The Dynamics of Living and Dead Fine Roots of Forest Biomes across the Northern Hemisphere
Abstract
1. Introduction
2. Materials and Methods
2.1. Literature Synthesis
2.2. Statistical Analysis
3. Results
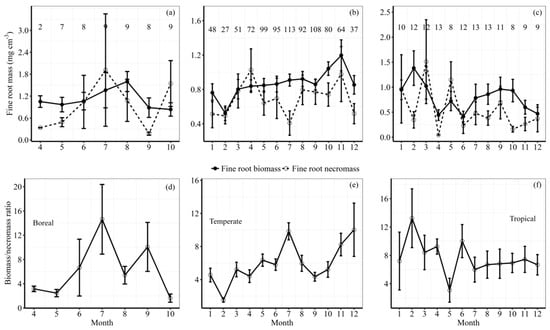
3.1. Monthly Fine Root Biomass, Necromass and the Biomass/Necromass Ratio
3.2. Climatic, Edaphic and Geomorphic Influences on Monthly Fine Root Variation
3.3. The Dynamics of Monthly Fine Root Biomass, Necromass and the Biomass/Necromass Ratio
4. Discussion
5. Conclusions
Author Contributions
Funding
Acknowledgments
Conflicts of Interest
Appendix A
- Ahlström, K.; Persson, H.; Börjesson, I. Fertilization in a mature Scots pine (Pinus sylvestris L.) stand-effects on fine roots. Plant Soil 1988, 106, 179–190, doi:10.1007/bf02371212.
- Assefa, D.; Rewald, B.; Sandén, H.; Godbold, D. Fine root dynamics in Afromontane forest and adjacent land uses in the Northwest Ethiopian Highlands. Forests 2017, 8, 1–21, doi:10.3390/f8070249.
- Brassard, B.W.; Chen, H.Y.H.; Cavard, X.; Laganière, J.; Reich, P.B.; Bergeron, Y.; Paré, D.; Yuan, Z. Tree species diversity increases fine root productivity through increased soil volume filling. J. Ecol. 2013, 101, 210–219, doi:10.1111/1365-2745.12023.
- Cao, L. Fine root biomass and turnover of fine roots in different stand type of Fengyang Mountains. Academic dissertation, 2013, Nanjing Forestry University, (In Chinese with English Abstract).
- Chen, J.; Xu, X.; Jiang, Z. Studies on the turnover of fine roots in the secondary oak forest of Kongqing hill. J. Nanjing For. Univ. 1999, 23, 6–10, (In Chinese with English Abstract).
- Chen, Y. The seasonal dynamics and distribution of fine root biomass in artificial Ormosia xylocarpa forest. J. Subtrop. Resour. Environ. 2006, 1, 63–66, (In Chinese with English Abstract).
- Cheng, Y.; Han, Y.; Wang, Q.; Wang, Z. Seasonal dynamics of fine root biomass, root length density, specific root length and soil resource availability in a Larix gmelini plantation. Acta Phytoecol. Sin. 2005, 29, 403–410, (In Chinese with English Abstract).
- Espeleta, J.F.; Clark, D.A. Multi-scale variation in fine-root biomass in a tropical rain forest: A seven-year study. Ecol. Monogr. 2007, 77, 377–404, doi:10.1890/06-1257.1.
- Feng, C.; Wang, Z.; Zhu, Q.; Fu, S.; Chen, H.Y. Rapid increases in fine root biomass and production following cessation of anthropogenic disturbances in degraded forests. Land Degrad. Dev. 2018, 29, 461–470, doi:10.1002/ldr.2878.
- Geng, P.F.; Jin, G.Z. Spatial and temporal patterns of fine root biomass in four types in Xiaoxing’an mountains. Sci. Silvae Sin. 2016, 52, 140–148, (In Chinese with English Abstract).
- Guo, Z.; Zheng, J.; Ma, Y.; Han, S.; Li, Q.; Yu, G.; Fan, C.; Liu, W.; Shao, D. A preliminary study on fine root biomass and dynamics of woody plants in several major forest communities of Changbai Mountain, China. Acta Ecol. Sin. 2006, 26, 2855–2862, (In Chinese with English Abstract).
- He, Y.; Shi, P.; Zhang, X.; Zhong, Z.; Xu, L.; Zhang, D. Fine root production and turnover of poplar plantation in the Lhasa river valley, Tibet Autonomous region. Acta Ecol. Sin. 2009, 29, 2877–2883, (In Chinese with English Abstract).
- Hertel, D.; Leuschner, C. A comparison of four different fine root production estimates with ecosystem carbon balance data in a Fagus-Quercus mixed forest. Plant Soil 2002, 239, 237–251, doi:10.1023/a:1015030320845.
- Hwang, J.; Son, Y.; Kim, C.; Yi, M.-J.; Kim, Z.-S.; Lee, W.-K.; Hong, S.-K. Fine root dynamics in thinned and limed pitch pine and Japanese larch plantations. J. Plant Nutr. 2007, 30, 1821–1839.
- Jacob, A.; Hertel, D.; Leuschner, C. On the significance of belowground overyielding in temperate mixed forests: separating species identity and species diversity effects. Oikos 2013, 122, 463–473, doi:10.1111/j.1600-0706.2012.20476.x.
- Joslin, J.D.; Henderson, G.S. Organic matter and nutrients associated with fine root turnover in a white oak stand. For. Sci. 1987, 33, 330–346, doi:10.1093/forestscience/33.2.330.
