Evaluation of Forest Conversion Effects on Soil Erosion, Soil Organic Carbon and Total Nitrogen Based on 137Cs Tracer Technique
Abstract
1. Introduction
2. Materials and Methods
2.1. Study Sites
2.2. Sampling and Measuring Methods
2.3. Calculation of the Soil 137Cs
2.4. Calculation the Storage and Loss of Soil Carbon and Nitrogen
2.5. Data Processing and Analysis
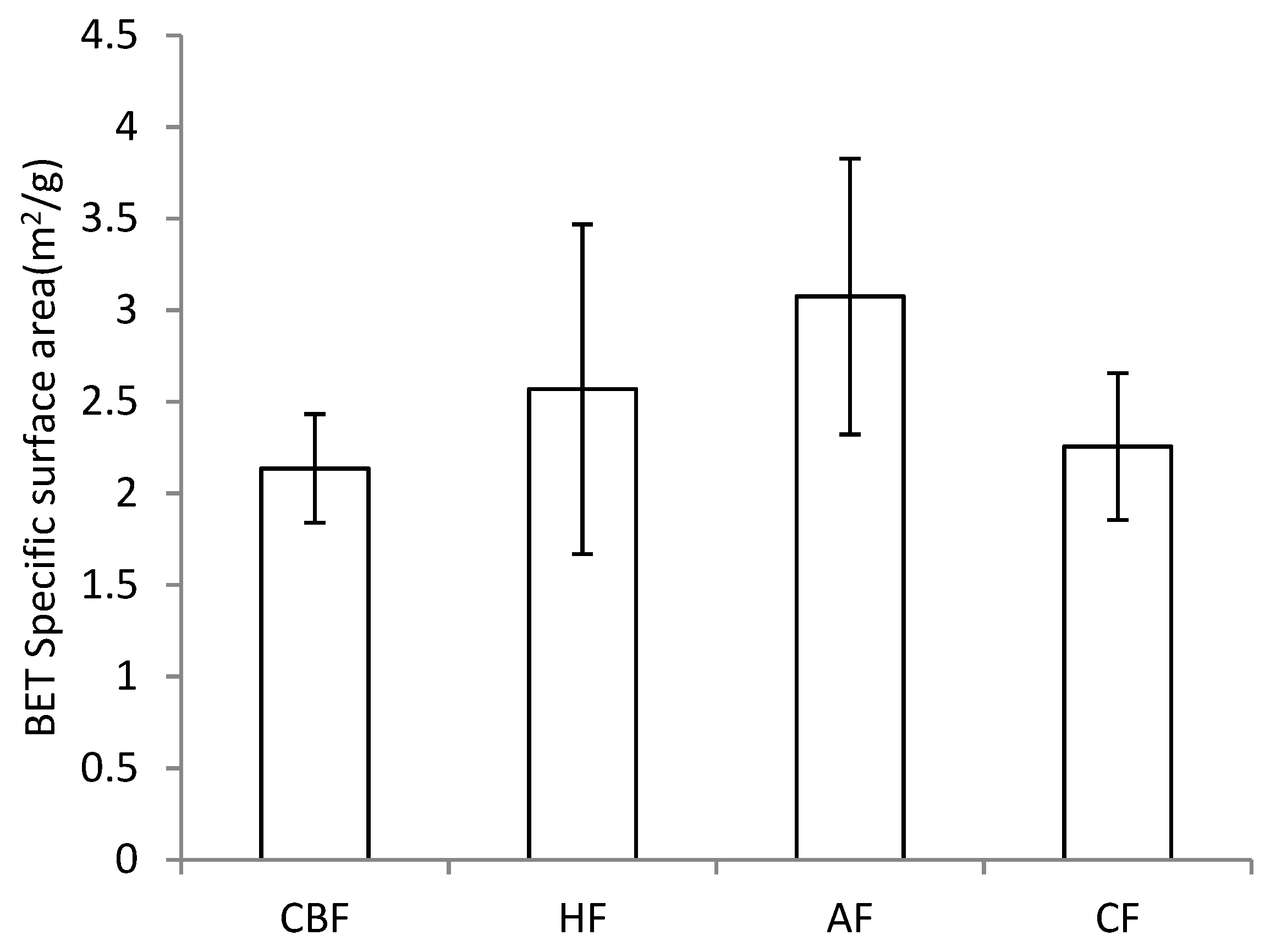
3. Results
3.1. Characteristics of 137Cs and Annual Erosion Modulus after Forest Conversion.
3.2. SOC and TN Storage after Forest Conversion
3.3. SOC and TN Losses after Forest Conversion
4. Discussion
4.1. Soil Erosion after Forest Conversion
4.2. The Contact of Erosion and SOC and TN
5. Conclusions and Deficiencies
Author Contributions
Funding
Conflicts of Interest
References
- Sun, Y.; Gu, L.; Dickinson, R.E.; Norby, R.J.; Pallardy, S.G.; Hoffman, F.M. Impact of mesophyll diffusion on estimated global land CO₂ fertilization. Proc. Natl. Acad. Sci. USA 2014, 111, 15774–15779. [Google Scholar] [CrossRef] [PubMed]
- Tharammal, T.; Bala, G.; Narayanappa, D.; Nemani, R. Potential roles of CO2 fertilization, nitrogen deposition, climate change, and land use and land cover change on the global terrestrial carbon uptake in the twenty-first century. Clim. Dyn. 2018, 52, 1–14. [Google Scholar] [CrossRef]
- Li, D.; Niu, S.; Luo, Y. Global patterns of the dynamics of soil carbon and nitrogen stocks following afforestation: A meta-analysis. New Phytol. 2012, 195, 172–181. [Google Scholar] [CrossRef]
- Vilén, T.; Cienciala, E.; Schelhaas, M.J.; Verkerk, P.J.; Lindner, M.; Peltola, H. Increasing carbon sinks in European forests: Effects of afforestation and changes in mean growing stock volume. Forestry 2016, 89, 82–90. [Google Scholar] [CrossRef]
- Lebenya, R.M.; Huyssteen, C.W.V.; Preez, C.C.D. Change in soil organic carbon and nitrogen stocks eight years after conversion of sub-humid grassland to Pinus and Eucalyptus forestry. Soil Res. 2018, 56, 318. [Google Scholar] [CrossRef]
- Jiang, W.; Yang, S.; Yang, X.; Ning, G. Negative impacts of afforestation and economic forestry on the Chinese Loess Plateau and proposed solutions. Quat. Int. 2016, 399, 165–173. [Google Scholar] [CrossRef]
- Ma, W.; Li, Z.; Ding, K.; Huang, B.; Nie, X.; Lu, Y.; Xiao, H. Soil erosion, organic carbon and nitrogen dynamics in planted forests: A case study in a hilly catchment of Hunan Province, China. Soil Tillage Res. 2016, 155, 69–77. [Google Scholar] [CrossRef]
- Gómez, J.A.; Campos, M.; Guzmán, G.; Castillollanque, F.; Vanwalleghem, T.; Lora, Á.; Giráldez, J.V. Soil erosion control, plant diversity, and arthropod communities under heterogeneous cover crops in an olive orchard. Environ. Sci. Pollut. Res. Int. 2017, 25, 1–13. [Google Scholar] [CrossRef]
