Abstract
Increasing wildfires in western North American conifer forests have led to debates surrounding the application of post-fire management practices. There is a lack of consensus on whether (and to what extent) post-fire management assists or hinders managers in achieving goals, particularly in under-studied regions like eastern ponderosa pine forests. This makes it difficult for forest managers to balance among competing interests. We contrast structural and community characteristics across unburned ponderosa pine forest, severely burned ponderosa pine forest, and severely burned ponderosa pine forest treated with post-fire management with respect to three management objectives: ponderosa pine regeneration, wildland fuels control, and habitat conservation. Ponderosa pine saplings were more abundant in treated burned sites than untreated burned sites, suggesting increases in tree regeneration following tree planting; however, natural regeneration was evident in both unburned and untreated burned sites. Wildland fuels management greatly reduced snags and coarse woody debris in treated burned sites. Understory cover measurements revealed bare ground and fine woody debris were more strongly associated with untreated burned sites, and greater levels of forbs and grass were more strongly associated with treated burned sites. Wildlife habitat was greatly reduced following post-fire treatments. There were no tree cavities in treated burned sites, whereas untreated burned sites had an average of 27 ± 7.68 cavities per hectare. Correspondingly, we found almost double the avian species richness in untreated burned sites compared to treated burned sites (22 species versus 12 species). Unburned forests and untreated burned areas had the same species richness, but hosted unique avian communities. Our results indicate conflicting outcomes with respect to management objectives, most evident in the clear costs to habitat conservation following post-fire management application.
1. Introduction
Increasing wildfires in western North American conifer forests have led to increasingly heated debates surrounding the application of post-fire management [1,2]. Forest management objectives commonly incorporate yield-based paradigms with societal interests, such as biodiversity and conservation, social and cultural values, and system resilience [3,4]. Thus, forest managers must often balance competing interests when planning post-fire management. Forest managers have increasingly implemented post-fire management to recuperate economic loss from fire, reduce subsequent fire risk, and boost post-fire forest regeneration [5,6]. However, there is a lack of consensus as to whether post-fire management assists or hinders in achieving management goals [7,8]. In addition, the alteration of post-fire habitats by management can have negative ecological consequences, making it difficult to balance competing objectives [1,7]. For instance, surging wildfire activity threatens timber resources, posing large economic losses to the forestry sector [9]. Post-salvage logging is a common practice used to recuperate timber loss following fire by harvesting damaged timber from burned sites [10,11]. However, it has also been tied to declines in species richness and changes in plant cover [12,13]. Removal of post-fire woody fuels, such as snags and coarse woody debris, is used to reduce the risk of future fire and make burned sites more accessible to forest restoration work [1,14,15]. However, removal of these features can reduce important habitat for a number of species [16,17] and has been suggested to potentially increase short-term fire risk by increasing fine fuel loads [18].
To successfully balance trade-offs, managers need to understand the outcomes of management treatments relative to competing management goals. Although a number of studies have investigated the impacts of post-fire management on ecosystems structure and socioeconomic benefits, the complexity of interactions between various ecosystem properties, post-fire management treatment types and intensities, and variations in fire behaviour patterns across systems yields complex and inconsistent outcomes, e.g., [8,11]. To disentangle these complexities, studies are needed that directly compare unburned forests, burned forests, and burned forests treated with post-fire management, so that, for instance, yield-based benefits such as increased tree regeneration can be directly contrasted with ecological changes over the same time scale [12,19]. Moreover, because our understanding of the ecological effects of post-fire management are generally limited to short-term studies within a few years following fire and/or treatment [6,17,20], the longevity of post-fire management impacts remains in question for many regions. The ecological response to post-fire management can also vary greatly across different biophysical settings [6,10]. In regions where research is limited, like ecotonal eastern ponderosa pine (Pinus ponderosa Douglas ex C.Lawson) forests, post-fire management decisions are often based on research from regions that differ both biophysically and ecologically.
