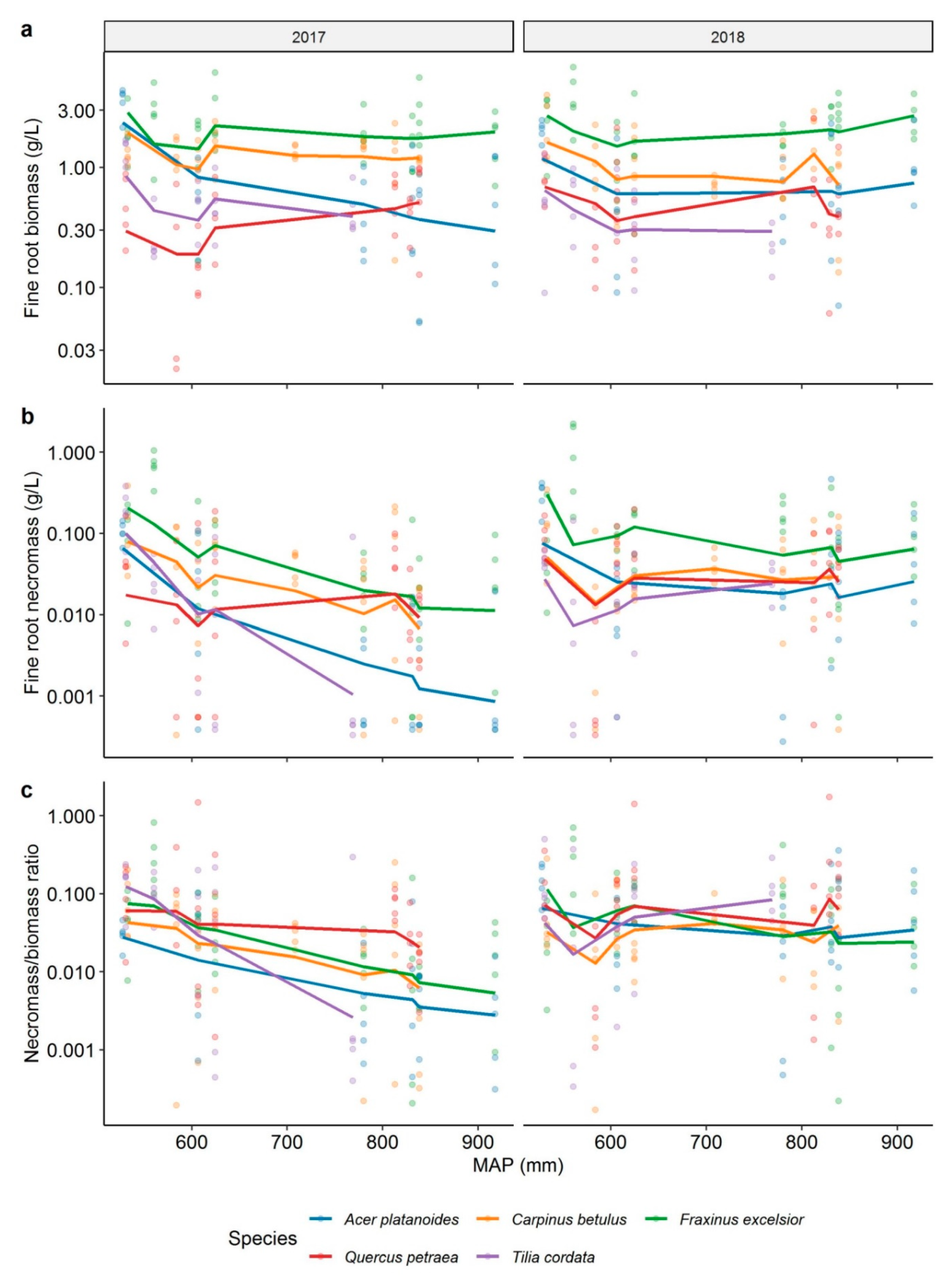
3.1. Fine Root Biomass, Necromass, and Morphology in the 2017 and 2018 Inventories
3.2. Changes in Fine Root Mass and Root Traits along the Precipitation Gradient
3.3. Interdependencies between Climatic and Edaphic Factors and Fine Root Variables along the Precipitation Gradient
4. Discussion
4.1. Fine Root Biomass and Belowground C Allocation in Dependence on Long-Term Water Reduction
4.2. Effects of the 2018 Summer Drought on Fine Root Biomass and Belowground C Allocation
4.3. Root Morphological Change in Response to Reduced Water Availability
4.4. Species Differences in the Belowground Drought Response
5. Conclusions
Author Contributions
Funding
Acknowledgments
Conflicts of Interest
Appendix A
| Model | 2017 (Moist) | 2018 (Dry) | ||||
|---|---|---|---|---|---|---|
| Species | Estimate | Pseudo r² | p-Value | Estimate | Pseudo r² | p-Value |
| Fine root biomass ~ act.PRCP | ||||||
| Fraxinus excelsior | −0.0003 | 0.00 | 0.805 | 0.0007 | 0.00 | 0.543 |
| Carpinus betulus | −0.0007 | 0.03 | 0.650 | −0.0008 | 0.02 | 0.544 |
| Acer platanoides | −0.0066 | 0.33 | <0.001 | −0.0006 | 0.02 | 0.630 |
| Quercus petraea | 0.0041 | 0.15 | 0.013 | 0.0003 | 0.00 | 0.824 |
| Tilia cordata | −0.0028 | 0.04 | 0.313 | −0.0015 | 0.07 | 0.447 |
| Fine root necromass ~ act.PRCP | ||||||
| Fraxinus excelsior | −0.0096 | 0.30 | 0.003 | −0.0032 | 0.06 | 0.152 |
| Carpinus betulus | −0.0087 | 0.14 | 0.017 | 0.0013 | 0.00 | 0.622 |
| Acer platanoides | −0.0147 | 0.48 | <0.001 | −0.0031 | 0.06 | 0.227 |
| Quercus petraea | −0.0001 | 0.00 | 0.975 | 0.0008 | 0.00 | 0.750 |
| Tilia cordata | −0.0247 | 0.43 | <0.001 | 0.0000 | 0.00 | 0.994 |
| Necro-/biomass-ratio ~ act.PRCP | ||||||
| Fraxinus excelsior | −0.0094 | 0.32 | <0.001 | −0.0038 | 0.07 | 0.089 |
| Carpinus betulus | −0.0077 | 0.12 | 0.014 | 0.0021 | 0.01 | 0.415 |
| Acer platanoides | −0.0079 | 0.24 | 0.009 | −0.0024 | 0.04 | 0.345 |
| Quercus petraea | −0.0040 | 0.06 | 0.192 | 0.0005 | 0.00 | 0.825 |
| Tilia cordata | −0.0220 | 0.40 | <0.001 | 0.0017 | 0.03 | 0.668 |




References
- Leuschner, C.; Ellenberg, H. Ecology of Central European Forests: Vegetation Ecology of Central Europe; Springer International Publishing: Cham, Switzerland, 2017; Volume I. [Google Scholar]
- Jackson, R.B.; Mooney, H.A.; Schulze, E.D. A global budget for fine root biomass, surface area, and nutrient contents. Proc. Natl. Acad. Sci. USA 1997, 94, 7362–7366. [Google Scholar] [CrossRef]
- Nadelhoffer, K.J.; Raich, J.W. Fine Root Production Estimates and Belowground Carbon Allocation in Forest Ecosystems. Ecology 1992, 73, 1139–1147. [Google Scholar] [CrossRef]
- Rasse, D.P.; Rumpel, C.; Dignac, M.-F. Is soil carbon mostly root carbon? Mechanisms for a specific stabilisation. Plant Soil 2005, 269, 341–356. [Google Scholar] [CrossRef]
- Eissenstat, D.M.; Yanai, R.D. Root life span, efficiency, and turnover. In Plant Roots: The Hidden Half, 3rd ed.; Kafkafi, U., Waisel, Y., Eshel, A., Eds.; CRC Press: Boca Raton, FL, USA, 2002; pp. 221–238. ISBN 978-0-8247-0631-9. [Google Scholar]
- Brunner, I.; Herzog, C.; Dawes, M.A.; Arend, M.; Sperisen, C. How tree roots respond to drought. Front. Plant Sci. 2015, 6, 547. [Google Scholar] [CrossRef] [PubMed]
- Leuschner, C.; Hertel, D.; Schmid, I.; Koch, O.; Muhs, A.; Hölscher, D. Stand fine root biomass and fine root morphology in old-growth beech forests as a function of precipitation and soil fertility. Plant Soil 2004, 258, 43–56. [Google Scholar] [CrossRef]
- Leuschner, C.; Hertel, D. Fine Root Biomass of Temperate Forests in Relation to Soil Acidity and Fertility, Climate, Age and Species. Prog. Bot. 2003, 64, 405–438. [Google Scholar] [CrossRef]
- Pregitzer, K.S.; Hendrick, R.L.; Fogel, R. The demography of fine roots in response to patches of water and nitrogen. New Phytol. 1993, 125, 575–580. [Google Scholar] [CrossRef]
