Assessing Landscape Fire Hazard by Multitemporal Automatic Classification of Landsat Time Series Using the Google Earth Engine in West-Central Spain
Abstract
1. Introduction
2. Materials and Methods
2.1. Study Area
2.2. Data
2.2.1. Landsat Images
2.2.2. Auxiliary Data: Vegetation Maps, Digital Terrain Model, Orthophotography
2.2.3. Collection 6 MODIS Burned Area Product (MCD64A1)
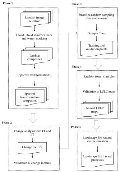
2.3. Methods
2.3.1. Phase 1: Approach for Image Processing and Generation of Spectral Indices
2.3.2. Phase 2: Change Analysis in LTS
2.3.3. Phase 3: Sampling Process
2.3.4. Phase 4: Annual LULC Maps Classification and Validation
2.3.5. Phase 5: Landscape Fire Hazard Characterization
3. Results
3.1. Landsat Images Composites
3.2. Change Analysis
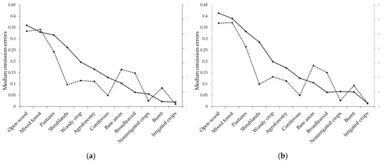
3.3. Training and Validation Points
3.4. Annual LULC Maps
3.5. Landscape Fire Hazard Characterization
4. Discussion
4.1. Methodological Issues
4.2. Changes in Landscape Fire Hazard
5. Conclusions
Author Contributions
Funding
Acknowledgments
Conflicts of Interest
Appendix A

| Type | Parameters | Value |
|---|---|---|
| Segmentation | maximum number of segments | 6 |
| spikeThreshold | 0.9 | |
| recovery threshold | 0.25 | |
| p-value for the fitted trajectory | 0.05 | |
| Change magnitude filter | tree_loss1 | 110 |
| tree_loss20 | 200 | |
| pre_val_loss | 400 | |
| mag_tree_gain | 300 | |
| pre_val_gain | 300 |
Appendix B
| Type | LULC Change | From | To |
|---|---|---|---|
| Nonhazardous changes | Artificialization | All LULC types | Bare areas |
| Agriculture intensification | All LULC types | Croplands ( nonirrigated, irrigated or woody crops) | |
| Agroforestry areas | |||
| Pastures | |||
| Nonhazardous stability | Croplands (nonirrigated, irrigated or woody crops) | Croplands (nonirrigated, irrigated or woody crops)/Agroforestry areas | |
| Agroforestry areas | Agroforestry areas/ Croplands (nonirrigated, irrigated or woody crops) | ||
| Bare areas | Bare areas | ||
| Broadleaved Forest | Broadleaved Forest | ||
| Nonhazardous forest conversion | Forest (coniferous, mixed and open) | Broadleaved Forest | |
| Nonhazardous densification | Open Forest | Broadleaved Forest | |
| Nonhazardous afforestation | Croplands (nonirrigated, irrigated or woody crops) | Broadleaved Forest | |
| Pastures | |||
| Shrublands | |||
| Hazardous changes | Deforestation | Agroforestry areas | Shrublands/pastures/burnt areas |
| Broadleaves Forest | Open forests/shrublands/pastures | ||
| Forest (coniferous, mixed and open) | Open forests/shrublands/pastures | ||
| Burning degradation | All LULC types | Burnt areas | |
| Degradation | Shrublands | Pastures | |
| Hazardous forest conversion | Mixed Forest | Coniferous forest | |
| Encroachment | Burnt areas/bare areas | Pastures, Shrublands | |
| Agriculture abandonment | Croplands (nonirrigated, irrigated or woody crops) | Pastures/shrublands | |
| Agroforestry areas | Open forests/shrublands/pastures | ||
| Pastures | Shrublands | ||
| Hazardous densification | Open Forest | Forest (coniferous and mixed) | |
| Shrublands | Open Forest | ||
| Hazardous afforestation | Croplands (nonirrigated, irrigated or woody crops) | Forest (coniferous, mixed and open) | |
| Agroforestry areas | |||
| Pastures | |||
| Shrublands | |||
| Hazardous stability | Forest (coniferous, mixed and open) | Forest (coniferous, mixed and open) |