Eastern ponderosa pine forests represent the ecotonal boundary between western montane forests and the temperate grassland biome of North America [21]. Similar to western forests, wildfires have been increasing across eastern ponderosa pine forests in recent decades [2,22]. In 2012 alone, 21% of Nebraska’s most northwesterly population of ponderosa pine burned in mixed-severity wildfires (calculated from the Monitoring Trends in Burn Severity Project (MTBS), www.mtbs.gov). However, responses of these ponderosa pine forests to both wildfire and post-wildfire management are not well understood. Ecotones between grassland and forest biomes represent dynamic border regions that are assumed to be vulnerable to abrupt ecological transitions in the face of disturbance [23]. Severe wildfire is thought to lead to a state shift from forest to grassland within these regions (USDA Ecological Site Descriptions), leading to concerns about the loss of ponderosa pine forest following severe wildfire in eastern ponderosa pine. Differences in fuel dynamics and topography means that fires tend to be more frequent in the savanna like structure of eastern ponderosa pine forests compared to interior forests [21,24]. These systems host unique ecological communities composed of both forest and grassland dwelling species [25,26]. Thus, assessing the potential costs and benefits of post-fire management using studies from montane forests might not allow managers to appropriately identify the complexity of potential outcomes in eastern ponderosa pine.
Here, we assess the potential costs and benefits of post-fire management by contrasting structural and community characteristics across unburned ponderosa pine forest, severely burned ponderosa pine forest, and severely burned ponderosa pine forest treated with post-fire management in Nebraska’s eastern ponderosa pine forests in the Pine Ridge region. Following a large mixed-severity wildfire in 2006, a number of sites were treated with coarse woody fuel removal and tree planting in order to decrease re-burn risk and increase pine regeneration. However, this region is also designated as a conservation priority landscape in Nebraska, due to its unique, ecotonal biotic communities [27]. Thus, we measured ecosystem characteristics indicative of these three management goals: tree recruitment, wildland fuels management, and ecological community and habitat conservation. Tree community, tree density, ponderosa pine sapling density, and ponderosa pine cone number were measured to assess tree regeneration and regeneration potential across sites. Snags and coarse woody debris were targets of post-fire management as they have been suggested to increase burn risk [28]. Thus, we assessed snag and coarse woody debris (CWD) characteristics, in addition to understory cover (as a measure of fine fuels), to determine wildland fuel characteristics. We also measured tree cavity characteristics, known to be important to a number of species [29,30] and used snag and coarse woody debris measurements to compare habitat availability across sites. Bird community composition and species richness were also measured across sites to indicate wildlife response across disturbance types.
2. Materials and Methods
2.1. Study Area and Sampling Design
The Pine Ridge region of Nebraska represents an elevated escarpment in the northwestern corner of Nebraska, USA and hosts one of the easternmost communities of ponderosa pine in North America. The region has experienced a number of mixed severity wildfires in recent decades that have significantly altered the land cover of the region [25,31]. In 2006, the mixed-severity Dawes Complex fire burned approximately 11,300 ha across a mixture of public and private lands in the Pine Ridge. Between 2009 and 2010, the USDA Forest Service implemented post-fire management within the Nebraska National Forest south of Chardon, Nebraska in areas that burned at high and moderate severity. The goals of post-fire management were to reduce future fire risk and increase rates of ponderosa pine regeneration. Post-fire management included the felling of snags using feller-bunchers and hand tools (on steeper sloped areas), along with skidder loaders to mechanically remove or stack coarse woody debris to control wildland fuels. Ponderosa pine seedlings were planted sporadically across treated sites to increase ponderosa pine regeneration following wildfire.
We implemented a stratified-random sampling design that distributed 45 sampling sites at a minimum of 80 m apart across unburned ponderosa pine forest, forest that burned at moderate to high severity and was not treated with post-fire management, and forest that burned at moderate to high severity and was treated with post-fire management. Fire severity was determined using the MTBS database (www.mtbs.gov), which uses remotely sensed pre- and post-fire reflectance data to create fire severity classes for 30 by 30 m pixels within a fire perimeter. Unburned forests along the burn perimeter designated by MTBS were identified using Google Earth imagery. The locations of post-fire treatments were obtained from the USDA Forest Service. Field measurements were taken between May–July during 2016 and 2017.
2.2. Tree Regeneration
At each sampling site, we created a 30 by 30 m plot. We counted and identified to species all woody species ≥1.4 m in height (diameter at breast height) that were rooted within our 30 by 30 m plot at each sampling site. We measured diameter at breast height (DBH) for all trees ≥1.4 m. From this data we isolated ponderosa pine saplings, young trees that had survived initial recruitment, to determine patterns in forest regeneration. Saplings were designated to include any tree ≥1.4 m in height with a diameter less than or equal to 11.4 cm following forest inventory guidelines used in a recent assessment in the same study region [32].
We counted the number of pinecones at a site using a 30 m long, 0.5 m wide belt transect centered on the 30 by 30 m plot. We randomly determined the direction of the transect (North-South or East-West). We counted the number of pinecones that were within a quarter meter on each side of our transect line to estimate pinecone abundance at each site.
