Abstract
Plant functioning and survival in drylands are affected by the combination of high solar radiation, high temperatures, low relative humidity, and the scarcity of available water. Many ecophysiological studies have dealt with the adaptation of plants to cope with these stresses in hot deserts, which are the territories that have better evoked the idea of a dryland. Nevertheless, drylands can also be found in some other areas of the Earth that are under the Mediterranean-type climates, which imposes a strong aridity during summer. In this review, plant species from hot deserts and Mediterranean-type climates serve as examples for describing and analyzing the different responses of trees and shrubs to aridity in drylands, with special emphasis on the structural and functional adaptations of plants to avoid the negative effects of high temperatures under drought conditions. First, we analyze the adaptations of plants to reduce the input of energy by diminishing the absorbed solar radiation through (i) modifications of leaf angle and (ii) changes in leaf optical properties. Afterwards, we analyze several strategies that enhance the ability for heat dissipation through (i) leaf size reduction and changes in leaf shape (e.g., through lobed leaves), and (ii) increased transpiration rates (i.e., water-spender strategy), with negative consequences in terms of photosynthetic capacity and water consumption, respectively. Finally, we also discuss the alternative strategy showed by water-saver plants, a common drought resistance strategy in hot and dry environments that reduces water consumption at the expense of diminishing the ability for leaf cooling. In conclusion, trees and shrubs living in drylands have developed effective functional adaptations to cope with the combination of high temperature and water scarcity, all of them with clear benefits for plant functioning and survival, but also with different costs concerning water use, carbon gain, and/or leaf cooling.
1. Introduction
The pioneer work by Schimper [1] (first published in German in 1898), stated the whole circumstances that define the conditions for plant life in deserts, when he wrote, “the vegetative periods depend on the heat, which increases the injurious effects of drought and therefore brings plant-life to a state of rest at the time of its maximum. The atmospheric dryness acts in the same manner as the heat, and is usually much greater in deserts than in woodland and grassland districts”. This idea encouraged subsequent studies about the physiology of desert plants, where high solar radiation (and its consequences on leaf thermal balance), the scarcity of available water and the low relative humidity were still considered the main stresses affecting plant functioning and survival [2,3] in the so-called “drylands” [4].
In fact, climatologists early stated that precipitation alone is not enough to estimate the amount of water need for the sustainability of plant life in a territory (see Quan et al. [5] and references therein). In order to estimate such requirement, water input via precipitation must compensate for water losses via evaporation and plant transpiration [6]. Aridity, or the scarcity in available water for an optimal plant life [5], is the consequence of an unbalance where water input is lower than potential water output. It is worth noting that other environmental situations can also induce a similar water unbalance. This is the case of the “physiological drought” induced by the impairing of root water uptake during the coldest months due to low soil temperature or the existence of frozen soils [7]. Although this circumstance has a critical importance in the configuration of the latitudinal and altitudinal vegetation belts of the world, as it limits the vegetative period and even the survival of forest trees in cold climates [8], their functional analysis should be the matter of another review.
Early aridity indexes were proposed during the first decades of the 20th century by Lang, Köppen or De Martonne, mainly based on the ratio between mean annual precipitation and mean annual temperature, although with some differences among them [5]. However, the measure of the unbalance between the water input via precipitation (P) and the potential water output to the atmosphere via direct evaporation and plant transpiration has been a preferred way to estimate aridity during the last decades [9,10,11]. Thus, the use of “potential evapotranspiration” (PET), a concept born in the first half of the 20th century from the independent contributions to climatology and meteorology of Thornthwaite and Penman [12], allows the incorporation of the water losses by direct evaporation and plant transpiration, assuming unlimited water availability for plants. The value of PET for a given territory is estimated with the FAO Penman–Monteith equation [13], using solar radiation, vapor pressure deficit, air temperature, and wind as the main meteorological variables [14]. So, a dry and hot atmosphere under a regime of high solar radiation would promote a high value of PET that clearly imposes a limitation of water availability for plants, which in some extent evokes the words of Schimper [1] above cited.
From this approach, we now have a more accurate way to define aridity through different drought indicators, such as the standardized precipitation index (SPI), the standardized precipitation evapotranspiration index (SPEI) [15], and the so-called “Aridity Index” (AI) as the ratio between P and PET [10,16]. Safriel et al. [4] considered that all areas where AI falls below 0.65 can be considered drylands, typifying different aridity regimes according to the value of AI, namely Hyperarid (AI < 0.05), Arid (0.05 < AI < 0.20), semi-Arid (0.20 < AI < 0.5) or Dry Subhumid (0.50 < AI < 0.65). These authors also stated that drylands, in their different regimes of aridity, accounts for more than 40% of the land surface. However, this value is probably rising due to the global warming, so it must be continuously under review [17,18,19]. Moreover, the continuous degradation of soils, which has affected many areas in southern Europe throughout the last millennia [16], increases the aridity of a territory due to the negative effect on soil water storage capacity [20].
Hot deserts are the territories that had better evoked the idea of a dryland. These areas are under BWh climate in the Köppen classification [21] and with AI values typically within the ranges of Hyperarid or Arid regimes [4,16]. These extreme drylands, with the great Sahara desert as the paradigm in terms of territorial area (around 9 million km2), are typically distributed in subtropical areas (ca. 30° north and south latitude) under the effect of the downward branch of the Hadley cell, which promotes the descend of dry air and high atmospheric pressure [16]. Low rainfall and high levels of insolation, accentuated by the high solar angles at these latitudes, are climatic consequences of the atmospheric stability. The plant life is scarce or even non-existent in most of the Sahara Desert due to the extreme combination of heat and drought. In spite of this, there are plant species adapted to these harsh conditions, including tree species as the Laperrine’s olive tree (Olea europaea L. subsp. laperrinei (Battandier and Trabut) Cif.), inhabiting very dry areas in the Saharan Mountains [22]. Many other deserts are not associated to this global atmospheric phenomenon, but with the existence of severe “rain shadow” effect in high mountain ranges at latitudes higher than the typical of the subtropical drylands. In this case, dry and warm Foehn winds, going down-slope in the leeward side of high mountains, can explain the Mojave and Sonoran Deserts of the United States and Mexico or the Patagonian Desert in South America. Finally, the distance from the water provided by oceanic masses can also induce the development of extreme arid areas, being an example of this last situation the Gobi Desert in Central Asia. The adaptation of plants to cope with heat, drought and high solar radiation in these habitats has been a matter of many ecophysiological studies, such as those performed in different drought-deciduous shrubs species of genus Encelia L. with different pattern of leaf pubescence (see Section 3.1 and Section 3.4 in this review).
Nevertheless, not only deserts impose stressful situations for plants due to combination of drought and high air temperatures. Some other areas of the Earth are under the so-called “Mediterranean-type climates”, a special climatic type that imposes a strong aridity during summer, when the maximum in air temperatures coincides with the minimum seasonal precipitation, which is usually lower than the 20% of the total annual received [23,24]. The atmospheric stability during summer in Mediterranean-type climates induces low precipitation due to the shift of the subtropical high-pressure cells in this period of the year. It should be pointed out that the existence of aridity during the thermally favorable period is the main differential feature of this type of climate. This singularity explains why the Mediterranean-type climate and its associated vegetation has deserved its own phytoclimatic identity by different geobotanists [1,25,26], in spite of its relatively small geographical extension on a global scale. The limitations for plant life imposed by the existence of summer aridity under Mediterranean-type climates have been documented since the early geobotanical studies (see Gil-Pelegrín et al. [27] and references therein). In this way, some sub-types of the Mediterranean-type climates can induce extreme aridity conditions during summer, as those found in the southeastern areas of the Iberian Peninsula or in the Ebro Basin (http://www.fao.org/in-action/global-forest-survey/activities/gfs-global-drylands-assessment/es/). In these areas the evergreen forests dominated by Quercus ilex subsp. ballota (Desf.) Samp. are mostly replaced by shrublands, where Quercus coccifera L. is the only oak species that is able to cope with this extreme summer drought. Several studies have evidenced the particular physiological adaptations in Q. coccifera to cope with water deficit [28,29,30,31]. At the other extreme of the Mediterranean-type climates, there are also other sub-types in transition to temperate climates [32,33] where winter deciduous Mediterranean oaks can dominate the landscape provided the existence of well-developed soils [34]. Although the environmental conditions where the so-called “submediterranean oaks” inhabit are far from the extreme aridity conditions above mentioned, these winter deciduous Mediterranean oaks have also to cope with hot and drought during summer [34,35].
Throughout this review, all these plant species here introduced will serve as examples for describing and analyzing the different responses of trees and shrubs to aridity in drylands, with special emphasis on the structural and functional adaptations of plants to mitigate the negative effects of high temperatures under drought conditions.
2. Plant Strategies to Cope with Drought
As stated in the Introduction, drylands are strongly limited by intense drought periods that in combination with very high temperatures produce significant levels of stress to the plants living in such ecosystems. Functional strategies of drought resistance developed by species in the context of multiple stress factors have been the subject of many studies. Levitt [36] was the first who clearly established different “strategies”, with their associated functional traits, that a plant can develop to cope with drought and other stresses. The extreme clarity of the classification that allows the comparison of the different plant functioning in water limited environments, has promoted its extensive use in comparative ecophysiological studies [37,38,39]. The Levitt’s classification is not the only way to classify the response of plants to cope with water stress. There are other classifications [40,41,42,43], with the multi-scale framework subjected by Volaire [44] as a very recent example (Table 1). The relative importance of such strategies relies on the fact that they explain and give a functional interpretation at whole plant level as general responses to stress such as drought, temperature, or radiation [41,45]. Knowledge of mechanisms to cope with stress allows us to understand the processes involved in the adaptation and acclimatization of plants to a determined environment, which would be a key factor for their survival under climate changing conditions [46].
Table 1.
Nomenclature of strategies for coping with drought. The response of plants to water deficit has been classified and named in various ways according to the different authors, although many of them are equivalent. The equivalences of the most used terms and classifications are shown here. From Valladares et al. [45] with modifications.
In general, plant resistance to drought relies on two hypothetical contrasting physiological approaches: (i) drought avoidance as a mechanism to avoid dehydration effects at cellular and plant level, and (ii) drought tolerance as a mechanism that would allow plants to tolerate the damage associated to dehydration affecting cells and the global plant functionality (Figure 1). Although both strategies are well characterized, they should be understood as two ends of a continuous where the mechanisms operating in each strategy are mixed depending on the species [38,44,47]. There is a third strategy: drought scape strategy (Figure 1), sometimes not considered as a proper strategy. This strategy is utilized by certain species that finish their vegetative cycle before the drought stress period starts such as therophytic plants, but also plants that have vegetative dormancy during this period such as drought deciduous species (e.g., Cistus sp., Periploca sp., and Withania sp.) and also some rhizomatous herbs like Brachypodium retusum (Pers.) Beauv. and Stipa tenacissima L.
Figure 1.
Plant strategies to cope with drought.
