Factors Affecting Long-Term Trends in Global NDVI
Abstract
1. Introduction
2. Materials and Methods
2.1. Data
2.1.1. Global Inventory Modeling and Mapping Studies (GIMMS) NDVI 3g Data
2.1.2. Data Sources of Impact Factors
2.2. Methods
2.2.1. Mann–Kendall Mutation Test
2.2.2. Theil–Sen Median Trend Analysis and Mann–Kendall Test
2.2.3. Pearson Correlation Analysis
2.2.4. Boosted Regression Trees Analysis (BRT)
3. Results
3.1. Global Spatial Distribution of Vegetation
3.2. Time Evolution Trend of Global Vegetation
3.3. Correlation Analysis between NDVI and Factors
3.3.1. Temperature
3.3.2. Rainfall
3.3.3. Nighttime Lights Index
3.3.4. Digital Elevation Model (DEM)
3.4. Contribution of Impact Factors
4. Discussion
4.1. The Impact of Land-Use Management
4.2. Comparison with Other Studies
5. Conclusions
- Over the past 34 years, the global annual NDVI has increased by 4 × 10−4/year. About 34% of the global continental area has experienced greening in the grid annual NDVI, the greening areas were observed in the Sahel, European, India and south China. Only 10% of global vegetation land was decreasing, and this was observed in Canada, South America, central Africa and Central Asia.
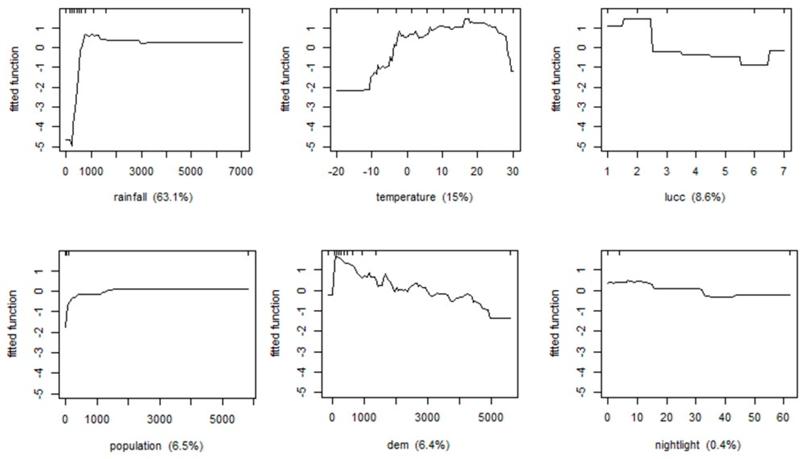
- BRT model shows that rainfall is the most important factor affecting vegetation evolution (63.1%), followed by temperature (15%), LUCC (8.6%), population (6.5%), DEM (6.4%) and nightlight (0.4%) (Figure 8). About 21% of the world’s continental area were affected by rainfall, mainly in arid regions such as central Asia and Australia. The main temperature-affected areas accounted for 36%, located near the equator or in high latitudes.
- The use of the nighttime lights index to characterise human activities shows that a positive correlation exists between the nighttime lights index and the NDVI in areas with high population density, such as the Ganges and Yangtze River Basins. The use of low-resolution data analysis offers low feasibility, and the improvement of data resolution should help to accurately analyse correlations.