- IPCC. Contribution of working group II to the fifth assessment report of the intergovernmental panel on climate change. In Climate Change 2014: Impacts, Adaptation and Vulnerability; Field, C.B., Barros, V.R., Dokken, D.J., Mach, K.J., Mastrandrea, M.D., Bilir, T.E., Monalisa, C., Kristie, L.E., Yuka, O.E., Robert, C.G., et al., Eds.; Cambridge University Press: New York, NY, USA, 2014; ISBN 978-1-107-64165-5. [Google Scholar]
- Schär, C.; Vidale, P.L.; Lüthi, D.; Frei, C.; Häberli, C.; Liniger, M.A.; Appenzeller, C. The role of increasing temperature variability in European summer heatwaves. Nature 2004, 427, 332–336. [Google Scholar] [CrossRef]
- Ryan, M.G. Tree responses to drought. Tree Physiol. 2011, 31, 237–239. [Google Scholar] [CrossRef]
- Senf, C.; Pflugmacher, D.; Zhiqiang, Y.; Sebald, J.; Knorn, J.; Neumann, M.; Hostert, P.; Seidl, R. Canopy mortality has doubled in Europe’s temperate forests over the last three decades. Nat. Commun. 2018, 9, 4978. [Google Scholar] [CrossRef]
- Anderegg, W.R.L.; Kane, J.M.; Anderegg, L.D.L. Consequences of widespread tree mortality triggered by drought and temperature stress. Nat. Clim. Chang. 2013, 3, 30–36. [Google Scholar] [CrossRef]
- Allen, C.D.; Macalady, A.K.; Chenchouni, H.; Bachelet, D.; McDowell, N.; Vennetier, M.; Kitzberger, T.; Rigling, A.; Breshears, D.D.; Hogg, E.H.; et al. A global overview of drought and heat-induced tree mortality reveals emerging climate change risks for forests. For. Ecol. Manag. 2010, 259, 660–684. [Google Scholar] [CrossRef]
- Reich, P. Root–Shoot Relations. In Plant Roots: The Hidden Half, 3rd ed.; Kafkafi, U., Waisel, Y., Eshel, A., Eds.; CRC Press: Boca Raton, FL, USA, 2002; pp. 205–220. ISBN 978-0-8247-0631-9. [Google Scholar]
- Bloom, A.J.; Chapin, F.S.; Mooney, H.A. Resource Limitation in Plants-An Economic Analogy. Annu. Rev. Ecol. Syst. 1985, 16, 363–392. [Google Scholar] [CrossRef]
- Mokany, K.; Raison, R.J.; Prokushkin, A.S. Critical analysis of root: Shoot ratios in terrestrial biomes. Glob. Chang. Biol. 2006, 12, 84–96. [Google Scholar] [CrossRef]
- Kozlowski, T.T.; Pallardy, S.G. Acclimation and Adaptive Responses of Woody Plants to Environmental Stresses. Bot. Rev. 2002, 68, 270–334. [Google Scholar] [CrossRef]
- Hertel, D.; Therburg, A.; Villalba, R. Above- and below-ground response by Nothofagus pumilio to climatic conditions at the transition from the steppe–forest boundary to the alpine treeline in southern Patagonia, Argentina. Plant Ecol. Divers. 2008, 1, 21–33. [Google Scholar] [CrossRef]
- Coomes, D.A.; Grubb, P.J. Impacts of root competition in forests and woodlands: A theoretical framework and review of experiments. Ecol. Monogr. 2000, 70, 171–207. [Google Scholar] [CrossRef]
- Thomas, F.M.; Gausling, T. Morphological and physiological responses of oak seedlings (Quercus petraea and Q. robur) to moderate drought. Ann. For. Sci. 2000, 57, 325–333. [Google Scholar] [CrossRef]
- Tomlinson, P.T.; Anderson, P.D. Ontogeny affects response of northern red oak seedlings to elevated CO2 and water stress: II. Recent photosynthate distribution and growth. New Phytol. 1998, 140, 493–504. [Google Scholar] [CrossRef]
- van Hees, A.F.M. Growth and morphology of pedunculate oak (Quercus robur L) and beech (Fagus sylvatica L) seedlings in relation to shading and drought. Ann. For. Sci. 1997, 54, 9–18. [Google Scholar] [CrossRef]
- Kuster, T.M.; Arend, M.; Günthardt-Goerg, M.S.; Schulin, R. Root growth of different oak provenances in two soils under drought stress and air warming conditions. Plant Soil 2013, 369, 61–71. [Google Scholar] [CrossRef]
- Hertel, D.; Strecker, T.; Müller-Haubold, H.; Leuschner, C. Fine root biomass and dynamics in beech forests across a precipitation gradient—is optimal resource partitioning theory applicable to water-limited mature trees? J. Ecol. 2013, 101, 1183–1200. [Google Scholar] [CrossRef]
