Relationship between Remotely Sensed Ambient PM10 and PM2.5 and Urban Forest in Seoul, South Korea
Abstract
1. Introduction
2. Materials and Methods
2.1. Study Area
2.2. Data Collection
2.2.1. Urban Forest Buffer
2.2.2. Satellite Imagery Data
2.2.3. PM and Meteorological Data
2.3. Data Analysis
2.3.1. Satellite Imagery-Based PM-Estimation Modeling
2.3.2. Comparison between Urban Forest and PM Measurement
2.3.3. Comparison between Urban Forest Size and PM Estimates
3. Results
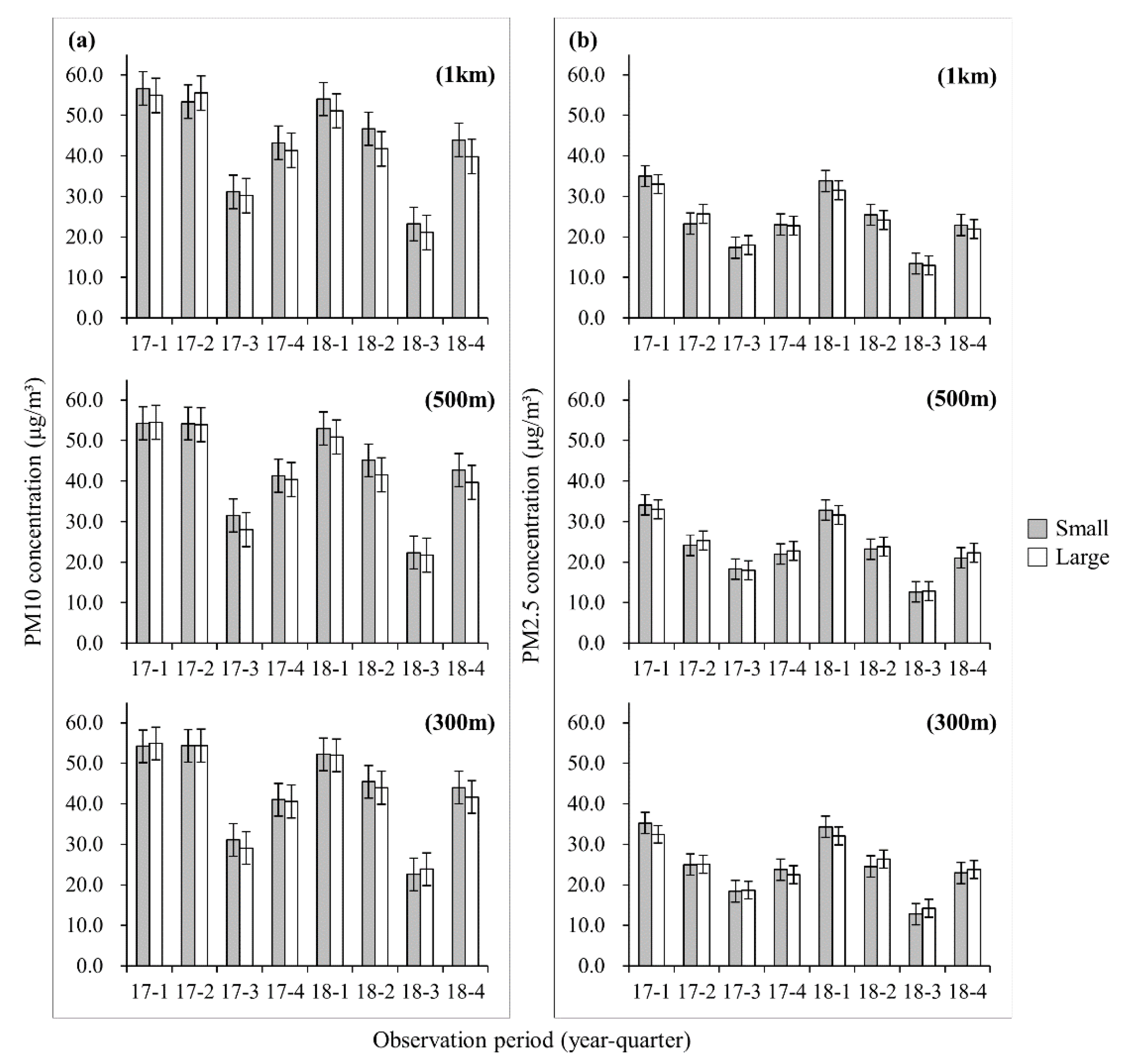
3.1. Urban Forest Characteristics and PM Measurements
3.2. Urban Forest Size and PM Estimates
4. Discussion
5. Conclusions
Author Contributions
Funding
Conflicts of Interest
References
- IPCC. Climate Change 2014: Mitigation of Climate Change. In Contribution of Working Group III to the Fifth Assessment Report of the Intergovernmental Panel on Climate Change; Cambridge University Press: Cambridge, UK; New York, NY, USA, 2014. [Google Scholar]
- WHO (World Health Organization). 2016 Ambient Air Pollution: A Global Assessment of Exposure and Burden of Disease. 2019. Available online: https://apps.who.int/iris/handle/10665/250141 (accessed on 10 September 2019).