Author Contributions
Funding
Conflicts of Interest
References
- Pan, N.; Feng, X.; Fu, B.J.; Wang, S.; Jie, F.; Pan, S. Increasing global vegetation browning hidden in overall vegetation greening: Insights from time-varying trends. Remote Sens. Environ. 2018, 214, 59–72. [Google Scholar] [CrossRef]
- Peng, J.; Liu, Z.H.; Liu, Y.H.; Wu, J.S.; Han, Y.N. Trend analysis of vegetation dynamics in Qinghai-Tibet Plateau using Hurst Exponent. Ecol. Indic. 2012, 14, 28–39. [Google Scholar] [CrossRef]
- Foley, J.A.; Levis, S.; Costa, M.H.; Cramer, W. Incorporating dynamic vegetation cover within global climate models. Ecol. Appl. 2000, 10, 1620–1632. [Google Scholar] [CrossRef]
- Chu, H.S.; Venevsky, S.; Wu, C.; Wang, M.; Pollard, D. NDVI-based vegetation dynamics and its response to climate changes at Amur-Heilongjiang River Basin from 1982 to 2015. Sci. Total Environ. 2019, 650, 2051–2062. [Google Scholar] [CrossRef]
- Cao, M.K.; Woodward, F.I. Dynamic responses of terrestrial ecosystem carbon cycling to global climate change. Nature 1998, 393, 249–252. [Google Scholar] [CrossRef]
- Chen, C.; Park, T.; Wang, X.H.; Piao, S.L.; Xu, B.D.; Chaturvedi, R.K.; Fuchs, R.; Brovkin, V.; Ciais, P.; Fensholt, R.; et al. China and India lead in greening of the world through land-use management. Nat. Sustain. 2019, 2, 122–129. [Google Scholar] [CrossRef] [PubMed]
- Huang, F.; Xu, S. Spatio-temporal variations of rain-use efficiency in the west of Songliao Plain, China. Sustainability 2016, 8, 308. [Google Scholar] [CrossRef]
- Liu, X.F.; Zhu, X.F.; Pan, Y.Z.; Li, Y.Z.; Zhao, A.Z. Spatiotemporal changes in vegetation coverage in China during 1982–2012. Acta Ecol. Sin. 2015, 35, 5331–5342. [Google Scholar]
- Zhu, L.; Southworth, J. Disentangling the relationships between net primary production and precipitation in southern Africa savannas using satellite observations from 1982 to 2010. Remote Sens. 2013, 5, 3803–3825. [Google Scholar] [CrossRef]
- Ning, T.; Liu, W.; Lin, W. NDVI Variation and Its Responses to Climate Change on the Northern Loess Plateau of China from 1998 to 2012. Adv. Meteorol. 2015, 2015, 1–10. [Google Scholar] [CrossRef]
- Zhao, Y.S. Principles and Methods of Remote Sensing Application Analysis; Science Press: China, Beijing, 2003; pp. 368–369. [Google Scholar]
- Wang, X.; Piao, S.; Ciais, P. Spring temperature change and its implication in the change of vegetation growth in North America from 1982 to 2006. Proc. Natl. Acad. Sci. USA 2011, 108, 1240–1245. [Google Scholar] [CrossRef]
- Tucker, C.J.; Pinzon, J.E.; Brown, M.E.; Slayback, D.A.; Pak, E.W.; Mahoney, R.; Vermote, E.F.; El Saleous, N. An extended AVHRR 8-km NDVI dataset compatible with MODIS and SPOT vegetation NDVI data. Int. J. Remote Sens. 2005, 26, 4485–4498. [Google Scholar] [CrossRef]
- Liu, K.; Du, L.T.; Hou, J.; Hu, Y.; Zhu, Y.G.; Gong, F. Spatiotemporal variations of NDVI in terrestrial ecosystems in China from 1982–2012. Acta Ecol. Sin. 2018, 38, 1885–1896. [Google Scholar]