2.3. Wildland Fuels
At each site, we categorized all self-supporting dead trees ≥1.4 m rooted within our 30 by 30 m plot as snags. We assigned each snag a decay class ranging from 1 (snag with intact twigs and bark) to 5 (rotten, snag with no branches or top pole, most of the heartwood is exposed; [33]). We measured DBH for all snags.
We measured CWD (coarse woody debris with a diameter ≥10 cm; [34]) cover at a site using the same 30 m transect used to measure pinecone abundance. To determine the percent CWD cover within our plot, we divided the length of the transect line covered by coarse woody debris by the 30 m (the length of the transect line) and then multiplied this by 100. We recorded the decay class for each piece of CWD that crossed the transect. Decay classes ranged from 1 (round, with branches, twigs and foliage) to 5 (semi-round structure, possibly in multiple pieces, with the heartwood exposed and decaying; [35]).
We established five 1 by 1 m quadrats within our 30 by 30 m plots that were placed 15 m from the center of the plot in the 4 cardinal directions (North, South, East, West). A 5th quadrat was placed at the center of our sampling plot. Within each quadrat, we recorded the percentage of understory canopy cover of grass, forbs, shrub, fine woody debris (FWD; woody debris <10 cm in diameter; [34]), CWD, litter, pinecones, bare ground, and moss. Understory canopy cover was measured following the definition given by the Range Inventory Standardization Committee [36].
2.4. Wildlife Community and Habitat
In each 30 by 30 m plot, two researchers systematically searched for tree cavities located on both trees and snags using binoculars. We defined a cavity to be any hole that was ≥2.54 cm in size and penetrated into the heartwood. Once a cavity was identified, the tree species, life status (alive or dead), DBH, and decay class (if dead) were recorded. We measured both the size and height of each cavity found within our plot. We also recorded whether the cavity appeared to be excavated by wildlife or ‘naturally’ formed (i.e., a limb-hole or crack in the trunk; [35,37]).
From 14 June 2017–20 June 2017, we conducted point-count surveys to estimate bird community composition. We performed surveys within a 5.5 h sampling window starting 30 min prior to sunrise and ending five hours after sunrise. We did not conduct surveys in wind speeds >20 km/h or during precipitation [38,39]. During point-count surveys, we recorded presence of all bird species we saw or heard during a five-minute period within a 50 m radius of the point [40]. We revisited each point once within four days to increase the probability of detecting all present species. We pooled the species recorded from both visits for analyses (Supplementary Materials).
2.5. Statistical Analysis
For all measured characteristics, we grouped and analysed data based on our three disturbance categories: burned treated, burned untreated, and unburned. We used two sample t-tests and ANOVA to contrast differences among treatments where data was sufficient for live tree, pinecones, snags, tree cavities, and CWD patterns. Two sample t-tests were used in replacement of ANOVA when there were too many zero values within one category to conduct a three-way comparison.
The distribution of tree DBH was displayed using kernel density estimates calculated using a Gaussian kernel with Silverman’s rule of thumb [41] to determine bandwidth for each treatment. Kernel density estimation is a nonparametric method for determining the likelihood that a random variable falls within a particular range of values and can be used to determine the distribution of data.
We used Redundancy Analysis (RDA), a form of constrained ordination, to contrast both understory cover and bird communities among disturbance types, with disturbance type (treated burned, untreated burned, and unburned) used as our constraining variable [42]. We adjusted for rare species (or understory cover types) using a Hellinger transformation [43]. Multiple-comparisons PERMANOVA was used to assess differences among disturbance types for both ordination analyses. All statistical analyses were conducted using R statistical software (v. 3.4.0, R Foundation for Statistical Computing, Vienna, Austria).
3. Results
3.1. Tree Regeneration
Ponderosa pine was the predominant tree species recorded across our study sites, making up 98% of all trees recorded. Other species recorded included chokecherry (Prunus virginiana Linnaeus; 1%), green ash (Fraxinus pennsylvanica Marshall; 0.4%), and Juniperus sp. Linnaeus (0.05%). Treated burned areas contained only ponderosa pine, while untreated burned sites contained both ponderosa pine and chokecherry. Unburned forests hosted all four species.
