Fire Scars Negatively Affect Hydraulic Conductivity in White Oak (Quercus alba)
Abstract
1. Introduction
2. Materials and Methods
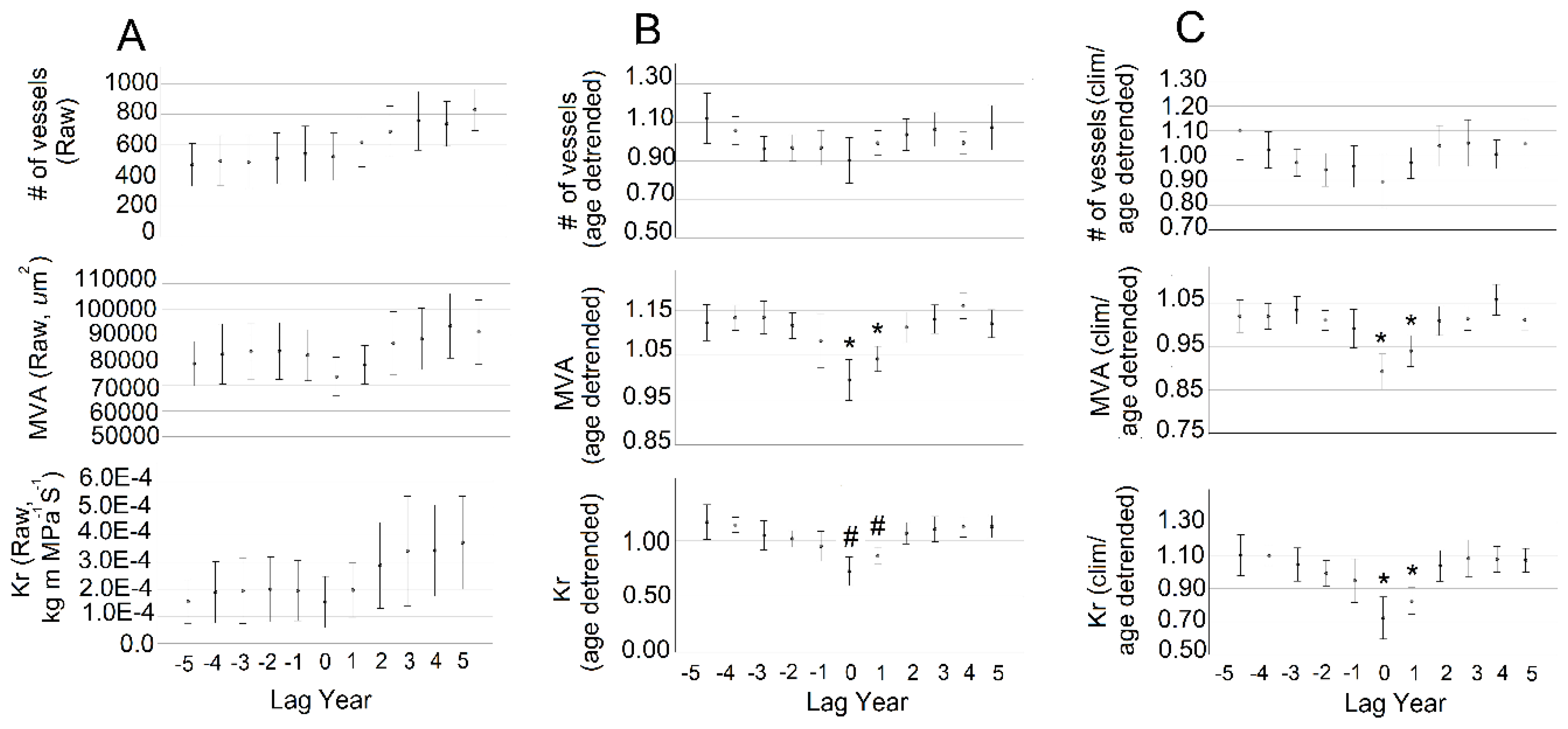
3. Results
Significant Effects of Fire on Detrended Kr Time Series
4. Discussion
5. Conclusions
Supplementary Materials
Author Contributions
Funding
Acknowledgments
Conflicts of Interest
References
- Mooney, H.A.; Dunn, E.L. Convergent evolution of Mediterranean-climate evergreen sclerophyll shrubs. Evolution 1970, 24, 292–303. [Google Scholar] [CrossRef] [PubMed]
- Watts, W.A. Late Quaternary vegetation of central Appalachia and the New Jersey coastal plain. Ecol. Monogr. 1979, 49, 427–469. [Google Scholar] [CrossRef]
- Zavala, M.A.; Espelta, J.M.; Retana, J. Constraints and trade-offs in Mediterranean plant communities: The case of holm oak-Aleppo pine forests. Bot. Rev. 2000, 66, 119–149. [Google Scholar] [CrossRef]
- Umbanhowar, C.E.; Camill, P.; Geiss, C.E.; Teed, R. Asymmetric vegetation responses to mid-Holocene aridity at the prairie–forest ecotone in south-central Minnesota. Quat. Res. 2006, 66, 53–66. [Google Scholar] [CrossRef]
- Smith, K.T.; Sutherland, E.K. Fire-scar formation and compartmentalization in oak. Can. J. For. Res. 1999, 29, 166–171. [Google Scholar] [CrossRef]
- Stambaugh, M.C.; Smith, K.T.; Dey, D.C. Fire scar growth and closure rates in white oak (Quercus alba) and the implications for prescribed burning. For. Ecol. Manag. 2017, 391, 396–403. [Google Scholar] [CrossRef]
- Abrams, M.D. Fire and the development of oak forests. BioScience 1992, 42, 346–353. [Google Scholar] [CrossRef]
- Albrecht, M.A.; McCarthy, B.C. Effects of prescribed fire and thinning on tree recruitment patterns in central hardwood forests. For. Ecol. Manag. 2006, 226, 88–103. [Google Scholar] [CrossRef]