- Keyes, M.R.; Grier, C.C. Above- and below-ground net production in 40-year-old Douglas-fir stands on low and high productivity sites. Can. J. For. Res. 1981, 11, 599–605, doi:10.1139/x81-082.
- Kim, C. Biomass and nutrient concentrations of fine roots in a Korean pine plantation and a sawtooth oak stand. For. Sci. Technol. 2012, 8, 187–191, doi:10.1080/21580103.2012.704974.
- Konôpka, B.; Janssens, I.; Curiel Yuste, J.; Ceulemans, R. Fine root turnover in a temperate Scots pine forest. For. J. 2006, 52, 107–117.
- Konôpka, B.; Noguchi, K.; Sakata, T.; Takahashi, M.; Konôpková, Z. Fine root dynamics in a Japanese cedar (Cryptomeria japonica) plantation throughout the growing season. For. Ecol. Manag. 2006, 225, 278–286, doi:10.1016/j.foreco.2006.01.004.
- Konôpka, B.; Yuste, J.C.; Janssens, I.A.; Ceulemans, R. Comparison of fine root dynamics in Scots pine and Pedunculate oak in sandy soil. Plant Soil 2005, 276, 33–45, doi:10.1007/s11104-004-2976-3.
- Li, S.; Tian, D.; Wang, G.; Yan, W.; Duan, W. Fine root biomass and space-time dynamics of 4 types main plantation community, in Hunan Province. J. Cent. South Univ. For. Technol. 2011, 31, 63–68, (In Chinese with English Abstract).
- Liao, L.; Chen, C.; Zhang, J.; Gao, H. Turnover of fine roots in pure and mixed Cunninghamia lanceolata and Michelia macclurei forests. Chin. J. Appl. Ecol. 1995, 6, 7–10, (In Chinese with English Abstract).
- Liu, C.; Xiang, W.; Lei, P.; Deng, X.; Tian, D.; Fang, X.; Peng, C. Standing fine root mass and production in four Chinese subtropical forests along a succession and species diversity gradient. Plant Soil 2014, 376, 445–459, doi:10.1007/s11104-013-1998-0.
- Liu, S.; Luo, D.; Yang, H.; Shi, Z.; Liu, Q.; Zhang, L.; Kang, Y. Fine root dynamics in three forest types with different origins in a subalpine region of the eastern Qinghai-Tibetan Plateau. Forests 2018, 9, 1–18, doi:10.3390/f9090517.
- Liu, S.; Luo, D.; Yang, H.; Shi, Z.; Liu, Q.; Zhang, L.; Kang, Y.; Ma, Q. Fine root biomass, productivity and turnover of Abies faxoniana primary forest in subalpine region of western Sichuan, China. Chin. J. Ecol. 2018, 37, 987–993, (In Chinese with English Abstract).
- Liu, X.; Tyree, M.T. Root carbohydrate reserves, mineral nutrient concentrations and biomass in a healthy and a declining sugar maple (Acer saccharum) stand. Tree Physiol. 1997, 17, 179–185, doi:10.1093/treephys/17.3.179.
- Ma, C.; Zhang, W.; Wu, M.; Xue, Y.; Ma, L.; Zhou, J. Effect of aboveground intervention on fine root mass, production, and turnover rate in a Chinese cork oak (Quercus variabilis Blume) forest. Plant Soil 2013, 368, 201–214, doi:10.1007/s11104-012-1512-0.
- Makkonen, K.; Helmisaari, H.-S. Fine root biomass and production in Scots pine stands in relation to stand age. Tree Physiol 2001, 21, 193–198, doi:10.1093/treephys/21.2-3.193.
- McKay, H.M.; Malcolm, D.C. A comparison of the fine root component of a pure and a mixed coniferous stand. Can. J. For. Res. 1988, 18, 1416–1426, doi:10.1139/x88-220.
- Meinen, C.; Hertel, D.; Leuschner, C. Root growth and recovery in temperate broad-leaved forest stands differing in tree species diversity. Ecosystems 2009, 12, 1103–1116, doi:10.1007/s10021-009-9271-3.
- Montagnoli, A.; Dumroese, R.K.; Terzaghi, M.; Onelli, E.; Scippa, G.S.; Chiatante, D. Seasonality of fine root dynamics and activity of root and shoot vascular cambium in a Quercus ilex L. forest (Italy). For. Ecol. Manag. 2019, 431, 26–34, doi:10.1016/j.foreco.2018.06.044.
- Montagnoli, A.; Terzaghi, M.; Di Iorio, A.; Scippa, G.S.; Chiatante, D. Fine-root seasonal pattern, production and turnover rate of European beech (Fagus sylvatica L.) stands in Italy Prealps: Possible implications of coppice conversion to high forest. Plant Biosyst. 2012, 146, 1012–1022, doi:10.1080/11263504.2012.741626.
- Montagnoli, A.; Terzaghi, M.; Di Iorio, A.; Scippa, G.S.; Chiatante, D. Fine-root morphological and growth traits in a Turkey-oak stand in relation to seasonal changes in soil moisture in the Southern Apennines, Italy. Ecol. Res. 2012, 27, 1015–1025, doi:10.1007/s11284-012-0981-1.
- Ostertag, R. Effects of nitrogen and phosphorus availability on fine-root dynamics in Hawaiian montane forests. Ecology 2001, 82, 485–499, doi:10.1890/0012-9658(2001)082[0485:EONAPA]2.0.CO;2.