- Tong, X.W.; Brandt, M.; Yue, Y.M.; Horion, S.; Wang, K.L.; Keersmaecker, W.D.; Tian, F.; Schurgers, G.; Xiao, X.M.; Luo, Y. Increased vegetation growth and carbon stock in China karst via ecological engineering. Nat. Sustain. 2018, 1, 44–50. [Google Scholar] [CrossRef]
- Zhu, Z.C.; Piao, S.L.; Myneni, R.B.; Huang, M.T.; Zeng, Z.Z.; Canadell, J.G.; Ciais, P.; Sitch, S.; Friedlingstein, P.; Arneth, A.; et al. Greening of the Earth and its drivers. Nat. Clim. Chang. 2016, 6, 182. [Google Scholar] [CrossRef]
- Brandt, M.; Yue, Y.M.; Wigneron, J.P.; Tong, X.W.; Tian, F.; Jepsen, M.R.; Xiao, X.M.; Verger, A.; Mialon, A.; Yaari, A.A.; et al. Satellite-Observed Major Greening and Biomass Increase in South China Karst During Recent Decade. Earth’s Future 2018, 6, 1017–1028. [Google Scholar] [CrossRef]
- Piao, S.L.; Yin, G.D.; Tan, J.G.; Cheng, L.; Hung, M.T.; Li, Y.; Liu, R.G.; Mao, J.; Mrneini, R.B.; Peng, S.S.; et al. Detection and attribution of vegetation greening trend in China over the last 30 years. Glob. Chang. Biol. 2015, 21, 1601–1609. [Google Scholar] [CrossRef]
- Song, X.P.; Hansen, M.C.; Stehman, S.V.; Potapov, S.V.; Tyukavina, A.; Vermote, E.F.; Townshend, J.R. Global land change from 1982 to 2016. Nature 2018, 560, 639–643. [Google Scholar] [CrossRef] [PubMed]
- Jong, R.D.; Verbesselt, J.; Schaepman, M.E.; Bruin, S.D. Trend changes in global greening and browning: Contribution of short-term trends to longer-term change. Glob. Chang. Biol. 2012, 18, 642–655. [Google Scholar] [CrossRef]
- Slayback, D.A.; Pinzon, J.E.; Los, S.O.; Tucker, C.J. Northern hemisphere photosynthetic trends 1982–99. Glob. Chang. Biol. 2003, 9, 1–15. [Google Scholar] [CrossRef]
- Zhou, L.; Tucker, C.J.; Kaufmann, R.K.; Slayback, D.; Shabanov, N.V.; Myneni, R.B. Variations in northern vegetation activity inferred from satellite data of vegetation index during 1981 to 1999. J. Geophys. Res. Atmos. 2001, 106, 20069–20083. [Google Scholar] [CrossRef]
- Li, J.; Liu, H.B.; Li, C.Y.; Long, L. Changes of Green-up Day of Vegetation Growing Season Based on GIMMS 3g NDVI in Northern China in Recent 30 Years. Sci. Geogr. Sin. 2017, 37, 620–629. [Google Scholar]
- Jong, R.D.; Bruin, S.D.; Wit, A.D.; Schaepman, M.E.; Dent, D.L. Analysis of monotonic greening and browning trends from global NDVI time-series. Remote Sens. Environ. 2011, 115, 692–702. [Google Scholar] [CrossRef]
- Dong, C.W.; Cao, Y.; Tan, Y.Z. Urban expansion and vegetation changes in Hangzhou Bay area using night-light data. Chin. J. Appl. Ecol. 2017, 28, 231–238. [Google Scholar]
- Zhang, W.Y.; Sun, W.J.; Zhang, Y.L. Wavelet Analysis and Mann-Kendall Test of Mean Air Temperature and Annual Precipitation in Linzhi, Tibet, China from 1960 to 2012. J. Desert Res. 2018, 38, 190–196. [Google Scholar]
- Sen, P.K. Estimates of the Regression Coefficient Based on Kendall’s Tau. Publ. Am. Stat. Assoc. 1968, 63, 1379–1389. [Google Scholar] [CrossRef]