- Hutchinson, T.F.; Long, R.P.; Rebbeck, J.; Sutherland, E.K.; Yaussy, D.A. Repeated prescribed fires alter gap-phase regeneration in mixed-oak forests. Can. J. For. Res. 2012, 42, 303–314. [Google Scholar] [CrossRef]
- Nowacki, G.J.; Abrams, M.D. The demise of fire and “mesophication” of forests in the eastern United States. AIBS Bull. 2008, 58, 123–138. [Google Scholar] [CrossRef]
- Arthur, M.A.; Alexander, H.; Dey, D.C.; Schweitzer, C.J.; Loftis, D.L. Refining the oak-fire hypothesis for management of oak-dominated forests of the eastern United States. J. For. 2012, 110, 257–266. [Google Scholar] [CrossRef]
- Guyette, R.P.; Muzika, R.M.; Dey, D.C. Dynamics of an anthropogenic fire regime. Ecosystems 2002, 5, 472–486. [Google Scholar]
- McEwan, R.W.; Hutchinson, T.F.; Long, R.P.; Ford, R.D.; McCarthy, B.C. Temporal and spatial patterns of fire occurrence during the establishment of mixed-oak forests in eastern North America. J. Veg. Sci. 2007, 18, 655–664. [Google Scholar] [CrossRef]
- Stambaugh, M.C.; Guyette, R.P. Fire regime of an Ozark wilderness area, Arkansas. Am. Midl. Nat. 2006, 156, 237–251. [Google Scholar] [CrossRef]
- Stambaugh, M.C.; Marschall, J.M.; Abadir, E.R.; Jones, B.C.; Brose, P.H.; Dey, D.C.; Guyette, R.P. Wave of fire: An anthropogenic signal in historical fire regimes across central Pennsylvania, USA. Ecosphere 2018, 9, 1–28. [Google Scholar] [CrossRef]
- Devivo, M.S. Indian use of fire and land clearance in the Southern Appalachians. In Fire and the Environment: Ecological and Cultural Perspectives; General Technical Report SE-09; US Department of Agriculture, Forest Service: Washington, DC, USA, 1991; pp. 306–309. [Google Scholar]
- Williams, G.W. References on the American Indian Use of Fire in Ecosystems. 1994. Available online: http://wings.buffalo.edu/anthropology/Documents/firebib.txt (accessed on 24 January 2019).