- Persson, H. Root dynamics in a young Scots pine stand in central Sweden. Oikos 1978, 30, 508–519, doi:10.2307/3543346.
- Qin, Y.; Hu, Y.; Wang, L.; Zhang, G.; Wang, N.; Wang, H. The nutrients dynamics in fine root of Sabina vulgaris and Artemisia orfosica during root growth in Mu Us sandland. Chin. J. Grassl. 2013, 35, 96–102, (In Chinese with English Abstract).
- Quan, W.; Lian, H.; Xu, X.; Wang, F.; Wang, J.; Fang, Y.; She, S.; Ruan, H. Seasonal variations of fine root along an elevation gradient in Wuyi Mountain in southeastern China. J. Nanjing For. Univ. 2010, 34, 146–150, (In Chinese with English Abstract).
- Shan, J.P.; Tao, D.L.; Wang, M.; Zhao, S.D. Fine roots turnover in a broad-leaved Korean pine forest of Changbai Mountain. Chin. J. Appl. Ecol. 1993, 4, 241–245, (In Chinese with English Abstract).
- Silver, W.L.; Vogt, K.A. Fine root dynamics following single and multiple disturbances in a subtropical wet forest ecosystem. J. Ecol. 1993, 81, 729–738, doi:10.2307/2261670.
- Son, Y.; Hwang, J.H. Fine root biomass, production and turnover in a fertilized Larix leptolepis plantation in central Korea. Ecol. Res. 2003, 18, 339–346, doi:10.1046/j.1440-1703.2003.00559.x.
- Van Do, T.; Sato, T.; Saito, S.; Kozan, O. Fine-root production and litterfall: main contributions to net primary production in an old-growth evergreen broad-leaved forest in southwestern Japan. Ecol. Res. 2015, 30, 921–930, doi:10.1007/s11284-015-1295-x.
- Vanguelova, E.I.; Nortcliff, S.; Moffat, A.J.; Kennedy, F. Morphology, biomass and nutrient status of fine roots of Scots pine (Pinus sylvestris) as influenced by seasonal fluctuations in soil moisture and soil solution chemistry. Plant Soil 2005, 270, 233–247, doi:10.1007/s11104-004-1523-6.
- Visalakshi, N. Fine root dynamics in two tropical dry evergreen forests in southern India. J. Biosci. 1994, 19, 103–116, doi:10.1007/BF02703473.
- Wang, R.; Cheng, R.; Xiao, W.; Feng, X.; Liu, Z.; Ge, X.; Wang, X.; Zhang, W. Fine root production and turnover in Pinus massoniana plantation in Three Gorges Reservoir Area of China. Chin. J. Appl. Ecol. 2012, 23, 2346–2352, (In Chinese with English Abstract).
- Wang, X.Y.; Ma, L.; Jia, Z.K.; Jia, L.M. Root inclusion net method: novel approach to determine fine root production and turnover in Larix principis-rupprechtii Mayr plantation in North China. Turk. J. Agric. For. 2014, 38, 388–398, doi:10.3906/tar-1303-90.
- Wang, Y.; Dai, L.; Yu, D.; Zhou, L. Productivity and turnover of fine-roots of Betula platyphylla forest in Changbai Mountain. Hunan Agric. Sci. 2010, 7, 113–115, (In Chinese with English Abstract).
- Wang, Y.; Xia, T.; Fan, C.; Zheng, J.; Li, B.; Guo, Z. Fine roots biomass and seasonal dynamics of secondary Mongolian oak forestry in Changbai Mountain in China. J. Beihua Univ. 2012, 13, 700–704, (In Chinese with English Abstract).
- Wang, Z.; Feng, C.; Jin, X.; Ma, Y.; Fu, S.; Chen, H.; Du, Q. Fine root biomass and its dynamics of limestone mountain vegetation under different enclosure ages. Guangdong Agric. Sci. 2014, 3, 170–174, (In Chinese with English Abstract).
- Wen, Z. Spatiotemporal dynamics of fine root biomass and carbon storage in Quercus aquifolioides of Balang Mountain. Academic dissertation, 2012, Sichuan Agricultural University, (In Chinese with English Abstract).
- Xiao, C.W.; Sang, W.G.; Wang, R.-Z. Fine root dynamics and turnover rate in an Asia white birch forest of Donglingshan Mountain, China. For. Ecol. Manag. 2008, 255, 765–773, doi:10.1016/j.foreco.2007.09.062.
- Yan, M.; Wang, L.; Guo, N.; Shi, H. Study on fine root biomass and C stock in a poplar plantation in loess plateau. Chin. Agric. Sci. Bull. 2015, 31, 146–151, (In Chinese with English Abstract).
- Yang, L.; Li, W. Fine root distribution and turnover in a broad-leaved and Korean pine climax forest of the Changbai Mountain in China. J. Beijing For. Univ. 2005, 27, 1–5, (In Chinese with English Abstract).
- Yang, X.; Han, Y.; Zhang, Y.; Hu, Q. Fine-root biomass of Larix principis-rupprechtii and seasonal dynamics of forests. J. Shanxi Agric. Univ. 2007, 27, 116–119, (In Chinese with English Abstract).