In this review, we will focus on the drought avoidance strategy, which is further analyzed in terms of the adaptations of plants to mitigate the negative effects of high temperatures under drought conditions (see Section 3). The drought avoidance strategy is based on maintaining appropriate hydration of tissues and cells under conditions of water deficiency. Species following this strategy can either reduce water loss by closing stomata early (i.e., water saver plants) or increase water absorption (e.g., deep root systems) and maintain high rates of stomatal conductance and transpiration (i.e., water spender plants) (Figure 1). Both mechanisms keep plants in the turgor state, with relatively high water potentials. In the water saver strategy, plants minimize water losses by rapid stomata closure, high sensitivity to slight decreases in tissue water content or water potential, low maximum values of stomatal conductance (gs,max) and small leaves, all of them mechanisms focused to reduce water lost (Figure 1). In the water spender strategy, plants prevent or minimize the penetration of stress into their tissues by maximizing water absorption and having high rates of transpiration to be in equilibrium with the environment (Figure 1). These latter species are generally more productive, have mechanisms that allow them to extract water efficiently from the substrate, and have high internal hydraulic conductivity to quickly supply the entire aerial part of the plant (Figure 1). This gives them great competitiveness, but it is not always a viable strategy in dry environments, particularly when the lack of water is chronic. When water deficit conditions are accentuated, water spenders cannot maintain high rates of transpiration, and either they become savers, or they would be in high risk of mortality.
3. Plant Adaptations to Cope with High Temperatures under Drought Conditions
Periods of water scarcity also take place in other environmental situations outside the drylands, as in tropical rainforests [48], temperate deciduous forests [49,50], or in cold steppes [7]. However, as stated in the Introduction, the combination of drought and heat stress is a unique feature of the drylands.
In addition to its combined effect with drought, heat stress by itself adversely affects both biochemical and physiological processes at leaf level [51], and can cause damage to all membranes (especially the thylakoids in the photosynthetic apparatus), electrolyte leakage, and even leaf necrosis when critical temperatures are reached [52,53]. Dreyer et al. [54] established that the upper limit of viable leaf temperatures was ca. 47 °C. More recently, Leon-Garcia and Lasso [55] stated that physiological heat tolerance is a conserved trait, with a general threshold value ca. 50 °C for C3 plants. Apart from irreversible thermal damage, the effect of sub-optimal temperatures in plant functioning has also to be considered. One of the most heat sensitive part of the leaf is the photosynthetic apparatus, because carbon assimilation is usually suppressed before other cell functions are impaired under high leaf temperatures [56]. Specifically, different studies have reported a depletion of photosystem II activity by heat stress associated with increased lipid fluidity of the thylakoid membranes at high temperatures [57,58]. Moreover, increased biochemical limitations to photosynthesis under heat stress has been predominantly attributed to the inhibition of Rubisco activase, a stromal enzyme that plays a crucial role in the activation of Rubisco [59]. In this sense, Haldimann and Feller [56] reported that Quercus pubescens Willd. showed a strong inhibition of carbon assimilation (90%) together with a reduction of the Rubisco activation state at elevated leaf temperatures (45 °C).
Heat stress can also affect negatively plant survival through its effect on the properties of leaf cuticle, a hydrophobic surface layer that acts as a barrier against water loss under the severe drying conditions of the atmosphere [60,61,62]. In fact, Yeats and Rose [63] proposed that leaf cuticle is one of the most important adaptive traits in the plant colonization of land areas. The effectiveness of the cuticle for preserving leaves from dehydration can be quantified through the measurement of cuticular transpiration (e.g., in isolated cuticles) or, alternatively, estimating the so-called minimum leaf conductance (gmin) as leaf water loss when stomata are mostly closed [64]. According to different studies, heat stress could provoke a strong increase in water loss, as gmin rises with leaf temperature, with a critical threshold at 35 °C for non-desert plants [3,61]. Moreover, recent studies have revealed a differential response of leaf cuticles to high temperatures in several desert plants. Thus, Schuster et al. [65] demonstrated that the cuticular transpiration of Rhazya stricta Decne., an evergreen shrub which inhabits hyper-arid areas in Asia Minor, was less affected by temperature in the 5–50 °C range than most of the other analyzed species. In the same way, Bueno et al. [3] reported that gmin of Phoenix dactilifera L. leaves remained constant in the same temperature range. In both studies, changes in the chemical composition of leaf cuticles could explain the different responses of cuticular transpiration to an increase in leaf temperature.
Given the aforementioned negative consequences, the effect of high temperatures by itself or together with drought should have a great impact on plant function and survival. To cope with this, plants in drylands have developed several adaptations to (i) reduce the input of energy by diminishing the absorbed solar radiation (e.g., modifying leaf angle and/or changing leaf optical properties) and (ii) enhance the ability for heat dissipation through leaf size reduction, changes in leaf shape (e.g., through lobed leaves) and increased transpiration rates (i.e., water-spender strategy). All these adaptations are thoroughly analyzed in this section. Moreover, it is also analyzed the alternative strategy showed by water-saver plants, a common strategy in hot and dry environments that reduces water consumption at the expense of diminishing the ability for leaf cooling.
3.1. Reduction of Absorbed Light Energy
The reduction of solar radiation absorbed by a leaf through modifications in leaf angle and/or leaf optical properties are keystone mechanisms to avoid excessive leaf temperatures under low air speed [66]. For this reason, they have been historically considered adaptive mechanisms conferring functional advantages for plants living in drylands (see references in Ehleringer and Comstock [67]). Recently, Leigh et al. [68] found that species of Proteaceae living in dry and hot habitats of Australia showed pubescent and vertical leaves, lowering the heat load in spite of having medium-sized leaves. Therefore, these traits could be as effective as developing small leaves to cope with high solar radiation in drylands.
3.1.1. Changes in Leaf Angle
The leaf angle determines the distribution of the energy absorbed by a leaf throughout the day, with more vertical orientations drastically reducing the input of energy, especially at midday when solar radiation reaches its maximum intensity [66,69]. Moreover, entire and rounded leaves could achieve a better convective cooling under still air when are vertically disposed, as Vogel [70] concluded from copper model of different shapes.
The disposition of leaves with vertical orientations, or “erectophily” [71], has been widely described in drylands, such as the Brazilian savanna [72], the Mediterranean areas [71], and in deserts and semideserts [68,69]. In addition to drylands, Medina [73] also stated the existence of leaves with vertical orientations in the upper part of the canopy of trees living in tropical rain forests. In this way, other authors [74,75] showed a similar phenomenon in mangroves, with those species that dominate the top of the canopy exhibiting near vertical leaves to maintain the leaf temperature in adequate values.
Leaf angle may also adapt dynamically to minimize light interception (paraheliotropism). This phenomenon has been extensively studied in legumes but has been reported in a wide range of species [76]. Paraheliotropism limits overheating, reducing radiation load, while keeping the cooling effect of transpiration [77,78]. For example, Arena et al. [78] compared daily trends in unrestrained leaves of Robinia pseudoacacia L. with those forced to remain in the same position as in the morning. Restrained leaves showed more than two-fold higher incident radiation and about 5 °C higher leaf temperature (reaching 39 °C) than unrestrained leaves. Despite reduced radiation, net photosynthesis was higher in unrestrained leaves, through the synergic effect of higher stomatal conductance, reduced photorespiration, and higher photochemical efficiency. Similarly, several species from the genus Prosopis L. display daily changes in leaf angle, showing an erectophile orientation during the midday [77,79,80,81]. The magnitude of these daily cycles, however, is modulated by the environment, and particularly by water availability. For example, Wan and Sosebee [79] reported no daily changes in leaf angle in spring, whereas leaves became nearly parallel to the sun during the hot summer afternoons. Similarly, Villagra et al. [80] observed that minimum midday angle between leaflets in Prosopis flexuosa DC. was much smaller in plants growing on a dry dune site (20°) than in a wet valley (96°). Overall, leaf folding can be generally considered as a multiple adaptation to drought, temperature, and radiation stress, although its thermo- and photoprotective role has been questioned for some species [82].
3.1.2. Increasing Leaf Reflectance
Different epidermal structures can modify leaf absorbance [83,84]. Among others, such as epicuticular wax crystals promoting leaf glaucescence [85], the covering of the leaf surface by a dense trichome layer, or pubescence, is probably the most deeply studied [86,87]. Many different functional roles have been assigned to trichomes, including their contribution to plant defense against biotic or abiotic damages [86,88], or to nutrient and water absorption [89,90]. However, the role of trichomes as “light reflectors” when adaxially covering the leaf surface has been the most recurrent function assigned to these epidermal structures [87]. Trichomes can attenuate the ultraviolet and photosynthetic active radiation reaching the internal leaf tissues, contributing to avoid damages associated to excessive radiation [91,92,93]. Thus, even a relatively small change in the adaxial leaf reflectance of Quercus ilex L. leaves (from 20% to 15%) has a significant photoprotective function [92].
Nevertheless, the ability of leaf pubescence for reducing the absorbed light energy and its influence in leaf temperature is probably the most interesting fact to be analyzed in the context of this review. Thus, increasing light reflectance due to pubescence has been interpreted as a way for keeping leaf temperature at a safety level and within the margin for optimum photosynthesis [94,95], without a further increase in water loss by transpiration [87,96]. Both circumstances may be of paramount importance to cope with the hottest periods in drylands. In this sense, Gates el al. [97] compared leaf reflectance values in species from different habitats and reported higher values in plants from deserts. This finding was further supported by Ehleringer [98], who evidenced the existence of a higher percentage of plants with reflective surfaces as aridity increased in western North America and within the desert flora of Mojave and Sonora.
Most of the functional studies about this topic have been done in different species of the genus Encelia Adans. (Compositae), which includes several suffrutescent shrubs that are distributed in southwestern USA and western South America [99]. Within this genus, some species show green and glabrous leaves, while others show nearly white leaves due to extreme pubescence [99]. According to Ehleringer [100], there was a trend in the substitution of the glabrous or less pubescent species by those with highly pubescent leaves along an increasing gradient of aridity. Moreover, highly pubescent species of this genus usually occupied more xeric habitats than nearly glabrous species co-occurring in the same area [100]. Within a single species, Smith and Nobel [96] found seasonal changes in the degree of leaf pubescence in Encelia farinosa Torr. and A. Grey, with higher values in the driest period of the year. Ehleringer [101] reported similar results and found an influence of air temperature and water potential in this plastic parameter. The association between leaf pubescence and aridity in drylands is also supported by physiological measurements concerning energy balance and gas exchange in species of this genus. Ehleringer and Mooney [94] studied the effect of light absorption on leaf temperature, photosynthesis, and transpiration in species with a broad range of leaf absorbance, from ca. 90% in the non-pubescent Encelia californica Nutt. to 44% in the whitest leaves of E. farinosa. This seminal study clearly concluded that the higher the light reflected by adaxial trichomes the lower the leaf temperature and transpiration. The lower leaf transpiration was a direct consequence of the leaf energy balance rather than further effect of trichomes on boundary layer resistance [102]. In the same way, Ehleringer [100] compared two co-occurring species of the Sonoran Desert, namely Encelia frutescens (A.Gray) A.Gray (leaf absorbance > 80%) and E. farinosa (leaf absorbance ca. 40%). This study concluded that E. farinosa could regulate leaf temperature by reducing energy load, while E. frutescens seemed to rely the control of leaf temperature on heat loss by transpiration. E. frutescens, which seems to use a water spender strategy, usually inhabits in alluvial valleys while E. farinosa is restricted to dry slopes. Moreover, the finding of a glabrate mutant of E. farinosa allowed to confirm that the absence of pubescence implied an extra consume of water for keeping the leaf temperature at a safety level [103].