- Tian, Y.C.; Bai, X.Y.; Wang, S.J.; Qin, L.Y.; Li, Y. Spatial-temporal changes of vegetation cover in Guizhou Province, Southern China. Chin. Geogr. Sci. 2017, 27, 25–38. [Google Scholar] [CrossRef]
- Yuan, L.H.; Jiang, W.G.; Shen, W.M.; Liu, Y.H.; Wang, W.J.; Tao, L.L.; Zheng, H.; Liu, X.F. The spatio-temporal variations of vegetation cover in the Yellow River Basin from 2000 to 2010. Acta Ecol. Sin. 2013, 33, 7798–7806. [Google Scholar]
- Fensholt, R.; Langanke, T.; Rasmussen, K.; Reenberg, A.; Prince, S.D.; Tucker, C.; Scholes, R.; Le, Q.B.; Bondeau, A.; Eastman, R.; et al. Greenness in semi-arid areas across the globe 1981–2007—an Earth Observing Satellite based analysis of trends and drivers. Remote Sens. Environ. 2012, 121, 144–158. [Google Scholar] [CrossRef]
- Fang, L.; Wang, W.J.; Jiang, W.G.; Chen, M.; Wang, Y.; Jia, K.; Li, Y. Spatio-temporal Variations of Vegetation Cover and Its Responses to Climate Change in the Heilongjiang Basin of China from 2000 to 2014. Sci. Geogr. Sin. 2017, 37, 1745–1754. [Google Scholar]
- Evans, J.; Geerken, R. Discrimination between climate and human-induced dryland degradation. J. Arid. Environ. 2004, 57, 535–554. [Google Scholar] [CrossRef]
- Hou, G.L.; Liu, D.Y.; Zhang, Z.X.; Guo, D.; Zhang, H.Y. Response of NDVI in different climatic zone toclimate change in Songnen Plain. Chin. J. Agrometeorol. 2012, 33, 271–277. [Google Scholar]
- Zhang, J.H.; Feng, Z.M.; Jiang, L.G.; Yang, Y.Z. Analysis of the Correlation between NDVI and Climate Factors in the Lancang River Basin. J. Nat. Res. 2015, 30, 1425–1435. [Google Scholar]
- Elith, J.; Leathwick, J.R.; Hastie, T. A working guide to boosted regression trees. J. Anim. Ecol. 2008, 77, 802–813. [Google Scholar] [CrossRef] [PubMed]
- Messina, J.P.; Kraemer, M.U.; Brady, O.J.; Pigott, D.M.; Shearer, E.M.; Weiss, D.J.; Golding, N.; Ruktanonchai, C.W.; Gething, P.W.; Cohn, E.; et al. Mapping global environmental suitability for Zika virus. Elife 2016, 5, e15272. [Google Scholar] [CrossRef] [PubMed]
- Ashby, J.; Moreno-Madriñán, M.J.; Yiannoutsos, C.T.; Stanforth, A. Niche Modeling of Dengue Fever Using Remotely Sensed Environmental Factors and Boosted Regression Trees. Remote Sens. 2017, 9, 328. [Google Scholar] [CrossRef]
- Liu, Y.L.; Lei, H.M. Responses of natural vegetation dynamics to climate drivers in China from 1982 to 2011. Remote Sens. 2015, 7, 10243–10268. [Google Scholar] [CrossRef]
- Pouliot, D.; Latifovic, R.; Olthof, I. Trends in vegetation NDVI from 1km AVHRR data over Canada for the period 1985–2006. Int. J. Remote Sens. 2009, 30, 149–168. [Google Scholar] [CrossRef]
- Piao, S.; Friedlingstein, P.; Ciais, P.; Viovy, N.; Demarty, J. Growing season extension and its impact on terrestrial carbon cycle in the Northern Hemisphere over the past 2 decades. Glob. Biogeochem. Cycles 2007, 21. [Google Scholar] [CrossRef]
- Fu, X.F.; Yang, S.T.; Liu, C.M. Changes of NDVI and their relations with principal climatic factors in the Yarlung Zangbo River Basin. Geogr. Res. 2007, 26, 60–66. [Google Scholar]