- Kim, S.K.; Lee, E. Spatial injustice of particulate matter: The case of California. Int. J. Urban Sci. 2019, 23, 484–497. [Google Scholar] [CrossRef]
- Nam, K.-M.; Li, M.; Wang, Y.; Wong, K.K.H. Spatio-temporal boundary effects on pollution-health costs estimation: The case of PM2.5 pollution in Hong Kong. Int. J. Urban Sci. 2019, 23, 498–518. [Google Scholar] [CrossRef]
- Cavanagh, J.; Zawar-Reza, P.; Wilson, J. Spatial attenuation of ambient particulate matters air pollution within an urbanised native forest patch. Urban For. Urban Green. 2009, 8, 21–30. [Google Scholar] [CrossRef]
- Dzierzanowski, K.; Popek, R.; Gawrońska, H.; Sæbø, A.; Gawronski, S. Deposition of particulate matter of different size fractions on leaf surfaces and in waxes of urban forest species. Int. J. Phytoremediat. 2011, 13, 1037–1046. [Google Scholar] [CrossRef] [PubMed]
- Nowak, D.J.; Hirabayashi, S.; Doyle, M.; McGovern, M.; Pasher, J. Air pollution removal by urban forests in Canada and its effect on air quality and human health. Urban For. Urban Green. 2018, 29, 40–48. [Google Scholar] [CrossRef]
- Salmond, J.; Williams, D.; Laing, G.; Kingham, S.; Dirks, K.; Longley, I.; Henshaw, G.S. The influence of vegetation on the horizontal and vertical distribution of pollutants in a street canyon. Sci. Total Environ. 2013, 443, 287–298. [Google Scholar] [CrossRef] [PubMed]
- Suder, A.; Szymanowski, M. Determination of ventilation channels in urban area: A case study of Wrocaw. Pure Appl. Geophys. 2014, 171, 965–975. (In Poland) [Google Scholar] [CrossRef]
- Lee, P.S.; Mackey, B. Development of a bird habitat resource classification scheme based on vegetation structure analysis. Curr. Sci. 2018, 115, 2307–2315. [Google Scholar] [CrossRef]
- Lee, P.S.; Jeong, C. Influence of vegetation cover in Seoul forest on PM10 concentration in Seoul, South Korea. Asia Life Sci. 2019, 18, 1–11. [Google Scholar]
- Kumar, N.; Chu, A.; Foster, A. An empirical relationship between PM2.5 and aerosol optical depth in Delhi metropolitan. Atmos. Environ. 2007, 41, 4492–4503. [Google Scholar] [CrossRef]
- Tian, J.; Chen, D. Spectral, spatial, and temporal sensitivity of correlating MODIS aerosol optical depth with ground-based fine particulate matter (PM2.5) across southern Ontario. Can. J. Remote Sens. 2010, 36, 119–128. [Google Scholar] [CrossRef]
- Levy, R.; Mattoo, S.; Munchak, L.; Remer, L.; Sayer, A.; Hsu, N. The collection 6 MODIS aerosol products over land and ocean. Atmos. Meas. 2013, 6, 2989–3034. [Google Scholar] [CrossRef]
- Remer, L.A.; Mattoo, S.; Levy, R.C.; Munchak, L.A. MODIS 3 km aerosol product: Algorithm and global perspective. Atmos. Meas. 2013, 6, 69–112. [Google Scholar] [CrossRef]