- Yang, Y.-S.; Chen, G.-S.; Lin, P.; Xie, J.-S.; Guo, J.-F. Fine root distribution, seasonal pattern and production in four plantations compared with a natural forest in Subtropical China. Ann. For. Sci 2004, 61, 617–627.
- Ye, G.; Zhang, L.; Hou, J.; Lu, C.; Wu, L.; Li, X. Fine root biomass and dynamics of Casuarina equisetifolia plantations on coastal sandy soil Chin. J. Appl. Environ. Biol. 2007, 13, 481–485, (In Chinese with English Abstract).
- Zeng, F.R.; Shi, J.Y.; Yan, E.R.; Zhang, R.L.; Wang, X.H. Temporal and spatial patterns of fine root mass along a secondary succession of evergreen broad-leaved forest in Tiantong. J. East China Norm. Univ. 2008, 56-62, (In Chinese with English Abstract).
- Zerva, A.; Halyvopoulos, G.; Radoglou, K. Fine root biomass in a beech (Fagus sylvatica L.) stand on Paiko Mountain, NW Greece. Plant Biosyst. 2008, 142, 381–385, doi:10.1080/11263500802150977.
- Zhang, B.; Jin, G. Effects of selective cutting on the spatial and temporal distribution of fine root biomass in mixed broadleaved Korean pine forest. For. Res. 2014, 27, 240–245, (In Chinese with English Abstract).
- Zhao, W.; Liu, X.; Zhang, J.; Wang, L.; Xie, D.; Yuan, Y.; Wang, J.; Wang, Y. Effects of different acidities and sulfur to nitrogen ratios of added acid rain on the growth of fine roots of Quercus acutissima. Sci. Silvae Sin. 2017, 53, 158–165, (In Chinese with English Abstract).
- Zheng, J.; Chen, G.; Gao, R.; Yang, Z. Seasonal dynamics and turnover of fine-root biomass in a Phoebe bournei plantation. J. Sanming Univ. 2012, 29, 89–94, (In Chinese with English Abstract).
- Zheng, J.; Fan, C.; Guo, Z.; Yang, B.; Yue, L.; Liu, S. Fine roots biomass and its dynamics of Larix olgensis plantation. J. Nanjing For. Univ. 2014, 38, 175–179, (In Chinese with English Abstract).
- Zhou, Y.; Su, J.; Janssens, I.A.; Zhou, G.; Xiao, C. Fine root and litterfall dynamics of three Korean pine (Pinus koraiensis) forests along an altitudinal gradient. Plant Soil 2014, 374, 19–32, doi:10.1007/s11104-013-1816-8.
References
- McCormack, M.L.; Guo, D.; Iversen, C.M.; Chen, W.; Eissenstat, D.M.; Fernandez, C.W.; Li, L.; Ma, C.; Ma, Z.; Poorter, H.; et al. Building a better foundation: Improving root-trait measurements to understand and model plant and ecosystem processes. New Phytol. 2017, 215, 27–37. [Google Scholar] [CrossRef] [PubMed]
- Brunner, I.; Bakker, M.R.; Björk, R.G.; Hirano, Y.; Lukac, M.; Aranda, X.; Børja, I.; Eldhuset, T.D.; Helmisaari, H.-S.; Jourdan, C. Fine-root turnover rates of European forests revisited: An analysis of data from sequential coring and ingrowth cores. Plant Soil 2013, 362, 357–372. [Google Scholar] [CrossRef]
- Sokol, N.W.; Kuebbing, S.E.; Karlsen-Ayala, E.; Bradford, M.A. Evidence for the primacy of living root inputs, not root or shoot litter, in forming soil organic carbon. New Phytol. 2019, 221, 233–246. [Google Scholar] [CrossRef] [PubMed]
- Wang, C.; Han, S.; Zhou, Y.; Zhang, J.; Zheng, X.; Dai, G.; Li, M.-H. Fine root growth and contribution to soil carbon in a mixed mature Pinus koraiensis forest. Plant Soil 2016, 400, 275–284. [Google Scholar] [CrossRef]
- Jackson, R.B.; Mooney, H.A.; Schulze, E.D. A global budget for fine root biomass, surface area, and nutrient contents. Proc. Natl. Acad. Sci. USA 1997, 94, 7362–7366. [Google Scholar] [CrossRef] [PubMed]
- Solly, E.F.; Brunner, I.; Helmisaari, H.-S.; Herzog, C.; Leppälammi-Kujansuu, J.; Schöning, I.; Schrumpf, M.; Schweingruber, F.H.; Trumbore, S.E.; Hagedorn, F. Unravelling the age of fine roots of temperate and boreal forests. Nat. Commun. 2018, 9, 1–8. [Google Scholar] [CrossRef]
- Valverde-Barrantes, O.J.; Raich, J.W.; Russell, A.E. Fine-root mass, growth and nitrogen content for six tropical tree species. Plant Soil 2007, 290, 357–370. [Google Scholar] [CrossRef]
- Ostertag, R. Effects of nitrogen and phosphorus availability on fine root dynamics in Hawaiian montane forests. Ecology 2001, 82, 485–499. [Google Scholar] [CrossRef]
- Winterdahl, M.; Erlandsson, M.; Futter, M.N.; Weyhenmeyer, G.A.; Bishop, K. Intra-annual variability of organic carbon concentrations in running waters: Drivers along a climatic gradient. Glob. Biogeochem. Cycles 2014, 28, 451–464. [Google Scholar] [CrossRef]
- Brassard, B.W.; Chen, H.Y.H.; Bergeron, Y. Influence of environmental variability on root dynamics in northern forests. Crit. Rev. Plant Sci. 2009, 28, 179–197. [Google Scholar] [CrossRef]
- Bai, W.; Wan, S.; Niu, S.; Liu, W.; Chen, Q.; Wang, Q.; Zhang, W.; Han, X.; Li, L. Increased temperature and precipitation interact to affect root production, mortality, and turnover in a temperate steppe: Implications for ecosystem C cycling. Glob. Chang. Biol. 2010, 16, 1306–1316. [Google Scholar] [CrossRef]