Appendix C
| Class | Nonirrigated Crops | Irrigated Crops | Burnt | Woody Crops | Agroforestry | Pastures | Broadleaved | Coniferous | Mixed | Shrublands | Open Forest | Bare Areas |
|---|---|---|---|---|---|---|---|---|---|---|---|---|
| Nonirrigated crops | 0.0 | |||||||||||
| Irrigated crops | 1407.6 | 0.0 | ||||||||||
| Burnt | 1411.9 | 1414.1 | 0.0 | |||||||||
| Woody Crops | 1241.5 | 1348.9 | 1409.9 | 0.0 | ||||||||
| Agroforestry | 1319.2 | 1403.3 | 1410.9 | 1003.9 | 0.0 | |||||||
| Pastures | 1211.4 | 1403.9 | 1412.9 | 1056.4 | 902.7 | 0.0 | ||||||
| Broadleaved | 1411.1 | 1231.1 | 1413.8 | 1341.5 | 1381.6 | 1397.2 | 0.0 | |||||
| Coniferous | 1413.1 | 1393.4 | 1406.4 | 1390.3 | 1395.1 | 1412.0 | 1301.7 | 0.0 | ||||
| Mixed | 1412.7 | 1409.1 | 1409.5 | 1374.8 | 1360.3 | 1406.5 | 1355.0 | 1201.9 | 0.0 | |||
| Shrublands | 1373.0 | 1400.6 | 1380.5 | 1175.2 | 1050.1 | 1288.9 | 1360.6 | 1288.5 | 1208.1 | 0.0 | ||
| Open forest | 1408.7 | 1360.6 | 1410.6 | 1306.7 | 1332.0 | 1392.9 | 1090.9 | 1096.6 | 982.4 | 1178.9 | 0.0 | |
| Bare Areas | 1165.7 | 1408.2 | 1386.8 | 1107.9 | 1265.0 | 1281.4 | 1409.4 | 1403.9 | 1403.8 | 1259.8 | 1394.6 | 0.0 |

Appendix D

Appendix E

References
- Keeley, J.; Bond, W.; Bradstock, R.; Pausas, J.; Rundel, P. Fire in Mediterranean Ecosystems: Ecology, Evolution and Management; Cambridge University Press: Cambridge, UK, 2011; pp. 1–515. [Google Scholar]
- Pausas, J.G.; Llovet, J.; Rodrigo, A.; Vallejo, R. Are wildfires a disaster in the Mediterranean basin?—A review. Int. J. Wildl. Fire 2008, 17, 713–723. [Google Scholar] [CrossRef]
- Martínez, J.; Vega-Garcia, C.; Chuvieco, E. Human-caused wildfire risk rating for prevention planning in Spain. J. Environ. Manag. 2009, 90, 1241–1252. [Google Scholar] [CrossRef]
- Le Houerou, H.N. Fire and vegetation in the Mediterranean basin. In Plant Production and Protection Division; FAO-Rome: Rome, Italy, 1974; pp. 237–277. ISBN 0082-1527. [Google Scholar]
- Oliveira, S.; Moreira, F.; Boca, R.; San-Miguel-Ayanz, J.; Pereira, J.M.C. Assessment of fire selectivity in relation to land cover and topography: A comparison between Southern European countries. Int. J. Wildl. Fire 2014, 23, 620–630. [Google Scholar] [CrossRef]
- Moreno, J.M.; Viedma, O.; Zavala, G.; Luna, B. Landscape variables influencing forest fires in central Spain. Int. J. Wildl. Fire 2011, 20, 678–689. [Google Scholar] [CrossRef]
- Moreira, F.; Vaz, P.; Catry, F.; Silva, J.S. Regional variations in wildfire susceptibility of land-cover types in Portugal: Implications for landscape management to minimize fire hazard. Int. J. Wildl. Fire 2009, 18, 563–574. [Google Scholar] [CrossRef]
- Fernandes, P.M. Fire-smart management of forest landscapes in the Mediterranean basin under global change. Landsc. Urban Plan. 2013, 110, 175–182. [Google Scholar] [CrossRef]
- Viedma, O.; Moity, N.; Moreno, J.M. Changes in landscape fire-hazard during the second half of the 20th century: Agriculture abandonment and the changing role of driving factors. Agric. Ecosyst. Environ. 2015, 207, 126–140. [Google Scholar] [CrossRef]
- Pausas, J.G.; Fernández-Muñoz, S. Fire regime changes in the Western Mediterranean Basin: from fuel-limited to drought-driven fire regime. Clim. Chang. 2012, 110, 215–226. [Google Scholar] [CrossRef]
- Moreira, F.; Rego, F.C.; Ferreira, P.G. Temporal (1958–1995) pattern of change in a cultural landscape of northwestern Portugal: Implications for fire occurrence. Landsc. Ecol. 2001, 16, 557–567. [Google Scholar] [CrossRef]