- Dey, D.C.; Schweitzer, C.J. Timing fire to minimize damage in managing oak ecosystems. In Proceedings of the 17th Biennial Southern Silvicultural Research Conference; Shreveport, L.A., Gordon, H.A., Connor, K.F., Haywood, J.D., Eds.; USDA Forest Service, Southern Research Station: Asheville, NC, USA, 2015; p. 11. [Google Scholar]
- Ryan, K.C.; Knapp, E.E.; Varner, J.M. Prescribed fire in North American forests and woodlands: History, current practice, and challenges. Front. Ecol. Environ. 2013, 11, 15–24. [Google Scholar] [CrossRef]
- An Assessment of Missouri Forest Health Issues and Their Impact on Future Management Priorities; Missouri Forest Products Association (MFPA): Jefferson City, MO, USA, 2013; p. 24.
- Loomis, R.M. Predicting the Losses in Sawtimber Volume and Quality from Fire in Oak-Hickory Forests; Res. Pap. NC-104; U.S. Department of Agriculture, Forest Service, North Central Forest Experiment Station: St. Paul, MN, USA, 1975; p. 6.
- Guyette, R.P.; Stambaugh, M.C.; Stevenson, A.; Muzika, R. Prescribed Fire Effects on the Wood Quality of Oak (Quercus species) and Shortleaf Pine (Pinus echinata); Final Report Prepared for the Missouri; Department of Conservation: Jefferson City, MO, USA, 2008; p. 115.
- Marschall, J.M.; Guyette, R.P.; Stambaugh, M.C.; Stevenson, A.P. Fire damage effects on red oak timber product value. For. Ecol. Manag. 2014, 320, 182–189. [Google Scholar] [CrossRef]
- Wiedenbeck, J.; Smith, K.T. Hardwood management, tree wound response, and wood product value. For. Chron. 2018, 94, 292–306. [Google Scholar]
- Smith, K.T.; Sutherland, E.K. Resistance of eastern hardwood stems to fire injury and damage. In Fire in Eastern Oak Forests: Delivering Science to Land Managers, Proceedings of a Conference, Columbus, OH, USA, 15–17 November 2005; General Technical Report NRS-P-1; Dickinson, M.B., Ed.; U.S. Department of Agriculture, Forest Service, Northern Research Station: Newtown Square, PA, USA, 2006; pp. 210–217. [Google Scholar]
- Smith, K.T. Compartmentalization, resource allocation, and wood quality. Curr. For. Rep. 2015, 1, 8–15. [Google Scholar] [CrossRef]
- Pearce, R.B. Antimicrobial defenses in the wood of living trees. New Phytol. 1996, 132, 203–233. [Google Scholar] [CrossRef]
- Tyree, M.T.; Zimmermann, M.H. Xylem Structure and the Ascent of Sap; Springer: Berlin/Heidelberg, Germany, 2002; p. 283. [Google Scholar]
- Cochard, H.; Tyree, M.T. Xylem dysfunction in Quercus: Vessel sizes, tyloses, cavitation and seasonal changes in embolism. Tree Physiol. 1990, 6, 393–407. [Google Scholar] [CrossRef] [PubMed]
- Michaletz, S.T.; Johnson, E.A.; Tyree, M.T. Moving beyond the cambium necrosis hypothesis of post-fire tree mortality: Cavitation and deformation of xylem in forest fires. New Phytol. 2012, 164, 254–263. [Google Scholar] [CrossRef] [PubMed]
- Michaletz, S.T. Xylem dysfunction in fires: Towards a hydraulic theory of plant responses to multiple disturbance stressors. New Phytol. 2018, 217, 1391–1393. [Google Scholar] [CrossRef] [PubMed]
- González-González, B.D.; Rozas, V.; García-González, I. Earlywood vessels of the sub-Mediterranean oak Quercus pyrenaica have greater plasticity and sensitivity than those of the temperate Q. petraea at the Atlantic–Mediterranean boundary. Trees 2014, 28, 237–252. [Google Scholar] [CrossRef]
- Carrer, M.; von Arx, G.; Castagneri, D.; Petit, G. Distilling allometric and environmental information from time series of conduit size: The standardization issue and its relationship to tree hydraulic architecture. Tree Physiol. 2015, 35, 27–33. [Google Scholar] [CrossRef] [PubMed]