- Jian, S.; Li, J.; Ji, C.; Wang, G.; Mayes, M.A.; Dzantor, K.E.; Hui, D.; Luo, Y. Soil extracellular enzyme activities, soil carbon and nitrogen storage under nitrogen fertilization: A meta-analysis. Soil Biol. Biochem. 2016, 101, 32–43. [Google Scholar] [CrossRef]
- Gentsch, N.; Mikutta, R.; Alves, R.J.E.; Barta, J.; Gittel, A.; Hugelius, G.; Kuhry, P.; Lashchinskiy, N.; Palmtag, J.; Richter, A. Storage and transformation of organic matter fractions in cryoturbated permafrost soils across the Siberian Arctic. Biogeosciences 2015, 12, 2697–2743. [Google Scholar] [CrossRef]
- Murty, D.; Kirschbaum, M.U.F.; Mcmurtrie, R.E.; Mcgilvray, H. Does conversion of forest to agricultural land change soil carbon and nitrogen? a review of the literature. Glob. Chang. Biol. 2010, 8, 105–123. [Google Scholar] [CrossRef]
- Fang, H.Y.; Sheng, M.L.; Sun, L.Y.; Cai, Q.G. [Using 137Cs and 210Pb(ex) to trace the impact of soil erosion on soil organic carbon at a slope farmland in the black soil region]. Ying Yong Sheng Tai Xue Bao 2013, 24, 1856–1862. [Google Scholar]
- Nie, X.J.; Zhao, T.Q.; Qiao, X.N. Impacts of soil erosion on organic carbon and nutrient dynamics in an alpine grassland soil. Soil Sci. Plant Nutr. 2013, 59, 660–668. [Google Scholar] [CrossRef]
- Zhao, P.; Sheng, L.; Wang, E.; Chen, X.; Deng, J.; Zhao, Y. Tillage erosion and its effect on spatial variations of soil organic carbon in the black soil region of China. Soil Tillage Res. 2018, 178, 72–81. [Google Scholar] [CrossRef]
- Borrelli, P.; Paustian, K.; Panagos, P.; Jones, A.; Schütt, B.; Lugato, E. Effect of Good Agricultural and Environmental Conditions on erosion and soil organic carbon balance: A national case study. Land Use Policy 2016, 50, 408–421. [Google Scholar] [CrossRef]
- Li, Y.; Zhang, Q.W.; Reicosky, D.C.; Lindstrom, M.J.; Bai, L.Y.; Li, L. Changes in soil organic carbon induced by tillage and water erosion on a steep cultivated hillslope in the Chinese Loess Plateau from 1898–1954 and 1954–1998. J. Geophys. Res. Biogeosci. 2015, 112, 531–532. [Google Scholar] [CrossRef]
- Maïga-Yaleu, S.; Guiguemde, I.; Yacouba, H.; Karambiri, H.; Ribolzi, O.; Bary, A.; Ouedraogo, R.; Chaplot, V. Soil crusting impact on soil organic carbon losses by water erosion. Catena 2013, 107, 26–34. [Google Scholar] [CrossRef]
- Dialynas, Y.G.; Bastola, S.; Bras, R.L.; Marin-Spiotta, E.; Silver, W.L.; Arnone, E.; Noto, L.V. Impact of hydrologically driven hillslope erosion and landslide occurrence on soil organic carbon dynamics in tropical watersheds. Water Resour. Res. 2016, 52, 8895–8919. [Google Scholar] [CrossRef]