There was an average of 133 ± 432 SE live trees per hectare in untreated compared to 400 ± 537 SE live trees per hectare in treated burned sites. Only two of the untreated sites had live trees present, while six of the treated sites had live trees. In comparison, unburned sites had an average live tree density of 36,470 ± 7288 SE trees per hectare. Of the sites containing live trees, average DBH across sites was higher in untreated burned sites (10.69 cm ± 7.89 SE) compared to treated burned sites (4.82 cm ± 1.79 SE), while average basal area was higher in treated burned sites (1.21 m2/ha ± 1.19 SE) compared to untreated burned sites (4.82 m2/ha ± 0.16 SE). Tree DBH was strongly skewed to the left in treated burned sites, while DBH was much more equally distributed across untreated burned areas (Figure 1). Average DBH and basal area across sites was highest in unburned sites (13.61 cm ± 1.52 SE; 23.33 m2/ha ± 1.75 SE). Like treated burned sites, the distribution of tree DBH across unburned areas was strongly left skewed (Figure 1).
Figure 1.
Kernel density estimates showing the distribution of diameter at breast height (DBH) for all trees ≥1.4 m in height recorded within untreated burned, treated burned, and unburned sites.
One of the six (17%) live trees recorded on untreated burned sites was a ponderosa pine sapling. In contrast, 94% of live trees on treated burned sites were ponderosa pine saplings (17 of 18), with an average sapling density of 31 saplings per hectare ± 4.45 SE. All 15 unburned sites had ponderosa pine saplings, with an average density of 944 saplings per hectare ± 232.69 SE. Ponderosa pine saplings made up 72% of the total number of live trees recorded on unburned sites. Average DBH of saplings was smaller in treated burned (3.12 cm ± 0.36 SE) than unburned sites (5.10 cm ± 0.36 SE). The only sapling recorded on treated burned sites had a DBH of 2.80 cm.
We found pinecones at only one treated burned site and only one untreated burned site. There were a total of two pinecones at the treated burned site, and 61 pinecones at the untreated burned site. Every unburned forest site had pinecones present (n = 15), with an average of 107 pinecones ± 15 SE per site.
