Characteristics of VOCs Released from Plywood in Airtight Environments
Abstract
:1. Introduction
2. Materials and Methods
2.1. Materials
2.2. Equipment
2.3. Methods
2.3.1. Sampling
2.3.2. Analytical Methods
3. Results and Discussion
3.1. Comparison of Dynamic and Airtight Experiment
3.2. Trend of VOCs of Plywood with Time under Four Loading Ratios
3.3. Effect of Finishing Materials on VOC-Components Proportion
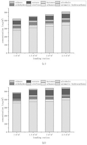
3.4. Effect of Loading Ratios on VOC-Components Concentration
4. Conclusions
Author Contributions
Funding
Acknowledgments
Conflicts of Interest
References
- Jiang, L.Q.; Shen, J.; Li, H.W.; Wang, Q.F.; Shen, X.W. Effects of Volatile Organic Compounds Released by Different Decorative Particleboards on Indoor Air Quality. Bioresources 2018, 13, 7595–7605. [Google Scholar] [CrossRef]
- Rui, L.; Buccolieri, R.; Gao, Z.; Ding, W.; Shen, J. The Impact of Green Space Layouts on Microclimate and Air Quality in Residential Districts of Nanjing, China. Forests 2018, 9, 224. [Google Scholar] [CrossRef]
- Marando, F.; Salvatori, E.; Fusaro, L.; Manes, F. Removal of PM10 by Forests as a Nature-Based Solution for Air Quality Improvement in the Metropolitan City of Rome. Forests 2016, 7, 150. [Google Scholar] [CrossRef]
- Jiang, C.; Li, D.; Zhang, P.; Li, J.; Wang, J.; Yu, J. Formaldehyde and volatile organic compound (VOC) emissions from particleboard: Identification of odorous compounds and effects of heat treatment. J. Build. Environ. 2017, 117, 118–126. [Google Scholar] [CrossRef]
- Shao, Y.L.; Shen, J.; Shen, X.W.; Qin, J.K. Effect of panel area–volume ratio on TVOC released from decorative particleboards. Wood Fiber Sci. 2018, 50, 132–142. [Google Scholar]
- Liu, W.J.; Shen, J.; Wang, Q.F. Design of DL-SW micro-cabin for rapid detection and analysis of VOCs from wood-based panels. J. For. Eng. 2017, 4, 40–45. [Google Scholar]
- Zhao, Y.; Shen, J.; Zhao, G.L. Measurement of VOC release rate of plywood and its impact on indoor environment. J. Saf. Environ. 2015, 15, 316–319. [Google Scholar]
- Liu, Y.; Zhu, X.D. Application of comprehensive index method in the evaluation of volatile organic compound pollution from wood-based panel. J. Environ. Health 2012, 28, 369–370. [Google Scholar]
- Wang, Q.F.; Shen, J.; Shen, X.W.; Du, J.H. Volatile Organic Compounds and Odor Emissions from Alkyd Resin Enamel-coated Particleboard. Bioresources 2018, 13, 6837–6849. [Google Scholar]
- Liu, R.; Huang, A.M.; Wang, C.; Lu, B. Review of Odor Source and Controlling Technology for Furniture. J. Wood Ind. 2018, 32, 34–38. [Google Scholar]
- Filipy, J.; Rumburg, B.; Mount, G.; Westberg, H.; Lamb, B. Identification and quantification of volatile organic compounds from a dairy. J. Atmos. Environ. 2006, 40, 1480–1494. [Google Scholar] [CrossRef]
- Järnström, H.; Saarela, K.; Kalliokoski, P.; Pasanen, A.-L. Comparison of VOC and ammonia emissions from individual PVC materials, adhesives and from complete structures. J. Environ. Int. 2008, 34, 420–427. [Google Scholar] [CrossRef]
- Tsai, C.J.; Chen, M.L.; Chang, K.F.; Chang, F.K.; Mao, I.F. The pollution characteristics of odor, volatile organ chlorinated compounds and polycyclic aromatic hydrocarbons emitted from plastic waste recycling plants. J. Chemosphere 2009, 74, 1104–1110. [Google Scholar] [CrossRef] [PubMed]
- Wang, J.X. Study on Impact of Environmental Factors on Emission of VOC from Wood-Based Panels. Master’s Thesis, Northeast Forestry University, Harbin, China, 2011. [Google Scholar]
- Wang, Q.F.; Shen, J.; Jiang, L.Q.; Dong, H.J. Comprehensive evaluation on impact of melamine veneer particleboard on indoor environment. J. Cent. South For. Univ. 2019, 39, 99–106. [Google Scholar]
- Li, Z.J.; Shen, J.; Jiang, L.Q.; Li, X.B.; Dong, H.J.; Wang, Q.F. Odor emission analysis of melamine faced MDF. J. Beijing For. Univ. 2018, 40, 117–123. [Google Scholar]
- Wang, W.C.; Liu, Y.; Zhu, X.D. Formaldehyde controlled release from veneer panel based on urea microcapsules. J. For. Eng. 2018, 3, 46–50. [Google Scholar]