All these evidences suggest that increasing leaf reflectance by a dense trichome layer can be considered one of the most effective ways for coping with the environmental conditions that define the dryland environment, namely high radiation, high air temperature, and restricted water availability. However, as other functional responses analyzed in this review, the advantages of pubescence as efficient light reflector are counteracted by a reduction of the light energy that can be used for photosynthesis, with further consequences in the ability of the plant for carbon assimilation [87,94,100]. In fact, although this mechanism may contribute to a better plant functional performance in drylands, the existence of a dense adaxial trichome layer that strongly increases leaf reflectance is not common, if not rare, in the woody flora of the Mediterranean Basin. The abundance of evergreen species in Mediterranean-type climates, with leaf longevities greater than 12 months, may be a possible explanation for this fact. Pubescence may be of adaptive value for reducing light absorbed during summer, but it may be unhelpful during spring and autumn, as it would negatively affect plant photosynthesis. Thus, more surveys involving measurements of leaf optical properties are needed to establish the significance of this adaptive trait at a global scale.
3.2. Leaf Size Reduction
Botanists have extensively described the development of small leaves in plant species living in drylands [1,104,105]. In fact, paleobotanists use leaf size to propose climatic reconstruction, as this parameter is positively correlated with mean annual precipitation [106]. Among woody plants, examples of leaf size reduction in drylands can be found in genus Quercus L., with species from the most xeric areas (i.e., Mediterranean or Arid climates) showing leaves up to 10 times smaller than oaks from Temperate climates (see the meta-analysis performed by Gil-Pelegrín et al. [27]. We have confirmed this result by measuring leaf area (LA, cm2) in oak species from Mediterranean and Temperate climates growing in a common garden (Figure 2). In this regard, Baldocchi and Xu [107] proposed that a reduced leaf area is one of the main traits that allow Mediterranean oaks to withstand water scarcity.
Figure 2.
Leaf area (LA, cm2) of Mediterranean evergreen (MED EVE), Mediterranean deciduous (MED DEC), and Temperate deciduous (TEM DEC) oaks. Data are mean ± s.e. of five species. Different letters indicate statistically significant differences (Tukey test, p < 0.05) (Supplementary Materials).
The striking reduction in leaf size found in areas with high levels of radiation and high temperatures [105] is associated with a thinner boundary layer [108], which facilitates a sensible heat loss in summer through “free convection” [109]. Accordingly, species with small leaves would be favored in hot climates as they tend to be better coupled to air temperature and can avoid overheating through a more rapid convective cooling [66,107,108]. By contrast, larger leaves develop thicker boundary layers [66,70,104,110,111,112] and, therefore, shed heat more slowly than smaller leaves. In this sense, Gil-Pelegrín et al. [27] found that the small leaves of the Mediterranean Quercus faginea Lam. remained up to 3 °C cooler than the larger leaves of the Temperate Quercus robur L. under high light conditions when applied the Leaf Energy Balance Program by Kevin Tu, U.C. Berkeley (www.landflux.org/resources/Ecofiz_Tleaf_K2_v3.xls). This possible overheating in large-leaved species should be more substantial if edaphic and/or atmospheric dryness induces stomatal closure, because leaf transpiration is also an effective mechanism for shedding heat. Hence, small leaves could be the appropriate xeromorphic adaptation in sunny and xeric environments, also in terms of optimal water use efficiency and maximization of plant productivity [110,111].
Another advantage provided by small leaves is the shift of the leaf-specific hydraulic conductivity (LSC, ratio of stem conductivity to leaf area), as the reduction in leaf size also diminishes the total leaf area per shoot. An increased LSC has been related to climate dryness, as implies a higher ability for supplying water to the transpiring leaves in dry atmospheres [113,114]. In spite of these benefits, the reduction in supported leaf area per shoot concomitant with a decrease in leaf size has negative consequences in terms of carbon gain through the effect on leaf area ratio (LAR) [115], a major driver of the relative growth rate (RGR) [116]. To clarify this question, we have compared total foliage area and LAR in oak species from Mediterranean and Temperate climates growing in a common garden. The results obtained evidenced that oak species from hot and dry environments (i.e., evergreen, and deciduous Mediterranean oaks) showed a sharp reduction in LAR when compared with Temperate deciduous oaks (Figure 3b). This fact is a direct consequence of the differences found in total leaf area per shoot (Figure 3a), which was attributable to the leaf size reduction experienced by Mediterranean oaks (Figure 2) as the number of leaves per shoot did not show statistically significant differences among the different groups of oaks here analyzed (data not shown).
Figure 3.
(a) Total leaf area per shoot (cm2) and (b) leaf area ratio (LAR, cm2 g−1) of Mediterranean evergreen (MED EVE), Mediterranean deciduous (MED DEC), and Temperate deciduous (TEM DEC) oaks. Data are mean ± s.e. of five species. Different letters indicate statistically significant differences (Tukey test, p < 0.05) (Supplementary Materials).
Peguero-Pina et al. [114] described a good example of the trade-off between LSC and LAR when compared contrasting morphotypes of the Mediterranean Quercus ilex L. These authors proposed that the differences found in leaf size constituted the most outstanding divergence between “ilex” and “rotundifolia” morphotypes. Thus, the extreme reduction in leaf size found in the “rotundifolia” morphotype improved LSC at the expense of a reduction in LAR with respect to the “ilex” morphotype. In other words, these authors suggested that Quercus ilex subsp. rotundifolia, which occurs in more xeric habitats than Quercus ilex subsp. ilex, sacrifices their growth ability in order to improve its hydraulic performance under drier conditions. Similarly, Peguero-Pina et al. [35] evidenced that the Mediterranean Q. faginea reached LSC values very similar to the Temperate Q. robur due to the severe reduction in leaf size, counteracting the sharp difference found in hydraulic conductivity (Kh) between both species. The enhancement of LSC in Q. faginea contributes to withstand the high atmospheric dryness in Mediterranean-type climates through a reduction in transpiring leaf area, which should have a negative effect on carbon gain and growth ability associated to a decrease in LAR when compared with Q. robur.
3.3. Changes in Leaf Shape
The modification of leaf shape is another effective mechanism to avoid excessive leaf overheating under high solar radiation and low wind speed [66]. Effectively, Vogel [70] has already demonstrated that entire and rounded artificial models could not dissipate heat as effectively as those with complex or highly dissected margins. In essence, it can be assumed that any shape that minimizes the distance from an edge would also diminish the temperature reached in the leaf by reducing the boundary layer thickness [66], which has a predominant role in leaf heat transfer in still air [112]. This feature can be achieved by developing narrow, pinnate, or deeply lobed leaves [66], which must have a higher perimeter/area ratio than entire and more rounded leaves [117]. Different studies have evidenced a higher ability for heat transfer at low air speed in highly dissected leaves, as that by Balding and Cunningham [118] comparing entire and pinnate leaves. In the same way, Vogel [119] showed that sun leaves of Quercus alba L. with deeper lobes were more effective as “heat dissipaters” than entire shade leaves, which were later confirmed in artificial copper models of these leaves [70].
What can be derived from the botanical evidences about the trend towards the increase of the ratio between leaf perimeter and leaf area? Many nanophanerophytes of different families living in dry Mediterranean areas seem to converge through the development of narrow or very narrow leaves (e.g., Rosmarinus officinalis L., Cistus libanotis L. or Rhamnus lycioides L.). Givnish [120] reported a drastic increase in compound leaves in “dry tree veld and scrub” as compared to “moist sub-tropical forest” or “mesophytic forest”. Stowe and Brown [121] did a similar observation and concluded that tree species with compound leaves were more frequent in the hotter and/or drier habitats in North America.
The development of deeply lobed leaves has been historically associated to the dimorphism between sun and shade leaves [122]. Givnish and Vermeij [110] described how vine species in a tropical forest in Venezuela are distributed along a gradient of sun to shade positions, with evident changes in their leaf size and shape. They found that the sunniest positions at the top of this vertical gradient were dominated by species with deeply lobed leaves, what they called “effectively small leaves”. Some winter deciduous oaks inhabiting areas under Mediterranean-type climates develop deeply lobed leaves, such as Quercus lobata Née and Quercus douglasii Hook. & Arn. in California or Quercus pyrenaica Willd., Quercus cerris L. and Quercus frainetto Ten. in the Mediterranean basin (http://oaks.of.the.world.free.fr/). Thus, the lobation index (LI) calculated in the present review for Q. pyrenaica (12.7 cm) was 2-fold higher than that obtained for the temperate Q. robur (6.1 cm), which yielded a decrease in the effective dimension of the leaves (L) of Q. pyrenaica (2.3 cm) when compared with Q. robur (3.2 cm) (Figure 4). As stated above, the reduced effective dimension (i.e., an “effective small leaf”) of Q. pyrenaica might result in a higher ability for heat transfer. It should be noted that Q. faginea, another winter-deciduous Mediterranean oak, even showed a lower L (1.7 cm) than Q. pyrenaica, in this case due to a sharp decrease in leaf area (LA) and not to an increase in LI (Figure 4), which also facilitates a sensible heat loss through “free convection” (see Section 3.2).
Figure 4.
Evolution of leaf size and shape in three white oaks from a Mediterranean to a Temperate paradigm (from left to right, Q. faginea, Q. pyrenaica, and Q. robur). P, leaf perimeter; LA, leaf area; LI, lobation index (calculated as LI = P/(√LA); L, effective dimension of the leaf (calculated as described in Parkhurst et al. [123] assuming free-convection conditions, i.e., still air).
The co-occurrence of winter-deciduous with the evergreen and sclerophyllous oak species, proposed as a peculiarity of Mediterranean-type vegetation [124], has already been mentioned by Schimper [1]. Several studies evidenced that winter-deciduous Mediterranean oaks showed physiological adaptations that can explain their presence in Mediterranean areas when living in sites with enough edaphic water reserves through the vegetative period [34,35]. Thus, the deep lobation presented by their leaves could be interpreted as a response to the dry and sunny atmospheres characteristics of their natural habitats during summer. However, the main role of leaf dissection as a way to improve heat transfer ability is not always accepted, and other adaptive advantages has been proposed, as the effect of this trait in leaf hydraulic properties [68]. Givnish [125] firstly suggested that a complex leaf margin by deep dentation could reduce the areas with a worse water supply. Later, Sisó et al. [117] reported that the deeply lobed leaves found in some of these species (e.g., Q. cerris and Q. pyrenaica) had a leaf hydraulic conductance per leaf area that can be up to six times higher than the values registered in the entire leaves of the temperate species (e.g., Q. robur and Quercus rubra L.). This efficient water transport to the leaves would ensure that they do not develop very negative water potentials in spite of living in dry atmospheres with a high vapor pressure deficit [117].