- Meier, I.C.; Leuschner, C. Belowground drought response of European beech: Fine root biomass and carbon partitioning in 14 mature stands across a precipitation gradient. Glob. Chang. Biol. 2008, 14, 2081–2095. [Google Scholar] [CrossRef]
- Zang, U.; Goisser, M.; Häberle, K.-H.; Matyssek, R.; Matzner, E.; Borken, W. Effects of drought stress on photosynthesis, rhizosphere respiration, and fine-root characteristics of beech saplings: A rhizotron field study. J. Plant Nutr. Soil Sci. 2014, 177, 168–177. [Google Scholar] [CrossRef]
- Meier, I.C.; Leuschner, C. Genotypic variation and phenotypic plasticity in the drought response of fine roots of European beech. Tree Physiol. 2008, 28, 297–309. [Google Scholar] [CrossRef] [PubMed]
- Aspelmeier, S.; Leuschner, C. Genotypic variation in drought response of silver birch (Betula pendula Roth): Leaf and root morphology and carbon partitioning. Trees 2006, 20, 42–52. [Google Scholar] [CrossRef]
- Bongarten, B.C.; Teskey, R.O. Dry weight partitioning and its relationship to productivity in loblolly pine seedlings from seven sources. For. Sci. 1987, 33, 255–267. [Google Scholar]
- Bakker, M.R.; Augusto, L.; Achat, D.L. Fine root distribution of trees and understory in mature stands of maritime pine (Pinus pinaster) on dry and humid sites. Plant Soil 2006, 286, 37–51. [Google Scholar] [CrossRef]
- Parker, M.M.; van Lear, D.H. Soil Heterogeneity and Root Distribution of Mature Loblolly Pine Stands in Piedmont Soils. Soil Sci. Soc. Am. J. 1996, 60, 1920. [Google Scholar] [CrossRef]
- Chenlemuge, T.; Hertel, D.; Dulamsuren, C.; Khishigjargal, M.; Leuschner, C.; Hauck, M. Extremely low fine root biomass in Larix sibirica forests at the southern drought limit of the boreal forest. Flora Morphol. Distrib. Funct. Ecol. Plants 2013, 208, 488–496. [Google Scholar] [CrossRef]
- Santantonio, D.; Hermann, R.K. Standing crop, production, and turnover of fine roots on dry, moderate, and wet sites of mature Douglas-fir in western Oregon. Ann. For. Sci. 1985, 42, 113–142. [Google Scholar] [CrossRef]
- McCormack, M.L.; Guo, D. Impacts of environmental factors on fine root lifespan. Front. Plant Sci. 2014, 5, 205. [Google Scholar] [CrossRef] [PubMed]
- Wang, C.; Chen, Z.; Yin, H.; Guo, W.; Cao, Y.; Wang, G.; Sun, B.; Yan, X.; Li, J.; Zhao, T.-H.; et al. The Responses of Forest Fine Root Biomass/Necromass Ratio to Environmental Factors Depend on Mycorrhizal Type and Latitudinal Region. J. Geophys. Res. Biogeosci. 2018, 123, 1769–1788. [Google Scholar] [CrossRef]
- Hertel, D.; Leuschner, C. A comparison of four different fine root production estimates with ecosystem carbon balance data in a Fagus-Quercus mixed forest. Plant Soil 2002, 239, 237–251. [Google Scholar] [CrossRef]
- Eissenstat, D.M.; Wells, C.E.; Yanai, R.D.; Whitbeck, J.L. Building roots in a changing environment: Implications for root longevity. New Phytol. 2000, 147, 33–42. [Google Scholar] [CrossRef]
- Rewald, B. Impact of Climate Change-Induced Drought on Tree Root Hydraulic Properties and Competition Belowground. Ph.D. Thesis, Georg-August-University, Goettingen, Germany, 2008. [Google Scholar]
- Jackson, R.B.; Sperry, J.S.; Dawson, T.E. Root water uptake and transport: Using physiological processes in global predictions. Trends Plant Sci. 2000, 5, 482–488. [Google Scholar] [CrossRef]
- Alder, N.N.; Sperry, J.S.; Pockman, W.T. Root and stem xylem embolism, stomatal conductance, and leaf turgor in Acer grandidentatum populations along a soil moisture gradient. Oecologia 1996, 105, 293–301. [Google Scholar] [CrossRef]
- Persson, H.Å.; Stadenberg, I. Fine root dynamics in a Norway spruce forest (Picea abies (L.) Karst) in eastern Sweden. Plant Soil 2010, 330, 329–344. [Google Scholar] [CrossRef]
- Puhe, J. Growth and development of the root system of Norway spruce (Picea abies) in forest stands—A review. For. Ecol. Manag. 2003, 175, 253–273. [Google Scholar] [CrossRef]
- Gaul, D.; Hertel, D.; Borken, W.; Matzner, E.; Leuschner, C. Effects of experimental drought on the fine root system of mature Norway spruce. For. Ecol. Manag. 2008, 256, 1151–1159. [Google Scholar] [CrossRef]