3.2. Wildland Fuels
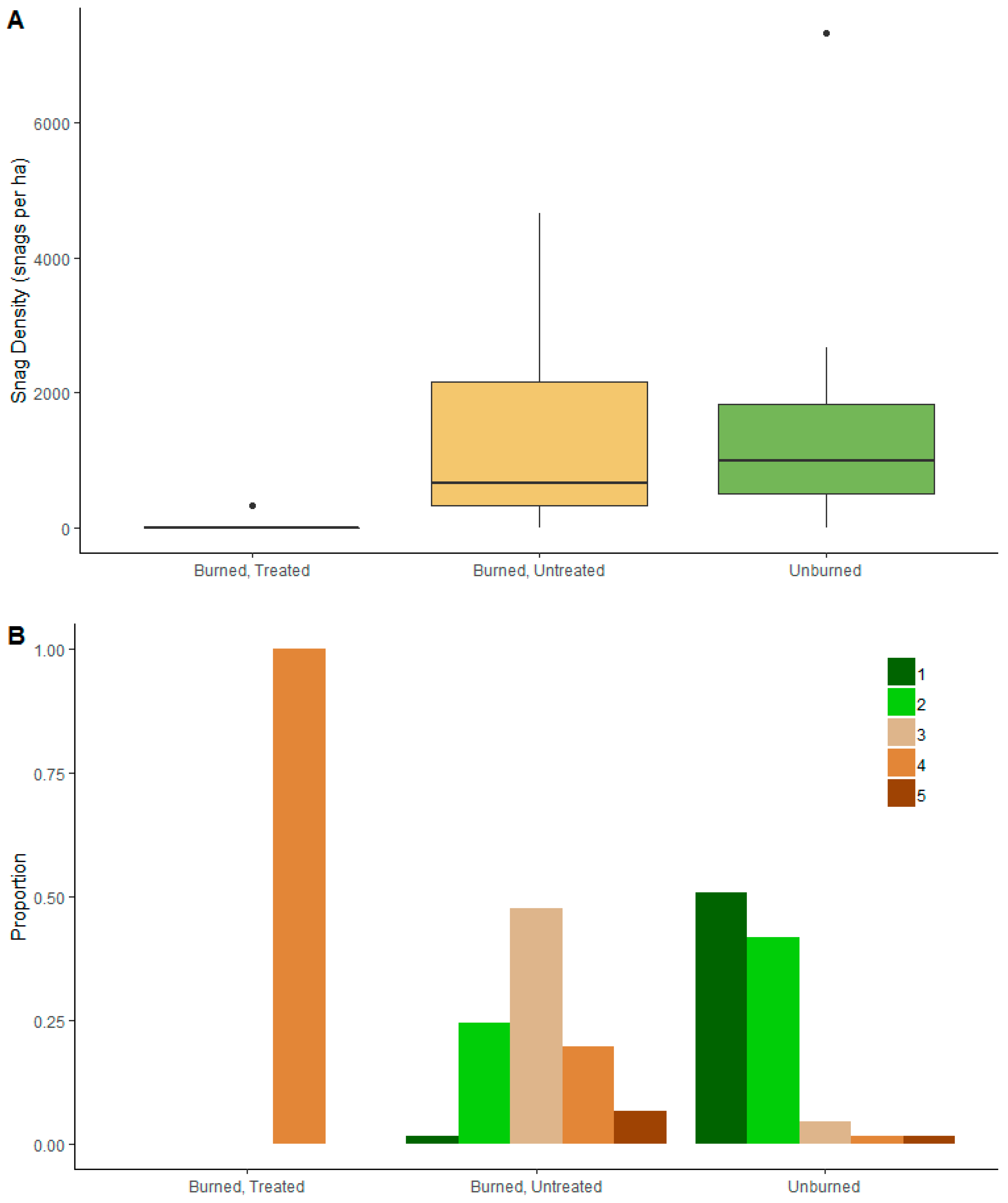
Only a single snag was recorded across all treated burned sites, while there were 61 snags recorded in untreated burned sites averaging at a density of 1355 ± 335 SE snags per hectare. Snag density in unburned forests was similar to untreated sites, at 1488 ± 450 SE snags per hectare (t = −0.22, p = 0.82). Average snag DBH was higher in untreated burned sites (32.77 cm ± 3.00 SE) than in unburned forests (22.53 cm ± 3.61 SE; t = 2.10, p = 0.04). The DBH of the only snag recorded in treated sites was 32.4 cm. The distribution of snag decay classes differed between unburned forest and untreated burned forest. In untreated burned sites, the distribution was Gaussian in form, with the highest proportion of snags falling in decay class 3 (48%) and very few snags in decay classes 1 (1%) and 5 (6%; Figure 2). In unburned forest, the distribution of snag decay classes was right skewed, with the greatest proportion of snags falling in decay class 1 (51%) and 2 (42%), and very few snags falling in decay classes 4 and 5 (Figure 2). The only snag recorded in treated burned areas was a decay class 4.
Figure 2.
(A) Snag density in burned treated sites, burned untreated sites, and unburned sites; (B) The proportion of snags that fell within each decay class (1–5) in burned treated, burned untreated, and unburned ponderosa pine forest, where a value of 1 represents a low level of decay, and a value of 5 represents a high level of decay.
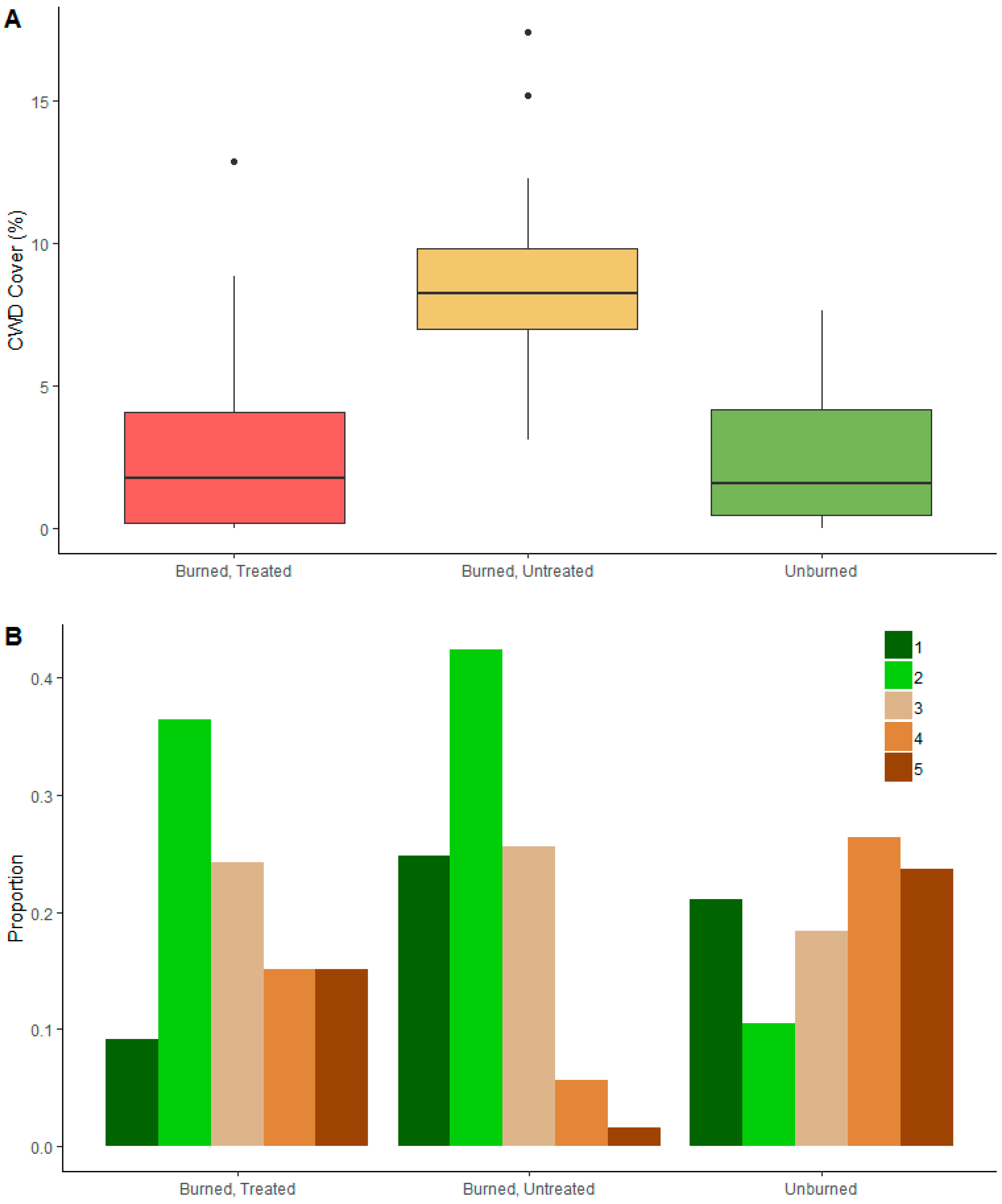
There was significantly more coarse woody debris cover in untreated burned sites (8.62% ± 1.00 SE) than in treated burned sites (2.92% ± 0.98 SE; β = 5.71, p < 0.01) and unburned sites (2.62% ± 0.98 SE; β = 6.00, p < 0.01; Figure 3). CWD cover was similar between unburned sites and treated burned sites (β = −0.30, p = 0.97). The distribution of CWD across decay classes was right skewed in untreated burned sites, where the proportion of CWD was highest in decay class 2 (42%) and lowest in decay classes 4 and 5 (5% and 1% respectively; Figure 3). The distribution of CWD across decay classes was relatively Gaussian in treated