3.4. Water Spender Strategy Enhances Leaf Cooling
One of the most effective way for enhancing heat loss is maximizing transpiration rate, which leads to greater cooling and hence lower leaf temperatures at the expense of high rates of stomatal conductance [126]. Smith [127] described this mechanism in some desert perennial plants, where the combination of large leaves and high stomatal conductance (a mean value of 0.520 mol H2O m−2 s−1) strongly reduced leaf temperature (from 8.4 to 18.1 °C below air temperature). This author also suggested that leaf temperature reductions based on a water spending strategy favored photosynthetic activity, but only for short periods throughout the year when water was abundant. Althawadi and Grace [2] also related high water consumption by increased stomatal conductance (ca. 0.600 mol H2O m−2 s−1) with strong leaf cooling (up to 7 °C below air temperature) in order to avoid lethal temperatures in the desert perennial Citrullus colocynthis L. Schrad. These authors stated that a deep root system that can reach the water table is a necessary requirement for a desert water-spender species, such as C. colocynthis. In line with this, Ehleringer [100] reported that Encelia frutescens, a shrub widely distributed throughout much of the Sonoran Desert, reached high values of maximum stomatal conductance (gs,max) (above 0.500 mol H2O m−2 s−1) that increased transpirational cooling to reduce leaf temperature. Moreover, this author also stated that this strategy has a significant cost in terms of water-use efficiency, which could explain that this species occurs only in habitats where soil moisture is high enough to provide the water necessary for transpirational cooling. More recently, Lawson et al. [128] found that gs,max (0.449 mol H2O m−2 s−1) in the perennial desert plant Rhazya stricta was much higher than that necessary for photosynthesis in order to maintain a lower leaf temperature by transpirational cooling.
In addition to desert plants, the phenomenon of leaf cooling in water-spender species has also been reported under Mediterranean-type climates. This is the case of the deciduous Mediterranean oaks, as they show high rates of gs,max (e.g., 0.550 and 0.450 mol H2O m−2 s−1 for Quercus pyrenaica and Quercus faginea, respectively) when compared with their congeneric evergreen Mediterranean oaks (e.g., 0.200 mol H2O m−2 s−1 for Quercus ilex subsp. rotundifolia) [129]. This water spending strategy would allow a significant leaf cooling during summer in Mediterranean-type climates (ca. 2 °C below air temperature) when high values of vapor pressure deficit (3.0 kPa) act as the driving force for increasing leaf transpiration [27]. The success of this strategy would only be possible under conditions where soil water availability is high enough to meet leaf water demand through the vegetative period [130], as a more rapid consumption could induce a drop in soil water potential that triggers stomatal closure and further reduction in net CO2 assimilation [34]. In this latter case, leaf temperature would increase, potentially triggering leaf damage [126].
3.5. Water Saver Strategy Regulates Water Loss at the Expense of a Reduced Ability for Leaf Cooling
The regulation of water consumption through low values of gs,max (i.e., a water saving strategy) is a common strategy to thrive in water limited environments (see Section 2). A reduced stomatal density is a widespread mechanism to reduce water losses with low gs,max values [131]. This is the case of Quercus coccifera L., which is an evergreen Mediterranean oak that occurs in the most arid areas of the Iberian Peninsula, where it has to withstand long and intense summer drought periods [28,30]. Thus, this species shows reduced values of stomatal density (251 stomata per mm2, Figure 5a) and gs,max (0.143 mol H2O m−2 s−1, Peguero-Pina et al. [132]) when compared with the water-spender Quercus faginea with 459 stomata per mm2 (Figure 5b) and 0.450 mol H2O m−2 s−1 [129].
Figure 5.
Stomatal density of (a) Q. coccifera and (b) Q. faginea.
The low gs,max in water-saving plant species does not only lie with a reduced stomatal density. The development of an external structure that reduces the stomatal pore area by the deposition of epicuticular waxes, in the form of a protruding overarch, has been described in different Quercus species living in dry habitats [133,134]. A deep functional study about the possible role of this drastic reduction of effective stomatal pore area in Q. coccifera was performed by Roth-Nebelsick et al. [135], who evidenced its influence in the reduced value of gs,max showed by this species. Later, Peguero-Pina et al. [132] were able to demonstrate that the deposition of epicuticular waxes in the form above described was a plastic response, as it was only present in specimens living in hot and dry atmospheres (Figure 6).
Figure 6.
Stomatal encryption with epicuticular waxes in Q. coccifera living in hot and dry atmospheres (a,b).
Furthermore, the presence of a dense trichome layer only in the abaxial side of the leaf has been also proposed as a way for increasing the whole resistance to water losses, acting as an additional diffusion barrier [136,137]. It should be noted that this abaxial pubescence must not be functionally identified with the adaxial pubescence, which has been associated with a mechanism for increasing leaf reflectance (see Section 3.1.2). Gil-Pelegrín et al. [27] compared the abaxial pubescence in several Quercus species from different phytoclimates and found that this trait is more frequent in those species inhabiting areas with a period of aridity throughout the year. However, there is no consensus about the real role of abaxial pubescence in terms of habitat association [138] and water losses by transpiration [139]. So, a certain controversy remains, and more studies are needed to clarify the role of abaxial pubescence in leaf functioning in arid climates.
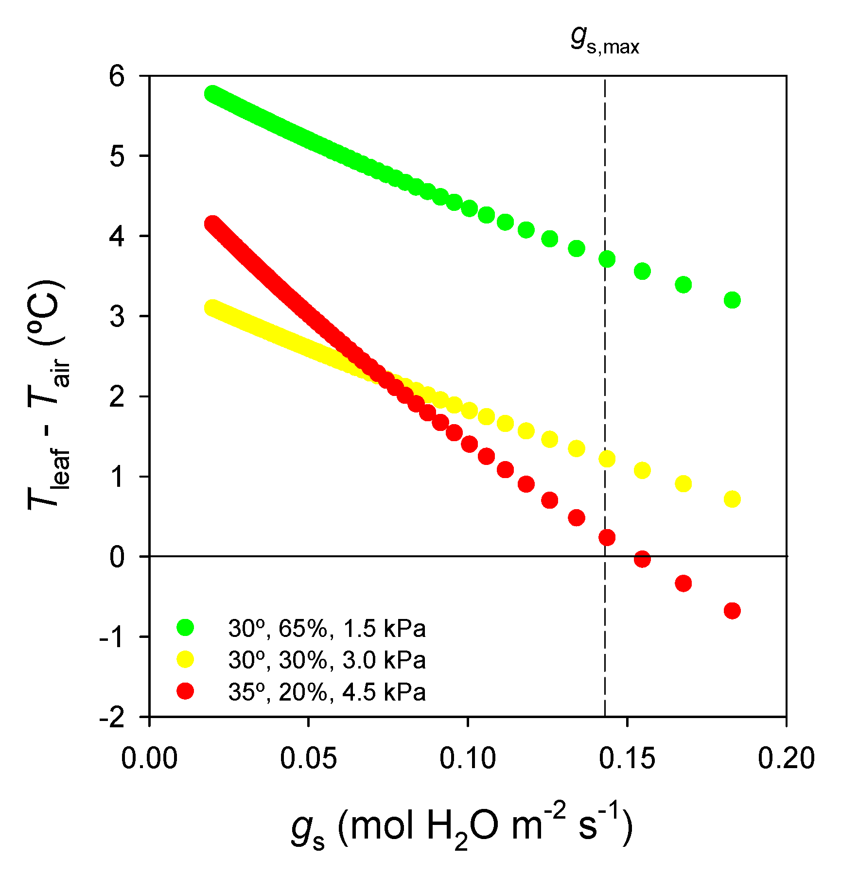
On the other hand, as a counterpart, the ability of water-saving plant species for reducing water loss would have negative consequences in terms of capacity of heat dissipation in hot and dry environments [2,127]. We have analyzed this issue in Q. coccifera, which experiences the high temperatures and high levels of radiation during summer in Mediterranean-type climates. We have applied the Leaf Energy Balance Program by Kevin Tu, U.C. Berkeley (www.landflux.org/resources/Ecofiz_Tleaf_K2_v3.xls), which yields a certain leaf temperature (Tleaf, °C) for a given stomatal conductance (gs, mol H2O m−2 s−1), air temperature (Tair, °C), and air relative humidity (RH, %). We have established an average gs,max value of 0.143 mol H2O m−2 s−1 for Q. coccifera growing under Mediterranean conditions, according to the data published by Peguero-Pina et al. [132]. We have contemplated three climatic conditions with different levels of atmospheric dryness in terms of vapor pressure deficit (VPD, kPa) that can be potentially found under Mediterranean-type climates during summer. The less stressful scenario considers a “slight” atmospheric dryness that occurs in coastal areas of the southeaster Iberian Peninsula during summer (Tair = 30 °C and RH = 65%, VPD = 1.5 kPa). Under these conditions, Q. coccifera would experience a leaf overheating of 3.6 °C, which is gradually diminished as atmospheric dryness becomes higher (Figure 7 and Table 2). Thus, leaf and air temperatures would be almost in equilibrium when VPD is 4.5 kPa (Tair = 35 °C and RH = 20%), although at the expense of a higher water consumption in terms of leaf transpiration (E, mmol H2O m−2 s−1) (Table 2).
Figure 7.
Relationships between leaf stomatal conductance (gs, mol H2O m−2·s−1) and the difference between leaf and air temperature (Tleaf − Tair, °C) for Q. coccifera. Tleaf was obtained applying the Leaf Energy Balance Program by Kevin Tu, U.C. Berkeley (www.landflux.org/resources/Ecofiz_Tleaf_K2_v3.xls) for windspeed = 1 m·s−1, short-wave radiation = 600 W·m−2 and leaf length = 1.1 cm. We have considered three different climatic conditions regarding Tair (°C) and relative humidity (RH, %): 30 °C/65%, 30 °C/30%, and 35 °C/20%. Maximum stomatal conductance (gs,max) for Q. coccifera was established according to Peguero-Pina et al. [132].
Table 2.
Leaf overheating (Tleaf − Tair, °C), leaf temperature (Tleaf, °C), and leaf transpiration (E, mmol H2O m−2 s−1) when stomatal conductance is gs,max for Q. coccifera under different levels of vapor pressure deficit (VPD, kPa) according to the climatic conditions considered (see Figure 7 for details).
This situation would be exacerbated if we consider an additional scenario where VPD = 5.9 kPa (Tair = 40 °C and RH = 20%), which would yield a leaf cooling of 1.0 °C with an eightfold increase in E. Therefore, this “extreme” atmospheric dryness, which is quite common in Mediterranean summer conditions with heat waves, could induce the maximization of water losses by transpiration in Q. coccifera. This strategy allows this species to maintain leaf temperature below critical values that could affect the maximum rate of carboxylation of Rubisco (Vc,max) and photosynthetic activity [56,59], and ultimately may cause direct damage to photosynthetic apparatus [54,140].