- Remer, L.A.; Kleidman, R.G.; Levy, R.C.; Kaufman, Y.J.; Tanré, D.; Mattoo, S.; Martins, J.V.; Ichoku, C.; Koren, I.; Yu, H.; et al. Global aerosol climatology from the MODIS satellite sensors. J. Geophys. Res. Atmos. 2008, 113, 1–18. [Google Scholar] [CrossRef]
- Munchak, L.; Levy, R.; Mattoo, S.; Remer, L.; Holben, B.; Schafer, J.; Hostetler, C.; Ferrare, R. MODIS 3 km aerosol product: Applications over land in an urban/suburban region. Atmos. Meas. Tech. 2013, 6, 1747–1759. [Google Scholar] [CrossRef]
- Nadzri, O.; Mat Jafri, M.Z.; Lim, H.S. Estimating particulate matter concentration over arid region using satellite remote sensing: A case study in Makkah, Saudi Arabia. Mod. Appl. Sci. 2010, 4, 131–142. [Google Scholar] [CrossRef]
- Saleh, S.A.H.; Hasan, G. Estimation of PM10 concentration using ground measurements and Landsat 8 OLI satellite image. J. Geophys. Remote Sens. 2014, 3, 2169. [Google Scholar] [CrossRef]
- Sun, L.; Wei, J.; Bilal, M.; Tian, X.; Jia, C.; Guo, Y.; Mi, X. Aerosol optical depth retrieval over bright areas using Landsat 8 OLI images. Remote Sens. 2016, 23, 23. [Google Scholar] [CrossRef]
- Yun, G.; Zuo, S.; Dai, S.; Song, X.; Xu, C.; Liao, Y.; Zhao, P.; Chang, W.; Chen, Q.; Li, Y.; et al. Individual and interactive influences of anthropogenic and ecological factors on forest PM2.5 concentrations at an urban scale. Remote Sens. 2018, 10, 521. [Google Scholar] [CrossRef]
- Lee, -S.; Park, -J. Correlation between urban forest and satellite-borne imagery-based ambient particulate matter across Seoul, South Korea. J. Agri. Life Environ. Sci. 2019, 53, 1–11. [Google Scholar] [CrossRef]
- NIER (National Institute of Environmental Research). 2015 Megacity Air Pollution Studies—Seoul (MAPS-Seoul). Available online: https://espo.nasa.gov/sites/default/files/document-s/MAPS-Seoul_White%20Paper_26%20Feb%202015_Final.pdf (accessed on 20 August 2019).
- KOSIS (Korean Statistical Information Service). 2018 Administrative Division Statistics. Available online: http://kosis.kr/statHtml/statHtml.do?orgId=101&tblId=DT_1ZGA17&conn_p-ath=I2 (accessed on 12 September 2019).
- Wybe, K. The nature of urban Seoul: Potential vegetation derived from the soil map. Int. J. Urban Sci. 2013, 17, 95–108. [Google Scholar] [CrossRef]
- Seoul Metropolitan Government. 2019 Seoul City Green Space Geospatial Information (Datum: ITRF2000). Available online: http://data.seoul.go.kr/dataList/datasetView.do?infId=OA-13163&srvType=S&serviceKind=1¤tPageNo=1 (accessed on 22 August 2019).
- AirKorea. 2019 Ambient Air Quality Data Archive. 2019. Available online: https://www.airkorea.or.kr/web/last_amb_hour_data (accessed on 6 August 2019).