- Cao, T.Y.; Shen, J.; Liu, W.J.; Shao, Y.L. Effect of Environment on the Release of VOCs from Wood-based Panel which Detected by DL-SW Micro-cabin. J. Northeast For. Univ. 2018, 46, 72–76. [Google Scholar]
- Liang, W.; Lv, M.; Yang, X. The effect of humidity on formaldehyde emission parameters of a medium-density fiberboard: Experimental observations and correlations. J. Build. Environ. 2016, 101, 110–115. [Google Scholar] [CrossRef]
- Liu, Y.; Shen, J.; Zhu, X.D. Effect of hot-pressing parameters on the emission of volatile organic compounds from particleboard. J. Beijing For. Univ. 2008, 30, 139–142. [Google Scholar]
- Shen, J.; Liu, Y.; Zhang, X.W. Study on the volatile organic compounds emission from wood-based composites. J. China For. Prod. Ind. 2006, 33, 5–9. [Google Scholar]
- Shen, J.; Liu, Y.; Zhang, W.C. Study on Particleboard VOCs Release; Science Press: Beijing, China, 2013. [Google Scholar]
- Chen, F. Study on the Release Characteristics and Influence Factors of Volatile Organic Compounds Emission from Surface Finishing Particleboard. Master’s Thesis, Northeast Forestry University, Harbin, China, 2010. [Google Scholar]
- Jiang, L.Q.; Shen, J.; Dong, H.J.; Shen, X.W. Effects of finishes on VOCs emission from particleboard. J. Beijing For. Univ. 2018, 40, 110–116. [Google Scholar]
- Zhang, W.C. Research in Characteristics of VOC Release from Interior Overlaid Particleboard. Master’s Thesis, Northeast Forestry University, Harbin, China, 2011. [Google Scholar]
- Zhang, Y.F. Several environmentally-friendly finishing products for panel and their production technology. J. For. Ind. 2002, 04, 26–28. [Google Scholar]
- Deng, F.J.; Shen, J.; Li, Y.B.; Wang, J.X. Impacts of isocyanate concentration on TVOC emission from treated poplar wood. J. For. Eng. 2016, 32, 46–50. [Google Scholar]
- He, Z.K. Control of VOC Emissions from Wood-Based Panels: Principle, Method and Effect. Master’s Thesis, Tsinghua University, Beijing, China, 2011. [Google Scholar]
- Park, J.-Y.; Lee, S.-M.; Park, B.-D.; Lim, J.-Y.; Jang, S.-G.; Kim, S. Effect of surface laminate type on the emission of volatile organic compounds from wood-based composite panels. J. Adhes. Sci. Technol. 2013, 27, 620–631. [Google Scholar] [CrossRef]
- Li, S.; Shen, J.; Jiang, S.M. Characteristics of VOC Emission from Plywood in Different Environment Factors. J. For. Sci. 2013, 49, 179–184. [Google Scholar]
- Liang, H.; Yu, B.L.; He, Z.J.; Zhang, H.T.; Zhang, X.C.; Yu, F.; Zhou, Z.M. Behavioral characteristics of volatile organic compounds in closed-loop environment. PLA J. Prev. Med. 1999, 2, 10–14. [Google Scholar]
- Shen, J.; Jiang, L.Q. A review of research on VOCs release from wood-based panels. J. For. Eng. 2018, 3, 1–10. [Google Scholar]
- Shao, Y.L.; Shen, J.; Deng, F.J.; Li, Y.B.; Shen, X.W. The influence of surface coating on TVOC emissions from the treated populus wood. J. Cent. South For. Univ. 2018, 38, 114–121. [Google Scholar]
- Li, C.Y.; Shen, X.B.; Shi, Y. Study on VOC Emissions from Plywood Using a Climate Chamber. J. Wood Ind. 2007, 4, 40–42. [Google Scholar]






© 2019 by the authors. Licensee MDPI, Basel, Switzerland. This article is an open access article distributed under the terms and conditions of the Creative Commons Attribution (CC BY) license (http://creativecommons.org/licenses/by/4.0/).
Share and Cite
Cao, T.; Shen, J.; Wang, Q.; Li, H.; Xu, C.; Dong, H. Characteristics of VOCs Released from Plywood in Airtight Environments. Forests 2019, 10, 709. https://doi.org/10.3390/f10090709
Cao T, Shen J, Wang Q, Li H, Xu C, Dong H. Characteristics of VOCs Released from Plywood in Airtight Environments. Forests. 2019; 10(9):709. https://doi.org/10.3390/f10090709
Chicago/Turabian StyleCao, Tianyu, Jun Shen, Qifan Wang, Huifang Li, Cong Xu, and Huajun Dong. 2019. "Characteristics of VOCs Released from Plywood in Airtight Environments" Forests 10, no. 9: 709. https://doi.org/10.3390/f10090709
APA StyleCao, T., Shen, J., Wang, Q., Li, H., Xu, C., & Dong, H. (2019). Characteristics of VOCs Released from Plywood in Airtight Environments. Forests, 10(9), 709. https://doi.org/10.3390/f10090709