burned sites, with the greatest proportion of CWD still in decay class 2 (36%; Figure 3). There was a higher proportion of CWD in decay classes 4 and 5 in treated burned sites than untreated sites (15% each; Figure 3). In unburned sites, CWD was more evenly distributed across decay classes (Figure 3). The greatest proportion of CWD fell into decay classes 4 (26%) and 5 (24%), while the lowest proportion of CWD fell in decay class 2 (11%).
Figure 3.
(A) Percent coarse woody debris cover (CWD) in burned treated sites, burned untreated sites, and unburned sites; (B) The proportion of CWD that fell within each decay class (1–5) in burned untreated, burned treated, and unburned ponderosa pine forest, where a value of 1 represents a low level of decay, and a value of 5 represents a high level of decay.
Treated burned areas were more strongly associated with grasses and forbs, while untreated burned sites were more strongly associated with fine woody debris and bare ground cover (Figure 4; Table 1 and Table 2). That said, there was no significant difference in overall understory cover composition between treated compared to untreated burned sites (F = 2.16, p = 0.11). Unburned forest sites were strongly associated with high levels of litter (Figure 4) and differed significantly from both treated and untreated burned sites (F = 11.29, p ≤ 0.01; F = 6.09, p ≤ 0.01 respectively).
Figure 4.
Mean constrained site scores for the first two axes of a redundancy analysis for understory percent cover across treated burned (BT), untreated burned (B), and unburned (U) ponderosa pine forest. Bars indicate 95% confidence limits of the mean site scores.
Table 1.
Eigenvalues and the proportion of explained variation that was represented by RDA1 and RDA2 in two redundancy analyses of understory cover and avian community composition. Burn classes (treated burned, untreated burned, and unburned) were used as predictor variables.
Table 2.
Inertia and the proportion of inertia that was constrained versus unconstrained in two redundancy analyses of understory cover and avian community composition. Burn classes (treated burned, untreated burned, and unburned) were used as predictor variables.
