Buds, Bugs and Bienniality: The Floral Biology of Eschweilera tenuifolia (O. Berg) Miers in a Black-Water Flooded Forest, Central Amazonia
Abstract
1. Introduction
- (1)
- Insect predation of E. tenuifolia flower buds and flowers will be high (operationally defined as over 50 % of buds).
- (2)
- High levels of bud and flower insect infestation will result in low flower:fruit ratios.
- (3)
- Visitation of anthers by pollen predators will occur only once flowers have opened and access is thus facilitated.
- (4)
- Nectar production will occur during daylight hours, and nectar characteristics will meet the criteria for bee-pollinated plants.
2. Materials and Methods
2.1. Study Habitat: Igapó
2.2. Study Site
2.3. Field Measures
2.4. Statistical Analysis
3. Results
3.1. Floral Characteristics
3.2. Insect Predation
3.3. Flower:Fruit Ratios
3.4. Pollen Predation
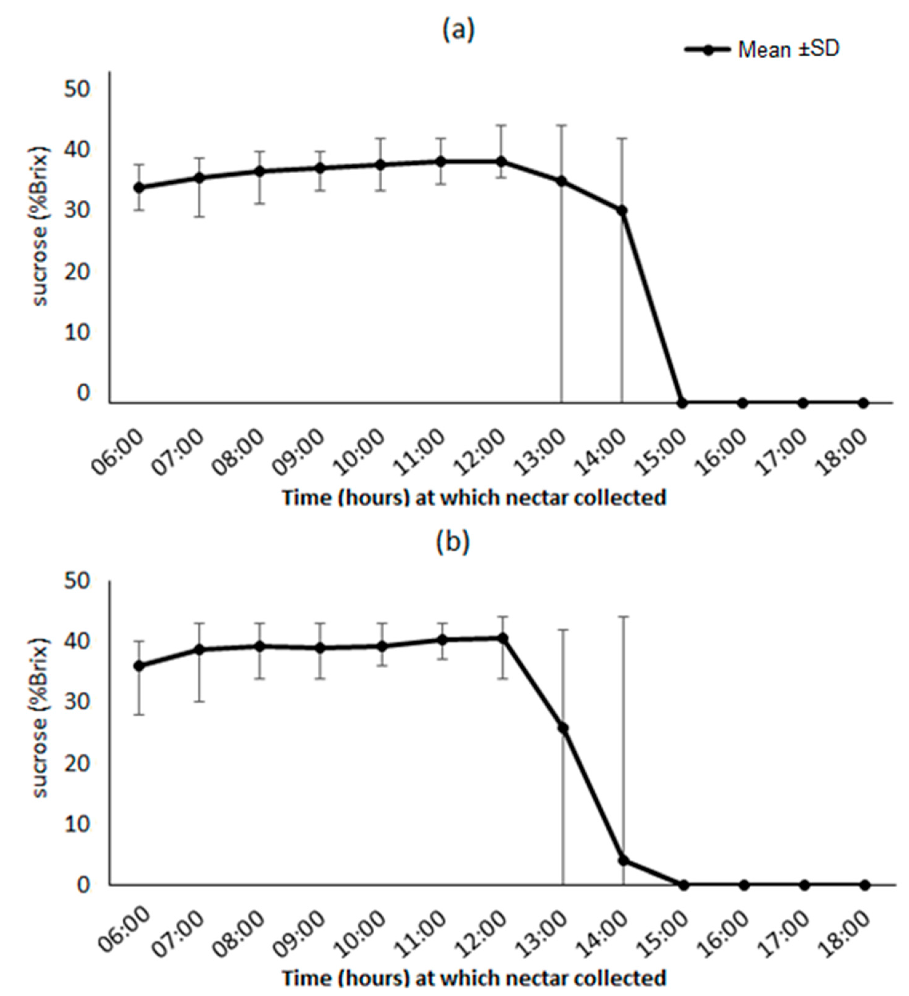
3.5. Nectar Production
4. Discussion
5. Conclusions
Author Contributions
Funding
Acknowledgments
Conflicts of Interest
References
- Mori, S.A.; Tsou, C.-H.; Wu, C.-C.; Cronholm, B.; Anderberg, A.A. Evolution of Lecythidaceae with an emphasis on the circumscription of neotropical genera: Information from combined ndhF and trnL-F sequence data. Am. J. Bot. 2007, 94, 289–301. [Google Scholar] [CrossRef] [PubMed]
- Mori, S.A.; Prance, G.T. Lecythidaceae-Part II. The zygomorphic-flowered New World genera (Couroupita, Corythophora, Bertholletia, Couratari, Eschweilera, & Lecythis). Flora Neotrop. Monogr. 1990, 21, 1–376. [Google Scholar]
- Mori, S.A.; Prance, G.T. Taxonomy, ecology, and economic botany of the Brazil nut (Bertholletia excelsa Humb. & Bonpl.: Lecythidaceae). Econ. Bot. 1990, 8, 130–150. [Google Scholar]
- Tropicos. Available online: www.tropicos.org/Name/40006169 (accessed on 11 January 2020).
- Prance, G.T.; Rodrigues, W.A.; da Silva, M.F. Inventário florestal de um hectare de mata de terra firme km 30 da Estrada Manaus—Itacoatiara. Acta Amaz. 1976, 6, 9–35. [Google Scholar] [CrossRef]
- Filho, D.A.L.; de Almeida Matos, F.D.; Amaral, I.; Revilla, J.; Coêlho, L.d.S.; Ramos, J.F.; dos Santos, J.L. Inventário florístico de floresta ombrófila densa de terra firme, na região do Rio Urucu-Amazonas, Brasil. Acta Amaz. 2001, 31, 565. [Google Scholar] [CrossRef]
- Matta, L.B.V.; Scudeller, V.V. Lecythidaceae Poit. in the Tupé Sustainable Development Reserve, Manaus, Brazil. Braz. J. Bot. 2012, 35, 195–217. [Google Scholar] [CrossRef][Green Version]
- Mori, S.A.; Lepsch-Cunha, N. The Lecythidaceae of a central Amazonian moist forest. Mem. N. Y. Bot. Gard. 1995, 75, 1–55. [Google Scholar]
- De Oliveira, A.A.; Mori, S.A. A central Amazonian terra firme forest. I. High tree species richness on poor soils. Biodivers. Conserv. 1999, 8, 1219–1244. [Google Scholar] [CrossRef]
- Carneiro, V.M.C. Composição Florística e Análise Estrutural da Floresta Primária de Terra Firme na Bacia do Rio Cuieiras, Manaus-AM. Master’s Thesis, Instituto Nacional de Pesquisas da Amazônia, Manaus, Brazil, 2004. [Google Scholar]
- ter Steege, H.; Pitman, N.C.A.; Sabatier, D.; Baraloto, C.; Salomao, R.P.; Guevara, J.E.; Phillips, O.L.; Castilho, C.V.; Magnusson, W.E.; Molino, J.-F.; et al. Hyperdominance in the Amazonian tree flora. Science 2013, 342, 1243092. [Google Scholar] [CrossRef]
- Barnett, A.A. Diet, Habitat Use and Conservation Ecology of the Golden-Backed Uacari, Cacajao melanocephalus ouakary, in Jaú National Park, Amazonian Brazil. Ph.D. Thesis, University of Roehampton, London, UK, 2010. [Google Scholar]
- Barnett, A.A.; de Castilho, C.V.; Shapley, R.L.; Anicácio, A. Diet, habitat selection and natural history of Cacajao melanocephalus ouakary in Jaú National Park, Brazil. Int. J. Primatol. 2005, 26, 949–969. [Google Scholar] [CrossRef]
- Julião, G.R. Riqueza e Abundância de Insetos Galhadores Associados ao Dossel Florestas de Terra Firme, Várzea e Igapó da Amazônia Central. Ph.D. Thesis, Instituto Nacional de Pesquisas da Amazônia and Universidade Federal do Amazonas, Manaus, Brazil, 2007. [Google Scholar]
- Aguiar, D.P.P. Influência Dos Fatores Hidro-Edáficos na Diversidade, Composição Florística e Estrutura da Comunidade Arbórea de Igapó no Parque Nacional do Jaú, Amazônia Central. Master’s Thesis, Instituto Nacional de Pesquisas da Amazônia, Manaus, Brazil, 2015. [Google Scholar]
- Taylor, P.G.; Cesari, I.M.; Arsenak, M.; Ballen, D.; Abad, M.J.; Fernández, A.; Milano, B.; Ruiz, M.-C.; Williams, B.; Michelangeli, F. Evaluation of Venezuelan medicinal plant extracts for antitumor and antiprotease activities. Pharm. Biol. 2006, 44, 349–362. [Google Scholar] [CrossRef]
- Barnett, A.A.; Almeida, T.; Spironello, W.R.; Sousa Silva, W.; MacLarnon, A.; Ross, C. Terrestrial foraging by Cacajao melanocephalus ouakary (Primates) in Amazonian Brazil: Is choice of seed patch size and position related to predation risk? Folia Primatol. 2012, 83, 126–139. [Google Scholar] [CrossRef] [PubMed]
- Barnett, A.A.; Boyle, S.A.; Pinto, L.P.; Lourenço, W.C.; Almeida, T.; Sousa Silva, W.; Ronchi-Teles, B.; Bezerra, B.M.; Ross, C.; MacLarnon, A.; et al. Primary seed dispersal by three Neotropical seed-predating primates (Cacajao melanocephalus ouakary, Chiropotes chiropotes and Chiropotes albinasus). J. Trop. Ecol. 2012, 28, 543–555. [Google Scholar] [CrossRef]
- Antunes, A.C.; Baccaro, F.; Barnett, A.A. What bite marks can tell us: Use of on-fruit tooth impressions to study seed consumer identity and consumption patterns within a rodent assemblage. Mamm. Biol. 2017, 82, 74–79. [Google Scholar] [CrossRef]