- Mainiero, R.; Kazda, M. Depth-related fine root dynamics of Fagus sylvatica during exceptional drought. For. Ecol. Manag. 2006, 237, 135–142. [Google Scholar] [CrossRef]
- Tierney, G.L.; Fahey, T.J.; Groffman, P.M.; Hardy, J.P.; Fitzhugh, R.D.; Driscoll, C.T.; Yavitt, J.B. Environmental control of fine root dynamics in a northern hardwood forest. Glob. Chang. Biol. 2003, 9, 670–679. [Google Scholar] [CrossRef]
- Leuschner, C.; Backes, K.; Hertel, D.; Schipka, F.; Schmitt, U.; Terborg, O.; Runge, M. Drought responses at leaf, stem and fine root levels of competitive Fagus sylvatica L. and Quercus petraea (Matt.) Liebl. trees in dry and wet years. For. Ecol. Manag. 2001, 149, 33–46. [Google Scholar] [CrossRef]
- Makkonen, K.; Helmisaari, H.-S. Seasonal and yearly variations of fine-root biomass and necromass in a Scots pine (Pinus sylvestris L.) stand. For. Ecol. Manag. 1998, 102, 283–290. [Google Scholar] [CrossRef]
- Teskey, R.O.; Hinckley, T.M. Influence of temperature and water potential on root growth of white oak. Physiol. Plant. 1981, 52, 363–369. [Google Scholar] [CrossRef]
- López, B.; Sabaté, S.; Gracia, C. Fine roots dynamics in a Mediterranean forest: Effects of drought and stem density. Tree Physiol. 1998, 18, 601–606. [Google Scholar] [CrossRef]
- Leuschner, C.; Meier, I.C. The ecology of Central European tree species: Trait spectra, functional trade-offs, and ecological classification of adult trees. Perspect. Plant Ecol. Evol. Syst. 2018, 33, 89–103. [Google Scholar] [CrossRef]
- Kubisch, P.; Hertel, D.; Leuschner, C. Do ectomycorrhizal and arbuscular mycorrhizal temperate tree species systematically differ in root order-related fine root morphology and biomass? Front. Plant Sci. 2015, 6, 64. [Google Scholar] [CrossRef]
- Jacob, A.; Hertel, D.; Leuschner, C. Diversity and species identity effects on fine root productivity and turnover in a species-rich temperate broad-leaved forest. Funct. Plant Biol. 2014, 41, 678. [Google Scholar] [CrossRef]
- Meinen, C.; Hertel, D.; Leuschner, C. Biomass and morphology of fine roots in temperate broad-leaved forests differing in tree species diversity: Is there evidence of below-ground overyielding? Oecologia 2009, 161, 99–111. [Google Scholar] [CrossRef]
- Kaspar, F.; Müller-Westermeier, G.; Penda, E.; Mächel, H.; Zimmermann, K.; Kaiser-Weiss, A.; Deutschländer, T. Monitoring of climate change in Germany—Data, products and services of Germany’s National Climate Data Centre. Adv. Sci. Res. 2013, 10, 99–106. [Google Scholar] [CrossRef]
- Müller-Westermeier, G. Numerisches Verfahren zu Erstellung Klimatologischer Karten; Selbstverl. des Dt. Wetterdienstes: Offenbach am Main, Germany, 1995; ISBN 3881483063. [Google Scholar]
- Maier, U.; Müller-Westermeier, G. Verifikation Klimatologischer Rasterfelder; Selbstverl. des Dt. Wetterdienstes: Offenbach am Main, Germany, 2010; ISBN 978-3-88148-450-3. [Google Scholar]
- Löpmeier, F.J. Berechnung der Bodenfeuchte und Verdunstung mittels agrarmeteorologischer Modelle. Zeitschrift f. Bewässerungswirtschaft 1994, 29, 157–167. [Google Scholar]
- Martonne, E.D. L’indice d’aridité. Bulletin de L’Association de Géographes Français 1926, 3, 3–5. [Google Scholar] [CrossRef]
- Persson, H.Å. Root Dynamics in a Young Scots Pine Stand in Central Sweden. Oikos 1978, 30, 508. [Google Scholar] [CrossRef]
- Bauhus, J.; Bartsch, N. Fine-root growth in beech (Fagus sylvatica) forest gaps. Can. J. For. Res. 1996, 26, 2153–2159. [Google Scholar] [CrossRef]
- Lê, S.; Josse, J.; Husson, F. FactoMineR: An R Package for Multivariate Analysis. J. Stat. Softw. 2008, 25. [Google Scholar] [CrossRef]
- Kassambara, A.; Mundt, F. Factoextra: Extract and Visualize the Results of Multivariate Data Analyses. 2017. Available online: https://CRAN.R-project.org/package=factoextra (accessed on 1 June 2019).