- Bedia, J.; Herrera, S.; Camia, A.; Moreno, J.; Gutiérrez, J. Forest Fire Danger Projections in the Mediterranean using ENSEMBLES Regional Climate Change Scenarios. Clim. Chang. 2014, 122, 185–199. [Google Scholar] [CrossRef]
- Turco, M.; Bedia, J.; Di Liberto, F.; Fiorucci, P.; Von Hardenberg, J.; Koutsias, N.; Llasat, M.C.; Xystrakis, F.; Provenzale, A. Decreasing fires in Mediterranean Europe. PLoS ONE 2016, 11, e0150663. [Google Scholar] [CrossRef]
- Brotons, L.; Aquilué, N.; de Cáceres, M.; Fortin, M.J.; Fall, A. How Fire History, Fire Suppression Practices and Climate Change Affect Wildfire Regimes in Mediterranean Landscapes. PLoS ONE 2013, 8, e62392. [Google Scholar] [CrossRef]
- Ruffault, J.; Mouillot, F.; Peters, D.P.C. How a new fire-suppression policy can abruptly reshape the fire-weather relationship. Ecosphere 2015, 6, 1–19. [Google Scholar] [CrossRef]
- Urbieta, I.R.; Zavala, G.; Bedia, J.; Gutiérrez, J.M.; Miguel-Ayanz, J.S.; Camia, A.; Keeley, J.E.; Moreno, J.M.; San Miguel-Ayanz, J.; Camia, A.; et al. Fire activity as a function of fire–weather seasonal severity and antecedent climate across spatial scales in southern Europe and Pacific western USA. Environ. Res. Lett. 2015, 10, 114013. [Google Scholar] [CrossRef]
- Cardil, A.; Eastaugh, C.S.; Molina, D.M. Extreme temperature conditions and wildland fires in Spain. Theor. Appl. Climatol. 2015, 122, 219–228. [Google Scholar] [CrossRef]
- Turco, M.; Llasat, M.C.; von Hardenberg, J.; Provenzale, A. Climate change impacts on wildfires in a Mediterranean environment. Clim. Chang. 2014, 125, 369–380. [Google Scholar] [CrossRef]
- Viedma, O.; Angeler, D.G.; Moreno, J.M. Landscape structural features control fire size in a Mediterranean forested area of central Spain. Int. J. Wildl. Fire 2009, 18, 575–583. [Google Scholar] [CrossRef]
- Pausas, J.G.; Paula, S. Fuel shapes the fire-climate relationship: Evidence from Mediterranean ecosystems. Glob. Ecol. Biogeogr. 2012, 21, 1074–1082. [Google Scholar]
- Wulder, M.A.; White, J.C.; Goward, S.N.; Masek, J.G.; Irons, J.R.; Herold, M.; Cohen, W.B.; Loveland, T.R.; Woodcock, C.E. Landsat continuity: Issues and opportunities for land cover monitoring. Remote Sens. Environ. 2008, 112, 955–969. [Google Scholar] [CrossRef]
- Roder, A.; Hill, J.; Hostert, P. Radiometric intercalibration of Landsat-TM and—MSS data for quantitative long-term environmental monitoring. In Proceedings of the EARSeL 20th Symposium—A Decade of Trans-European Remote Sensing Cooperation, Dresden, Germany, 14–16 June 2001; pp. 1–28. [Google Scholar]
- Hansen, M.C.; Roy, D.P.; Lindquist, E.; Adusei, B.; Justice, C.O.; Altstatt, A. A method for integrating MODIS and Landsat data for systematic monitoring of forest cover and change in the Congo Basin. Remote Sens. Environ. 2008, 112, 2495–2513. [Google Scholar] [CrossRef]
- Giglio, L.; Boschetti, L.; Roy, D.P.; Humber, M.L.; Justice, C.O. The Collection 6 MODIS burned area mapping algorithm and product. Remote Sens. Environ. 2018, 217, 72–85. [Google Scholar] [CrossRef]
- Hermosilla, T.; Wulder, M.A.; White, J.C.; Coops, N.C.; Hobart, G.W.; Campbell, L.B. Mass data processing of time series Landsat imagery: Pixels to data products for forest monitoring. Int. J. Digit. Earth 2016, 9, 1035–1054. [Google Scholar] [CrossRef]