- Espeleta, J.; Clark, D. Multi-scale variation in fine-root biomass in a tropical rain forest: A seven-year study. Ecol. Monogr. 2007, 77, 377–404. [Google Scholar] [CrossRef]
- Satomura, T.; Hashimoto, Y.; Koizumi, H.; Nakane, K.; Horikoshi, T. Seasonal patterns of fine root demography in a cool-temperate deciduous forest in central Japan. Ecol. Res. 2006, 21, 741–753. [Google Scholar] [CrossRef]
- Fatichi, S.; Pappas, C.; Zscheischler, J.; Leuzinger, S. Modelling carbon sources and sinks in terrestrial vegetation. New Phytol. 2019, 221, 652–668. [Google Scholar] [CrossRef]
- Vogt, K.A.; Grier, C.C.; Vogt, D.J. Production, turnover, and nutrient dynamics of above- and belowground detritus of world forests. Adv. Ecol. Res. 1986, 15, 303–377. [Google Scholar]
- Wang, C.G.; Han, S.J.; Zhou, Y.M.; Yan, C.F.; Cheng, X.B.; Zheng, X.B.; Li, M.H. Responses of fine roots and soil N availability to short-term nitrogen fertilization in a broad-leaved Korean pine mixed forest in northeastern China. PLoS ONE 2012, 7, 1–7. [Google Scholar] [CrossRef]
- Montagnoli, A.; Terzaghi, M.; Di Iorio, A.; Scippa, G.; Chiatante, D. Fine-root seasonal pattern, production and turnover rate of European beech (Fagus sylvatica L.) stands in Italy Prealps: Possible implications of coppice conversion to high forest. Plant Biosyst. 2012, 146, 1012–1022. [Google Scholar] [CrossRef]
- Zhao, H.; Chen, Y.; Xiong, D.; Huang, J.; Wang, W.; Yang, Z.; Chen, G.; Yang, Y. Fine root phenology differs among subtropical evergreen broadleaved forests with increasing tree diversities. Plant Soil 2017, 420, 481–491. [Google Scholar] [CrossRef]
- Makkonen, K.; Helmisaari, H.S. Seasonal and yearly variations of fine-root biomass and necromass in a Scots pine (Pinus sylvestris L.) stand. Ecol. Manag. 1998, 102, 283–290. [Google Scholar] [CrossRef]
- Tierney, G.L.; Fahey, T.J.; Groffman, P.M.; Hardy, J.P.; Fitzhugh, R.D.; Driscoll, C.T.; Yavitt, J.B. Environmental control of fine root dynamics in a northern hardwood forest. Glob. Chang. Biol. 2003, 9, 670–679. [Google Scholar] [CrossRef]
- Xu, Y.; Wang, D.; Iversen, C.M.; Walker, A.; Warren, J. Building a virtual ecosystem dynamic model for root research. Environ. Model. Softw. 2017, 89, 97–105. [Google Scholar] [CrossRef]
- Chen, H.Y.; Brassard, B.W. Intrinsic and extrinsic controls of fine root life span. Crit. Rev. Plant Sci. 2013, 32, 151–161. [Google Scholar] [CrossRef]
- Keith, H.; Mackey, B.G.; Lindenmayer, D.B. Re-evaluation of forest biomass carbon stocks and lessons from the world’s most carbon-dense forests. Proc. Natl. Acad. Sci. USA 2009, 106, 11635–11640. [Google Scholar] [CrossRef] [PubMed]
- Malhi, Y.; Baldocchi, D.; Jarvis, P. The carbon balance of tropical, temperate and boreal forests. Plant Cell Environ. 1999, 22, 715–740. [Google Scholar] [CrossRef]
- Wang, C.; Chen, Z.; Brunner, I.; Zhang, Z.; Zhu, X.; Li, J.; Yin, H.; Guo, W.; Zhao, T.-H.; Zheng, X.; et al. Global patterns of dead fine root stocks in forest ecosystems. J. Biogeogr. 2018, 45, 1378–1394. [Google Scholar] [CrossRef]
- Ma, Z.; Guo, D.; Xu, X.; Lu, M.; Bardgett, R.D.; Eissenstat, D.M.; McCormack, M.L.; Hedin, L.O. Evolutionary history resolves global organization of root functional traits. Nature 2018, 555, 94–97. [Google Scholar] [CrossRef] [PubMed]
- Jackson, R.B.; Canadell, J.; Ehleringer, J.R.; Mooney, H.A.; Sala, O.E.; Schulze, E.D. A global analysis of root distributions for terrestrial biomes. Oecologia 1996, 108, 389–411. [Google Scholar] [CrossRef]
- Cairns, M.A.; Brown, S.; Helmer, E.H.; Baumgardner, G.A. Root biomass allocation in the world’s upland forests. Oecologia 1997, 111, 1–11. [Google Scholar] [CrossRef]
- Persson, H.; Stadenberg, I. Distribution of Fine Roots in Forest Areas Close to the Swedish Forsmark and Oskarshamn Nuclear Power Plants; Svensk kärnbränslehantering AB (SKB): Solna, Sweden, 2007; ISSN 1402-3091. [Google Scholar]
- Wang, C.; Chen, Z.; Yin, H.; Guo, W.; Cao, Y.; Wang, G.; Sun, B.; Yan, X.; Li, J.; Zhao, T.-H.; et al. The responses of forest fine root biomass/necromass ratio to environmental factors depend on mycorrhizal type and latitudinal region. J. Geophys. Res. Biogeosci. 2018, 123, 1769–1788. [Google Scholar] [CrossRef]
- Gill, R.A.; Jackson, R.B. Global patterns of root turnover for terrestrial ecosystems. New Phytol. 2000, 147, 13–31. [Google Scholar] [CrossRef]
- Clemmensen, K.E.; Bahr, A.; Ovaskainen, O.; Dahlberg, A.; Ekblad, A.; Wallander, H.; Stenlid, J.; Finlay, R.D.; Wardle, D.A.; Lindahl, B.D. Roots and associated fungi drive long-term carbon sequestration. Science 2013, 339, 1615–1618. [Google Scholar] [CrossRef] [PubMed]
- Mangiafico, S. rcompanion: Functions to support extension education program evaluation. R Package Version 2.3.7. Available online: http://rcompanion.org/ (accessed on 29 September 2019).