- Bates, D.; Mächler, M.; Bolker, B.; Walker, S. Fitting Linear Mixed-Effects Models Using lme4. J. Stat. Softw. 2015, 67. [Google Scholar] [CrossRef]
- Kuznetsova, A.; Brockhoff, P.; Christensen, R.H.B. lmerTest Package: Tests in Linear Mixed Effects Models. J. Stat. Softw. 2017, 82, 1–26. [Google Scholar] [CrossRef]
- Nakagawa, S.; Schielzeth, H. A general and simple method for obtaining R2 from generalized linear mixed-effects models. Methods Ecol. Evol. 2013, 4, 133–142. [Google Scholar] [CrossRef]
- Meier, I.C.; Knutzen, F.; Eder, L.M.; Müller-Haubold, H.; Goebel, M.-O.; Bachmann, J.; Hertel, D.; Leuschner, C. The Deep Root System of Fagus sylvatica on Sandy Soil: Structure and Variation Across a Precipitation Gradient. Ecosystems 2018, 21, 280–296. [Google Scholar] [CrossRef]
- Joslin, J.D.; Wolfe, M.H.; Hanson, P.J. Effects of altered water regimes on forest root systems. New Phytol. 2000, 147, 117–129. [Google Scholar] [CrossRef]
- Konôpka, B.; Lukac, M. Moderate drought alters biomass and depth distribution of fine roots in Norway spruce. For. Path. 2013, 43, 115–123. [Google Scholar] [CrossRef]
- Persson, H.Å.; von Fircks, Y.; Majdi, H.; Nilsson, L.O. Root distribution in a Norway spruce (Picea abies (L.) Karst.) stand subjected to drought and ammonium-sulphate application. Plant Soil 1995, 168, 161–165. [Google Scholar] [CrossRef]
- Schenk, H.J.; Jackson, R.B. The global biogeography of roots. Ecol. Monogr. 2002, 72, 311–328. [Google Scholar] [CrossRef]
- Poorter, H.; Niklas, K.J.; Reich, P.B.; Oleksyn, J.; Poot, P.; Mommer, L. Biomass allocation to leaves, stems and roots: Meta-analyses of interspecific variation and environmental control. New Phytol. 2012, 193, 30–50. [Google Scholar] [CrossRef] [PubMed]
- Kirfel, K.; Heinze, S.; Hertel, D.; Leuschner, C. Effects of bedrock type and soil chemistry on the fine roots of European beech—A study on the belowground plasticity of trees. For. Ecol. Manag. 2019, 444, 256–268. [Google Scholar] [CrossRef]
- Leuschner, C.; Hertel, D.; Coners, H.; Büttner, V. Root competition between beech and oak: A hypothesis. Oecologia 2001, 126, 276–284. [Google Scholar] [CrossRef]
- Rosengren, U.; Göransson, H.; Jönsson, U.; Stjernquist, I.; Thelin, G.; Wallander, H. Functional Biodiversity Aspects on the Nutrient Sustainability in Forests-Importance of Root Distribution. J. Sustain. For. 2006, 21, 77–100. [Google Scholar] [CrossRef]
- Eissenstat, D.M.; McCormack, M.L.; Du, Q. Global change and root lifespan. In Plant Roots: The Hidden Half, 4th ed.; Eshel, A.B.T., Beeckmann, T., Eds.; Taylor and Francis Group/CRC Press: Boca Raton, FL, USA, 2013; pp. 27-1–27-13. [Google Scholar]
- Ladefoged, K. Untersuchungen über die Periodizität im Ausbruch und Längenwachstum der Wurzeln bei Einigen unserer gewöhnlichsten Waldbäume. In Dansk Resume; AF Høst & Søn: Copenhagen, Denmark, 1939. [Google Scholar]
- Liese, R.; Leuschner, C.; Meier, I.C. The effect of drought and season on root life span in temperate arbuscular mycorrhizal and ectomycorrhizal tree species. J. Ecol. 2019, 34, 187. [Google Scholar] [CrossRef]
- Ostonen, I.; Lõhmus, K.; Helmisaari, H.-S.; Truu, J.; Meel, S. Fine root morphological adaptations in Scots pine, Norway spruce and silver birch along a latitudinal gradient in boreal forests. Tree Physiol. 2007, 27, 1627–1634. [Google Scholar] [CrossRef]
- Lõhmus, K.; Truu, J.; Truu, M.; Kaar, E.; Ostonen, I.; Alama, S.; Kuznetsova, T.; Rosenvald, K.; Vares, A.; Uri, V.; et al. Black alder as a promising deciduous species for the reclaiming of oil shale mining areas. In Brownfield Sites III—Prevention, Assessment, Rehabilitation and Development of Brownfield Sites; Brebbia, C.A., Mander, Ü., Eds.; WIT: Southampton, UK, 2006; pp. 87–97. ISBN 1845640411. [Google Scholar]
- Kunz, J.; Löffler, G.; Bauhus, J. Minor European broadleaved tree species are more drought-tolerant than Fagus sylvatica but not more tolerant than Quercus petraea. For. Ecol. Manag. 2018, 414, 15–27. [Google Scholar] [CrossRef]
- Walentowski, H.; Falk, W.; Mette, T.; Kunz, J.; Bräuning, A.; Meinardus, C.; Zang, C.; Sutcliffe, L.M.E.; Leuschner, C. Assessing future suitability of tree species under climate change by multiple methods: A case study in southern Germany. Ann. For. Res. 2017, 60. [Google Scholar] [CrossRef]