- Antunes, A.C.; Baccaro, F.; Caetano Andrade, V.L.; Ramos, J.F.; Da Silva Moreira, R.; Barnett, A.A. Igapó seed patches: A potentially key resource for terrestrial vertebrates in a seasonally flooded forest of central Amazonia. Biol. J. Linn. Soc. 2019, 128, 460–472. [Google Scholar] [CrossRef]
- Barnett, A.A.; Sampaio, E.M.; Kalko, E.K.V.; Shapley, R.L.; Fischer, E.; Camargo, G.; Rodríguez-Herrera, B. Bats of Jaú National Park, central Amazônia, Brazil. Acta Chiropterologica 2006, 8, 103–128. [Google Scholar] [CrossRef]
- Rengifo, E.M.; Calderón, W.; Aquino, R. Características de refugios de algunas especies de murciélagos en la cuenca alta del río Itaya, Loreto, Perú. URJ 2013, 5, 143–150. [Google Scholar] [CrossRef][Green Version]
- Kubitzki, K.; Ziburski, A. Seed dispersal in flood plain forests of Amazonia. Biotropica 1994, 26, 30. [Google Scholar] [CrossRef]
- Da Silva, J.A.M.; Pereira-Filho, M.; de Oliveria-Pereira, M.I. Valor nutricional e energético de espécies vegetais importantes na alimentação do tambaqui. Acta Amaz. 2003, 33, 687–700. [Google Scholar] [CrossRef]
- Da Silva, J.A.M.; Pereira Filho, M.; de Oliveira-Pereira, M.I. Frutos e sementes consumidos pelo tambaqui, Colossoma macrompum (Cuvier, 1818) incorporados em rações: Digestibilidade e velocidade de trânsito pelo trato gastrointestinal. R. Bras. Zootec. 2003, 32, 1815–1824. [Google Scholar] [CrossRef]
- Volkmer-Ribeiro, C.; Becker Maciel, S. New freshwater sponges from Amazonian waters. Amazoniana 1983, 82, 255–264. [Google Scholar]
- Manconi, R.; Pronzato, R. Gemmules as a key structure for the adaptive radiation of freshwater sponges: A morphofunctional and biogeographical study. Porifera Res. 2007, 28, 61–77. [Google Scholar]
- Höfer, H.; Brescovit, A.D. A revision of the Neotropical spider genus Ancylometes Bertkau (Araneae: Pisauridae). Insect. Syst. Evol. 2000, 31, 323–360. [Google Scholar] [CrossRef]
- MacKay, W.P. A review of the new world ant of the genus Dolichoderus. Sociobiology 1993, 22, 1–148. [Google Scholar]
- Barnett, A.A.; Ronchi-Teles, B.; Almeida, T.; Deveny, A.; Schiel-Baracuhy, V.; Souza-Silva, W.; Spironello, W.; Ross, C.; MacLarnon, A. Arthropod predation by a specialist seed predator, the golden-backed uacari (Cacajao melanocephalus ouakary, Pitheciidae) in Brazilian Amazonia. Int. J. Primatol. 2013, 34, 470–485. [Google Scholar] [CrossRef]
- Maia, L.A. Influência do Pulso de Inundação na Fisiologia, Fenologia e Produção de Frutos de Hevea spruceana (Euphorbiaceae) e Eschweilera tenuifolia (Lecythidaceae) em Área Inundável de Igapó da Amazônia Central. Ph.D. Thesis, Instituto Nacional de Pesquisas da Amazônia and Universidade Federal do Amazonas, Manaus, Brazil, 1997. [Google Scholar]
- Rezende, A.C.C.; Absy, M.L.; Ferreira, M.G.; Marinho, H.A.; Santos, O.d.A. Pollen of honey from Melipona seminigra merrillae Cockerell, 1919, Scaptotrigona nigrohirta Moure, 1968 and Scaptotrigona sp. Moure, 1942 (Apidae: Meliponini) reared in Sataré Mawé indigenous communities, Amazon, Brazil. Palynology 2019, 43, 255–267. [Google Scholar] [CrossRef]
- Sánchez-Palomino, P.; Rivas-Pava, P.; Cadena, A. Composición, abundancia y riqueza de especies de la comunidad de murciélagos en bosques de galería en la Serranía de La Macarena. Caldasia 1993, 17, 301–312. [Google Scholar]
- Goulding, M. The Fishes and the Forest; University of California Press: Berkeley, CA, USA, 1980. [Google Scholar]
- Tsou, C.-H.; Mori, S.A. Seed coat anatomy and its relationship to seed dispersal in subfamily Lecythidoideae of the Lecythidaceae (the Brazil nut family). Bot. Bull. Acad. Sin. 2002, 43. [Google Scholar] [CrossRef]
- Harms, K.E.; Aiello, A. Seed-boring by tropical clearwing moths (Sesiidae): Aberrant behavior or widespread habit? J. Lepid. Soc. 1995, 49, 43–48. [Google Scholar]
- Eichlin, T.D. A new Panamanian clearwing moth (Sesildae: Sesiinae). J. Lepid. Soc. 1995, 49, 39–42. [Google Scholar]
- Caldwell, J.P. Brazil nut fruit capsules as phytotelmata: Interactions among anuran and insect larvae. Can. J. Zool. 1993, 71, 1193–1201. [Google Scholar] [CrossRef]
- Yanoviak, S.P. Distribution and abundance of Microvelia cavicola Polhemus (Heteroptera: Veliidae) on Barro Colorado Island, Panama. J. N. Y. Entomol. Soc. 1999, 107, 38–45. [Google Scholar]
- Parolin, P. Diversity of adaptations to flooding in trees of Amazonian floodplains. Pesqui. Bot. 2012, 63, 7–28. [Google Scholar]
- Frank, J.H.; Lounibos, L.P. Insects and allies associated with bromeliads: A review. Terr. Arthropod. Rev. 2009, 1, 125–153. [Google Scholar] [CrossRef]
- Quaresma, A.C.; Piedade, M.T.F.; Feitosa, Y.O.; Wittmann, F.; ter Steege, H. Composition, diversity and structure of vascular epiphytes in two contrasting Central Amazonian floodplain ecosystems. Acta Bot. Bras. 2017, 31, 686–697. [Google Scholar] [CrossRef]
- Quaresma, A.C.; Piedade, M.T.F.; Wittmann, F.; ter Steege, H. Species richness, composition, and spatial distribution of vascular epiphytes in Amazonian black-water floodplain forests. Biodivers Conserv. 2018, 27, 1981–2002. [Google Scholar] [CrossRef]
- Barthlott, W.; Porembski, S.; Kluge, M.; Hopke, J.; Schmidt, L. Selenicereus wittii (Cactaceae): An epiphyte adapted to Amazonian igapó inundation forests. Plant Syst. Evol. 1997, 206, 175–185. [Google Scholar] [CrossRef]
- Martins, A.C.; Bochorny, T.; Pérez-Escobar, O.A.; Chomicki, G.; Monteiro, S.H.N.; de Camargo Smidt, E. From tree tops to the ground: Reversals to terrestrial habit in Galeandra orchids (Epidendroideae: Catasetinae). Mol. Phylogenetics Evol. 2018, 127, 952–960. [Google Scholar] [CrossRef]