- Janeau, J.L.; Gillard, L.C.; Grellier, S.; Jouquet, P.; Le, T.P.Q.; Luu, T.N.M.; Ngo, Q.A.; Orange, D.; Pham, D.R.; Tran, D.T. Soil erosion, dissolved organic carbon and nutrient losses under different land use systems in a small catchment in northern Vietnam. Agric. Water Manag. 2014, 146, 314–323. [Google Scholar] [CrossRef]
- Zhang, J.H.; Wang, Y.; Li, F.C. Soil organic carbon and nitrogen losses due to soil erosion and cropping in a sloping terrace landscape. Soil Res. 2015, 53, 87–96. [Google Scholar] [CrossRef]
- Rogowski, A.S.; Tamura, T. Movement of 137Cs by Runoff, Erosion and Infiltration on the Alluvial Captina Silt Loam. Health Phys. 1963, 11, 1333–1340. [Google Scholar] [CrossRef]
- Ge, F.L.; Zhang, J.H.; Su, Z.A.; Nie, X.J. Response of changes in soil nutrients to soil erosion on a purple soil of cultivated sloping land. Acta Ecol. Sin. 2007, 27, 459–463. [Google Scholar] [CrossRef]
- Zhuang, J.Y.; Zhang, J.C.; Yang, Y.; Zhang, B.; Li, J. Effect of forest shelter-belt as a regional climate improver along the old course of the Yellow River, China. Agrofor. Syst. 2016, 91, 1–9. [Google Scholar] [CrossRef]
- Hartanto, H.; Prabhu, R.; Ase, W.; Asdak, C. Factors affecting runoff and soil erosion: Plot-level soil loss monitoring for assessing sustainability of forest management. For. Ecol. Manag. 2003, 180, 361–374. [Google Scholar] [CrossRef]
- Dan, B.; Giardina, C. Why do Tree Species Affect Soils? The Warp and Woof of Tree-soil Interactions. Biogeochemistry 1998, 42, 89–106. [Google Scholar]
- Scott, N.A.; Tate, K.R.; Ross, D.J.; Parshotam, A. Processes influencing soil carbon storage following afforestation of pasture with Pinus radiata at different stocking densities in New Zealand. Soil Res. 2006, 44, 85–96. [Google Scholar] [CrossRef]
- Lü, M.; Xie, J.; Chao, W.; Guo, J.; Wang, M.; Liu, X.; Chen, Y.; Chen, G.; Yang, Y. Forest conversion stimulated deep soil C losses and decreased C recalcitrance through priming effect in subtropical China. Biol. Fertil. Soils 2015, 51, 857–867. [Google Scholar] [CrossRef]
- Lord, W.J.; Vlach, E. Responses of Peach Trees to Herbicides, Mulch, Mowing, and Cultivation. Weed Sci. 1973, 21, 227–229. [Google Scholar]
- Zhang, X.; Li, Z.; Tang, Z.; Zeng, G.; Huang, J.; Guo, W.; Chen, X.; Hirsh, A. Effects of water erosion on the redistribution of soil organic carbon in the hilly red soil region of southern China. Geomorphology 2013, 197, 137–144. [Google Scholar] [CrossRef]
- Wright, A.C. A model of the redistribution of disaggregated soil particles by rainsplash. Earth Surf. Process. Landf. 2010, 12, 583–596. [Google Scholar] [CrossRef]