This computation also shows that a decrease in gs implies a concomitant increase in Tleaf − Tair. Regarding to this, several studies have evidenced a great capacity in Q. coccifera to regulate water loss by means of an early stomatal closure in response to a drop in soil water potential [28,30,141]. Thereby, Q. coccifera would experience a strong increase in leaf overheating when soil water deficit induces stomatal closure, i.e., between ca. 3 °C and 6 °C when gs falls below 0.020 mol H2O m−2 s−1 (Figure 7). Therefore, if we consider the more stressful scenario, the combination of heat (Tair = 40 °C) and edaphic drought (soil water potential inducing stomatal closure) provokes an increase in Tleaf up to ca. 46 °C, which are near the upper limit of viable leaf temperatures (47 °C, according to Dreyer et al. [54]).
Recently, we observed empirically this phenomenon in Quercus ilex subsp. rotundifolia, another congeneric evergreen Mediterranean oak with a water-saver strategy [129]. Taking advantage of two consecutive hot waves in summer 2019, we found contrasting responses of midday leaf temperature under wet and dry soil conditions (Figure 8, unpublished results). During the first hot wave, the soil was near field capacity, and leaves were consistently cooler than the ambient air (ca. 3.0 °C less than ambient temperature on average). Leaf cooling increased with air temperature, indicating that, under these optimal soil conditions, Q. ilex subsp. rotundifolia kept maximum stomatal conductance and transpiration increased almost linearly with VPD. Conversely, during the second hot wave, the soil was drier, and midday stomatal closure led to a slight overheating of the leaves (on average +0.9 °C). Although overheating was apparently lower in the highest temperature range, it should be noted that the peak temperatures (>40 °C) occurred earlier during the drying cycle, and thus were associated with slightly higher soil water potential, i.e., milder (soil) water stress.
Figure 8.
Example of the contrasting effect of elevated ambient temperatures (Tair) on midday leaf temperature (Tleaf), under optimal (“Wet”) or suboptimal (“Dry”) soil water conditions, as indicated by soil water potential (Ψsoil). Measurements were performed on three adult trees of Q. ilex subsp. rotundifolia, grown in an experimental tree orchard at CITA (Zaragoza, Spain) (unpublished results).
4. Concluding Remarks
This review has described and analyzed different functional strategies of trees and shrubs to cope with the combination of high temperature and water scarcity in drylands, specifically in hot deserts and in areas under Mediterranean-type climates. As stated throughout this review, these adaptations are very diverse and mainly based on (i) the reduction of the absorbed light energy, (ii) the enhancement of the ability for heat dissipation, and (iii) the reduction of water consumption. These adaptations can operate separately and some of them even simultaneously for a given species. With regard to the latter, winter-deciduous Mediterranean oaks such as Q. faginea show a strong reduction in leaf size together with a water-spender strategy that increases its ability for heat dissipation. In the same way, but with a contrasting strategy, evergreen Mediterranean oaks such as Q. coccifera minimizes water losses through a reduced leaf area and a low gs,max (i.e., a water-saver strategy). Overall, all these adaptations have clear benefits for plant functioning and survival in drylands, but also different costs concerning water consumption, carbon gain, and/or leaf cooling.
Supplementary Materials
The following are available online at https://www.mdpi.com/1999-4907/11/10/1028/s1, Materials and Methods corresponding to Figure 2 and Figure 3: leaf area (LA), total leaf area per shoot and leaf area ratio (LAR).
Author Contributions
J.J.P.-P., A.V. and E.G.-P. conceived the review and prepared the original draft; all authors contributed to the writing and review of the final version of the manuscript. All authors have read and agreed to the published version of the manuscript.
Funding
This research was funded by Instituto Nacional de Investigación y Tecnología Agraria y Alimentaria (INIA) grant number RTA2015-00054-C02-01, by Ministerio de Ciencia e Innovación grant number PID2019-106701RR-I00/AEI/10.13039/501100011033 and INERTIA project (PID-2019-111332-C22), project IMAGINA (Prometeu program/2019/110, GVA) and from Gobierno de Aragón H09_20R research group. Work of D.A.F. is supported by a FPI-INIA contract BES-2017-081208. CEAM is funded by Generalitat Valenciana.
Conflicts of Interest
The authors declare no conflict of interest. The funders had no role in the design of the study; in the collection, analyses, or interpretation of data; in the writing of the manuscript, or in the decision to publish the results.
References
- Schimper, A.F.W. Plant-Geography on a Physiological Basis; Clarendon Press: Oxford, UK, 1903. [Google Scholar]
- Althawadi, A.M.; Grace, J. Water use by the desert cucurbit Citrullus colocynthis (L.) Schrad. Oecologia 1986, 70, 475–480. [Google Scholar] [CrossRef]
- Bueno, A.; Alfarhan, A.; Arand, K.; Burghardt, M.; Deininger, A.-C.; Hedrich, R.; Leide, J.; Seufert, P.; Staiger, S.; Riederer, M. Effects of temperature on the cuticular transpiration barrier of two desert plants with water-spender and water-saver strategies. J. Exp. Bot. 2019, 70, 1613–1625. [Google Scholar] [CrossRef]
- Safriel, U.; Adeel, Z.; Niemeijer, D.; Puigdefabregas, J.; White, R.; Lal, R.; Winslow, M.; Ziedler, J.; Prince, S.; Archer, E.; et al. Dryland systems. In Ecosystems and Human Well-Being: Current State and Trends; Hassan, R., Scholes, R., Ash, N., Eds.; Findings of the Condition and Trends Working Group, Island Press: Washington, DC, USA, 2005; Volume 1, pp. 623–662. [Google Scholar]
- Quan, C.; Han, S.; Utescher, T.; Zhang, C.; Liu, Y.S.C. Validation of temperature-precipitation based aridity index: Paleoclimatic implications. Palaeogeogr. Palaeoclimatol. Palaeoecol. 2013, 386, 86–95. [Google Scholar] [CrossRef]
- Thornthwaite, C.W. An approach toward a rational classification of climate. Geogr. Rev. 1948, 38, 55–94. [Google Scholar] [CrossRef]
- Mayr, S.; Schmid, P.; Laur, J.; Rosner, S.; Katline Charra-Vaskou, K.; Dämon, B.; Hacke, U.G. Uptake of water via branches helps timberline conifers refill embolized xylem in late winter. Plant Physiol. 2014, 164, 1731–1740. [Google Scholar] [CrossRef] [PubMed]
- Mayr, S.; Hacke, U.; Schmid, P.; Schwienbacher, F.; Gruber, A. Frost drought in conifers at the alpine timberline: Xylem dysfunction and adaptations. Ecology 2006, 87, 3175–3185. [Google Scholar] [CrossRef]
- Santos Pereira, L.; Oweis, T.; Zairi, A. Irrigation management under water scarcity. Agric. Water Manag. 2002, 57, 175–206. [Google Scholar] [CrossRef]
- Cherlet, M.; Hutchinson, C.; Reynolds, J.; Hill, J.; Sommer, S.; von Maltitz, G. (Eds.) World Atlas of Desertification; Publication Office of the European Union: Luxembourg, 2018. [Google Scholar] [CrossRef]
- D’Odorico, P.; Porporato, A.; Runyian, C.W. (Eds.) Ecohydrology of arid and semiarid ecosystems: An introduction. In Dryland Ecohydrology; Springer Nature: Berlin/Heidelberg, Germany, 2019; pp. 1–30. [Google Scholar]
- Kirkham, M.B. (Ed.) Potential Evapotranspiration. In Principles of Soil and Plant Water Relations, 2nd ed.; Academic Press: Cambridge, MA, USA, 2014; pp. 501–504. [Google Scholar]
- Cai, J.; Liu, Y.; Lei, T.; Santos Pereira, L. Estimating reference evapotranspiration with the FAO Penman–Monteith equation using daily weather forecast messages. Agric. For. Meteorol. 2017, 145, 22–35. [Google Scholar] [CrossRef]
- Sentelhas, P.C.; Gillespie, T.J.; Santos, E.A. Evaluation of FAO Penman–Monteith and alternative methods for estimating reference evapotranspiration with missing data in Southern Ontario, Canada. Agric. Water Manag. 2010, 97, 635–644. [Google Scholar] [CrossRef]
- Vicente-Serrano, S.M.; Beguería, S.; López-Moreno, J.I. A multiscalar drought index sensitive to global warming: The standardized precipitation evapotranspiration index. J. Clim. 2010, 23, 1696–1718. [Google Scholar] [CrossRef]
- Whitford, W.G.; Duval, B.D. (Eds.) Conceptual Framework, Paradigms, and Models. In Ecology of Desert Systems, 2nd ed.; Academic Press: Cambridge, MA, USA, 2020; pp. 1–20. [Google Scholar]
- Gao, X.; Giorgi, F. Increased aridity in the Mediterranean region under greenhouse gas forcing estimated from high resolution simulations with a regional climate model. Glob. Planet. Chang. 2008, 62, 195–209. [Google Scholar] [CrossRef]
- Fu, Q.; Feng, S. Responses of terrestrial aridity to global warming. J. Geophys. Res. Atmos. 2014, 119. [Google Scholar] [CrossRef]
- Asadi Zarch, M.A.; Sivakumar, B.; Malekinezhad, H.; Sharma, A. Future aridity under conditions of global climate change. J. Hydrol. 2017, 554, 451–469. [Google Scholar] [CrossRef]
- Oberlander, T.M. Characterization of arid elements according to combined water balance parameters. J. Arid Environ. 1979, 2, 219–241. [Google Scholar] [CrossRef]
- Peel, M.C.; Finlayson, B.L.; McMahon, T.A. Updated world map of the Köppen-Geiger climate classification. Hydrol. Earth Syst. Sci. 2007, 11, 1633–1644. [Google Scholar] [CrossRef]