- Choi, J.; Lee, S.; Ji, S.; Jeong, J.; Lee, P.S. Landscape analysis to assess the impact of development projects on forests. Sustainability 2016, 8, 1012. [Google Scholar] [CrossRef]
- Moran, M.S.; Jackson, R.D. Evaluation of simplified procedures for retrieval of land surface reflectance factors from satellite sensor output. Remote Sens. Environ. 1992, 41, 169–184. [Google Scholar] [CrossRef]
- Chavez, J.P. Image-based atmospheric corrections—Revisited and improved. Photogramm. Eng. Rem. Sens. 1996, 62, 1025–1036. [Google Scholar]
- Sobrino, J.; Jimenez-Munoz, J.; Paolini, L. Land surface temperature retrieval from LANDSAT TM 5. Remote Sens. Environ. 2004, 90, 434–440. [Google Scholar] [CrossRef]
- Pypker, T.G.; Unsworth, M.H.; Lamb, B.; Allwine, E.; Edurg, S.; Sulzman, E.; Mix, A.C.; Bond, B.J. Cold air drainage in a forested valley: Investigating the feasibility of monitoring ecosystem metabolism. Agric. For. Meteorol. 2007, 145, 149–166. [Google Scholar] [CrossRef]
- Van Donkelaar, A.; Martin, R.V.; Brauer, M.; Boys, B.L. Use of satellite observations for long-term exposure assessment of global concentrations of fine particulate matter. Environ. Health Perspect. 2015, 123, 135–143. [Google Scholar] [CrossRef]
- Chudnovsky, A.; Koutrakis, P.; Kloog, I.; Melly, S.; Nordio, F.; Lyapustin, A.; Wang, Y.; Schwartz, J. Fine particulate matter predictions using high resolution Aerosol Optical Depth (AOD) retrievals. Atmos. Environ. 2014, 89, 189–198. [Google Scholar] [CrossRef]
- Seo, S.; Kim, J.; Lee, H.; Jeong, U.; Kim, W.; Holben, B.; Kim, S.W.; Song, C.; Lim, J. Estimation of PM10 concentrations over Seoul using multiple empirical models with AERONET and MODIS data collected during the DRAGON-Asia campaign. Atmos. Chem. Phys. 2015, 15, 319–334. [Google Scholar] [CrossRef]
- Chew, B.N.; Campbell, J.; Hyer, E.; Salinas, S.; Reid, J.; Welton, E.; Holben, B.; Liew, S.C. Relationship between aerosol optical depth and particulate matter over Singapore: Effects of aerosol vertical distributions. Aerosol Air Qual. Res. 2016, 16, 2818–2830. [Google Scholar] [CrossRef]
- Chen, W.; Fan, A.; Yan, L. Performance of MODIS C6 aerosol product during frequent haze-fog events: A case study of Beijing. Remote Sens. 2017, 9, 496. [Google Scholar] [CrossRef]












| Rank | Domain Name and Forest Size (ha) | |||||
|---|---|---|---|---|---|---|
| 1 km in Radius | 500 m in Radius | 300 m in Radius | ||||
| L1 | Eunpyeong-gu | 138.93 | Eunpyeong-gu | 26.95 | Dobong-gu | 10.30 |
| L2 | Seodaemun-gu | 114.52 | Dobong-gu | 21.79 | Yangcheon-gu | 4.35 |
| L3 | Jungrang-gu | 92.00 | Yangcheon-gu | 18.06 | Eunpyeong-gu | 4.16 |
| L4 | Yangcheon-gu | 62.19 | Jungrang-gu | 11.66 | Jung-gu | 3.57 |
| L5 | Seocho-gu | 61.12 | Seocho-gu | 7.28 | Seodaemun-gu | 1.57 |