- Burnham, K.P.; Anderson, D.R. Model Selection and Multimodel Inference: A Practical Information-Theoretic Approach, 2nd ed.; Springer: Berlin, Germany, 2002. [Google Scholar]
- Bartoń, K. Package ‘MuMIn’. Version 1.43.6. Available online: http://mumin.r-forge.r-project.org (accessed on 10 April 2019).
- Silver, W.L.; Miya, R.K. Global patterns in root decomposition: Comparisons of climate and litter quality effects. Oecologia 2001, 129, 407–419. [Google Scholar] [CrossRef] [PubMed]
- Vogt, K.A.; Vogt, D.J.; Palmiotto, P.A.; Boon, P.; O’Hara, J.; Asbjornsen, H. Review of root dynamics in forest ecosystems grouped by climate, climatic forest type and species. Plant Soil 1996, 187, 159–219. [Google Scholar] [CrossRef]
- Cahoon Sean, M.P.; Sullivan Patrick, F.; Brownlee Annalis, H.; Pattison Robert, R.; Andersen, H.E.; Legner, K.; Hollingsworth Teresa, N. Contrasting drivers and trends of coniferous and deciduous tree growth in interior Alaska. Ecology 2018, 99, 1284–1295. [Google Scholar] [CrossRef] [PubMed]
- Yavitt, J.; Wright, S. Drought and irrigation effects on fine root dynamics in a tropical moist forest, Panama. Biotropica 2001, 33, 421–434. [Google Scholar] [CrossRef]
- Fukuzawa, K.; Shibata, H.; Takagi, K.; Satoh, F.; Koike, T.; Sasa, K. Vertical distribution and seasonal pattern of fine-root dynamics in a cool–temperate forest in northern Japan: Implication of the understory vegetation, Sasa dwarf bamboo. Ecol. Res. 2007, 22, 485–495. [Google Scholar] [CrossRef]
- Beyene, T.; Lettenmaier, D.P.; Kabat, P. Hydrologic impacts of climate change on the Nile River Basin: Implications of the 2007 IPCC scenarios. Clim. Chang. 2010, 100, 433–461. [Google Scholar] [CrossRef]
- Weemstra, M.; Mommer, L.; Visser, E.J.W.; van Ruijven, J.; Kuyper, T.W.; Mohren, G.M.J.; Sterck, F.J. Towards a multidimensional root trait framework: A tree root review. New Phytol. 2016, 211, 1159–1169. [Google Scholar] [CrossRef]
- Valverde-Barrantes, O.J.; Blackwood, C.B. Root traits are multidimensional: Specific root length is independent from root tissue density and the plant economic spectrum: Commentary on Kramer-Walter et al. (2016). J. Ecol. 2016, 104, 1311–1313. [Google Scholar] [CrossRef]
- Zhou, G.; Zhou, X.; Nie, Y.; Bai, S.H.; Zhou, L.; Shao, J.; Cheng, W.; Wang, J.; Hu, F.; Fu, Y. Drought-induced changes in root biomass largely result from altered root morphological traits: Evidence from a synthesis of global field trials. Plant Cell Environ. 2018, 41, 2589–2599. [Google Scholar] [CrossRef]
- Brunner, I.; Herzog, C.; Dawes, M.A.; Arend, M.; Sperisen, C. How tree roots respond to drought. Front. Plant Sci. 2015, 6, 1–16. [Google Scholar] [CrossRef] [PubMed]
- Leuschner, C.; Moser, G.; Bertsch, C.; Röderstein, M.; Hertel, D. Large altitudinal increase in tree root/shoot ratio in tropical mountain forests of Ecuador. Basic Appl. Ecol. 2007, 8, 219–230. [Google Scholar] [CrossRef]
- Helmisaari, H.S.; Derome, J.; Nöjd, P.; Kukkola, M. Fine root biomass in relation to site and stand characteristics in Norway spruce and Scots pine stands. Tree Physiol. 2007, 27, 1493–1504. [Google Scholar] [CrossRef] [PubMed]
- Lehtonen, A.; Palviainen, M.; Ojanen, P.; Kalliokoski, T.; Nöjd, P.; Kukkola, M.; Penttilä, T.; Mäkipää, R.; Leppälammi-Kujansuu, J.; Helmisaari, H.S. Modelling fine root biomass of boreal tree stands using site and stand variables. Ecol. Manag. 2016, 359, 361–369. [Google Scholar] [CrossRef]