- Kateb, H.E.; Zhang, H.; Zhang, P.; Mosandl, R. Soil erosion and surface runoff on different vegetation covers and slope gradients: A field experiment in Southern Shaanxi Province, China. Catena 2013, 105, 1–10. [Google Scholar] [CrossRef]
- Wei, L.; Zhang, B.; Wang, M. Effects of antecedent soil moisture on runoff and soil erosion in alley cropping systems. Agric. Water Manag. 2007, 94, 54–62. [Google Scholar] [CrossRef]
- Zhang, Z.; Liu, S.; Dong, S. Ecological Security Assessment of Yuan River Watershed Based on Landscape Pattern and Soil Erosion. Procedia Environ. Sci. 2010, 2, 613–618. [Google Scholar] [CrossRef]
- Vieira, D.C.S.; Fernández, C.; Vega, J.A.; Keizer, J.J. Does soil burn severity affect the post-fire runoff and interrill erosion response? A review based on meta-analysis of field rainfall simulation data. J. Hydrol. 2015, 523, 452–464. [Google Scholar] [CrossRef]
- Klaminder, J.; Yoo, K.; Giesler, R. Soil carbon accumulation in the dry tundra: Important role played by precipitation. J. Geophys. Res. Biogeosci. 2009, 114, 126. [Google Scholar] [CrossRef]
- Solaimani, K.; Modallaldoust, S.; Lotfi, S. Investigation of land use changes on soil erosion process using geographical information system. Int. J. Environ. Sci. Technol. 2009, 6, 415–424. [Google Scholar] [CrossRef]
- Cotler, H.; Ortega-Larrocea, M.P. Effects of land use on soil erosion in a tropical dry forest ecosystem, Chamela watershed, Mexico. Catena 2006, 65, 107–117. [Google Scholar] [CrossRef]
- Rodway-Dyer, S.J.; Walling, D.E. The use of 137Cs to establish longer-term soil erosion rates on footpaths in the UK. J. Environ. Manag. 2010, 91, 1952–1962. [Google Scholar] [CrossRef] [PubMed]
- Mabit, L.; Klik, A.; Benmansour, M.; Toloza, A.; Geisler, A.; Gerstmann, U.C. Assessment of erosion and deposition rates within an Austrian agricultural watershed by combining 137Cs, 210Pbex and conventional measurements. Geoderma 2009, 150, 231–239. [Google Scholar] [CrossRef]
- Sheng, L.; Lobb, D.A.; Kachanoski, R.G.; Mcconkey, B.G. Comparing the use of the traditional and repeated-sampling-approach of the 137 Cs technique in soil erosion estimation. Geoderma 2011, 160, 324–335. [Google Scholar]
- Zhang, G.; Weiliang, G.U.; Shulan, J.I.; Liu, Z.; Peng, Y.; Wang, Z. Preparation of polyelectrolyte multilayer membranes by dynamic layer-by-layer process for pervaporation separation of alcohol/water mixtures. J. Membr. Sci. 2006, 280, 727–733. [Google Scholar] [CrossRef]