- Kleinfeldt, S.E. Ant-gardens: The interaction of Codonanthe crassifolia (Gesneriaceae) and Crematogaster longispina (Formicidae). Ecology 1978, 59, 449–456. [Google Scholar] [CrossRef]
- Serrano-Serrano, M.L.; Perret, M.; Guignard, M.; Chautems, A.; Silvestro, D.; Salamin, N. Decoupled evolution of floral traits and climatic preferences in a clade of Neotropical Gesneriaceae. BMC Evol. Biol. 2015, 15, 247. [Google Scholar] [CrossRef]
- Kuijt, J.; Hansen, B. Balanophoraceae. In Flowering Plants. Eudicots Santalales, Balanophorales (The Families and Genera of Vascular Plants Book 12); Kubitzski, K., Ed.; Springer: Cham, Switzerland, 2015; pp. 193–208. [Google Scholar]
- Gomez, L.D. Parasitic plants. In Costa Rican Natural History; Janzen, D.H., Ed.; University of Chicago Press: Chicago, IL, USA, 1983; pp. 292–298. [Google Scholar]
- Ferrer, M.S.; Marvaldi, A.E.; Sato, H.A.; Gonzalez, A.M. Biological notes on two species of Oxycorynus (Coleoptera: Belidae) associated with parasitic plants of the genus Lophophytum (Balanophoraceae), and new distribution records in Argentina. Rev. Soc. Entomológica Argent. 2011, 70, 351–355. [Google Scholar]
- Barnett, A.A.; Silva, W.S.; Shaw, P.J.A.; Ramsay, P.M. Inundation duration and vertical vegetation zonation: A preliminary description of the vegetation and structuring factors in borokotóh (hummock igapó), an overlooked, high-diversity, Amazonian vegetation association. Nord. J. Bot. 2015, 33, 601–614. [Google Scholar] [CrossRef]
- Ferreira, L.V.; Stohlgren, T.J. Effects of river level fluctuation on plant species richness, diversity, and distribution in a floodplain forest in central Amazonia. Oecologia 1999, 120, 582–587. [Google Scholar] [CrossRef] [PubMed]
- Junk, W.J.; Wittmann, F.; Schöngart, J.; Piedade, M.T.F. A classification of the major habitats of Amazonian black-water river floodplains and a comparison with their white-water counterparts. Wetl. Ecol. Manag. 2015, 23, 677–693. [Google Scholar] [CrossRef]
- Resende, A.F.; Piedade, M.T.F.; Feitosa, Y.O.; Andrade, V.H.F.; Trumbore, S.E.; Durgante, F.M.; Macedo, M.O.; Schöngart, J. Flood-pulse disturbances as a threat for long-living Amazonian trees. New Phytol. 2020, 227, 1790–1803. [Google Scholar] [CrossRef] [PubMed]
- Junk, W.J.; Bayley, P.B.; Sparks, R.E. The flood pulse concept in river-floodplain systems. Can. Spec. Publ. Fish. Aquat. Sci. 1989, 106, 110–127. [Google Scholar]
- Maia, L.A.; Piedade, M.T.F. Phenology of Eschweilera tenuifolia (Lecythidaceae) in flooded forest of the Central Amazonia, Brazil. Neotrop. Ecosyst. Proc. Ger. Braz. Workshop 2002, 4, 1–4. [Google Scholar]
- Mori, S.A.; Prance, G.T.; Bolten, A.B. Additional notes on the floral biology of neotropical Lecythidaceae. Brittonia 1978, 30, 113. [Google Scholar] [CrossRef]
- Prance, G.T. The pollination and androphore structure of some Amazonian Lecythidaceae. Biotropica 1976, 8, 235. [Google Scholar] [CrossRef]
- Gamboa-Gaitán, M.A. Biologia reproductiva de Eschweilera bogotensis (Lecythidaceae), en la cordillera occidental de Colombia. Caldasia 1997, 19, 479–485. [Google Scholar]
- Prance, G.T.; Idrobo, J.M.; Castaño, O.V. Mecanismos de polinización de Eschweilera garagarae Pittier en El Chocó, Colombia. Mutilisia 1983, 60, 1–7. [Google Scholar]
- De Potascheff, C.M.; Mori, S.A.; Lombardi, J.A. Pollination ecology of the Cerrado species Eschweilera nana (Lecythidaceae subfam. Lecythidoideae). Brittonia 2014, 66, 191–206. [Google Scholar] [CrossRef]
- Mori, S.A. Biologia da polinização em Lecythidaceae. Acta Bot. Bras. 1987, 1, 121–124. [Google Scholar] [CrossRef]
- Menezes, I.S.; do Couto-Santos, A.P.L.; Funch, L.S. The influence of El Niño and edge effects on the reproductive phenology and floral visitors of Eschweilera tetrapetala Mori (Lecythidaceae), an endemic species of the Atlantic Forest of northeastern Brazil. Acta Bot. Bras. 2018, 32, 1–11. [Google Scholar] [CrossRef]
- Krause, L. Floral Biology, Flowering Phenology and Floral Visitors of Five Insect-Pollinated Tree Species in a Tropical Lowland Rainforest Remnant of Pernambuco, Brazil. Ph.D. Thesis, University of Ulm, Ulm, Germany, 2008. [Google Scholar]
- De Potascheff, C.M. Ecologia da Polinização de Eschweilera nana Miers., Uma Lecythidaceae do Cerrado. Master’s Thesis, Universidade Estadual Paulista-Rio Claro, São Paulo, Brazil, 2010. [Google Scholar]
- Rego, J.O.; Oliveira, R.; Jacobi, C.M.; Schlindwein, C. Constant flower damage caused by a common stingless bee puts survival of a threatened buzz-pollinated species at risk. Apidologie 2018, 49, 276–286. [Google Scholar] [CrossRef]
- Dos Santos, C.F.; Boff, S. Subtle visits despite guards: Theft from nest of stingless bee (Meliponini) by orchid bee (Euglossini). Entomol. Res. 2010, 40, 233–235. [Google Scholar] [CrossRef]
- Santos, C.F.; Absy, M.L. Polinizadores de Bertholletia excelsa (Lecythidales: Lecythidaceae): Interações com abelhas sem ferrão (Apidae: Meliponini) e nicho trófico. Neotrop. Entomol. 2010, 39, 854–861. [Google Scholar] [CrossRef][Green Version]
- Morton, C.M.; Mori, S.A.; Prance, G.T.; Karol, K.G.; Chase, M.W. Phylogenetic relationships of Lecythidaceae: A cladistic analysis using rbcL sequence and morphological data. Am. J. Bot. 1997, 84, 530–540. [Google Scholar] [CrossRef]
- Feinstein, J.; Purzycki, K.L.; Mori, S.; Hequet, V.; Berkov, A. Neotropical soldier flies (Stratiomyidae) reared from Lecythis poiteaui in French Guiana: Do bat-pollinated flowers attract saprophiles? J. Torrey Bot. Soc. 2008, 135, 200–207. [Google Scholar] [CrossRef]