| L6 | Jongno-gu | 50.93 | Jung-gu | 6.77 | Yeongdeungpo-gu | 1.12 |
| S6 | Mapo-gu | 9.85 | Seongbuk-gu | 0.65 | Gwanak-gu | 0.10 |
| S5 | Dongdaemun-gu | 7.24 | Gangseo-gu | 0.62 | Gangnam-gu | 0.09 |
| S4 | Yeongdeungpo-gu | 6.06 | Gangbuk-gu | 0.49 | Mapo-gu | 0.07 |
| S3 | Gwangjin-gu | 5.71 | Gangdong-gu | 0.39 | Gangdong-gu | 0.0001 |
| S2 | Gangdong-gu | 5.69 | Mapo-gu | 0.18 | Nowon-gu | 0 |
| S1 | Guro-gu | 1.92 | Guro-gu | 0.0005 | Guro-gu | 0 |
| Date | Particle Size | Model Factor 1 | Multiple Linear Regression Model 2 | Model 3 r2 | CV 4 r |
|---|---|---|---|---|---|
| 01/11/ 2018 | PM10 | b2, b3, b4, T, WS | 69.619 + 443.281(b2) − 612.92(b3) + 87.575(b4) − 2.333(T) + 6.81(WS) | 0.52 | 0.58 |
| b2, b3, b5, T, WS | 74.207 + 427.971(b2) − 509.838(b3) + 115.855(b5) − 2.597(T) + 5.179(WS) | 0.47 | 0.65 | ||
| b2, b3, b6, T, WS | 90.817 + 362.009(b2) − 346.719(b3) − 609.48(b6) − 1.574(T) + 5.752(WS) | 0.49 | 0.57 | ||
| b2, b4, b5, T, WS | 196.118 − 183.203(b2) − 0.705(b4) − 306.947(b5) − 3.851(T) + 6.089(WS) | 0.31 | 0.72 | ||
| b2, b4, b6, T, WS | 137.704 + 17.402(b2) + 33.539(b4) − 1209.786(b6) − 1.341(T) + 6.058(WS) | 0.43 | 0.53 | ||
| b2, b5, b6, T, WS | 128.472 + 60.404(b2) + 95.867(b5) − 1220.361(b6) − 1.337(T) + 5.298(WS) | 0.43 | 0.58 | ||
| b3, b4, b5, T, WS | 160.387 − 263.841(b3) + 66.446(b4) − 58.854(b5) − 3.685(T) + 7.016(WS) | 0.43 | 0.72 | ||
| b3, b4, b6, T, WS | 154.083 − 145.602(b3) + 68.604(b4) − 702.261(b6) − 2.457(T) + 7.06(WS) | 0.46 | 0.68 | ||
| b3, b5, b6, T, WS | 159.928 − 66.754(b3) + 6.999(b5) − 710.708(b6) − 2.527(T) + 6.033(WS) | 0.43 | 0.71 | ||
| PM2.5 | b2, b3, b5, RH | 66.387 − 237.641(b2) − 334.264(b3) + 1948.826(b5) + 0.724(RH) | 0.75 | −0.36 | |
| b2, b3, b6, RH | 4.002 + 436.049(b2) − 347.258(b3) − 438.103(b6) + 0.108(RH) | 0.62 | 0.74 | ||
| b2, b3, b7, RH | 0.786 + 401.946(b2) − 333.554(b3) − 362.822(b7) + 0.199(RH) | 0.62 | 0.64 | ||
| b2, b5, b6, RH | 128.108 − 620.062(b2) + 2364.853(b5) − 741.748(b6) + 0.848(RH) | 0.69 | −0.34 | ||
| b2, b5, b7, RH | 108.57 − 634.228(b2) + 2545.059(b5) − 796.319(b7) + 1.057(RH) | 0.73 | −0.33 | ||
| b2, b6, b7, RH | 66.012 − 69.825(b2) + 631.316(b6) − 1003.129(b7) + 0.445(RH) | 0.49 | 0.22 | ||
| b3, b5, b6, RH | 29.774 − 363.671(b3) + 2047.937(b5) − 734.33(b6) + 0.636(RH) | 0.81 | −0.29 | ||
| b3, b5, b7, RH | 12.804 − 358.305(b3) + 2049.099(b5) − 700.698(b7) + 0.79(RH) | 0.82 | −0.27 | ||
| b3, b6, b7, RH | 65.675 − 125.907(b3) + 567.452(b6) − 643.61(b7) + 0.368(RH) | 0.55 | 0.08 | ||
| 19/12/ 2018 | PM10 | b2, b3, b4, T, WS | 106.101 + 5862.422(b2) − 11,064.246(b3) + 5151.479(b4) + 3.038(T) − 4.99(WS) | 0.39 | 0.12 |
| b2, b3, b5, T, WS | −543.486 + 11,593.943(b2) − 10,609.35(b3) + 1587.283(b5) + 1.379(T) − 4.683(WS) | 0.32 | −0.61 | ||