- Matasci, G.; Hermosilla, T.; Wulder, M.A.; White, J.C.; Coops, N.C.; Hobart, G.W.; Bolton, D.K.; Tompalski, P.; Bater, C.W. Three decades of forest structural dynamics over Canada’s forested ecosystems using Landsat time-series and lidar plots. Remote Sens. Environ. 2018, 216, 697–714. [Google Scholar] [CrossRef]
- Potapov, P.V.; Turubanova, S.A.; Hansen, M.C.; Adusei, B.; Broich, M.; Altstatt, A.; Mane, L.; Justice, C.O. Quantifying forest cover loss in Democratic Republic of the Congo, 2000–2010, with Landsat ETM + data. Remote Sens. Environ. 2012, 122, 106–116. [Google Scholar] [CrossRef]
- Flood, N. Seasonal composite Landsat TM/ETM + Images using the medoid (a multi-dimensional median). Remote Sens. 2013, 5, 6481–6500. [Google Scholar] [CrossRef]
- White, J.C.; Wulder, M.A.; Hobart, G.W.; Luther, J.E.; Hermosilla, T.; Griffiths, P.; Coops, N.C.; Hall, R.J.; Hostert, P.; Dyk, A.; et al. Pixel-based image compositing for large-area dense time series applications and science. Can. J. Remote Sens. 2014, 40, 192–212. [Google Scholar] [CrossRef]
- Griffiths, P.; van der Linden, S.; Kuemmerle, T.; Hostert, P. A Pixel-Based Landsat Compositing Algorithm for Large Area Land Cover Mapping. IEEE J. Sel. Top. Appl. Earth Obs. Remote Sens. 2013, 6, 2088–2101. [Google Scholar] [CrossRef]
- Banskota, A.; Kayastha, N.; Falkowski, M.J.; Wulder, M.A.; Froese, R.E.; White, J.C. Forest Monitoring Using Landsat Time Series Data: A Review. Can. J. Remote Sens. 2014, 40, 362–384. [Google Scholar] [CrossRef]
- Shumway, R.H.; Stoffer, D.S. Time Series Analysis and Applications Using the R Statistical Package, 3rd ed.; Springer: New York, USA, 2011. [Google Scholar]
- Franklin, S.E.; Ahmed, O.S.; Wulder, M.A.; White, J.C.; Hermosilla, T.; Coops, N.C. Large Area Mapping of Annual Land Cover Dynamics Using Multitemporal Change Detection and Classification of Landsat Time Series Data. Can. J. Remote Sens. 2015, 41, 293–314. [Google Scholar] [CrossRef]
- Hawbaker, T.J.; Vanderhoof, M.K.; Beal, Y.; Takacs, J.D.; Schmidt, G.L.; Falgout, J.T.; Williams, B.; Fairaux, N.M.; Caldwell, M.K.; Picotte, J.J.; et al. Mapping burned areas using dense time-series of Landsat data. Remote Sens. Environ. 2017, 198, 504–522. [Google Scholar] [CrossRef]
- Frazier, R.J.; Coops, N.C.; Wulder, M.A.; Hermosilla, T.; White, J.C. Analyzing spatial and temporal variability in short-term rates of post fire vegetation return from Landsat time series. Remote Sens. Environ. 2018, 205, 32–45. [Google Scholar] [CrossRef]
- Li, X.; Zhou, Y.; Zhu, Z.; Liang, L.; Yu, B.; Cao, W. Mapping annual urban dynamics (1985–2015 ) using time series of Landsat data. Remote Sens. Environ. 2018, 216, 674–683. [Google Scholar] [CrossRef]
- Hansen, M.C.; Potapov, P.V.; Moore, R.; Hancher, M.; Turubanova, S.A.; Tyukavina, A.; Thau, D.; Stehman, S.V.; Goetz, S.J.; Loveland, T.R.; et al. High-resolution global maps of 21st-century forest cover change. Science 2013, 342, 850–853. [Google Scholar] [CrossRef]
- Verbesselt, J.; Hyndman, R.; Newnham, G.; Culvenor, D. Detecting trend and seasonal changes in satellite image time series. Remote Sens. Environ. 2010, 114, 106–115. [Google Scholar] [CrossRef]
- Griffiths, P.; Kuemmerle, T.; Kennedy, R.E.; Abrudan, I.V.; Knorn, J.; Hostert, P. Using annual time-series of Landsat images to assess the effects of forest restitution in post-socialist Romania. Remote Sens. Environ. 2012, 118, 199–214. [Google Scholar] [CrossRef]