- Cheng, Z.G.; Yang, X.Y.; Dong, S.Y.; Sun, C.; Wu, Y. Vegetation Coverage Changes in Chengdu Based on DMSP/OLS and SPOT-VEG NDVI. Adv. Meteorol. Sci. Technol. 2016, 6, 14–20. [Google Scholar]
- Kasimu, A. Global Urban Characterization Using Population Density, DMSP Data and MODIS Data. Remote Sens. Inf. 2018, 33, 86–92. [Google Scholar]
- Cui, L.L.; Shi, J.; Xiao, F.J.; Fan, W.Y. Variation Trends in Vegetation NDVI and Its Correlation with Climatic Factors in Eastern China. Resour. Sci. 2010, 32, 124–131. [Google Scholar]
- Hou, M.T.; Hu, W.; Qiao, H.L.; Li, W.G.; Yan, X.D. Application of Partial Least Squares (PLS) Regression Method in Attribution of Vegetation Change in Eastern China. J. Nat. Resour. 2015, 30, 409–422. [Google Scholar]
- Zhu, M.M.; Hou, X.Y.; Wu, T. Spatio-temporal Characters of Vegetation Cover in the Eastern China from 2001 to 2010 based on MODIS NDVI. Remote Sens. Technol. Appl. 2013, 28, 1027–1032. [Google Scholar]
- Neigh, C.S.R.; Tucker, C.J. North American vegetation dynamics observed with multi-resolution satellite data. Remote Sens. Environ. 2008, 112, 1749–1772. [Google Scholar] [CrossRef]
- Julien, Y.; Sobrino, J.A.; Verhoef, W. Changes in land surface temperatures and NDVI values over Europe between 1982 and 1999. Remote Sens. Environ. 2006, 103, 43–55. [Google Scholar] [CrossRef]
- Gurgel, H.C.; Ferreira, N.J. Annual and interannual variability of NDVI in Brazil and its connections with climate. Int. J. Remote Sens. 2003, 24, 3595–3609. [Google Scholar] [CrossRef]
- Melo, M.R.D.S.; Rocha, J.V.; Manabe, V.D.; Rubens, A.C.L. Intensity of land use changes in a sugarcane expansion region, Brazil. J. Land Use Sci. 2018, 13, 1–16. [Google Scholar] [CrossRef]
- Tomasella, J.; Vieira, R.M.S.P.; Barbosa, A.A.; Rodriguez, D.A.; Santana, M.D.O.S.; Sestini, M.F. Desertification trends in the Northeast of Brazil over the period 2000–2016. Int. J. Appl. Earth Obs. Geoinf. 2018, 73, 197–206. [Google Scholar] [CrossRef]
- Donohue, R.J.; Mcvicar, T.R.; Roderick, M.L. Climate-related trends in Australian vegetation cover as inferred from satellite observations, 1981–2006. Glob.Chang. Biol. 2010, 15, 1025–1039. [Google Scholar] [CrossRef]
- Zhang, S.B.; Wu, J.X. Approaches, effects and implications of non-native biological invasions in Australia and the Americas. World’s Agric. 2006, 6, 49–51. [Google Scholar]
- Wu, D.H.; Zhao, X.; Zhao, W.Q.; Tang, B.J.; Xu, W.F. Response of vegetation to temperature, precipitation and solar radiation time-scales: A case study over mainland Australia. Geosci. Remote Sens. Symp. IEEE 2014, 855–858. [Google Scholar] [CrossRef]
- Hu, P.X.; Yang, W.X.; Li, M.X.; Zhou, W.D. The state and control of desertification in Australia. Chin. For. 2002, 6, 37–39. [Google Scholar]
- Miao, J.; Zhao, Z.Q.; Liu, H.L.; Li, L.L.; Xu, Y.Q.; Liu, Q.; Xin, M.Y.; Zhang, L.; Li, G.C.; Pan, J. Using MODIS Data to Monitor Pest Vegetation Index Change in a Large Scale-Take the Locust Plague in Australia in 2010 for Example. Chin. Agric. Sci. Bull. 2015, 31, 148–155. [Google Scholar]