- Silva, J.; Mello, J.W.V.; Abrahão, W.A.P.; Fontes, M.P.F.; Junior, L.S.; Ferreira, V.P.; Taddei, M.H.T.; Rocha, O.F.; Gilkes, R.J.; Prakongkep, N. Multi-element background for trace elements and radionuclides in soil from Minas Gerais State, Brazil. In Proceedings of the 19th World Congress of Soil Science: Soil Solutions for a Changing World, Brisbane, Australia, 1–6 August 2010; Symposium 3.5.2 Risk Assessment and Risk Based Remediation 2010. pp. 40–43. [Google Scholar]
- Gosman, A.; Blažíček, J. Study of the diffusion of trace elements and radionuclides in soils. J. Radioanal. Nucl. Chem. 1994, 182, 179–191. [Google Scholar] [CrossRef]
- Lu, J.G.; Huang, Y.; Li, F.; Wang, L.; Li, S.; Hsia, Y. The investigation of 137Cs and 90Sr background radiation levels in soil and plant around Tianwan NPP, China. J. Environ. Radioact. 2006, 90, 89–99. [Google Scholar] [CrossRef]
- Zhang, M.L.; Yang, H.; Xu, C.A.; Yang, J.D.; Liu, X.H. A preliminary study on soil erosion in Yimeng mountainous area using Cs tracer. Acta Pedol. Sin. 2010, 47, 408–414. [Google Scholar]
- Walling, D.E.; He, Q.; Blake, W. Use of 7Be and 137Cs measurements to document short- and medium-term rates of water-induced soil erosion on agricultural land. Water Resour. Res. 1999, 35, 3865–3874. [Google Scholar] [CrossRef]
- Estifanos, A. Assessment Of Micro-Watershed Vulnerability For Soil Erosion In Ribb Watershed Using GIS And Remote Sensing. Ph.D. Thesis, Mekelle University, Mekelle, Ethiopia, 2014. [Google Scholar]
- Jain, S.; Goel, M.K. Assessing the vulnerability to soil erosion of the Ukai Dam catchments using remote sensing and GIS. Int. Assoc. Sci. Hydrol. Bull. 2002, 47, 31–40. [Google Scholar] [CrossRef]
- Zhao, Y.; Wang, E.; Cruse, R.M.; Chen, X. Characterization of seasonal freeze-thaw and potential impacts on soil erosion in northeast China. Can. J. Soil Sci. 2012, 92, 567–571. [Google Scholar] [CrossRef]
- Clarke, P.J.; Prior, L.D.; French, B.J.; Vincent, B.; Knox, K.J.E.; Bowman, D.M.J.S. Using a rainforest-flame forest mosaic to test the hypothesis that leaf and litter fuel flammability is under natural selection. Oecologia 2014, 176, 1123–1133. [Google Scholar] [CrossRef]
- Pan, C.; Wang, Q.; Ruan, X.; Li, Z. Biological Activity and Quantification of Potential Autotoxins from the Leaves of Picea Schrenkiana. Chin. J. Plant Ecol. 2009, 27, 245–262. [Google Scholar]
- Pagel-Wieder, S.; Fischer, W.R. Short communication Estimation of the specific surface area of soil particles by adsorption of polyvinylalcohol in aqueous suspension. J. Plant Nutr. Soil Sci. 2015, 164, 441–443. [Google Scholar] [CrossRef]
- Dolinar, B. Prediction of the soil-water characteristic curve based on the specific surface area of fine-grained soils. Bull. Eng. Geol. Environ. 2015, 74, 697–703. [Google Scholar] [CrossRef]