- Prance, G.T.; Mori, S.A. Observations on the fruits and seeds of neotropical Lecythidaceae. Brittonia 1978, 30, 21. [Google Scholar] [CrossRef]
- Nelson, Β.W.; Absy, Μ.L.; Barbosa, Ε.Μ.; Prance, G.Τ. Observations on flower visitors to Bertholletia excelsa H.B.K. and Couratari tenuicarpa A.C. Sm. (Lecythidaceae). Acta Amaz. 1985, 15, 225–234. [Google Scholar] [CrossRef]
- Gentry, A.H. Coevolutionary patterns in Central American Bignoniaceae. Ann. Mo. Bot. Gard. 1974, 61, 728–759. [Google Scholar] [CrossRef]
- Parolin, P.; Armbruester, N.; Wittmann, F.; Ferreira, L.; Piedade, M.T.F.; Junk, W.J. A review of tree phenology in Central Amazonian floodplains. Pesqui. Botânica 2002, 52, 195–222. [Google Scholar]
- Ferreira, L.V. Efeito do período de inundação na fenologia de Eschweilera parvifolia Martius ex. A.P. de Candolle. (Lecythidaceae) em uma floresta inundável na Amazônia Central. In Historia Natural, Ecologia e Conservação de Algumas Espécies de Plantas e Animais da Amazônia; Cintra, R., Ed.; FAPEAM; EDUA; Instituto Nacional de Pesquisas da Amazônia: Manaus, Brazil, 2004; pp. 27–32. [Google Scholar]
- Prance, G.T. Notes on the vegetation of Amazonia III. The terminology of Amazonian forest types subject to inundation. Brittonia 1979, 31, 26. [Google Scholar] [CrossRef]
- Ferreira, L.V.; Prance, G.T. Species richness and floristic composition in four hectares in the Jaú National Park in upland forests in Central Amazonia. Biodivers. Conserv. 1998, 7, 1349–1364. [Google Scholar] [CrossRef]
- Parolin, P.; Wittmann, F. Tree phenology in Amazonian floodplain forests. In Amazonian Floodplain Forests: Ecophysiology, Biodiversity and Sustainable Management; Junk, W.J., Piedade, M.T.F., Wittmann, F., Schöngart, J., Parolin, P., Eds.; Springer: Dordrecht, The Netherlands, 2010; pp. 105–126. [Google Scholar]
- Barnett, A.A.; Jucá, T. Primates of igapó forests. In Igapó: Blackwater Flooded Forests of the Amazon; Myster, R.W., Ed.; Springer: Cham, Switzerland, 2018; pp. 121–133. [Google Scholar]
- UNESCO Decision: 27 COM 8C.10; Central Amazon Conservation Complex (Brazil): Novo Airão, Brazil, 2003; Available online: https://whc.unesco.org/en/list/998/ (accessed on 23 September 2020).
- Vicentini, A. A vegetação ao longo de um gradiente edáfico no Parque Nacional do Jaú. In Janelas para a Biodiversidade no Parque Nacional do Jaú: Uma Estratégia par ao Estudo da Biodiversidade na Amazônia; Borges, S.H., Iwanaga, S., Durigan, C.C., Pineiro, M.R., Eds.; Fundação Vitória Amazônica: Manaus, Brazil, 2004; pp. 117–143. [Google Scholar]
- Barnett, A.A.; Schiel, V.; Deveny, A.; Valsko, J.; Spironello, W.R.; Ross, C. Predation on Cacajao ouakary and Cebus albifrons (Primates: Platyrrhini) by harpy eagles. Mammalia 2011, 75, 169–172. [Google Scholar] [CrossRef]
- Barnett, A.A.; Borges, S.H.; de Castilho, C.V.; Neri, F.M.; Shapley, R.L. Primates of Jaú National Park, Amazonas, Brazil. Neotrop. Primates 2002, 10, 65–70. [Google Scholar]
- Barnett, A.A.; Borges, S.; Castilho, C.V. Golden-backed uacari, Cacajao melanocephalus ouakary, in Jaú National Park, Amazonia, Brazil: Results of a short survey. Primate Eye 2000, 70, 33–37. [Google Scholar]
- Bezerra, B.M.; Souto, A.S.; Jones, G. Vocal repertoire of golden-backed uakaris (Cacajao melanocephalus): Call structure and context. Int. J. Primatol. 2010, 31, 759–778. [Google Scholar] [CrossRef]
- Bezerra, B.M.; Barnett, A.A.; Souto, A.; Jones, G. Ethogram and natural history of golden-backed uakaris (Cacajao melanocephalus). Int. J. Primatol. 2011, 32, 46–68. [Google Scholar] [CrossRef]
- Barnett, A.A.; Almeida, T.; Andrade, R.; Boyle, S.; de Lima, M.G.; MacLarnon, A.; Ross, C.; Silva, W.S.; Spironello, W.R.; Ronchi-Teles, B. Ants in their plants: Pseudomyrmex ants reduce primate, parrot and squirrel predation on Macrolobium acaciifolium (Fabaceae) seeds in Amazonian Brazil. Biol. J. Linn Soc. Lond. 2015, 114, 260–273. [Google Scholar] [CrossRef]
- Barnett, A.A.; Bezerra, B.M.; Oliveira, M.; Queiroz, H.; Defler, T.R. Cacajao ouakary in Brazil and Colombia: Patterns, puzzles and predictions. In Evolutionary Biology and Conservation of Titis, Sakis and Uacaris; Veiga, L.M., Barnett, A.A., Ferrari, S.F., Norconk, M.A., Eds.; Cambridge University Press: Cambridge, UK, 2013; pp. 179–195. [Google Scholar]
- Mound, L.A. Thysanoptera: Diversity and interactions. Annu. Rev. Entomol. 2005, 50, 247–269. [Google Scholar] [CrossRef] [PubMed]
- Lewis, T. Thrips, Their Biology, Ecology and Economic Importance; Academic Press: London, UK, 1973. [Google Scholar]
- Bolten, A.B.; Feinsinger, P.; Baker, H.G.; Baker, I. On the calculation of sugar concentration in flower nectar. Oecologia 1979, 41, 301–304. [Google Scholar] [CrossRef] [PubMed]
- Mesquida, J.; Marilleau, R.; Pham-Delegue, M.-H.; Renard, M. A study of rapeseed (Brassica napus L. var. oleifera Metzger) flower nectar secretions. Apidologie 1988, 19, 307–318. [Google Scholar] [CrossRef]
- Ordano, M.; Ornelas, J.F. The cost of nectar replenishment in two epiphytic bromeliads. J. Trop. Ecol. 2005, 21, 541–547. [Google Scholar] [CrossRef]
- Pinheiro, E.; Albuquerque, M. Castanha-do-pará. In BRASIL. Ministério da Agricultura. Livro Anual da Agricultura; Ministério da Agricultura: Brasília, Brazil, 1968; pp. 224–233. [Google Scholar]
- Ormond, W.T.; Pinheiro, M.C.B.; Castells, A.R.C.D. A contribution to the floral biology and reproductive system of Couroupita guianensis Aubl. (Lecythidaceae). Ann. Mo. Bot. Gard. 1981, 68, 514. [Google Scholar] [CrossRef]
- Aguiar, W.M.; Gaglianone, M.C. Comportamento de abelhas visitantes florais de Lecythis lurida (Lecythidaceae) no norte do estado do Rio de Janeiro. Rev. Bras. Entomol. 2008, 52, 277–282. [Google Scholar] [CrossRef][Green Version]