- Leuschner, C.; Wedde, P.; Lübbe, T. The relation between pressure–volume curve traits and stomatal regulation of water potential in five temperate broadleaf tree species. Ann. For. Sci. 2019, 76, 93. [Google Scholar] [CrossRef]
- Köcher, P.; Gebauer, T.; Horna, V.; Leuschner, C. Leaf water status and stem xylem flux in relation to soil drought in five temperate broad-leaved tree species with contrasting water use strategies. Ann. For. Sci. 2009, 66, 101. [Google Scholar] [CrossRef]




| Site | Species | Lati-Tude | Longi-Tude | Altitude (m a.s.l.) | Mean Tree Age 1 | Mean Tree Height (m) | DBH (cm) | MAP (mm) | MGSP (mm) | MAT (°C) | pH (H2O) | C/N Ratio | Soil Texture |
|---|---|---|---|---|---|---|---|---|---|---|---|---|---|
| Halle | Acer platanoides | 51.49 | 11.89 | 135 | 69 | 24.6 | 40.9 | 527.8 | 291.1 | 9.94 | 6.11 | 15.32 | loamy sand |
| Halle | Quercus petraea | 51.49 | 11.87 | 134 | 167 | 24.7 | 55.3 | 530.8 | 293.2 | 9.84 | 4.35 | 15.21 | loam |
| Halle | Tilia cordata | 51.49 | 11.87 | 134 | 102 | 23.4 | 47.5 | 530.8 | 293.2 | 9.84 | 4.35 | 15.21 | loam |
| Halle | Carpinus betulus | 51.50 | 11.93 | 110 | 80 | 25.7 | 39.7 | 532.9 | 294.3 | 9.94 | 4.96 | 18.89 | loam |
| Halle | Fraxinus excelsior | 51.50 | 11.93 | 110 | 71 | 28.5 | 47.3 | 532.9 | 294.3 | 9.94 | 4.96 | 18.89 | loam |
| Ziegelroda | Fraxinus excelsior | 51.43 | 11.53 | 224 | 118 | 28.9 | 49.6 | 560.5 | 299.6 | 9.30 | 4.91 | 13.17 | silt |
| Ziegelroda | Tilia cordata | 51.43 | 11.53 | 224 | 136 | 25.7 | 51.5 | 560.5 | 299.6 | 9.30 | 4.91 | 13.17 | silt |
| Ziegelroda | Carpinus betulus | 51.43 | 11.52 | 263 | 116 | 27.0 | 47.5 | 583.8 | 307.2 | 9.13 | 4.24 | 15.67 | silt |
| Ziegelroda | Quercus petraea | 51.43 | 11.52 | 263 | 116 | 28.5 | 50.5 | 583.8 | 307.2 | 9.13 | 4.24 | 15.67 | silt |
| Hakel | Acer platanoides | 51.88 | 11.32 | 239 | 97 | 24.3 | 40.0 | 606.5 | 316.7 | 9.18 | 6.21 | 10.69 | silt |
| Hakel | Carpinus betulus | 51.88 | 11.32 | 239 | 133 | 23.8 | 45.3 | 606.5 | 316.7 | 9.18 | 6.21 | 10.69 | silt |
| Hakel | Fraxinus excelsior | 51.88 | 11.32 | 239 | 104 | 28.0 | 45.8 | 606.5 | 316.7 | 9.18 | 6.21 | 10.69 | silt |
| Hakel | Quercus petraea | 51.88 | 11.32 | 239 | 172 | 28.9 | 56.1 | 606.5 | 316.7 | 9.18 | 6.21 | 10.69 | silt |
| Hakel | Tilia cordata | 51.88 | 11.32 | 239 | 138 | 27.5 | 50.2 | 606.5 | 316.7 | 9.18 | 6.21 | 10.69 | silt |
| Großwilsdorf | Carpinus betulus | 51.19 | 11.75 | 243 | 133 | 22.9 | 44.6 | 624.6 | 327.0 | 9.30 | 4.67 | 14.06 | silty loam |
| Großwilsdorf | Fraxinus excelsior | 51.18 | 11.77 | 202 | 70 | 27.0 | 39.6 | 624.6 | 327.0 | 9.30 | 6.25 | 15.50 | clay loam |
| Großwilsdorf | Quercus petraea | 51.19 | 11.75 | 243 | 139 | 25.7 | 47.9 | 624.6 | 327.0 | 9.30 | 4.67 | 14.06 | silty loam |
| Großwilsdorf | Tilia cordata | 51.19 | 11.75 | 243 | 100 | 24.4 | 40.7 | 624.6 | 327.0 | 9.30 | 4.67 | 14.06 | silty loam |
| Liebenburg | Carpinus betulus | 52.02 | 10.42 | 186 | 98 | 29.1 | 44.6 | 708.3 | 341.4 | 9.51 | 6.34 | 11.70 | silt |
| Reyershausen | Tilia cordata | 51.60 | 10.01 | 276 | 114 | 31.5 | 50.6 | 768.9 | 359.5 | 8.93 | 6.46 | 12.00 | silty clay loam |
| Knutbühren | Acer platanoides | 51.54 | 9.81 | 319 | 90 | 24.8 | 40.4 | 780.2 | 354.3 | 8.60 | n.a. | n.a. | silty loam |
| Knutbühren | Carpinus betulus | 51.54 | 9.81 | 319 | 95 | 24.8 | 41.7 | 780.2 | 354.3 | 8.60 | n.a. | n.a. | silty loam |
| Knutbühren | Fraxinus excelsior | 51.54 | 9.81 | 319 | 98 | 26.7 | 47.9 | 780.2 | 354.3 | 8.60 | n.a. | n.a. | silty loam |
| Holzerode | Carpinus betulus | 51.59 | 10.08 | 268 | 112 | 26.8 | 42.9 | 812.8 | 376.1 | 8.80 | 4.71 | 15.44 | sandy loam |
| Holzerode | Quercus petraea | 51.59 | 10.08 | 268 | 114 | 27.6 | 53.3 | 812.8 | 376.1 | 8.80 | 4.71 | 15.44 | sandy loam |
| Liebenburg | Quercus petraea | 51.98 | 10.44 | 253 | 119 | 30.6 | 55.3 | 828.7 | 380.6 | 9.01 | 5.59 | 12.98 | silty clay loam |
| Liebenburg | Acer platanoides | 51.98 | 10.43 | 285 | 120 | 27.4 | 47.9 | 831.1 | 382.3 | 8.99 | 5.02 | 12.63 | silt loam |
| Liebenburg | Fraxinus excelsior | 51.98 | 10.43 | 285 | 111 | 30.9 | 52.0 | 831.1 | 382.3 | 8.99 | 5.02 | 12.63 | silt loam |