- Kennedy, R.E.; Yang, Z.; Cohen, W.B. Detecting trends in forest disturbance and recovery using yearly Landsat time series: 1. LandTrendr—Temporal segmentation algorithms. Remote Sens. Environ. 2010, 114, 2897–2910. [Google Scholar] [CrossRef]
- Jamali, S.; Seaquist, J.; Eldundh, L.; Ardo, J.; Eklundh, L.; Ardö, J.; Eldundh, L.; Ardo, J. Automated mapping of vegetation trends with polynomials using NDVI imagery over the Sahel. Remote Sens. Environ. 2014, 141, 79–89. [Google Scholar] [CrossRef]
- Hammer, D.; Kraft, R.; Zedilllo, E.; Wheeler, D. FORMA: Forest Monitoring for Action—Rapid Identification of Pan-Tropical Deforestation Using Moderate Resolution Remotely Sensed Data; Center for Global Development: Washington, DC, USA, 2009. [Google Scholar]
- Gorelick, N.; Hancher, M.; Dixon, M.; Ilyushchenko, S.; Thau, D.; Moore, R. Google Earth Engine: Planetary-scale geospatial analysis for everyone. Remote Sens. Environ. 2017, 202, 18–27. [Google Scholar] [CrossRef]
- FAO-Unesco. Soil Map of the World, Volume V—Europe. In Soil Map of the World; Unesco: Paris, France, 1974; Volume 1, p. 20. [Google Scholar]
- U.S. Geological Survey. Landsat 4–7 Surface Reflectance (Ledaps) Version 1.0 Product Guide; U.S. Geological Survey: Sioux Falls, SD, USA, 2018.
- Vermote, E.; Tantre, D.; Deuzé, J.; Herman, M.; Morcrette, J. Second Simulation of the Satellite Signal in the Solar Spectrum, 6S: An Overview. IEEE Trans. Geosci. Remote Sens. 1997, 21, 177–179. [Google Scholar] [CrossRef]
- U.S. Geological Survey. Landsat 8 Surface Reflectance Code (LaSRC) Version 4.3 Product Guide; U.S. Geological Survey: Sioux Falls, SD, USA, 2018.
- Andrefouet, S.; Bindschadler, R.; Brown de Colstoun, E.; Choate, M.; Chomentowski, W.; Christopherson, J.; Doorn, B.; Hall, D.; Holifield, C.; Howard, S.; et al. Preliminary Assessment of the Value of Landsat 7 ETM+ Data Following Scan Line Corrector Malfunction; U.S. Geological Survey: Sioux Falls, SD, USA, 2003.
- Aubard, V.; Paulo, J.A.; Silva, J.M.N. Long-Term Monitoring of Cork and Holm Oak Stands Productivity in Portugal with Landsat Imagery. Remote Sens. 2019, 11, 525. [Google Scholar] [CrossRef]
- Miller, J.D.; Thode, A.E. Quantifying burn severity in a heterogeneous landscape with a relative version of the delta Normalized Burn Ratio (dNBR). Remote Sens. Environ. 2007, 109, 66–80. [Google Scholar] [CrossRef]
- Ministerio de Agricultura Pesca y Alimentación (MAPA). Mapa de Cultivos y Aprovechamientos de España. Available online: https://www.mapa.gob.es/es/agricultura/temas/sistema-de-informacion-geografica-de-datos-agrarios/mca.aspx (accessed on 1 February 2019).
- Ministerio de Transición Ecológica (MITECO). Mapa Forestal de España. Available online: https://www.mapa.gob.es/es/desarrollo-rural/temas/politica-forestal/inventario-cartografia/mapa-forestal-espana/default.aspx (accessed on 1 February 2019).
- Kosztra, B.; Büttner, G.; Hazeu, G.; Arnold, S. Updated CLC Illustrated Nomenclature Guidelines; European Environment Agency: Wien, Austria, 2017. [Google Scholar]
- Viedma, O.; Urbieta, I.R.; Moreno, J.M. Wildfires and the role of their drivers are changing over time in a large rural area of west-central Spain. Sci. Rep. 2018, 8, 17797. [Google Scholar] [CrossRef]
- Ministerio de Fomento. Plan Nacional de Ortofotografía Aérea (PNOA). Available online: http://pnoa.ign.es/ (accessed on 1 February 2019).