- Wang, Q.; Chen, Y.; Ruan, X.R.; Li, X.D.; Wang, X.L.; Shi, J.Z.; Wang, Z.W. The Changes of NDVI in China from 1982 to 2012 and Its Relationship with Climatic Factors. Acta Agrestia Sin. 2017, 25, 691–700. [Google Scholar]
- Mao, J.F.; Ribes, A.; Yan, B.Y.; Shi, X.Y.; Thornton, P.E.; Séférian, R.; Ciais, P.; Myneni, R.B.; Douville, H.; Piao, S.L.; et al. Human-induced greening of the northern extratropical land surface. Nat. Clim. Chang. 2016, 6, 959–963. [Google Scholar] [CrossRef]
- Zeng, X.; Rao, P.; Defries, R.S.; Hansen, M.C. Interannual Variability and Decadal Trend of Global Fractional Vegetation Cover from 1982 to 2000. J. Appl. Meteorol. 2003, 42, 1525–1530. [Google Scholar] [CrossRef]
- Zhang, Y.L.; Song, C.H.; Band, L.E.; Sun, C.; Li, J.X. Reanalysis of global terrestrial vegetation trends from MODIS products: Browning or greening? Remote Sens. Environ. 2017, 191, 145–155. [Google Scholar] [CrossRef]
- Brandt, M.; Rasmussen, K.; Peñuelas, J.; Tian, F.; Schurgers, G.; Verger, A.; Mertz, O.; Palmer, J.R.B.; Fensholt, R. Human population growth offsets climate-driven increase in woody vegetation in sub-Saharan Africa. Nat. Ecol. Evolut. 2017, 1, 0081. [Google Scholar] [CrossRef]











| Degree | NDVI Value | Area (km2) | Percent |
|---|---|---|---|
| Non-vegetation coverage area | NDVI ≤ 0.2 | 18,361,920 | 10% |
| Low vegetation coverage area | 0.2<NDVI ≤ 0.5 | 39,134,272 | 22% |
| Medium vegetation coverage area | 0.5 < NDVI ≤ 0.8 | 76,844,352 | 42% |
| High vegetation coverage area | NDVI > 0.8 | 47,376,128 | 26% |
| SNDVI | Zvalue | Trend of NDVI | Percentage |
|---|---|---|---|
| S ≥ 0.0005 | Z ≥ 1.96 | Significant increasing | 34% |
| S ≥ 0.0005 | −1.96 < Z < 1.96 | Slight increasing | 6% |
| −0.0005 < S < 0.0005 | −1.96 < Z < 1.96 | Constant | 45% |
| S ≤ −0.0005 | −1.96 < Z < 1.96 | Slight decreasing | 5% |
| S ≤ −0.005 | Z ≤ −1.96 | Significant decreasing | 10% |
© 2019 by the authors. Licensee MDPI, Basel, Switzerland. This article is an open access article distributed under the terms and conditions of the Creative Commons Attribution (CC BY) license (http://creativecommons.org/licenses/by/4.0/).
Share and Cite
Yang, Y.; Wang, S.; Bai, X.; Tan, Q.; Li, Q.; Wu, L.; Tian, S.; Hu, Z.; Li, C.; Deng, Y. Factors Affecting Long-Term Trends in Global NDVI. Forests 2019, 10, 372. https://doi.org/10.3390/f10050372
Yang Y, Wang S, Bai X, Tan Q, Li Q, Wu L, Tian S, Hu Z, Li C, Deng Y. Factors Affecting Long-Term Trends in Global NDVI. Forests. 2019; 10(5):372. https://doi.org/10.3390/f10050372
Chicago/Turabian StyleYang, Yujie, Shijie Wang, Xiaoyong Bai, Qiu Tan, Qin Li, Luhua Wu, Shiqi Tian, Zeyin Hu, Chaojun Li, and Yuanhong Deng. 2019. "Factors Affecting Long-Term Trends in Global NDVI" Forests 10, no. 5: 372. https://doi.org/10.3390/f10050372
APA StyleYang, Y., Wang, S., Bai, X., Tan, Q., Li, Q., Wu, L., Tian, S., Hu, Z., Li, C., & Deng, Y. (2019). Factors Affecting Long-Term Trends in Global NDVI. Forests, 10(5), 372. https://doi.org/10.3390/f10050372