3.3. Wildlife Community and Habitat
We found no cavities in treated burned sites, but we found an average of 27 ± 7.68 SE cavities per hectare in untreated burned sites. The density of cavities in unburned forest sites (70 cavities per hectare ± 30.08 SE) was similar to untreated burned sites (t = −1.40, p = 0.18). Cavity size (untreated burned sites: 4.90 cm ± 1.01 SE; unburned sites: 16.94 cm ± 8.13 SE), the percentage of cavities that were excavated (untreated burned sites: 98% ± 1.67 SE; unburned sites: 67.5% ± 12.24 SE) and average cavity height (untreated burned sites: 2.98 m ± 0.78 SE; unburned sites: 3.40 m ± 0.68 SE) were also similar across untreated burned and unburned sites (t = −1.43, p = 0.17; t = −1.12, p = 0.28; t = −0.31, p = 0.76, respectively).
We recorded nearly double the number of bird species in untreated burned sites (22 species) compared to treated burned sites (12 species). We also recorded 22 bird species at unburned forest sites. Average species richness per site was higher in untreated burned sites (3.64 ± 0.37 SE) and unburned sites (4.21 ± 0.44 SE) compared to treated burned sites (1.64 ± 0.19 SE). Each disturbance type had species that were unique to that type (Table 3). However, treated burned sites had by far the fewest, with only the Pica hudsonia Sabine recorded in these sites and no others. Burned untreated sites and unburned sites had five and eight unique species, respectively (Table 3).
Table 3.
The number of sites within each disturbance category in which each bird species was recorded. Rows highlighted in grey indicate unique species that were only recorded in a single burn category.
Disturbance type explained 12% of variation in avian community composition across sites (Table 1 and Table 2). Avian community differed significantly between treated and untreated burned sites (F = 2.68, p = 0.03). Treated burned sites were most strongly associated with Zenaida macroura Linnaeus and Pipilo maculatus Swainson, while untreated burned sites were most strongly associated with Tyrannus tyrannus Linnaeus and Colaptes auratus Linnaeus (Figure 5; Table 1 and Table 2). Unburned sites were significantly different from both treated burned (F = 6.78, p ≤ 0.01) and untreated burned sites (F = 2.22, p = 0.03). Unburned forests were strongly associated with Troglodytes aedon Vieillot, Sitta pygmaea Vigors and Contopus sordidulus Sclater (Figure 5; Table 1 and Table 2).
Figure 5.
Mean constrained site scores for the first two axes of a redundancy analysis for avian community composition across treated burned (BT), untreated burned (B), and unburned (U) ponderosa pine forest. Bars indicate 95% confidence limits of the mean site scores.
4. Discussion
There are clear trade-offs that need to be considered among management objectives when applying post-fire management in eastern ponderosa pine. The consequences of post-fire management to ecological conservation were clear. Post-fire management drastically altered post-fire habitats resulting in the loss of unique avian communities and decreases in available wildlife habitat. This finding is consistent with other studies that have found there are detrimental ecological impacts caused by post-fire management [1,7,19]. Although post-fire management in our study region is primarily aimed at wildland fuel control and forest regeneration, these management objectives may be in conflict within treated burned sites. Attempts to hastened forest regeneration through tree planting may have hindered goals of reducing wildland fuels, as the younger and denser stand structures seen in treated burned sites that are indicative of more rapid forest regeneration can be more susceptible to severe fire [44]. Even CWD and snag removal may have trade-offs for wildland fuels control. While coarse woody fuels were lower in treated sites, removal of these fuels may have allowed for more continuous fine fuels. Treated sites tended to have greater grass coverage and less bare ground than untreated sites, which can promote a more rapid spread of surface fire [45,46]. Similarly, while there was less CWD in treated burned sites, CWD tended to be more decayed, possibly from exposure or damage from machinery during treatments. CWD in higher levels of decay can burn more readily and has been shown to contribute to a greater probability of re-burn [28,47]. Thus, the direct benefits of post-fire management in eastern ponderosa pine forest were less certain than the ecological consequences of these actions.