- Reich, P.B.; Luo, Y.; Bradford, J.B.; Poorter, H.; Perry, C.H.; Oleksyn, J. Temperature drives global patterns in forest biomass distribution in leaves, stems, and roots. Proc. Natl. Acad. Sci. USA 2014, 111, 13721–13726. [Google Scholar] [CrossRef] [PubMed]
- Chen, W.; Zeng, H.; Eissenstat, D.M.; Guo, D. Variation of first-order root traits across climatic gradients and evolutionary trends in geological time. Glob. Ecol. Biogeogr. 2013, 22, 846–856. [Google Scholar] [CrossRef]
- Lima, T.; Miranda, I.; Vasconcelos, S. Effects of water and nutrient availability on fine root growth in eastern Amazonian forest regrowth, Brazil. New Phytol. 2010, 187, 622–630. [Google Scholar] [CrossRef]
- Blair Brent, C.; Perfecto, L. Nutrient content and substrate effect on fine root density and size distribution in a Nicaraguan rain forest. Biotropica 2006, 33, 697–701. [Google Scholar] [CrossRef]
- Comas, L.H.; Anderson, L.J.; Dunst, R.M.; Lakso, A.N.; Eissenstat, D.M. Canopy and environmental control of root dynamics in a long-term study of Concord grape. New Phytol. 2005, 167, 829–840. [Google Scholar] [CrossRef]
- Konôpka, B.; Yuste, J.C.; Janssens, I.A.; Ceulemans, R. Comparison of fine root dynamics in Scots pine and Pedunculate oak in sandy soil. Plant Soil 2005, 276, 33–45. [Google Scholar] [CrossRef]
- Lyr, H.; Hoffmann, G. Growth rates and growth periodicity of tree roots. Int. Rev. Res. 1967, 2, 181–236. [Google Scholar]
- Onipchenko Vladimir, G.; Makarov Mikhail, I.; Van Logtestijn Richard, S.P.; Ivanov Viktor, B.; Akhmetzhanova Assem, A.; Tekeev Dzhamal, K.; Ermak Anton, A.; Salpagarova Fatima, S.; Kozhevnikova Anna, D.; Cornelissen Johannes, H.C. New nitrogen uptake strategy: Specialized snow roots. Ecol. Lett. 2009, 12, 758–764. [Google Scholar] [CrossRef] [PubMed]
- Radville, L.; Post, E.; Eissenstat, D.M. Root phenology in an Arctic shrub-graminoid community: The effects of long-term warming and herbivore exclusion. Clim. Chang. Responses 2016, 3, 1–9. [Google Scholar] [CrossRef]
- Radville, L.; McCormack, M.L.; Post, E.; Eissenstat, D.M. Root phenology in a changing climate. J. Exp. Bot. 2016, 67, 3617–3628. [Google Scholar] [CrossRef]
- Persson, H. Root dynamics in a young Scots pine stand in central Sweden. Oikos 1978, 30, 508–519. [Google Scholar] [CrossRef]
- Meinen, C.; Hertel, D.; Leuschner, C. Root growth and recovery in temperate broad-leaved forest stands differing in tree species diversity. Ecosystems 2009, 12, 1103–1116. [Google Scholar] [CrossRef]
- Vogt, K.A.; Edmonds, R.L.; Grier, C.C. Seasonal changes in biomass and vertical distribution of mycorrhizal and fibrous-textured conifer fine roots in 23-and 180-year-old subalpine Abies amabilis stands. Can. J. For. Res. 1981, 11, 224–230. [Google Scholar] [CrossRef]
- Kolesnikow, V.A. Cyclic Renewal of Roots in Fruit Plants; Nauka: Leningrad, Russia, 1968. [Google Scholar]
- Hendrick, R.L.; Pregitzer, K. The relationship between fine root demography and the soil environment in northern hardwood forests. Ecoscience 1997, 4, 99–105. [Google Scholar] [CrossRef]
- Joslin, J.D.; Wolfe, M.H.; Hanson, P.J. Factors controlling the timing of root elongation intensity in a mature upland oak stand. Plant Soil 2001, 228, 201–212. [Google Scholar] [CrossRef]
- Ostonen, I.; Helmisaari, H.-S.; Borken, W.; Tedersoo, L.; Kukumaegi, M.; Bahram, M.; Lindroos, A.-J.; Nojd, P.; Uri, V.; Merila, P.; et al. Fine root foraging strategies in Norway spruce forests across a European climate gradient. Glob. Change Biol. 2011, 17, 3620–3632. [Google Scholar] [CrossRef]


| FRB | FRN | FRBN | ||||||||