- Mori, S.A.; Silva, L.A.M.; Santos, T.S. Observações sobre a fenologia e biologia floral de Lecythis pisonis Cambess. (Lecythidaceae). Rev. Theobroma 1980, 10, 103–111. [Google Scholar]
- Holman, E.M.; Oosterhuis, D.M. Cotton photosynthesis and carbon partitioning in response to floral bud loss due to insect damage. Crop Sci. 1999, 39, 1347–1351. [Google Scholar] [CrossRef]
- Prasad, R.; Prasad, D. Assessment of economic injury level and economic threshold level of bud fly (Dasyneura lini Barnes) infesting linseed. Intian J. Entomol. 2008, 70, 326–329. [Google Scholar]
- Walker, G.P.; Voulgaropoulos, A.L.; Phillips, P.A. Effect of citrus bud mite (Acari: Eriophyidae) on lemon yields. J. Econ. Entomol. 1992, 85, 1318–1329. [Google Scholar] [CrossRef]
- Poole, B.C.; Nell, T.A.; Barrett, J.E. Role of carbohydrate depletion and ethylene in flower bud abscission of Hibiscus rosa-sinensis L. HortScience 1990, 25, 1138G–1139G. [Google Scholar] [CrossRef]
- Phillips, P.A.; Walker, G.P. Increase in flower and young fruit abscission caused by citrus bud mite (Acari: Eriophyidae) feeding in the axillary buds of lemon. J. Econ. Entomol. 1997, 90, 1273–1282. [Google Scholar] [CrossRef]
- Akey, D.H.; Henneberry, T.J. Beet armyworm (Lepidoptera: Noctuidae) behavior and effects on insecticide efficacy in open and closed cotton flowers and boll abscission or damage from flower infestation. J. Econ. Entomol. 1998, 91, 263–266. [Google Scholar] [CrossRef]
- Dernisky, A.K.; Evans, R.C.; Liburd, O.E.; Mackenzie, K. Characterization of early floral damage by cranberry tipworm (Dasineura oxycoccana Johnson) as a precursor to reduced fruit set in rabbiteye blueberry (Vaccinium ashei Reade). Int. J. Pest Manag. 2005, 51, 143–148. [Google Scholar] [CrossRef]
- Tsou, C.-H. The embryology, reproductive morphology and systematics of Lecythidaceae. Mem. N. Y. Bot. Gard. 1994, 71, 1–110. [Google Scholar]
- Frame, D.; Durou, S. Morphology and biology of Napoleonaea vogelii (Lecythidaceae) flowers in relation to the natural history of insect visitors. Biotropica 2001, 33, 458–471. [Google Scholar] [CrossRef]
- Armstrong, J.E.; Irvine, A.K. Flowering, sex ratios, pollen-ovule ratios, fruit set, and reproductive effort of a dioecious tree, Myristica insipida (Myristicaceae), in two different rain forest communities. Am. J. Bot. 1989, 76, 74–85. [Google Scholar] [CrossRef]
- Hermanutz, L.; Innes, D.; Denham, A.; Whelan, R. Very low fruit: Flower ratios in Grevillea (Proteaceae) are independent of breeding system. Aust. J. Bot. 1998, 46, 465. [Google Scholar] [CrossRef]
- Udovic, D. Floral predation of Yucca whipplei (Agavaceae) by the sap beetle, Anthonaeus agavensis (Coleoptera: Nitidulidae). Pan Pac. Entomol. 1986, 62, 55–57. [Google Scholar]
- Muniz, D.G.; Freitas, A.V.L.; Oliveira, P.S. Phenological relationships of Eunica bechina (Lepidoptera: Nymphalidae) and its host plant, Caryocar brasiliense (Caryocaraceae), in a Neotropical savanna. Stud. Neotrop. Fauna Environ. 2012, 47, 111–118. [Google Scholar] [CrossRef]
- Von Dahl, C.C.; Baldwin, I.T. Deciphering the role of ethylene in plant-herbivore interactions. J. Plant Growth Regul. 2007, 26, 201–209. [Google Scholar] [CrossRef]
- Von Dahl, C.C.; Winz, R.A.; Halitschke, R.; Kühnemann, F.; Gase, K.; Baldwin, I.T. Tuning the herbivore-induced ethylene burst: The role of transcript accumulation and ethylene perception in Nicotiana attenuata: Ethylene biosynthesis during herbivory. Plant J. 2007, 51, 293–307. [Google Scholar] [CrossRef] [PubMed]
- Jiang, H.; Egli, D.B. Shade induced changes in flower and pod number and flower and fruit abscission in soybean. Agron. J. 1993, 85, 221–225. [Google Scholar] [CrossRef]
- Herrera, C.M.; Jordano, P.; Guitián, J.; Traveset, A. Annual variability in seed production by woody plants and the masting concept: Reassessment of principles and relationship to pollination and seed dispersal. Am. Nat. 1998, 152, 576–594. [Google Scholar] [CrossRef] [PubMed]
- Wallace, J.B.; Benke, A.C.; Lingle, A.H.; Parsons, K. Trophic pathways of macroinvertebrate primary consumers in subtropical blackwater streams. Arch. Für Hydrobiol. Suppl. 1987, 74, 423–451. [Google Scholar]
- Henderson, P.A. Fish of the Amazonian igapó: Stability and conservation in a high diversity-low biomass system. J. Fish Biol. 1990, 37, 61–66. [Google Scholar] [CrossRef]
- Csotonyi, J.T.; Addicott, J.F. Competition between mutualists: The role of differential flower abscission in yuccas. Oikos 2001, 94, 557–565. [Google Scholar] [CrossRef]
- Zink, A.G.; Rosenheim, J.A. Stage-dependent feeding behavior by western tarnished plant bugs influences flower bud abscission in cotton. Entomol. Exp. Appl. 2005, 117, 235–242. [Google Scholar] [CrossRef]
- Andersen, A.N. Impact of insect predation on ovule survivorship in Eucalyptus baxteri. J. Ecol. 1989, 77, 62. [Google Scholar] [CrossRef]
- Gahukar, R.T. Population dynamics of Helicoverpa armigera (Hübner) (Lepidoptera: Noctuidae) on rose flowers in central India. J. Entomol. Res. 2002, 26, 265–276. [Google Scholar]
- Galen, C.; Cuba, J. Down the tube: Pollinators, predators, and the evolution of flower shape in the alpine skypilot, Polemonium viscosum. Evolution 2001, 55, 1963–1971. [Google Scholar] [CrossRef] [PubMed]
- Lukefahr, M.J.; Rhyne, C. Effects of nectariless cottons on populations of three lepidopterous Insects. J. Econ. Entomol. 1960, 53, 242–244. [Google Scholar] [CrossRef]