- Viedma, O. The influence of topography and fire in controlling landscape composition and structure in Sierra de Gredos (Central Spain). Landsc. Ecol. 2008, 23, 657–672. [Google Scholar] [CrossRef]
- Farr, T.G.; Rosen, P.; Caro, E.; Crippen, R.; Duren, R.; Hensley, S.; Kobrick, M.; Paller, M.; Rodriguez, E.; Roth, L.; et al. The shuttle radar topography mission. Rev. Geophys. 2007, 45, 1–33. [Google Scholar] [CrossRef]
- Viedma, O.; Del campo, P. Cartografía y validación de la superficie quemada de incendios mediante imágenes Landsat TM y ETM ETM + en el centro-oeste de España durante el período 1985–2009. Rev. Montes 2016, 124, 5–12. [Google Scholar]
- Roberts, D.; Mueller, N.; McIntyre, A. High-Dimensional Pixel Composites from Earth Observation Time Series. IEEE Trans. Geosci. Remote Sens. 2017, 55, 6254–6264. [Google Scholar] [CrossRef]
- Kennedy, R.E.; Yang, Z.; Gorelick, N.; Braaten, J.; Cavalcante, L.; Cohen, W.B.; Healey, S. Implementation of the LandTrendr algorithm on Google Earth Engine. Remote Sens. 2018, 10, 691. [Google Scholar] [CrossRef]
- Myneni, R.B.; Hall, F.G.; Sellers, P.J.; Marshak, A.L. Interpretation of spectral vegetation indexes. IEEE Trans. Geosci. Remote Sens. 1995, 33, 481–486. [Google Scholar] [CrossRef]
- Pettorelli, N.; Vik, J.O.; Mysterud, A.; Gaillard, J.M.; Tucker, C.J.; Stenseth, N.C. Using the satellite-derived NDVI to assess ecological responses to environmental change. Trends Ecol. Evol. 2005, 20, 503–510. [Google Scholar] [CrossRef]
- Lentile, L.B.; Holden, Z.A.; Smith, A.M.S.; Falkowski, M.J.; Hudak, A.T.; Morgan, P.; Lewis, S.A.; Gessler, P.E.; Benson, N.C. Remote sensing techniques to assess active fire characteristics and post-fire effects. Int. J. Ofwildl. Fire 2006, 15, 319–345. [Google Scholar] [CrossRef]
- Huang, C.; Wylie, B.; Yang, L.; Homer, C.; Zylstra, G.; Yang, W.L.; Homer, C. Derivation of a tasselled cap transformation based on Landsat 7 at-satellite reflectance. Int. J. Remote Sens. 2002, 23, 1741–1748. [Google Scholar] [CrossRef]
- Cohen, W.B.; Yang, Z.; Healey, S.P.; Kennedy, R.E.; Gorelick, N. A LandTrendr multispectral ensemble for forest disturbance detection. Remote Sens. Environ. 2018, 205, 131–140. [Google Scholar] [CrossRef]
- Braayen, J.; Kennedy, R.E. LT-GEE Change Mapper. Available online: https://emaprlab.users.earthengine.app/view/lt-gee-change-mapper (accessed on 2 March 2019).
- Chuvieco, E. Fundamentos de Teledeteccion Espacial, 2nd ed.; Ediciones Rialp: Madrid, España, 1990. [Google Scholar]
- Padma, S.; Sanjeevi, S. Jeffries Matusita based mixed-measure for improved spectral matching in hyperspectral image analysis. Int. J. Appl. Earth Obs. Geoinf. 2014, 32, 138–151. [Google Scholar] [CrossRef]
- Breiman, L. Random forests. Mach. Learn. 2001, 45, 5–32. [Google Scholar] [CrossRef]
- Stefanski, J.; Mack, B.; Waske, B. Optimization of Object-Based Image Analysis with Random Forests for Land Cover Mapping. IEEE J. Sel. Top. Appl. Earth Obs. Remote Sens. 2013, 6, 2492–2504. [Google Scholar]
- Pelletier, C.; Valero, S.; Inglada, J.; Dedieu, G.; Champion, N. An assessment of image features and random forest for land cover mapping over large areas using high resolution satellite image time series. In Proceedings of the International Geoscience and Remote Sensing Symposium, Beijing, China, 10–15 July 2016; pp. 3338–3341. [Google Scholar]
- Olofsson, P.; Foody, G.M.; Herold, M.; Stehman, S.V.; Woodcock, C.E.; Wulder, M.A. Good practices for estimating area and assessing accuracy of land change. Remote Sens. Environ. 2014, 148, 42–57. [Google Scholar] [CrossRef]