- Besnard, G.; Anthelm, F.; Baali-Cherif, D. The Laperrine’s olive tree (Oleaceae): A wild genetic resource of the cultivated olive and a model-species for studying the biogeography of the Saharan Mountains. Acta Bot. Gall. 2012, 159, 319–328. [Google Scholar] [CrossRef]
- Lionello, P.; Malanotte-Rizzoli, P.; Boscolo, R.; Alpert, P.; Artale, V.; Li, L.; Luterbacher, J.; May, W.; Trigo, R.; Tsimplis, M.; et al. The Mediterranean climate: An overview of the main characteristics and issues. In Mediterranean Climate Variability; Lionello, P., Malanotte-Rizzoli, P., Boscolo, R., Eds.; Elsevier: Amsterdam, The Netherlands, 2006; pp. 1–26. ISBN 978-0-444-52170-5. [Google Scholar]
- Deitch, M.J.; Sapundjieff, M.J.; Feirer, S.T. Characterizing precipitation variability and trends in the world’s Mediterranean-Climate areas. Water 2017, 9, 259. [Google Scholar] [CrossRef]
- Walter, H. Vegetation of the Earth and Ecological Systems of the Geo-Biosphere, 3rd ed.; Springer: Berlin, Germany, 1985. [Google Scholar]
- Rivas-Martínez, S.; Rivas-Sáenz, S.; Penas-Merino, A. Worldwide Bioclimatic Classification System. Glob. Geobot. 2011, 1, 1–634. [Google Scholar]
- Gil-Pelegrín, E.; Saz, M.A.; Cuadrat, J.M.; Peguero-Pina, J.J.; Sancho-Knapik, D. Oaks under Mediterranean-type climates: Functional response to summer aridity. In Oaks Physiological Ecology. Exploring the Functional Diversity of Genus Quercus L.; Gil-Pelegrín, E., Peguero-Pina, J.J., Sancho-Knapik, D., Eds.; Springer International Publishing: Berlin/Heidelberg, Germany, 2017; pp. 137–193. ISBN 978-3-319-69099-5. [Google Scholar]
- Vilagrosa, A.; Bellot, J.; Vallejo, V.R.; Gil-Pelegrín, E. Cavitation, stomatal conductance, and leaf dieback in seedlings of two co-occurring Mediterranean shrubs during an intense drought. J. Exp. Bot. 2003, 54, 2015–2024. [Google Scholar] [CrossRef] [PubMed]
- Vilagrosa, A.; Morales, F.; Abadía, A.; Bellot, J.; Cochard, H.; Gil-Pelegrín, E. Are symplast tolerance to intense drought conditions and xylem vulnerability to cavitation coordinated? An integrated analysis of photosynthetic, hydraulic and leaf level processes in two Mediterranean drought-resistant species. Environ. Exp. Bot. 2010, 69, 233–242. [Google Scholar] [CrossRef]
- Peguero-Pina, J.J.; Morales, F.; Flexas, J.; Gil-Pelegrín, E.; Moya, I. Photochemistry, remotely sensed physiological reflectance index and de-epoxidation state of the xanthophyll cycle in Quercus coccifera under intense drought. Oecologia 2008, 156, 1–11. [Google Scholar] [CrossRef] [PubMed]
- Peguero-Pina, J.J.; Gil-Pelegrín, E.; Morales, F. Three pools of zeaxanthin in Quercus coccifera leaves during light transitions with different roles in rapidly reversible photoprotective energy dissipation and photoprotection. J. Exp. Bot. 2013, 64, 1649–1661. [Google Scholar] [CrossRef] [PubMed]
- Abadía, A.; Gil, E.; Morales, F.; Montañés, L.; Montserrat, G.; Abadía, J. Marcescence and senescence in a submediterranean oak (Quercus subpyrenaica E.H. del Villar): Photosynthetic characteristics and nutrient composition. Plant Cell Environ. 1996, 19, 685–694. [Google Scholar] [CrossRef]
- Himrane, H.; Camarero, J.J.; Gil-Pelegrín, E. Morphological and ecophysiological variation of the hybrid oak Quercus subpyrenaica (Q. faginea × Q. pubescens). Trees 2004, 18, 566–575. [Google Scholar] [CrossRef]
- Peguero-Pina, J.J.; Sancho-Knapik, D.; Martín, P.; Saz, M.A.; Gea-Izquierdo, G.; Cañellas, I.; Gil-Pelegrín, E. Evidence of vulnerability segmentation in a deciduous Mediterranean oak (Quercus subpyrenaica E. H. del Villar). Trees 2015, 29, 1917–1927. [Google Scholar] [CrossRef]
- Peguero-Pina, J.J.; Sisó, S.; Sancho-Knapik, D.; Díaz-Espejo, A.; Flexas, J.; Galmés, J.; Gil-Pelegrín, E. Leaf morphological and physiological adaptations of a deciduous oak (Quercus faginea Lam.) to the Mediterranean climate: A comparison with a closely related temperate species (Quercus robur L.). Tree Physiol. 2016, 36, 287–299. [Google Scholar] [CrossRef]
- Levitt, J. Responses of Plants to Environmental Stresses, Vol II; Academic Press: New York, NY, USA, 1980. [Google Scholar]
- Lo Gullo, M.A.; Salleo, S. Different strategies of drought resistance in three Mediterranean sclerophyllous trees growing in the same environmental conditions. New Phytol. 1988, 108, 267–276. [Google Scholar] [CrossRef]
- Sakcali, M.S.; Ozturk, M. Eco-physiological behaviour of some mediterranean plants as suitable candidates for reclamation of degraded areas. J. Arid Environ. 2004, 57, 141–153. [Google Scholar] [CrossRef]
- Manes, F.; Vitale, M.; Donato, E.; Giannini, M.; Puppi, G. Different ability of three Mediterranean oak species to tolerate progressive water stress. Photosynthetica 2006, 44, 387–393. [Google Scholar] [CrossRef]
- Turner, N.C. Adaptation to water deficits: A changing perspective. Funct. Plant Biol. 1986, 13, 175–190. [Google Scholar] [CrossRef]
- Kozlowski, T.T.; Kramer, P.J.; Pallardy, S.G. The Physiological Ecology of Woody Plants; Academic Press: San Diego, CA, USA, 1991. [Google Scholar]
- Jones, H.G. Plants and Microclimate: A Quantitative Approach to Environmental Plant Physiology, 2nd ed.; Cambridge University Press: Cambridge, UK, 1992. [Google Scholar]
- Larcher, W. Physiological Plant Ecology: Ecophysiology and Stress Physiology of Functional Groups; Springer: Berlin/Heidelberg, Germany, 1995. [Google Scholar]
- Volaire, F. A unified framework of plant adaptive strategies to drought: Crossing scales and disciplines. Glob. Chang. Biol. 2018, 24, 2929–2938. [Google Scholar] [CrossRef] [PubMed]
- Valladares, F.; Vilagrosa, A.; Peñuelas, J.; Ogaya, R.; Camarero, J.J.; Corcuera, L.; Sisó, S.; Gil-Pelegrín, E. Estrés hídrico: Ecofisiología y escalas de la sequía. In Ecología del bosque mediterráneo en un mundo cambiante; Valladares, F., Ed.; Ministerio de Medio Ambiente: Madrid, Spain, 2004; pp. 163–190. [Google Scholar]
- McDowell, N.; Pockman, W.T.; Allen, C.D.; Breshears, D.D.; Cobb, N.; Kolb, T.; Plaut, J.; Sperry, J.; West, A.; Williams, D.G.; et al. Mechanisms of plant survival and mortality during drought: Why do some plants survive while others succumb to drought? New Phytol. 2008, 178, 719–739. [Google Scholar] [CrossRef] [PubMed]
- Vilagrosa, A.; Hernández, E.I.; Luis, V.C.; Cochard, H.; Pausas, J.G. Physiological differences explain the co-existence of different regeneration strategies in Mediterranean ecosystems. New Phytol. 2014, 201, 1277–1288. [Google Scholar] [CrossRef]
- Grace, J. Environmental controls of gas exchange in tropical rain forests. In Physiological Plant Ecology; Press, M.C., Scholes, J.D., Barker, M.G., Eds.; British Ecological Society: London, UK, 1999. [Google Scholar]
- Law, B.E.; Williams, M.; Anthoni, P.M.; Baldocchi, D.D.; Unsworth, M.H. Measuring and modelling seasonal variation of carbon dioxide and water vapour exchange of a Pinus ponderosa forest subject to soil water deficit. Glob. Change Biol. 2000, 6, 613–630. [Google Scholar] [CrossRef]
- Wilson, K.B.; Baldocchi, D.D.; Hanson, P.J. Leaf age affects the seasonal pattern of photosynthetic capacity and net ecosystem exchange of carbon in a deciduous forest. Plant Cell Environ. 2001, 24, 571–583. [Google Scholar] [CrossRef]
- Knight, C.A.; Ackerly, D.D. Evolution and plasticity of photosynthetic thermal tolerance, specific leaf area and leaf size: Congeneric species from desert and coastal environments. New Phytol. 2003, 160, 337–347. [Google Scholar] [CrossRef]
- Braun, V.; Buchner, O.; Neuner, G. Thermotolerance of photosystem 2 of three alpine plant species under field conditions. Photosynthetica 2002, 40, 587–595. [Google Scholar] [CrossRef]
- Krause, G.H.; Winter, K.; Krause, B.; Jahns, P.; García, M.; Aranda, J.; Virgo, A. High-temperature tolerance of a tropical tree, Ficus insipida: Methodological reassessment and climate change considerations. Funct. Plant Biol. 2010, 37, 890–900. [Google Scholar] [CrossRef]
- Dreyer, E.; Le Roux, X.; Montpied, P.; Duadet, F.A.; Masson, F. Temperature response of leaf photosynthetic capacity in seedlings from seven temperate tree species. Tree Physiol. 2001, 21, 223–232. [Google Scholar] [CrossRef]
- Leon-Garcia, I.V.; Lasso, E. High heat tolerance in plants from the Andean highlands: Implications for paramos in a warmer world. PLoS ONE 2019, 14, e0224218. [Google Scholar] [CrossRef]
- Haldimann, P.; Gallé, A.; Feller, U. Impact of an exceptionally hot dry summer on photosynthetic traits in oak (Quercus pubescens) leaves. Tree Physiol. 2008, 28, 785–795. [Google Scholar] [CrossRef] [PubMed]
- Gounaris, K.; Brain, A.P.; Quinn, P.J.; Williams, W.P. Structural reorganization of chloroplast thylakoid membranes in response to heat stress. Biochim. Biophys. Acta 1984, 766, 198–208. [Google Scholar] [CrossRef]
- Yordanov, I.; Dilova, S.; Petkova, R.; Pangelova, T.; Goltsev, V.; Süss, K.H. Mechanisms of the temperature damage and acclimation of the photosynthetic apparatus. Photobiochem. Photobiophys. 1986, 12, 147–155. [Google Scholar]
- Perdomo, J.A.; Capó-Bauçà, S.; Carmo-Silva, E.; Galmés, J. Rubisco and Rubisco Activase Play an Important Role in the Biochemical Limitations of Photosynthesis in Rice, Wheat, and Maize under High Temperature and Water Deficit. Front. Plant Sci. 2017, 8, 490. [Google Scholar] [CrossRef]