- Guimaraes, P.R.; Raimundo, R.L.G.; Bottcher, C.; Silva, R.R.; Trigo, J.R. Extrafloral nectaries as a deterrent mechanism against seed predators in the chemically protected weed Crotalaria pallida (Leguminosae). Austral Ecol. 2006, 31, 776–782. [Google Scholar] [CrossRef]
- Lev-Yadun, S.; Gould, K.S. Role of anthocyanins in plant defence. In Anthocyanins: Biosynthesis, Functions and Applications; Gould, K., Davies, K., Winefield, C., Eds.; Springer: New York, NY, USA, 2014; pp. 21–48. [Google Scholar]
- Kirk, W.D.J. How much pollen can thrips destroy? Ecol. Entomol. 1987, 12, 31–40. [Google Scholar] [CrossRef]
- Van Rijn, P.C.J.; Tanigoshi, L.K. Pollen as food for the predatory mites Iphiseius degenerans and Neoseiulus cucumeris (Acari: Phytoseiidae): Dietary range and life history. Exp. Appl. Acarol. 1999, 23, 785–802. [Google Scholar] [CrossRef]
- Lara, C.; Ornelas, J.F. Effects of nectar theft by flower mites on hummingbird behavior and the reproductive success of their host plant, Moussonia deppeana (Gesneriaceae). Oikos 2002, 96, 470–480. [Google Scholar] [CrossRef]
- Kimmel, T.M.; do Nascimento, L.M.; Piechowski, D.; Sampaio, E.V.S.B.; Nogueira Rodal, M.J.; Gottsberger, G. Pollination and seed dispersal modes of woody species of 12-year-old secondary forest in the Atlantic Forest region of Pernambuco, NE Brazil. Flora Morphol. Distrib. Funct. Ecol. Plants 2010, 205, 540–547. [Google Scholar] [CrossRef]
- Schwarz, H.H.; Huck, K. Phoretic mites use flowers to transfer between foraging bumblebees. Insect. Sociaux 1997, 44, 303–310. [Google Scholar] [CrossRef]
- Lindquist, E.E.; Moraza, M.L. A new genus of flower-dwelling melicharid mites (Acari: Mesostigmata: Ascoidea) phoretic on bats and insects in Costa Rica and Brazil. Zootaxa 2008, 1685, 1–37. [Google Scholar] [CrossRef]
- Marinho, D.; Muniz, D.B.; Azevedo, G.G. Nesting biology of three Megachile (Hymenoptera: Megachilidae) species from Eastern Amazonia, Brazil. Rev. Bras. Entomol. 2018, 62, 97–106. [Google Scholar] [CrossRef]
- Galen, C.; Newport, M.E.A. Bumble bee behavior and selection on flower size in the sky pilot, Polemonium viscosum. Oecologia 1987, 74, 20–23. [Google Scholar] [CrossRef]
- Andersson, S. Floral display and pollination success in Achillea ptarmica (Asteraceae). Ecography 1991, 14, 186–191. [Google Scholar] [CrossRef]
- Pohl, N.; Carvallo, G.; Botto-Mahan, C.; Medel, R. Nonadditive effects of flower damage and hummingbird pollination on the fecundity of Mimulus luteus. Oecologia 2006, 149, 648–655. [Google Scholar] [CrossRef] [PubMed]
- Cardel, Y.J.; Koptur, S. Effects of florivory on the pollination of flowers: An experimental field study with a perennial plant. Int. J. Plant Sci. 2010, 171, 283–292. [Google Scholar] [CrossRef]
- Brody, A.K.; Mitchell, R.J. Effects of experimental manipulation of inflorescence size on pollination and pre-dispersal seed predation in the hummingbird-pollinated plant Ipomopsis aggregata. Oecologia 1997, 110, 86–93. [Google Scholar] [CrossRef] [PubMed]
- Knudsen, J.T.; Mori, S.A. Floral scents and pollination in neotropical Lecythidaceae. Biotropica 1996, 28, 42. [Google Scholar] [CrossRef]
- Borrell, B.J. Suction feeding in orchid bees (Apidae: Euglossini). Proc. R. Soc. Lond. B 2004, 271. [Google Scholar] [CrossRef]
- Harder, L.D.; Cruzan, M.B. An evaluation of the physiological and evolutionary influences of inflorescence size and flower depth on nectar production. Funct. Ecol. 1990, 4, 559. [Google Scholar] [CrossRef]
- Ornelas, J.F.; Ordano, M.; De-Nova, A.J.; Quintero, M.E.; Garland, T. Phylogenetic analysis of interspecific variation in nectar of hummingbird-visited plants. J. Evol. Biol. 2007, 20, 1904–1917. [Google Scholar] [CrossRef]
- Hampe, A. Fruit tracking, frugivore satiation, and their consequences for seed dispersal. Oecologia 2008, 156, 137–145. [Google Scholar] [CrossRef] [PubMed]
- De Mérona, B.; Rankin-de-Mérona, J. Food resource partitioning in a fish community of the central Amazon floodplain. Neotrop. Ichthyol. 2004, 2, 75–84. [Google Scholar] [CrossRef]
- Parolin, P.; Wittmann, F.; Ferreira, L.V. Fruit and seed dispersal in Amazonian floodplain trees–a review. Ecotropica 2013, 19, 15–32. [Google Scholar]
- Janzen, D.H. Seed predation by animals. Annu. Rev. Ecol. Syst. 1971, 2, 465–492. [Google Scholar] [CrossRef]
- Parolin, P. Functional diversity of plant physiology on extreme sites. J. Plant Biochem. Physiol. 2013, 1. [Google Scholar] [CrossRef]
- Parolin, P. Seed germination and early establishment of 12 tree species from nutrient-rich and nutrient-poor Central Amazonian floodplains. Aquat. Bot. 2001, 70, 89–103. [Google Scholar] [CrossRef]
- Ferreira, L.V. Effects of the duration of flooding on species richness and floristic composition in three hectares in the Jaú National Park in floodplain forests in central Amazonia. Biodivers. Conserv. 1997, 6, 1353–1363. [Google Scholar] [CrossRef]










| Taxon | Plant Part | Interaction | Reference |
|---|---|---|---|
| Mammals | |||
| Golden-backed uacari (Cacajao ouakary Spix 1823) | Open flowers | Destructive feeding on flowers | [12] |
| Immature seeds | Extracting and eating seeds from pyxidium. Some dispersal. Seeds over 50% of diet in some months | [12,17,18] | |
| Germinating seeds | Predation of germinating seeds on the floor of igapó forest, when igapó unflooded. | [17,19,20] | |
| Young leaves | Ingestion of young leaves shortly after leaf flush | [12] | |
| White-fronted capuchin (Cebus albifrons [Humboldt 1812]) | Open flowers | Destructive feeding on flowers | [12] |
| Hollow trunk | Predation of Artibeus sp. bat roosting inside hollow | AA Barnett (unpublished data) | |