| Hainleite | Acer platanoides | 51.40 | 10.66 | 442 | 130 | 27.5 | 45.3 | 838.6 | 363.9 | 7.94 | 4.96 | 15.38 | silt loam |
| Hainleite | Carpinus betulus | 51.40 | 10.66 | 442 | 105 | 21.7 | 40.5 | 838.6 | 363.9 | 7.94 | 4.96 | 15.38 | silt loam |
| Hainleite | Fraxinus excelsior | 51.40 | 10.66 | 442 | 113 | 29.1 | 50.1 | 838.6 | 363.9 | 7.94 | 4.96 | 15.38 | silt loam |
| Hainleite | Quercus petraea | 51.40 | 10.66 | 442 | 93 | 22.4 | 36.8 | 838.6 | 363.9 | 7.94 | 4.96 | 15.38 | silt loam |
| Reyershausen | Acer platanoides | 51.59 | 10.01 | 398 | 109 | 28.6 | 38.3 | 917.8 | 412.1 | 8.17 | 6.01 | 12.27 | silty clay loam |
| Reyershausen | Fraxinus excelsior | 51.59 | 10.01 | 398 | 109 | 32.1 | 43.9 | 917.8 | 412.1 | 8.17 | 6.01 | 12.27 | silty clay loam |
| 2017 | 2018 | |||||||
|---|---|---|---|---|---|---|---|---|
| Site | PET (mm) | P (mm) | P Deviation (%) | T Deviation (°C) | PET (mm) | P (mm) | P Deviation (%) | T Deviation (°C) |
| Halle | 45.9 | 78.4 | −24.9 | +0.02 | 405.2 | 78.9 | −68.3 | +2.14 |
| Ziegelroda | 44.5 | 86.0 | −25.4 | +0.04 | 396.6 | 78.0 | −70.2 | +2.26 |
| Hakel | 43.9 | 101.0 | −19.3 | +0.18 | 390.4 | 120.0 | −55.2 | +2.12 |
| Großwilsdorf | 46.6 | 93.0 | −26.7 | +0.08 | 396.5 | 93.3 | −67.4 | +2.17 |
| Knutbühren | 45.2 | 144.0 | −24.4 | +0.02 | 374.7 | 82.7 | −73.0 | +2.14 |
| Holzerode | 46.1 | 147.0 | −24.4 | +0.06 | 380.2 | 120.0 | −62.9 | +2.15 |
| Liebenburg | 48.1 | 127.0 | −36.3 | +0.38 | 384.6 | 101.0 | −67.9 | +2.06 |
| Hainleite | 40.2 | 177.0 | −16.8 | +0.17 | 374.0 | 80.0 | −73.9 | +2.08 |
| Reyershausen | 44.0 | 159.0 | −25.1 | +0.04 | 372.6 | 125.0 | −62.9 | +2.13 |
| Model | 2017 (Moist) | 2018 (Dry) | ||||
|---|---|---|---|---|---|---|
| Species | Estimate | Pseudo R² | p-Value | Estimate | Pseudo R² | p-Value |
| Fine root biomass ~ MAP | ||||||
| Fraxinus excelsior | −0.0004 | 0 | 0.678 | 0.0007 | 0 | 0.523 |
| Carpinus betulus | −0.0004 | 0.02 | 0.752 | −0.0009 | 0.03 | 0.531 |
| Acer platanoides | −0.0048 | 0.31 | <0.001 | −0.0005 | 0.01 | 0.725 |
| Quercus petraea | 0.0029 | 0.12 | 0.023 | −0.0001 | 0 | 0.933 |
| Tilia cordata | −0.0024 | 0.07 | 0.264 | −0.0021 | 0.1 | 0.368 |
| Fine root necromass ~ MAP | ||||||
| Fraxinus excelsior | −0.0074 | 0.32 | 0.002 | −0.0034 | 0.07 | 0.147 |
| Carpinus betulus | −0.0063 | 0.13 | 0.032 | 0.0011 | 0 | 0.711 |
| Acer platanoides | −0.0113 | 0.47 | <0.001 | −0.0022 | 0.03 | 0.4 |
| Quercus petraea | −0.0002 | 0 | 0.955 | 0.0005 | 0 | 0.841 |
| Tilia cordata | −0.019 | 0.42 | <0.001 | 0.0005 | 0 | 0.923 |
| Necro-/biomass-ratio ~ MAP | ||||||
| Fraxinus excelsior | −0.007 | 0.32 | <0.001 | −0.004 | 0.08 | 0.081 |
| Carpinus betulus | −0.0057 | 0.11 | 0.028 | 0.002 | 0.01 | 0.482 |
| Acer platanoides | −0.0063 | 0.25 | 0.014 | −0.0016 | 0.02 | 0.523 |
| Quercus petraea | −0.0029 | 0.05 | 0.211 | 0.0007 | 0 | 0.798 |
| Tilia cordata | −0.0166 | 0.37 | <0.001 | 0.0028 | 0.04 | 0.533 |
| SRA ~ MAP | ||||||
| Fraxinus excelsior | −0.001 | 0.09 | 0.15 | −0.0006 | 0.03 | 0.367 |
| Carpinus betulus | −0.0001 | 0 | 0.926 | −0.0022 | 0.25 | 0.011 |
| Acer platanoides | −0.0008 | 0.07 | 0.266 | −0.0001 | 0 | 0.861 |
| Quercus petraea | −0.002 | 0.1 | 0.013 | −0.0013 | 0.09 | 0.117 |
| Tilia cordata | 0.0004 | 0 | 0.781 | 0.0001 | 0 | 0.918 |
| Root tips per biomass ~ MAP | ||||||
| Fraxinus excelsior | −0.0012 | 0.06 | 0.249 | −0.0008 | 0.04 | 0.421 |
| Carpinus betulus | −0.0006 | 0 | 0.648 | −0.0038 | 0.35 | 0.002 |
| Acer platanoides | −0.0015 | 0.11 | 0.179 | −0.0006 | 0.01 | 0.587 |
| Quercus petraea | −0.0043 | 0.16 | <0.001 | −0.0009 | 0.01 | 0.412 |
| Tilia cordata | −0.0004 | 0.01 | 0.83 | −0.0007 | 0.01 | 0.728 |
| Root diameter ~ MAP | ||||||
| Fraxinus excelsior | 0.1511 | 0.02 | 0.269 | 0.2416 | 0.16 | 0.014 |
| Carpinus betulus | 0.1485 | 0.04 | 0.367 | 0.5943 | 0.51 | <0.001 |
| Acer platanoides | 0.061 | 0 | 0.677 | 0.0426 | 0.01 | 0.7 |
| Quercus petraea | 0.5661 | 0.18 | <0.001 | 0.0045 | 0 | 0.97 |
| Tilia cordata | −0.0783 | 0 | 0.765 | −0.0027 | 0 | 0.989 |
| Explained Variance: | Axis 1 | Axis 2 | Axis 3 | Axis 4 | ||||
|---|---|---|---|---|---|---|---|---|
| 27.8% | 21.1% | 14.5% | 12.8% | |||||
| Climate factors | ||||||||