- Burghardt, M.; Riederer, M. Ecophysiological relevance of cuticular transpiration of deciduous and evergreen plants in relation to stomatal closure and leaf water potential. J. Exp. Bot. 2003, 54, 1941–1949. [Google Scholar] [CrossRef]
- Riederer, M. Thermodynamics of the water permeability of plant cuticles: Characterization of the polar pathway. J. Exp. Bot. 2003, 57, 2937–2942. [Google Scholar] [CrossRef] [PubMed]
- Fernández, V.; Bahamonde, H.A.; Peguero-Pina, J.J.; Gil-Pelegrín, E.; Sancho-Knapik, D.; Gil, L.; Goldbach, H.E.; Eichert, T. Physico-chemical properties of plant cuticles and their functional and ecological significance. J. Exp. Bot. 2017, 68, 5293–5306. [Google Scholar] [CrossRef]
- Yeats, T.H.; Rose, J.K.C. The formation and function of plant cuticles. Plant Physiol. 2013, 163, 5–20. [Google Scholar] [CrossRef]
- Bueno, A.; Sancho-Knapik, D.; Gil-Pelegrín, E.; Leide, J.; Peguero-Pina, J.J.; Burghardt, M.; Riederer, M. Cuticular wax coverage and its transpiration barrier properties in Quercus coccifera L. leaves: Does the environment matter? Tree Physiol. 2020, 40, 827–840. [Google Scholar] [CrossRef]
- Schuster, A.-C.; Burghardt, M.; Alfarhan, A.; Bueno, A.; Hedrich, R.; Leide, J.; Thomas, J.; Riederer, M. Effectiveness of cuticular transpiration barriers in a desert plant at controlling water loss at high temperatures. AoB Plants 2016, 8, plw027. [Google Scholar] [CrossRef]
- Vogel, S. Leaves in the lowest and highest winds: Temperature, force and shape. New Phytol. 2009, 183, 13–26. [Google Scholar] [CrossRef] [PubMed]
- Ehleringer, J.R.; Comstock, J. Leaf absorptance and leaf angle: Mechanisms for stress avoidance. In Plant Response to Stress; Tenhunen, J.D., Catarino, F.M., Lange, O.L., Oechel, W.C., Eds.; NATO ASI Series (Series G: Ecological Sciences); Springer: Berlin, Heidelberg, Germany, 1987; Volume 15, pp. 55–76. [Google Scholar]
- Leigh, A.; Sevanto, S.; Close, J.D.; Nicotra, A.B. The influence of leaf size and shape on leaf thermal dynamics: Does theory hold up under natural conditions? Plant Cell Environ. 2017, 40, 237–248. [Google Scholar] [CrossRef] [PubMed]
- Gibson, A.C. Structure-Function Relations of Warm Desert Plants; Springer: Berlin/Heidelberg, Germany, 1996. [Google Scholar]
- Vogel, S. Convective cooling at low airspeeds and the shapes of broad leaves. J. Exp. Bot. 1970, 21, 91–101. [Google Scholar] [CrossRef]
- Jubany-Marí, T.; Munné -Bosch, S.; López-Carbonell, M.; Alegre, L. Hydrogen peroxide is involved in the acclimation of the Mediterranean shrub, Cistus albidus L., to summer drought. J. Exp. Bot. 2009, 60, 107–120. [Google Scholar] [CrossRef] [PubMed]
- Feistler, A.M.; Habermann, G. Assessing the role of vertical leaves within the photosynthetic function of Styrax camporum under drought conditions. Photosynthetica 2012, 50, 613–622. [Google Scholar] [CrossRef]
- Medina, E. Adaptations of tropical trees to moisture stress. In Tropical Rain Forest Ecosystems: A. Structure and Function; Golley, F.G., Ed.; Elsevier Scientific Publishing Company: Amsterdam, The Netherlands, 1983; pp. 225–237. [Google Scholar]
- Ball, M.C.; Cowan, I.R.; Farquhar, G.D. Maintenance of leaf temperature and the optimisation of carbon gain in relation to water loss in a tropical mangrove forest. Funct. Plant Biol. 1988, 15, 263–276. [Google Scholar] [CrossRef]
- Lovelock, C.E.; Clough, B.F. Influence of solar radiation and leaf angle on leaf xanthophyll concentrations in mangroves. Oecologia 1992, 91, 518–525. [Google Scholar] [CrossRef]
- Ehleringer, J.R.; Forseth, I.N. Diurnal leaf movements and productivity in canopies. In Plant Canopies: Their Growth, Form and Function; Russel, G., Marshall, B., Jarvis, P.G., Eds.; Cambridge University Press: Cambridge, UK, 1989; pp. 129–142. [Google Scholar]
- Ortiz, C.A.; Bravo, L.A.; Pinto, M.; Cardemil, L. Physiological and molecular responses of Prosopis chilensis under field and simulation conditions. Phytochemistry 1995, 40, 1375–1382. [Google Scholar] [CrossRef]
- Arena, C.; Vitale, L.; De Santo, A.V. Paraheliotropism in Robinia pseudoacacia L.: An efficient strategy to optimise photosynthetic performance under natural environmental conditions. Plant Biol. 2008, 10, 194–201. [Google Scholar] [CrossRef]
- Wan, C.; Sosebee, R.E. Water Relations and Transpiration of Honey Mesquite on 2 Sites in West Texas. J. Range Manag. 1991, 44, 156. [Google Scholar] [CrossRef]
- Villagra, P.E.; Vilela, A.; Giordano, C.; Alvarez, J.A. Ecophysiology of Prosopis Species From the Arid Lands of Argentina: What Do We Know About Adaptation to Stressful Environments? In Desert Plants: Biology and Biotechnology; Ramawat, K.G., Ed.; Springer: Berlin/Heidelberg, Germany, 2010; pp. 321–340. [Google Scholar] [CrossRef]
- Chávez, R.O.; Clevers, J.G.P.W.; Herold, M.; Acevedo, E.; Ortiz, M. Assessing water stress of desert tamarugo trees using in situ data and very high spatial resolution remote sensing. Remote Sens. 2013, 5, 5064–5088. [Google Scholar] [CrossRef]
- Habermann, G.; Ellsworth, P.F.V.; Cazoto, J.L.; Feistler, A.M.; da Silva, L.; Donatti, D.A.; Machado, S.R. Leaf paraheliotropism in Styrax camporum confers increased light use efficiency and advantageous photosynthetic responses rather than photoprotection. Environ. Exp. Bot. 2011, 71, 10–17. [Google Scholar] [CrossRef]
- Heim, R.H.-J.; Jürgens, N.; Große-Stoltenberg, A.; Oldeland, J. The Effect of Epidermal Structures on Leaf Spectral Signatures of Ice Plants (Aizoaceae). Remote Sens. 2015, 7, 16901–16914. [Google Scholar] [CrossRef]
- Huggins, T.D.; Mohammed, S.; Sengodon, P.; Ibrahim, A.M.H.; Tilley, M.; Hays, D.B. Changes in leaf epicuticular wax load and its effect on leaf temperature and physiological traits in wheat cultivars (Triticum aestivum L.) exposed to high temperatures during anthesis. J. Agro. Crop. Sci. 2017, 204, 49–61. [Google Scholar] [CrossRef]
- Fernández-Marín, B.; Hernández, A.; Garcia-Plazaola, J.I.; Esteban, R.; Míguez, F.; Artetxe, U.; Gómez-Sagasti, M.T. Photoprotective Strategies of Mediterranean Plants in Relation to Morphological Traits and Natural Environmental Pressure: A Meta Analytical Approach. Front. Plant Sci. 2017, 8, 1051. [Google Scholar] [CrossRef]
- Werker, E. Trichome diversity and development. Ad. Bot. Res. 2000, 31, 1–35. [Google Scholar] [CrossRef]
- Bickford, C.P. Ecophysiology of leaf trichomes. Funct. Plant Biol. 2016, 43, 807–814. [Google Scholar] [CrossRef]
- Agrawal, A.A.; Fishbein, M.; Jetter, R.; Salminen, J.P.; Goldstein, J.B.; Freitag, A.E.; Sparks, J.P. Phylogenetic ecology of leaf surface traits in the milkweeds (Asclepias spp.): Chemistry, ecophysiology, and insect behavior. New Phytol. 2009, 183, 848–867. [Google Scholar] [CrossRef]
- Sakai, W.S.; Sanford, W.G. Ultrastructure of the water-absorbing trichomes of Pineapple (Ananas comosus, Bromeliaceae). Ann. Bot. 1980, 46, 7–11. [Google Scholar] [CrossRef]
- Fernández, V.; Sancho-Knapik, D.; Guzmán, P.; Peguero-Pina, J.J.; Gil, L.; Karabourniotis, G.; Khayet, M.; Fasseas, C.; Heredia-Guerrero, J.A.; Heredia, A.; et al. Wettability, polarity and water absorption of Quercus ilex leaves: Effect of leaf side and age. Plant Physiol. 2014, 166, 168–180. [Google Scholar] [CrossRef]
- Karabourniotis, G.; Bornman, J.F. Penetration of UV-A, UV-B and blue light through the leaf trichome layers of two xeromorphic plants, olive and oak, measured by optical fibre microprobes. Physiol. Plant. 1999, 105, 655–661. [Google Scholar] [CrossRef]
- Morales, F.; Abadía, A.; Abadía, J.; Montserrat, G.; Gil-Pelegrín, E. Trichomes and photosynthetic pigment composition changes: Responses of Quercus ilex subsp. ballota (Desf.) Samp. and Quercus coccifera L. to Mediterranean stress conditions. Trees 2002, 16, 504–510. [Google Scholar] [CrossRef][Green Version]
- Manetas, Y. The importance of being hairy: The adverse effects of hair removal on stem photosynthesis of Verbascum speciosum are due to solar UV-B radiation. New Phytol. 2003, 158, 503–508. [Google Scholar] [CrossRef]
- Ehleringer, J.R.; Mooney, H.A. Leaf hairs: Effects on physiological activity and adaptive value to a desert shrub. Oecologia 1978, 37, 183–200. [Google Scholar] [CrossRef] [PubMed]
- Ehleringer, J.R.; Björkman, O. A comparison of photosynthetic characteristics of Encelia species possessing glabrous and pubescent leaves. Plant Physiol. 1978, 62, 185–190. [Google Scholar] [CrossRef] [PubMed]
- Smith, W.K.; Nobel, P.S. Influences of seasonal changes in leaf morphology on water-use efficiency for three desert broadleaf shrubs. Ecology 1977, 58, 1033–1043. [Google Scholar] [CrossRef]
- Gates, D.M.; Keegan, H.J.; Schleter, J.C.; Weidner, V.R. Spectral properties of plants. Appl. Opt. 1965, 4, 11–20. [Google Scholar] [CrossRef]
- Ehleringer, J.R. Changes in leaf characteristics of species along elevational gradients in the Wasatch Front, Utah. Am. J. Bot. 1988, 75, 680–689. [Google Scholar] [CrossRef] [PubMed]
- Clark, C. Phylogeny and Adaptation in the Encelia Alliance (Asteraceae: Helliantheae). Aliso 1998, 17, 89–98. [Google Scholar] [CrossRef][Green Version]
- Ehleringer, J.R. Comparative ecophysiology of Encelia farinosa and Encelia frutescens. Energy-balance considerations. Oecologia 1988, 76, 553–561. [Google Scholar] [CrossRef]
- Ehleringer, J.R. The Influence of Water Stress and Temperature on Leaf Pubescence Development in Encelia farinosa. Am. J. Bot. 1982, 69, 670–675. [Google Scholar] [CrossRef]