- Ganteaume, A.; Camia, A.; San-miguel-ayanz, M.J.J. A Review of the Main Driving Factors of Forest Fire Ignition Over Europe. Environ. Manag. 2013, 51, 651–662. [Google Scholar]
- Lloret, F.; Calvo, E.; Pons, X.; Díaz-Delgado, R. Wildfires and landscape patterns in the Eastern Iberian Peninsula. Landsc. Ecol. 2002, 17, 745–759. [Google Scholar] [CrossRef]
- Hermosilla, T.; Wulder, M.A.; White, J.C.; Coops, N.C.; Hobart, G.W. An integrated Landsat time series protocol for change detection and generation of annual gap-free surface reflectance composites. Remote Sens. Environ. 2015, 158, 220–234. [Google Scholar] [CrossRef]
- Azzari, G.; Lobell, D.B. Landsat-based classification in the cloud: An opportunity for a paradigm shift in land cover monitoring. Remote Sens. Environ. 2017, 202, 64–74. [Google Scholar] [CrossRef]
- Fragal, E.H.; Silva, T.S.F.; de Moraes Novo, E.M.L. Reconstructing historical forest cover change in the Lower Amazon floodplains using the LandTrendr algorithm. Acta Amaz. 2015, 46, 13–24. [Google Scholar] [CrossRef]
- Yang, Y.; Erskine, P.D.; Lechner, A.M.; Mulligan, D.; Zhang, S.; Wang, Z. Detecting the dynamics of vegetation disturbance and recovery in surface mining area via Landsat imagery and LandTrendr algorithm. J. Clean. Prod. 2018, 178, 353–362. [Google Scholar] [CrossRef]
- Main-Knorn, M.; Cohen, W.B.; Kennedy, R.E.; Grodzki, W.; Dirk, P.; Grif, P.; Hostert, P.; Pflugmacher, D.; Griffiths, P.; Hostert, P. Monitoring coniferous forest biomass change using a Landsat trajectory-based approach. Remote Sens. Environ. 2013, 139, 277–290. [Google Scholar] [CrossRef]
- Pflugmacher, D.; Cohen, W.B.; Kennedy, R.E. Using Landsat-derived disturbance history (1972–2010) to predict current forest structure. Remote Sens. Environ. 2012, 122, 146–165. [Google Scholar] [CrossRef]
- Dannenberg, M.P.; Hakkenberg, C.R.; Song, C. Consistent classification of Landsat time series with an improved automatic adaptive signature generalization algorithm. Remote Sens. 2016, 8, 691. [Google Scholar] [CrossRef]
- Sexton, J.O.; Urban, D.L.; Donohue, M.J.; Song, C. Long-term land cover dynamics by multi-temporal classification across the Landsat-5 record. Remote Sens. Environ. 2013, 128, 246–258. [Google Scholar] [CrossRef]
- Koetz, B.; Morsdorf, F.; van der Linden, S.; Curt, T.; Allgöwer, B. Multi-source land cover classification for forest fire management based on imaging spectrometry and LiDAR data. For. Ecol. Manag. 2008, 256, 263–271. [Google Scholar] [CrossRef]
- Antonarakis, A.S.; Richards, K.S.; Brasington, J. Object-based land cover classification using airborne LiDAR. Remote Sens. Environ. 2008, 112, 2988–2998. [Google Scholar] [CrossRef]
- Gonzalez, R.; Palahi, M.; Trasobares, A.; Pukkala, T. A fire probability model for forest stands in Catalonia (north-east Spain). Ann. For. Sci. 2006, 63, 169–176. [Google Scholar] [CrossRef]
- Moreno, M.V.; Conedera, M.; Chuvieco, E.; Pezzatti, G.B. Fire regime changes and major driving forces in Spain from 1968 to 2010. Environ. Sci. Policy 2014, 37, 11–22. [Google Scholar] [CrossRef]
- Lloret, F.; Pausas, J.; Vilá, M. Responses of Mediterranean plant species to different fire frequencies in Garraf Natural Park (Catalonia, Spain): Field observations and modelling predictions. Plant Ecol. 2003, 167, 223–235. [Google Scholar] [CrossRef]
- Fernandes, P.M.; Loureiro, C.; Guiomar, N.; Pezzatti, G.B.; Manso, F.T.; Lopes, L. The dynamics and drivers of fuel and fire in the Portuguese public forest. J. Environ. Manag. 2014, 146, 373–382. [Google Scholar] [CrossRef]
- Sebastián-López, A.; Salvador-Civil, R.; Gonzalo-Jiménez, J.; SanMiguel-Ayanz, J. Integration of socio-economic and environmental variables for modelling long-term fire danger in Southern Europe. Eur. J. For. Res. 2008, 127, 149–163. [Google Scholar] [CrossRef]