|---|---|---|---|---|---|---|---|---|---|---|
| Factors | DF | SS | H | p | SS | H | p | SS | H | p |
| Biome | 2 | 690358 | 7.26 | <0.05 | 2540387 | 26.71 | <0.001 | 1666605 | 17.52 | <0.001 |
| Month | 11 | 1604304 | 16.86 | 0.11 | 4062906 | 42.72 | <0.001 | 3856547 | 40.54 | <0.001 |
| Biome × Month | 17 | 2891658 | 30.40 | <0.05 | 3774040 | 39.69 | <0.01 | 3636098 | 38.22 | <0.01 |
| Residuals | 1037 | 96323028 | 91091014 | 92355612 | ||||||
| Boreal Forests | Temperate Forests | Tropical Forests | ||||||||
|---|---|---|---|---|---|---|---|---|---|---|
| FRB | FRN | FRBN | FRB | FRN | FRBN | FRB | FRN | FRBN | ||
| Climatic | MMP | 0.13 | 1.19 * | 0.04 * | −0.05 *** | 0.35 *** | −0.34 *** | −0.41 | ||
| MMT | 2.44 | 7.25 *** | −12.38 | −1.74 *** | −4.74 ** | −1.32 | −1.32 | −4.40 | ||
| MAP | −0.91 | −2.99 *** | −0.02 | 0.04 | −0.06 | 0.16 ** | 0.35 | |||
| MAT | −78.53 *** | −94.72 | −0.49 | −0.54 | 0.86 | 10.51 *** | 2.00 * | 17.61 | ||
| Edaphic | D | −0.25 *** | −0.54 *** | 0.51 | −0.34 *** | −0.42 *** | 0.22 ** | −0.35 *** | −0.55 ** | 1.16 *** |
| SOC | 0.16 | 0.31 | −0.56 | 0.14 *** | 0.10 *** | −0.10 | 0.21 *** | 0.22 *** | −0.63 * | |
| SBD | −2.07 * | −0.48 ** | 0.58 *** | −2.91 *** | −1.52 ** | 2.36 *** | 7.88 *** | |||
| pH | −2.17 *** | 3.02 | 0.16 * | −0.04 | 0.37 | 0.28 | 1.02 | |||
| Geomorphic | E | 0.15 *** | 0.55 *** | −0.61 ** | 0.08 *** | 0.14 *** | −0.28 *** | 0.06 | 0.02 | −0.11 |
| L | −4.69 *** | −5.06 | 0.05 | 0.19 | −0.22 | 0.49 ** | 0.07 | 1.24 | ||
| Intercept | −2.02 | 122.81 | 92.40 | 11.37 *** | 1.48 | 27.21 ** | −56.50 ** | 11.98 | −85.92 | |
| Boreal Forests | Temperate Forests | Tropical Forests | ||||||||
|---|---|---|---|---|---|---|---|---|---|---|
| FRB | FRN | FRBN | FRB | FRN | FRBN | FRB | FRN | FRBN | ||
| Climatic | MMP | 0.24 | 1.00 | 1.00 | 1.00 | 1.00 | 1.00 | 0.35 | ||
| MMT | 0.24 | 1.00 | 0.28 | 1.00 | 1.00 | 0.29 | 0.20 | 0.07 | ||
| MAP | 0.12 | 0.88 | 0.19 | 0.36 | 0.10 | 1.00 | 0.09 | |||
| MAT | 0.29 | 0.14 | 0.19 | 0.23 | 0.09 | 1.00 | 0.65 | 0.82 | ||
| Edaphic | D | 1.00 | 1.00 | 0.28 | 1.00 | 1.00 | 1.00 | 1.00 | 1.00 | 1.00 |
| SOC | 0.57 | 1.00 | 0.15 | 1.00 | 1.00 | 0.28 | 1.00 | 1.00 | 1.00 | |
| SBD | 0.12 | 1.00 | 1.00 | 1.00 | 1.00 | 1.00 | 1.00 | |||
| pH | 1.00 | 0.79 | 1.00 | 0.12 | 0.69 | 0.54 | 0.43 | |||
| Geomorphic | E | 1.00 | 1.00 | 1.00 | 1.00 | 1.00 | 1.00 | 0.65 | 0.14 | 0.07 |
| L | 0.22 | 0.26 | 0.09 | 1.00 | 0.15 | 0.09 | ||||
© 2019 by the authors. Licensee MDPI, Basel, Switzerland. This article is an open access article distributed under the terms and conditions of the Creative Commons Attribution (CC BY) license (http://creativecommons.org/licenses/by/4.0/).
Share and Cite
Wang, C.; Brunner, I.; Zong, S.; Li, M.-H. The Dynamics of Living and Dead Fine Roots of Forest Biomes across the Northern Hemisphere. Forests 2019, 10, 953. https://doi.org/10.3390/f10110953
Wang C, Brunner I, Zong S, Li M-H. The Dynamics of Living and Dead Fine Roots of Forest Biomes across the Northern Hemisphere. Forests. 2019; 10(11):953. https://doi.org/10.3390/f10110953
Chicago/Turabian StyleWang, Cunguo, Ivano Brunner, Shengwei Zong, and Mai-He Li. 2019. "The Dynamics of Living and Dead Fine Roots of Forest Biomes across the Northern Hemisphere" Forests 10, no. 11: 953. https://doi.org/10.3390/f10110953
APA StyleWang, C., Brunner, I., Zong, S., & Li, M.-H. (2019). The Dynamics of Living and Dead Fine Roots of Forest Biomes across the Northern Hemisphere. Forests, 10(11), 953. https://doi.org/10.3390/f10110953