- Ehleringer, J.R.; Björkman, O.; Mooney, H.A. Leaf pubescence: Effects on absorptance and photosynthesis in a desert shrub. Science 1976, 23, 376–377. [Google Scholar] [CrossRef] [PubMed]
- Ehleringer, J.R. Characterization of a glabrate Encelia farinosa mutant: Morphology, ecophysiology, and field observations. Oecologia 1983, 57, 303–310. [Google Scholar] [CrossRef] [PubMed]
- Givnish, T.J. Comparative studies of leaf form: Assessing the relative roles of selective pressures and phylogenetic constraints. New Phytol. 1987, 106, 131–160. [Google Scholar] [CrossRef]
- Ackerly, D.D.; Knight, C.A.; Weiss, S.B.; Barton, K.; Starmer, K.P. Leaf size, specific leaf area and microhabitat distribution of woody plants in a California chaparral: Contrasting patterns in species level and community level analyses. Oecologia 2002, 130, 449–457. [Google Scholar] [CrossRef] [PubMed]
- Peppe, D.J.; Royer, D.L.; Cariglino, B.; Oliver, S.Y.; Newman, S.; Leight, E.; Enikolopov, G.; Fernandez-Burgos, M.; Herrera, F.; Adams, J.M.; et al. Sensitivity of leaf size and shape to climate: Global patterns and paleoclimatic applications. New Phytol. 2011, 190, 724–739. [Google Scholar] [CrossRef] [PubMed]
- Baldocchi, D.D.; Xu, L. What limits evaporation from Mediterranean oak woodlands—the supply of moisture in the soil, physiological control by plants or the demand by the atmosphere? Adv. Water Resour. 2007, 30, 2113–2122. [Google Scholar] [CrossRef]
- Yates, M.J.; Verboom, G.A.; Rebelo, A.G.; Cramer, M.D. Ecophysiological significance of leaf size variation in Proteaceae from the Cape Floristic Region. Funct. Ecol. 2010, 24, 485–492. [Google Scholar] [CrossRef]
- Roth-Nebelsick, A. Computer-based analysis of steady-state and transient heat transfer of small-sized leaves by free and mixed convection. Plant Cell Environ. 2001, 24, 631–640. [Google Scholar] [CrossRef]
- Givnish, T.J.; Vermeij, G.J. Sizes and Shapes of Liane Leaves. Am. Nat. 1976, 110, 743–778. [Google Scholar] [CrossRef]
- Parkhurst, D.F.; Loucks, O.L. Optimal Leaf Size in Relation to Environment. J. Ecol. 1972, 60, 505–537. [Google Scholar] [CrossRef]
- Schuepp, P.H. Leaf boundary layers. New Phytol. 1993, 125, 477–507. [Google Scholar] [CrossRef]
- Peguero-Pina, J.J.; Sancho-Knapik, D.; Cochard, H.; Barredo, G.; Villarroya, D.; Gil-Pelegrín, E. Hydraulic traits are associated with the distribution range of two closely related Mediterranean firs, Abies alba Mill. and Abies pinsapo Boiss. Tree Physiol. 2011, 31, 1067–1075. [Google Scholar] [CrossRef] [PubMed]
- Peguero-Pina, J.J.; Sancho-Knapik, D.; Barrón, E.; Camarero, J.J.; Vilagrosa, A.; Gil-Pelegrín, E. Morphological and physiological divergences within Quercus ilex support the existence of different ecotypes depending on climatic dryness. Ann. Bot. 2014, 114, 301–313. [Google Scholar] [CrossRef] [PubMed]
- Esteso-Martínez, J.; Valladares, F.; Camarero, J.J.; Gil-Pelegrín, E. Crown architecture and leaf habit are associated with intrinsically different light-harvesting efficiencies in Quercus seedlings from contrasting environments. Ann. For. Sci. 2006, 63, 511–518. [Google Scholar] [CrossRef]
- Poorter, H.; Remkes, C. Leaf area ratio and net assimilation rate of 24 wild species differing in relative growth rate. Oecologia 1990, 83, 553–559. [Google Scholar] [CrossRef]
- Sisó, S.; Camarero, J.J.; Gil-Pelegrín, E. Relationship between hydraulic resistance and leaf morphology in broadleaf Quercus species: A new interpretation of leaf lobation. Trees 2001, 15, 341–345. [Google Scholar] [CrossRef]
- Balding, F.R.; Cunningham, L.G. A comparison of heat transfer characteristics of simple and pinnate leaf models. Bot. Gaz. 1976, 137, 65–74. [Google Scholar] [CrossRef]
- Vogel, S. “Sun Leaves” and “Shade Leaves”: Differences in Convective Heat Dissipation. Ecology 1968, 49, 1203–1204. [Google Scholar] [CrossRef]
- Givnish, T.J. Adaptive significance of compound leaves with particular reference to tropical trees. In Tropical Trees as Living Systems; Tomlinson, P.B., Zimmerman, M.H., Eds.; Cambridge University Press: Cambridge, UK, 1978; pp. 351–380. [Google Scholar]
- Stowe, L.G.; Brown, J.L. A geographic perspective on the ecology of compound leaves. Evolution 1981, 35, 818–821. [Google Scholar] [CrossRef]
- Talbert, C.M.; Holch, A.E. A study of the lobbing of sun and shade leaves. Ecology 1957, 38, 655–658. [Google Scholar] [CrossRef]
- Parkhurst, D.F.; Duncan, P.R.; Gates, D.M.; Kreith, F. Wind tunnel modeling of convection of heat between air and broad leaves of plants. Agric. Meteorol. 1968, 5, 33–47. [Google Scholar] [CrossRef]
- Baldocchi, D.D.; Ma, S.; Rambal, S.; Misson, L.; Ourcival, J.M.; Limousin, J.M.; Papale, D. On the differential advantages of evergreenness and deciduousness in Mediterranean oak woodlands: A flux perspective. Ecol. Appl. 2010, 20, 1583–1597. [Google Scholar] [CrossRef] [PubMed]
- Givnish, T.J. On the adaptive significance of leaf form. In Topics in Plant Population Biology; Solbrig, O.T., Jain, S., Johnson, G.B., Raven, P.H., Eds.; Columbia University Press: New York, NY, USA, 1979; pp. 375–407. [Google Scholar]
- Aparecido, L.M.T.; Woo, S.; Suazo, C.; Hultine, K.R.; Blonder, B. High water use in desert plants exposed to extreme heat. Ecol. Lett. 2020, 23, 1189–1200. [Google Scholar] [CrossRef]
- Smith, W.K. Temperatures of Desert Plants: Another Perspective on the Adaptability of Leaf Size. Science 1978, 201, 614–616. [Google Scholar] [CrossRef] [PubMed]
- Lawson, T.; Davey, P.A.; Yates, S.A.; Bechtold, U.; Baeshen, M.; Baeshen, N.; Mutwakil, M.Z.; Sabir, J.; Baker, N.R.; Mullineaux, P.M. C3 photosynthesis in the desert plant Rhazya stricta is fully functional at high temperatures and light intensities. New Phytol. 2014, 201, 862–873. [Google Scholar] [CrossRef]
- Mediavilla, S.; Escudero, A. Stomatal responses to drought at a Mediterranean site: A comparative study of co-occurring woody species differing in leaf longevity. Tree Physiol. 2003, 23, 987–996. [Google Scholar] [CrossRef] [PubMed]
- Urban, J.; Ingwers, M.W.; McGuire, M.A.; Teskey, R. Increase in leaf temperature opens stomata and decouples net photosynthesis from stomatal conductance in Pinus taeda and Populus deltoides x nigra. J. Exp. Bot. 2017, 68, 1757–1767. [Google Scholar] [CrossRef] [PubMed]
- Franks, P.J.; Beerling, D.J. Maximum leaf conductance driven by CO2 effects on stomatal size and density over geologic time. Proc. Natl. Acad. Sci. USA 2009, 106, 10343–10347. [Google Scholar] [CrossRef] [PubMed]
- Peguero-Pina, J.J.; Sisó, S.; Fernández-Marín, B.; Flexas, J.; Galmés, J.; García-Plazaola, J.I.; Niinemets, Ü.; Sancho-Knapik, D.; Gil-Pelegrín, E. Leaf functional plasticity decreases the water consumption without further consequences for carbon uptake in Quercus coccifera L. under Mediterranean conditions. Tree Physiol. 2016, 36, 356–367. [Google Scholar] [CrossRef] [PubMed]
- Scareli-Santos, C.; Sánchez-Mondragón, M.L.; González-Rodríguez, A.; Oyama, K. Foliar micromorphology of Mexican oaks (Quercus: Fagaceae). Acta Bot. Mex. 2013, 104, 31–52. [Google Scholar] [CrossRef][Green Version]
- Panahi, P.; Jamzad, Z.; Pourmajidian, M.R.; Fallah, A.; Pourhashemi, M. Foliar epidermis morphology in Quercus (subgenus Quercus, section Quercus) in Iran. Acta Bot. Croat. 2012, 71, 95–113. [Google Scholar] [CrossRef]
- Roth-Nebelsick, A.; Fernández, V.; Peguero-Pina, J.J.; Sancho-Knapik, D.; Gil-Pelegrín, E. Stomatal encryption by epicuticular waxes as a plastic trait modifying gas exchange in a Mediterranean evergreen species (Quercus coccifera L.). Plant Cell Environ. 2013, 36, 579–589. [Google Scholar] [CrossRef]
- Ripley, B.S.; Pammenter, N.W.; Smith, V.R. Function of leaf hairs revisited: The hair layer on leaves of Arctotheca populifolia reduces photoinhibition, but leads to higher leaf temperatures caused by lower transpiration rates. J. Plant Physiol. 1999, 155, 78–85. [Google Scholar] [CrossRef]
- Benz, B.W.; Martin, C.E. Foliar trichomes, boundary layers, and gas exchange in 12 species of epiphytic Tillandsia (Bromeliaceae). J. Plant Physiol. 2006, 163, 648–656. [Google Scholar] [CrossRef]
- Jordan, G.J.; Weston, P.H.; Carpenter, R.J.; Dillon, R.A.; Brodribb, T.J. The evolutionary relations of sunken, covered and encrypted stomata to dry habitats in Proteaceae. Am. J. Bot. 2008, 95, 521–530. [Google Scholar] [CrossRef]
- Roth-Nebelsick, A.; Hassiotou, F.; Veneklaas, E.J. Stomatal crypts have small effects on transpiration: A numerical model analysis. Plant Physiol. 2009, 151, 2018–2027. [Google Scholar] [CrossRef]
- García-Plazaola, J.I.; Esteban, R.; Hormaetxe, K.; Fernández-Marín, B.; Becerril, J.M. Photoprotective responses of Mediterranean and Atlantic trees to the extreme heat-wave of summer 2003 in Southwestern Europe. Trees 2008, 22, 385–392. [Google Scholar] [CrossRef]
- Peguero-Pina, J.J.; Sancho-Knapik, D.; Morales, F.; Flexas, J.; Gil-Pelegrín, E. Differential photosynthetic performance and photoprotection mechanisms of three Mediterranean evergreen oaks under severe drought stress. Funct. Plant Biol. 2009, 36, 453–462. [Google Scholar] [CrossRef]
© 2020 by the authors. Licensee MDPI, Basel, Switzerland. This article is an open access article distributed under the terms and conditions of the Creative Commons Attribution (CC BY) license (http://creativecommons.org/licenses/by/4.0/).