| Northern Amazon squirrel (Urosciureus igniventris [Wagner 1842]) | Immature seeds | Extricating and eating from pyxidium | [13] |
| Five of rodent and two marsupial species, | Germinating seeds | Eaten when on floor of unflooded igapó, at multi-species seed patches | [20] |
| Collared peccary (Pecari tajacu [Linnaeus 1758]) | Germinating seeds | Eaten when on floor of unflooded igapó, at multi-species seed patches | [20] |
| Brown brocket deer (Mazama nemorivaga [F. Cuvier 1817]) | Leaves of germinating seeds | Browsed from stems of germinating seeds when part of multi-species seed patches | [20] |
| Lesser fishing bat (Noctilio albiventris Desmarest 1818) | Hollow trunk 1 | Colony roosting within hollow trunk during non-flooded season. | [21] |
| Stripe-backed Sac-winged bat (Saccopteryx bilineata [Temminick 1838) | Bark | Roosts on outside of trunk | [21] |
| White-winged Dog-faced bat (Peropteryx leucoptera Peters 1867) | Bark | Roosts on outside of trunk | [22] |
| Birds | |||
| Macaws: Blue-and-yellow (Ara ararauna [Linneaus 1758]), Red-and-green (A. chloropterus [Grey 1859]), Scarlet (A. macao [Linneaus 1758]) | Immature seeds | Predation of immature seeds while on trees | [12,13] |
| Amazon Parrots: Orange-winged (Amazona amazonica Lesson 1830), Red-lored (A. autumnalis [Linneaus 1758]), Mealy (A. farinose [Boddaert 1783]) | Immature seeds | Predation of immature seeds while on trees | [12,13] |
| Fish 2 | |||
| Tambaqui (Colossoma macropomum [G. Cuvier, 1818]), | Mature seeds | Ingested when, following pyxidial dehiscence, seeds are floating on the surface of igapó waters as part of hydrochorous dispersal. | [23,24,25]; AA Barnett (unpublished data) |
| Pacu (Mylossoma sp.) | Mature seeds | Ingested | [23,24,25] |
| Pirapitinga (Piaractus brachypomus [G. Cuvier, 1818]) | Mature seeds | Ingested | [23,24,25] |
| Invertebrates | |||
| Freshwater sponges (Demospongiae) | Trunks below flood line | A generalist interaction as sponges also use many other trunks as a growth substrate. | [26,27] |
| Hunting spiders (Ancylometes sp. Pisauridae: possibly A. jau [28]). | Trunks just above the current waterline | A generalist interaction, as these arachnids also use many other trunks as resting and hunting substrates. | [28] |
| Ant (Dolichoderus bispinosus [Olivier, 1792]) | Developing pyxidia | Seen feeding on unidentified material on pyxidia surfaces (possibly exudate from insect boreholes). The species is aggressive, widespread and exclusively arboreal. | [29] |
| Clearwing moths (Carmenta sp[p], Sessidae)—caterpillars | Immature seeds 3 | Fed on reserves of developing seeds (contiguous feeding trails show individual caterpillars may feed on multiple seeds within pyxidium) | [12,30,31] 4 |
| Moths (four morpho-species)—caterpillars | Developing pyxidia | Found within the developing pyxidia | AA Barnett & RHP da Silva (unpublished data) |
| Seed weevil (Buchinae) | Developing pyxidia | Found within the developing pyxidia | AA Barnett & RHP da Silva (unpublished data) |
| Centipedes, woodlice, scorpions, pseudoscorpions, ants and beetles | Pyxidia with damaged and/or rotting seeds and partly broken excarp | Live in pyxidia | AA Barnett & RHP da Silva (unpublished data) |
| Wasps (Mischocyttarus spp.), and webs of three spider morphotypes | Non-abcissed bases of dehisced pyxidia | Inverted and shaped like umbrellas, these act as shelters for a wide variety of invertebrates 5, including nests (Mischocyttarus wasps) and webs (spiders) | AA Barnett (unpublished data) |
| Skipper butterflies (Hesperiidae, Lepidoptera)—caterpillars | Young leaves | Feeding | [30] |
| Stingless Bees (Melipona and Scaptotrigona spp.) | Pollen and nectar | Known to remove pollen from E. tenuifolia flowers, but may not be effective pollinators | [32] |
| Type of Plant | Interactions | Reference |
|---|---|---|
| Epiphytes | ||
| Wide-ranging, sun-tolerant species such as Philodendrum solimoesensis A.C. Sm (Arecaceae) and Aechmea mertensii (G. Mey.) Schult. & Schult.f (Bromeliaceae). | Pionus parrots and Saimiri monkeys seen eating infusctescences of P. solimoensis on E. tenuifolia. An unidentified hummingbird was seen visiting A. mertensii inflorescences on several occasions. Cacajao ouakary ate the leaf bases of A. mertensii—though it was unclear if this was for the succulent water-rich material there, or the larvae of Metamasius weevils known to inhabit these areas 7. | Barnett et al. (unpublished data) 7 [41] |
| Occasionally, Selenicereus wittii (Cactaceae) was seen, adpressed to the main trunk, but only above the highest water-mark. The water-dispersed orchid Galeandra devoniana M.R. Schomb. ex Lindl was also quite common on smaller specimens whose canopies were inundated annually. More shaded specimens had colonies of Codonanthopsis crassifolia (H. Focke) Chautems & M. Perret (Gesneriaceae), a creeping herb 8. | Selenicereus wittii is reported to be pollinated by Amphimoena and Cocytius hawkmoths 9, but no flowering individuals were found for confirmatory observation. Euglossine bees were seen visiting the flowers of G. devoniana, these are the putative pollinator of the species 10. Colonies of C. crassifolia are obligatly associated with colonies of Crematogaster longispina (Formicidae) 11, in whose nests they are rooted. Leaves were eaten by C. ouakary (who would rip of a part of the plant and eat it at a distance to avoid the ants) 12. Members of the genus are pollinated by small bees 13—this was confirmed by field observation, though taxa could not be captured for identification. | 8 [42,43] 9 [44] 10 [45] 11 [46] 12 [12] 13 [47] |