- Dunjo, G.; Pardini, G.; Gispert, M. The role of land use-land cover on runoff generation and sediment yield at a microplot scale, in a small Mediterranean catchment. J. Arid Environ. 2004, 57, 239–256. [Google Scholar] [CrossRef]
- Fang, Y.; Gundersen, P.; Vogt, R.D.; Koba, K.; Chen, F.; Xi, Y.C.; Yoh, M. Atmospheric deposition and leaching of nitrogen in Chinese forest ecosystems. J. For. Res. 2011, 16, 341–350. [Google Scholar] [CrossRef]
- Koch, J.A.; Makeschin, F. Carbon and nitrogen dynamics in topsoils along forest conversion sequences in the Ore Mountains and the Saxonian lowland, Germany. Eur. J. For. Res. 2004, 123, 189–201. [Google Scholar] [CrossRef]
- Wu, J.; Huang, J.; Liu, D.; Li, J.; Zhang, J.; Wang, H. Effect of 26 Years of Intensively Managed Carya cathayensis Stands on Soil Organic Carbon and Fertility. Sci. World J. 2014, 2014, 1–6. [Google Scholar]
- Feng, W.; Zheng, S.; Jiang, J.; Xia, J.; Liang, J.; Zhou, J.; Luo, Y. Methodological uncertainty in estimating carbon turnover times of soil fractions. Soil Biol. Biochem. 2016, 100, 118–124. [Google Scholar] [CrossRef]
- Guo, X.; Meng, M.; Zhang, J.; Chen, H.Y.H. Vegetation change impacts on soil organic carbon chemical composition in subtropical forests. Sci. Rep. 2016, 6, 29607. [Google Scholar] [CrossRef]
- Chen, C.Y.; Hou, H.P.; Qiang, L.; Ping, Z.; Zhang, Z.Y.; Dong, Z.Q.; Ming, Z. Effects of planting density on photosynthetic characteristics and changes of carbon and nitrogen in leaf of different corn hybrids. Acta Agron. Sin. 2010, 36, 871–878. [Google Scholar] [CrossRef]
- Abbasi, M.K.; Tahir, M.M.; Sabir, N.; Khurshid, M. Impact of the addition of different plant residues on nitrogen mineralization–immobilization turnover and carbon content of a soil incubated under laboratory conditions. Solid Earth 2015, 6, 197–205. [Google Scholar] [CrossRef]
- Moldan, F.; Kjønaas, O.J.; Stuanes, A.O.; Wright, R.F. Increased nitrogen in runoff and soil following 13 years of experimentally increased nitrogen deposition to a coniferous-forested catchment at Gårdsjön, Sweden. Environ. Pollut. 2006, 144, 610–620. [Google Scholar] [CrossRef]
- Wang, Y.; Fu, B.; Lü, Y.; Chen, L. Effects of vegetation restoration on soil organic carbon sequestration at multiple scales in semi-arid Loess Plateau, China. Catena 2011, 85, 58–66. [Google Scholar] [CrossRef]
- Yuan, D.H.; Wang, Z.Q.; Chen, X.; Guo, X.B.; Zhang, R.L. Losses of nitrogen and phosphorus under different land use patterns in small red soil watershed. Acta Ecol. Sin. 2003, 23, 188–198. [Google Scholar]