| b2, b3, b6, T, WS | −335.951 + 11,951.049(b2) − 12,797.988(b3) + 2291.272(b6) + 0.717(T) − 2.898(WS) | 0.42 | −0.10 | ||
| b2, b4, b5, T, WS | 572.171 − 4997.01(b2) + 4047.227(b4) − 1062.735(b5) + 3.858(T) − 5.009(WS) | 0.21 | 0.74 | ||
| b2, b4, b6, T, WS | 313.473 − 2054.492(b2) + 1078.521 (b4) + 169.051(b6) + 3.097(T) − 4.594(WS) | 0.18 | 0.15 | ||
| b2, b5, b6, T, WS | 287.96 − 1696.772(b2) − 1466.948(b5) + 1974.105(b6) + 2.06(T) − 3.28(WS) | 0.22 | 0.31 | ||
| b3, b4, b5, T, WS | 564.654 − 7488.4(b3) + 6429.208(b4) − 741.959(b5) + 4.079(T) − 4.943(WS) | 0.36 | 0.57 | ||
| b3, b4, b6, T, WS | 656.526 − 6567.556(b3) + 4409.462(b4) + 335.742(b6) + 4.076(T) − 4.239(WS) | 0.34 | 0.71 | ||
| b3, b5, b6, T, WS | 425.614 − 2818.664(b3) − 1593.465(b5) + 2801.023(b6) + 2.043(T) − 2.312(WS) | 0.29 | 0.37 | ||
| PM2.5 | b2, b3, b5, RH | 174.857 + 20,099.076(b2) − 22,805.747(b3) + 4115.745(b5) − 0.349(RH) | 0.63 | 0.24 | |
| b2, b3, b6, RH | 217.363 + 9422.702(b2) − 11,067.877(b3) + 1369.947(b6) − 0.507(RH) | 0.42 | 0.41 | ||
| b2, b3, b7, RH | 245.43 + 11,082.797(b2) − 14,693.74(b3) + 3212.461(b7) − 0.576(RH) | 0.62 | 0.50 | ||
| b2, b5, b6, RH | 2334.357 − 6073.689(b2) + 3864.697(b5) − 3414.19(b6) − 0.076(RH) | 0.44 | 0.02 | ||
| b2, b5, b7, RH | 1163.598 − 4689.684(b2) − 1999.107(b5) + 2599.74(b7) − 0.501(RH) | 0.40 | 0.62 | ||
| b2, b6, b7, RH | 1854.392 − 7026.391(b2) − 3469.525(b6) + 4909.423(b7) − 0.41(RH) | 0.59 | 0.48 | ||
| b3, b5, b6, RH | 2306.45 − 6725.231(b3) + 5582.48(b5) − 3697.728(b6) − 0.165(RH) | 0.57 | 0.05 | ||
| b3, b5, b7, RH | 1153.013 − 5317.508(b3) − 833.566(b5) + 2586.258(b7) − 0.619(RH) | 0.50 | 0.59 | ||
| b3, b6, b7, RH | 1292.691 − 6160.21(b3) − 2528.501(b6) + 4919.066(b7) − 0.526(RH) | 0.65 | 0.54 |
© 2020 by the authors. Licensee MDPI, Basel, Switzerland. This article is an open access article distributed under the terms and conditions of the Creative Commons Attribution (CC BY) license (http://creativecommons.org/licenses/by/4.0/).
Share and Cite
Park, J.; Lee, P.S.-H. Relationship between Remotely Sensed Ambient PM10 and PM2.5 and Urban Forest in Seoul, South Korea. Forests 2020, 11, 1060. https://doi.org/10.3390/f11101060
Park J, Lee PS-H. Relationship between Remotely Sensed Ambient PM10 and PM2.5 and Urban Forest in Seoul, South Korea. Forests. 2020; 11(10):1060. https://doi.org/10.3390/f11101060
Chicago/Turabian StylePark, Jincheol, and Peter Sang-Hoon Lee. 2020. "Relationship between Remotely Sensed Ambient PM10 and PM2.5 and Urban Forest in Seoul, South Korea" Forests 11, no. 10: 1060. https://doi.org/10.3390/f11101060
APA StylePark, J., & Lee, P. S.-H. (2020). Relationship between Remotely Sensed Ambient PM10 and PM2.5 and Urban Forest in Seoul, South Korea. Forests, 11(10), 1060. https://doi.org/10.3390/f11101060