| MAP | −0.93 | (0.86) | −0.03 | (0.86) | −0.10 | (0.88) | 0.15 | (0.9) |
| MAT | 0.86 | (0.74) | −0.07 | (0.75) | 0.36 | (0.88) | 0.06 | (0.88) |
| DMI (sampling period) | −0.92 | (0.84) | −0.10 | (0.85) | −0.24 | (0.9) | −0.02 | (0.9) |
| Soil properties | ||||||||
| pH | −0.27 | (0.07) | 0.35 | (0.2) | 0.70 | (0.69) | −0.06 | (0.69) |
| C/N ratio | 0.23 | (0.05) | −0.77 | (0.64) | −0.30 | (0.73) | −0.11 | (0.74) |
| Silt content (%) | 0.01 | (0) | 0.77 | (0.6) | −0.25 | (0.66) | −0.03 | (0.66) |
| P concentration | −0.24 | (0.06) | 0.11 | (0.07) | 0.88 | (0.85) | 0.19 | (0.88) |
| Org. matter content | −0.25 | (0.06) | −0.70 | (0.55) | 0.47 | (0.77) | −0.12 | (0.78) |
| Bulk density | 0.33 | (0.11) | 0.70 | (0.6) | −0.17 | (0.63) | 0.35 | (0.75) |
| Stand structural parameters | ||||||||
| Tree height | −0.32 | (0.1) | 0.23 | (0.15) | 0.48 | (0.39) | 0.55 | (0.69) |
| Diameter at breast height | 0.20 | (0.04) | 0.41 | (0.21) | −0.06 | (0.21) | 0.59 | (0.56) |
| Fine root-related variables | ||||||||
| Fine root biomass | 0.15 | (0.02) | −0.57 | (0.35) | 0.29 | (0.43) | 0.06 | (0.44) |
| Fine root necromass | 0.77 | (0.59) | −0.38 | (0.73) | 0.12 | (0.75) | 0.25 | (0.81) |
| Fine root dead/live ratio | 0.86 | (0.74) | −0.06 | (0.75) | −0.07 | (0.75) | 0.27 | (0.82) |
| SRL | 0.31 | (0.1) | 0.45 | (0.3) | 0.13 | (0.31) | −0.75 | (0.87) |
| SRA | 0.25 | (0.06) | 0.39 | (0.21) | 0.33 | (0.32) | −0.69 | (0.8) |
| Explained Variance: | Axis 1 | Axis 2 | Axis 3 | Axis 4 | ||||
|---|---|---|---|---|---|---|---|---|
| 22.0% | 21.6% | 17.0% | 11.4% | |||||
| Climate factors | ||||||||
| MAP | 0.65 | (0.42) | 0.25 | (0.48) | −0.38 | (0.62) | 0.36 | (0.75) |
| MAT | −0.54 | (0.29) | −0.09 | (0.3) | 0.65 | (0.72) | −0.26 | (0.79) |
| DMI (sampling period) | 0.85 | (0.71) | −0.03 | (0.72) | 0.16 | (0.74) | 0.08 | (0.75) |
| Soil properties | ||||||||
| pH | 0.69 | (0.48) | 0.08 | (0.48) | 0.35 | (0.61) | −0.37 | (0.75) |
| C/N ratio | −0.72 | (0.52) | 0.44 | (0.72) | −0.24 | (0.78) | 0.31 | (0.87) |
| Silt content (%) | 0.26 | (0.07) | −0.73 | (0.61) | −0.14 | (0.63) | −0.12 | (0.64) |
| P concentration | 0.59 | (0.35) | 0.28 | (0.43) | 0.59 | (0.78) | 0.14 | (0.81) |
| Org. matter content | −0.04 | (0) | 0.84 | (0.71) | 0.14 | (0.73) | 0.29 | (0.82) |
| Bulk density | 0.15 | (0.02) | −0.79 | (0.65) | 0.12 | (0.67) | −0.08 | (0.67) |
| Stand structural parameters | ||||||||
| Tree height | 0.51 | (0.26) | 0.02 | (0.27) | 0.48 | (0.5) | 0.52 | (0.77) |
| Diameter at breast height | 0.00 | (0) | −0.48 | (0.23) | 0.39 | (0.38) | 0.36 | (0.51) |
| Fine root-related variables | ||||||||
| Fine root biomass | −0.02 | (0) | 0.56 | (0.32) | 0.17 | (0.35) | 0.25 | (0.41) |
| Fine root necromass | 0.03 | (0) | 0.65 | (0.42) | 0.39 | (0.57) | −0.43 | (0.76) |
| Fine root dead/live ratio | 0.05 | (0) | 0.33 | (0.11) | 0.33 | (0.22) | −0.70 | (0.71) |
| SRL | −0.48 | (0.23) | −0.32 | (0.33) | 0.59 | (0.68) | 0.20 | (0.72) |
| SRA | −0.38 | (0.15) | −0.21 | (0.19) | 0.72 | (0.7) | 0.29 | (0.79) |
© 2020 by the authors. Licensee MDPI, Basel, Switzerland. This article is an open access article distributed under the terms and conditions of the Creative Commons Attribution (CC BY) license (http://creativecommons.org/licenses/by/4.0/).
Share and Cite
Fuchs, S.; Hertel, D.; Schuldt, B.; Leuschner, C. Effects of Summer Drought on the Fine Root System of Five Broadleaf Tree Species along a Precipitation Gradient. Forests 2020, 11, 289. https://doi.org/10.3390/f11030289
Fuchs S, Hertel D, Schuldt B, Leuschner C. Effects of Summer Drought on the Fine Root System of Five Broadleaf Tree Species along a Precipitation Gradient. Forests. 2020; 11(3):289. https://doi.org/10.3390/f11030289
Chicago/Turabian StyleFuchs, Sebastian, Dietrich Hertel, Bernhard Schuldt, and Christoph Leuschner. 2020. "Effects of Summer Drought on the Fine Root System of Five Broadleaf Tree Species along a Precipitation Gradient" Forests 11, no. 3: 289. https://doi.org/10.3390/f11030289
APA StyleFuchs, S., Hertel, D., Schuldt, B., & Leuschner, C. (2020). Effects of Summer Drought on the Fine Root System of Five Broadleaf Tree Species along a Precipitation Gradient. Forests, 11(3), 289. https://doi.org/10.3390/f11030289