- Conant, R.T.; Paustian, K. Spatial variability of soil organic carbon in grasslands: Implications for detecting change at different scales. Environ. Pollut. 2002, 116, S127–S135. [Google Scholar] [CrossRef]
- Dong, J.; Yang, D.Y.; Zhou, B.; Xu, Q.M. Study on Soil Erosion Rates in the Three Gorges Reservoir Area Using ~(137)Cs Tracing Method. J. Soil Water Conserv. 2006, 20, 1–5. [Google Scholar]






| Land Use Type | Forest Age (year) | LAI | Litter Thickness (mm) | Slope (°) | Aspect | pH | Soil Bulk Density/g cm3 | Sand/% | Silt% | Clay% |
|---|---|---|---|---|---|---|---|---|---|---|
| HF | 11 | 2.1 | 0 | 15 | SE | 5.67 ± 0.27 | 1.42 ± 0.12 | 30.84 ± 5.05 | 65.00 ± 5.63 | 4.16 ± 0.36 |
| CF | 13 | 2.5 | 1.1 | 11 | SE | 5.95 ± 0.34 | 1.43 ± 0.05 | 31.57 ± 7.83 | 64.66 ± 6.66 | 3.77 ± 0.18 |
| AF | 10 | 2.2 | 0 | 13 | SE | 5.48 ± 0.26 | 1.47 ± 0.18 | 41.07 ± 8.65 | 56.63 ± 4.36 | 2.29 ± 0.23 |
| CBF | 25 | 3.2 | 1.3 | 13 | SE | 5.67 ± 0.27 | 1.44 ± 0.12 | 36.59 ± 7.53 | 60.21 ± 6.96 | 3.20 ± 0.41 |
| Land Use Types | Depth/cm | 137Cs Content/Bq·m−2 | Percentage 137Cs Loss/% |
|---|---|---|---|
| CBF | 0–20 | 546.92 | 68.4 |
| HF | 0–20 | 123.88 | 92.9 |
| AF | 0–20 | 60.60 | 96.5 |
| CF | 0–20 | 495.89 | 71.4 |
| TN | TP | TK | SOC | DOC | C/N | C/H | |
|---|---|---|---|---|---|---|---|
| Cor. | 0.54 ** | −0.18 | −0.03 | 0.56 ** | 0.11 | 0.49 * | 0.40 |
| P | 0.006 | 0.39 | 0.99 | 0.005 | 0.60 | 0.02 | 0.05 |
| N | 24 | 24 | 24 | 24 | 24 | 24 | 24 |
© 2019 by the authors. Licensee MDPI, Basel, Switzerland. This article is an open access article distributed under the terms and conditions of the Creative Commons Attribution (CC BY) license (http://creativecommons.org/licenses/by/4.0/).
Share and Cite
Zhu, X.; Lin, J.; Dai, Q.; Xu, Y.; Li, H. Evaluation of Forest Conversion Effects on Soil Erosion, Soil Organic Carbon and Total Nitrogen Based on 137Cs Tracer Technique. Forests 2019, 10, 433. https://doi.org/10.3390/f10050433
Zhu X, Lin J, Dai Q, Xu Y, Li H. Evaluation of Forest Conversion Effects on Soil Erosion, Soil Organic Carbon and Total Nitrogen Based on 137Cs Tracer Technique. Forests. 2019; 10(5):433. https://doi.org/10.3390/f10050433
Chicago/Turabian StyleZhu, Xi, Jie Lin, Qiao Dai, Yanying Xu, and Haidong Li. 2019. "Evaluation of Forest Conversion Effects on Soil Erosion, Soil Organic Carbon and Total Nitrogen Based on 137Cs Tracer Technique" Forests 10, no. 5: 433. https://doi.org/10.3390/f10050433
APA StyleZhu, X., Lin, J., Dai, Q., Xu, Y., & Li, H. (2019). Evaluation of Forest Conversion Effects on Soil Erosion, Soil Organic Carbon and Total Nitrogen Based on 137Cs Tracer Technique. Forests, 10(5), 433. https://doi.org/10.3390/f10050433