- Duane, A.; Piqué, M.; Castellnou, M.; Brotons, L. Predictive modelling of fire occurrences from different fire spread patterns in Mediterranean landscapes. Int. J. Wildl. Fire 2015, 24, 407–418. [Google Scholar] [CrossRef]
- Viedma, O.; Moreno, J.M.; RIEIRO, I. Interactions between land use/land cover change, forest fires and landscape structure in Sierra de Gredos (Central Spain). Environ. Conserv. 2006, 33, 212–222. [Google Scholar] [CrossRef]
- Fernandes, P.M.; Loureiro, C.; Magalhes, M.; Ferreira, P.; Fernandes, M. Fuel age, weather and burn probability in Portugal. Int. J. Wildl. Fire 2012, 21, 380–387. [Google Scholar] [CrossRef]
- Vázquez, A.; Moreno, J.M. Spatial distribution of forest fires in Sierra de Gredos (Central Spain). For. Ecol. Manag. 2001, 147, 55–65. [Google Scholar] [CrossRef]
- Pérez, B.; Moreno, J.M. Fire-type and forestry management effects on the early postfire vegetation dynamics of a Pinus pinaster woodland. Plant Ecol. 1998, 134, 27–41. [Google Scholar] [CrossRef]












| General Accuracy of the Classification (%) | |
|---|---|
| Method 1: Spectral Information + Vegetation Indices + Elevation + Slope | 81.11 ± 0.043 |
| Method 2: Variables of Method 1 + Change Metrics generated by FormaTrend | 85.07 ± 0.012 |
| Method 3: Variables of Method 1 + Change metrics generated by LandTrendr | 84.23 ± 0.014 |
| Number of Bands/Indices/Change Metrics | Band/ Index/Change Metrics Set | Overall Accuracy |
|---|---|---|
| 1 | Red | 0.34 |
| 2 | Red, NIR | 0.57 |
| 3 | Red, NIR, SWIR | 0.67 |
| 4 | Red, NIR, SWIR-1, SWIR-2 | 0.69 |
| 7 | Red, NIR, SWIR-1, SWIR-2, TCB, TCG, TCW | 0.71 |
| 8 | Red, NIR, SWIR-1, SWIR-2, TCB, TCG, TCW, NBR | 0.73 |
| 9 | Red, NIR, SWIR-1, SWIR-2, TCB, TCG, TCW, NBR, NDVI | 0.72 |
| 10 | Red, NIR, SWIR-1, SWIR-2, TCB, TCG, TCW, NBR, NDVI, Slope | 0.77 |
| 11 | Red, NIR, SWIR-1, SWIR-2, TCB, TCG, TCW, NBR, NDVI, slope, elevation | 0.81 |
| 14 | FT variables: Red, NIR, SWIR-1, SWIR-2, TCB, TCG, TCW, NBR, NDVI, slope, elevation, type, mag, dir. | 0.85 |
| 17 | LT variables: Red, NIR, SWIR-1, SWIR-2, TCB, TCG, TCW, NBR, NDVI, slope, elevation, type, mag, dir, dur, year, prechange | 0.84 |
© 2019 by the authors. Licensee MDPI, Basel, Switzerland. This article is an open access article distributed under the terms and conditions of the Creative Commons Attribution (CC BY) license (http://creativecommons.org/licenses/by/4.0/).
Share and Cite
Quintero, N.; Viedma, O.; Urbieta, I.R.; Moreno, J.M. Assessing Landscape Fire Hazard by Multitemporal Automatic Classification of Landsat Time Series Using the Google Earth Engine in West-Central Spain. Forests 2019, 10, 518. https://doi.org/10.3390/f10060518
Quintero N, Viedma O, Urbieta IR, Moreno JM. Assessing Landscape Fire Hazard by Multitemporal Automatic Classification of Landsat Time Series Using the Google Earth Engine in West-Central Spain. Forests. 2019; 10(6):518. https://doi.org/10.3390/f10060518
Chicago/Turabian StyleQuintero, Natalia, Olga Viedma, Itziar R. Urbieta, and José M. Moreno. 2019. "Assessing Landscape Fire Hazard by Multitemporal Automatic Classification of Landsat Time Series Using the Google Earth Engine in West-Central Spain" Forests 10, no. 6: 518. https://doi.org/10.3390/f10060518
APA StyleQuintero, N., Viedma, O., Urbieta, I. R., & Moreno, J. M. (2019). Assessing Landscape Fire Hazard by Multitemporal Automatic Classification of Landsat Time Series Using the Google Earth Engine in West-Central Spain. Forests, 10(6), 518. https://doi.org/10.3390/f10060518