- Castagneri, D.; Petit, G.; Carrer, M. Divergent climate response on hydraulic-related xylem anatomical traits of Picea abies along a 900-m altitudinal gradient. Tree Physiol. 2015, 35, 1378–1387. [Google Scholar] [CrossRef] [PubMed]
- Wilkinson, S.; Ogée, J.; Domec, J.-C.; Rayment, M. Wingate. Biophysical modelling of intra-ring variations in tracheid features and wood density of Pinus pinaster trees exposed to seasonal droughts. Tree Physiol. 2015, 35, 305–318. [Google Scholar] [CrossRef] [PubMed]
- Daly, C.; Gibson, W.P.; Doggett, M.; Smith, J.; Taylor, G. Up-to-Date Monthly Climate Maps for the Conterminous United States. In Proceedings of the 14th American Meteorological Society Conference on Applied Climatology, Seattle, WA, USA, 13–16 January 2004. [Google Scholar]
- Stokes, M.; Smiley, T. Introduction to Tree-Ring Dating; Univ. of Chicago Press: Chicago, IL, USA, 1968; p. 73. [Google Scholar]
- Holmes, R.L. Computer-assisted quality control in tree-ring dating and measurements. Tree Ring Bull. 1983, 43, 69–78. [Google Scholar]
- Grissino-Mayer, H.D. Evaluating crossdating accuracy: A manual and tutorial for the computer program COFECHA. Tree Ring Res. 2001, 57, 205–221. [Google Scholar]
- Von Arx, G.; Carrer, M. ROXAS—A new tool to build centuries-long tracheid-lumen chronologies in conifers. Dendrochronologia 2014, 32, 290–293. [Google Scholar] [CrossRef]
- Lewis, A.M.; Boose, E.R. Estimating Volume Flow Rates Through Conduits. Am. J. Bot. 1995, 82, 1111–1116. [Google Scholar] [CrossRef]
- Warnes, G.R.; Bolker, B.; Bonebakker, L.; Gentleman, R.; Huber, W.; Liaw, A.; Lumley, T.; Maechler, M.; Magnusson, A.; Moeller, S.; et al. gplots: Various R programming tools for plotting data. R Package Version 2009, 2, 1. [Google Scholar]
- RStudio Team. RStudio: Integrated Development for R.; RStudio, Inc.: Boston, MA, USA, 2017; Available online: http://www. rstudio.com (accessed on 3 February 2019).
- Cook, E.R.; Holmes, R.L. Guide for Computer Program ARSTAN. Int. Tree-Ring Data Bank Program Libr. Version 1996, 2, 75–87. [Google Scholar]
- West, G.B.; Brown, J.H.; Enquist, B.J. A general model for the structure and allometry of plant vascular systems. Nature 1999, 400, 664–667. [Google Scholar] [CrossRef]
- Anfodillo, T.; Carraro, V.; Carrer, M.; Fior, C.; Rossi, S. Convergent tapering of xylem conduits in different woody species. New Phytol. 2006, 169, 279–290. [Google Scholar] [CrossRef]
- Bryukhanova, M.; Fonti, P. Xylem plasticity allows rapid hydraulic adjustment to annual climatic variability. Trees 2013, 27, 485–496. [Google Scholar] [CrossRef]
- Xu, J.; Lu, J.; Bao, F.; Evans, R.; Downes, G.M. Climate response of cell characteristics in tree rings of Picea crassifolia. Holzforschung 2013, 67, 217–225. [Google Scholar] [CrossRef]
- García-González, I.; Eckstein, D. Climatic signal of earlywood vessels of oak on a maritime site. Tree Physiol. 2003, 23, 497–504. [Google Scholar] [CrossRef]
- Fonti, P.; García-González, I. Earlywood vessel size of oak as potential proxy for spring precipitation in mesic sites. J. Biogeogr. 2008, 35, 2249–2257. [Google Scholar] [CrossRef]
- Plomion, C.; Leprovost, G.; Stokes, A. Wood formation in trees. Plant Physiol. 2001, 127, 1513–1523. [Google Scholar] [CrossRef]
- Tyree, M.T.; Sperry, J.S. Vulnerability of xylem to cavitation and embolism. Annu. Rev. Plant Biol. 1989, 40, 19–36. [Google Scholar] [CrossRef]