| Phoradendron poeppigii Van Tiegh.) Kuijt (Santalaceae) | Individuals of this mistletoe species were seen occasionally on E. tenuifolia trees. Immature inforescences were removed and eaten by C. ouakary. Euphonias and other small birds removed fruits. | [12] |
| Root parasites Helosis cayannensis (Sw.) Spreng. (Balenophoraceae) | When igapó was unflooded inflorescences and above-ground stypes of these obligate, but non-host specific, root parasites were seen close to E. tenuifolia trunks and exposed roots 14. Inflorescences were seen being visited by small flies (Tachninidae). These are considered the main pollinator in this genus 15, though weevils of the subtribe Oxycorynina (Belidae: Oxycoryninae), which are only found in association with Baleophoraceae, may also be involved 16. | 14 [48] 15 [49] 16 [50] |
| Study Area (See Map, Figure 4) | Study Type | Prediction Associated with | Year(s) | Number of Individual Trees Sampled |
|---|---|---|---|---|
| i (Seringalzinho) | Preliminary data on flower ontogeny and timing of nectar yields | 4 | 1999 | 12 (outside the 2006–2008 phenology plots) |
| ii (Patuá) | Number of inflorescences per canopy | X (supplementary data) | 2006–2008 | Counted for all 134 E. tenuifolia trees (of 137 present and above 10 cm DBH) 1 that flowered in 2007 |
| ii (Patuá) | Survivorship of flower buds to button stage of fruit production | 2 | 2006–2008 | Marked buds from the 130 trees in the phenological study plots that produced fruit |
| ii, iii (Patuá) | Collection of aborted buds and flowers | 2 | 2006–2008 | No specific trees involved; material collected ad libidum when encountered floating on water surface. |
| iii (Patuá) | Analysis of the extent of invertebrate infestation of flowers and flower buds | 1, 3 | 2006–2008 | 396 buds and 200 flowers from 11 trees outside the phenology study plots |
| Tree ID | DBH (cm) 1 | Canopy (Length × Height, in m) | Canopy Curved Surface Area (m2) 2 | Number of Inflorescences in 2007/2008 | Percentage Difference between Years |
|---|---|---|---|---|---|
| 1 | 114 | 3.5 × 1.5 | 19.23 | 46/13 | −71.7 |
| 2 | 78 | 2.8 × 2.5 | 12.31 | 5/-- | |
| 3 | 75 | 2.6 × 1.8 | 10.61 | 29/5 | −82.7 |
| 4 | 86 | 3.0 × 2.8 | 14.13 | 38/-- | |
| 5 | 48 | 1.8 × 2.1 | 5.09 | 17/2 | −88.2 |
| 6 | 66 | 2.6 × 2.0 | 10.61 | 31/8 | −74.2 |
| 7 | 53 | 2.7 × 2.1 | 11.45 | 28/-- | |
| 8 | 101 | 4.1 × 3.2 | 26.39 | 47/8 | −82.9 |
| 9 | 94 | 3.5 × 2.8 | 19.23 | 37/5 | −86.5 |
| 10 | 57 | 2.4 × 1.8 | 9.04 | 2/19 | +850.0 |
| 11 | 68 | 2.7 × 2.0 | 13.25 | 31/6 | −80.6 |
| 12 | 81 | 2.7 × 2.2 | 13.25 | 34/7 | −79.4 |
| 13 | 74 | 3.1 × 1.4 | 15.09 | 32/3 | −90.6 |
| 14 | 86 | 2.8 × 2.2 | 12.31 | 24/2 | −91.7 |
| 15 | 105 | 3.8 × 2.4 | 21.67 | 53/7 | −86.8 |
| Size Class (N) | Damage Category (N, % of class) | |||||
|---|---|---|---|---|---|---|
| A= Aborted U = Unaborted (from Tree) | No Obvious Damage | Light | Medium | Medium-Heavy | Heavy | |
| Stage 1 (27) | A | 5 (18.5%) | 15 (55.5%) | 7 (26.0%) | 0 (0.0%) | 0 (0.0%) |
| Stage 2 (10) | A | 0 (0.0%) | 0 (0.0%) | 8 (80.0%) | 2 (20.0%) | 0 (0.0%) |
| Stage 3 (15) | A | 0 (0.0%) | 0 (0.0%) | 0 (0.0%) | 11 (73.0%) | 4 (27.0%) |
| Stage 4 (34) | A | 0 (0.0%) | 0 (0.0%) | 2 (5.9%) | 17 (50.0%) | 15 (44.1%) |
| Stage 1 (150) | U | 107 (71.3%) | 39 (26.0%) | 4 (4.7%) | 0 (0.0%) | 0 (0.0%) |
| Stage 2 (121) | U | 23 (19.0%) | 86 (71.1%) | 12 (9.9%) | 0 (0.0%) | 0 (0.0%) |
| Stage 3 (88) | U | 10 (11.4%) | 56 (63.6%) | 20 (22.7%) | 2 (2.3%) | 0 (0.0%) |
| Stage 4 (37) | U | 23 (62.2%) | 10 (27.0%) | 3 (8.1%) | 1 (2.7%) | 0 (0.0%) |
| Stage 5 (53) | A | 3 (5.7%) | 15 (28.3%) | 26 (49.1%) | 7 (13.2%) | 2 (3.8%) |
| Stage 5 (200) | U | 54 (27.0%) | 127 (63.5%) | 18 (9.0%) | 1 (0.5%) | 0 (0.0%) |
Publisher’s Note: MDPI stays neutral with regard to jurisdictional claims in published maps and institutional affiliations. |
© 2020 by the authors. Licensee MDPI, Basel, Switzerland. This article is an open access article distributed under the terms and conditions of the Creative Commons Attribution (CC BY) license (http://creativecommons.org/licenses/by/4.0/).
Share and Cite
Barnett, A.A.; Boyle, S.A.; Kinap, N.M.; Santos-Barnett, T.C.d.; Camilo, T.T.; Parolin, P.; Fernandez Piedade, M.T.; Bezerra, B.M. Buds, Bugs and Bienniality: The Floral Biology of Eschweilera tenuifolia (O. Berg) Miers in a Black-Water Flooded Forest, Central Amazonia. Forests 2020, 11, 1251. https://doi.org/10.3390/f11121251
Barnett AA, Boyle SA, Kinap NM, Santos-Barnett TCd, Camilo TT, Parolin P, Fernandez Piedade MT, Bezerra BM. Buds, Bugs and Bienniality: The Floral Biology of Eschweilera tenuifolia (O. Berg) Miers in a Black-Water Flooded Forest, Central Amazonia. Forests. 2020; 11(12):1251. https://doi.org/10.3390/f11121251
Chicago/Turabian StyleBarnett, Adrian A., Sarah A. Boyle, Natalia M. Kinap, Tereza Cristina dos Santos-Barnett, Thiago Tuma Camilo, Pia Parolin, Maria Teresa Fernandez Piedade, and Bruna M. Bezerra. 2020. "Buds, Bugs and Bienniality: The Floral Biology of Eschweilera tenuifolia (O. Berg) Miers in a Black-Water Flooded Forest, Central Amazonia" Forests 11, no. 12: 1251. https://doi.org/10.3390/f11121251
APA StyleBarnett, A. A., Boyle, S. A., Kinap, N. M., Santos-Barnett, T. C. d., Camilo, T. T., Parolin, P., Fernandez Piedade, M. T., & Bezerra, B. M. (2020). Buds, Bugs and Bienniality: The Floral Biology of Eschweilera tenuifolia (O. Berg) Miers in a Black-Water Flooded Forest, Central Amazonia. Forests, 11(12), 1251. https://doi.org/10.3390/f11121251