- Voelker, S.L.; Noirot-Cosson, P.E.; Stambaugh, M.C.; McMurry, E.R.; Meinzer, F.C.; Lachenbruch, B.; Guyette, R.P. Spring temperature responses of oaks are synchronous with North Atlantic conditions during the last deglaciation. Ecol. Monogr. 2012, 82, 169–187. [Google Scholar] [CrossRef]
- Eilmann, B.; Zweifel, R.; Buchmann, N.; Fonti, P.; Rigling, A. Drought induced adaptation of xylem in Scots pine and pubescent oak. Tree Physiol. 2009, 29, 1011–1020. [Google Scholar] [CrossRef] [PubMed]
- Woodcock, D.W. Climate sensitivity of wood-anatomical features in a ring-porous oak (Quercus macrocarpa). Can. J. For. Res. 1989, 19, 639–644. [Google Scholar] [CrossRef]
- Tardif, J.C.; Conciatori, F. Influence of climate on tree rings and vessel features in red oak and white oak growing near their northern distribution limit, southwestern Quebec, Canada. Can. J. For. Res. 2006, 36, 2317–2330. [Google Scholar] [CrossRef]
- Fink, S. Pathological and Regenerative Plant Anatomy; Gebruder Borntraeger: Stuttgart, Germany, 1999; p. 1095. [Google Scholar]
- Smith, K.T.; Arbellay, E.; Falk, D.A.; Sutherland, E.K. Macroanatomy and compartmentalization of recent fire scars in three North American conifers. Can. J. For. Res. 2016, 46, 535–542. [Google Scholar] [CrossRef]
- Kabrick, J.M.; Dey, D.C.; Jensen, R.G.; Wallendorf, M. The role of environmental factors in oak decline and mortality in the Ozark Highlands. For. Ecol. Manag. 2008, 255, 1409–1417. [Google Scholar] [CrossRef]
- Fan, Z.; Fan, X.; Crosby, M.K.; Moser, W.K.; He, H.; Spetich, M.A.; Shifley, S.R. Spatio-temporal trends of oak decline and mortality under periodic regional drought in the Ozark Highlands of Arkansas and Missouri. Forests 2012, 3, 614–631. [Google Scholar] [CrossRef]
- Howard, E.T. Bark structure of southern upland oaks. Wood Fiber Sci. 2007, 9, 172–183. [Google Scholar]




| Tree Number | Age | Radius from Pith When Scarred (mm) | Height of Section (m) | Percentage of Circumfence Scarred |
|---|---|---|---|---|
| RUD01A | 14 | 21.90 | 0.07 | 15 |
| RUD01B | 14 | 23.08 | 0.12 | 56 |
| RUD05B | 14 | 37.08 | 0.75 | 33 |
| RUD11B | 19 | 33.54 | 0.39 | 36 |
| RUD13B | 20 | 25.10 | 0.21 | 26 |
| RUD28A | 13 | 25.27 | 0.06 | 30 |
| RUD36A | 15 | 88.78 | 0.14 | 13 |
| RUD39B | 21 | 41.13 | 0.40 | 21 |
| RUD40B | 12 | 25.22 | 0.30 | 19 |
| RUD25B | 15 | 22.35 | 0.51 | 49 |
| RUD36B | 48 | 76.33 | 0.48 | 24 |
| RUD13A | 20 | 24.50 | 0.08 | 21 |
| RUD41A | 18 | 30.47 | 0.06 | 42 |
| RUD35A | 19 | 9.24 | 0.15 | 0.47 |
© 2019 by the authors. Licensee MDPI, Basel, Switzerland. This article is an open access article distributed under the terms and conditions of the Creative Commons Attribution (CC BY) license (http://creativecommons.org/licenses/by/4.0/).
Share and Cite
Dee, J.R.; Stambaugh, M.C.; Smith, K.T.; Dey, D.C. Fire Scars Negatively Affect Hydraulic Conductivity in White Oak (Quercus alba). Forests 2019, 10, 812. https://doi.org/10.3390/f10090812
Dee JR, Stambaugh MC, Smith KT, Dey DC. Fire Scars Negatively Affect Hydraulic Conductivity in White Oak (Quercus alba). Forests. 2019; 10(9):812. https://doi.org/10.3390/f10090812
Chicago/Turabian StyleDee, Justin R., Michael C. Stambaugh, Kevin T. Smith, and Daniel C. Dey. 2019. "Fire Scars Negatively Affect Hydraulic Conductivity in White Oak (Quercus alba)" Forests 10, no. 9: 812. https://doi.org/10.3390/f10090812
APA StyleDee, J. R., Stambaugh, M. C., Smith, K. T., & Dey, D. C. (2019). Fire Scars Negatively Affect Hydraulic Conductivity in White Oak (Quercus alba). Forests, 10(9), 812. https://doi.org/10.3390/f10090812