4.1. Tree Regeneration
Tree planting is seen as a way to hasten forest regeneration [48] and reverse potential regime shifts from forest to grassland in eastern ponderosa pine forests. In our study region, three times more treated burned sites had live trees than untreated burned sites. Smaller average tree DBH and a far greater number of ponderosa pine saplings in treated burned sites suggests a younger stand structure likely resulting from tree planting. Planting ponderosa pine seedlings has been shown to largely increase tree density in previously burned areas [49]. While planting is desirable for rapid forest regeneration, it may also increase the risk of high-severity fire in treated areas [7,18]. Thompson et al., (2007) found that re-burn severity was higher in young conifer plantations compared to naturally regenerating stands. Dense young forests may be more vulnerable to positive feedback cycles of high-severity fire that delay or preclude the establishment of mature forest [44]. Low density naturally regenerating stands have been suggested to be more resilient to wildfire [50]. Continued monitoring could determine if rates of tree regeneration have increased from post-fire management treatments and how patterns in tree density vary across regenerating stands.
The presence of both live trees and pinecones in both treated and untreated burned sites suggest the potential for natural tree regeneration without post-fire management treatments. A review of western U.S. forest response to wildfire found that post-burn forested landscapes have substantial capacity to naturally regenerate [7]. Natural conifer regeneration was found across a variety of settings 9–19 years after high severity fire in mixed-conifer forests in Oregon and California [51]. Our results suggest that similar to western dry-forests, eastern ponderosa pine stands have the capacity to naturally regenerate following high- and moderate-severity fire. Populations of ponderosa pine can spread as a moving front from surviving seed sources following wildfire or through remotely dispersed individuals [50,52]. Differential regeneration patterns across severely burned sites could be driven by differences in the distance to surviving ponderosa pine stands, which has been shown to be a strong predictor of ponderosa pine regeneration [53]. The importance of structural heterogeneity that is created across multiple spatial scales during natural ponderosa pine regeneration is still not fully understood, however, it is likely to lead to ponderosa pine dominated landscapes that are more resilient to severe wildfire and climate change than overly dense and uniformly planted stands [44,50]. The appearance of natural regeneration of ponderosa pine following severe wildfire has been shown to take between five to 15 years in other regions [52]. Re-assessment of tree density in the future could provide greater insight into the patterns of natural re-establishment of ponderosa pine in severely burned areas without the assistance of tree planting in eastern ponderosa pine forests.
Woody species composition differed among treatments. Sites we measured in the Pine Ridge were strongly dominated by ponderosa pine, with only three other woody species (≥1.4 m) recorded. Unburned forest hosted every species. Treated burned sites were effectively a ponderosa pine monoculture, while untreated burned sites hosted both chokecherry and ponderosa pine. Ecologically, a greater diversity of woody species could support more wildlife diversity. Chokecherry is a common browse species for ungulates following wildfire [54] and a number of bird species utilize chokecherry berries for forage [55]. However, woody competitors might decrease soil moisture, hindering conifer establishment and growth [48]. Control of woody competitors has been shown to increase site potential for ponderosa pine regeneration [56]. Longer-term data could provide insight on the potential for competition with other woody species to influence ponderosa pine establishment in eastern ponderosa pine forests.
4.2. Wildland Fuels
Post-fire management clearly achieved its goal of reducing large woody fuels (CWD and snags) following wildfire. For instance, CWD cover was three times lower in treated burned sites than in untreated burned sites on average. Large woody fuels are believed to have little influence on the initiation of wildfire or surface fire spread, though may contribute to the development of larger fires with greater wildfire severity [28,57]. However, there are few studies that document in situ ecosystem burn data related to large woody fuels like CWD [58]. Greater amounts of CWD contribute to a higher level of available surface fuel which can increase fire intensity [46]. Moreover, CWD can smolder for days after a wildfire [28,59,60], which could allow for re-ignition within the vicinity of the CWD or from spotting after the initial fire has been extinguished [28,46]. However, in mixed conifer forests in California, CWD did not have a high variable importance relative to other factors (e.g., weather, shrub cover, snag basal area) in affecting re-burn severity [47]. Thus, the influence of CWD on wildfire behaviour should be investigated in eastern ponderosa pine.
Snags were almost completely absent from treated burned sites. While CWD cover was similar among treated burned and unburned forests, snag density in treated burned sites was low relative to unburned forests, which hosted similar snag densities to untreated burned sites. Snags act as an elevated source for embers that can easily catch the wind and support fire spread [46]. Snags have greater potential to contribute to torching, crowning, and spotting where there is dense canopy fuel [28]. We found extremely low tree density in both untreated and treated burned sites relative to unburned forest where live tree density was low. However, Coppoletta et al., (2016) found that high snag basal area resulting from high and moderate severity fire in a 12-year old burn perimeter was an important factor influencing high severity fire in a subsequent re-burn.
Decay class of large woody fuels can similarly influence wildfire behaviour. Fire models of sound CWD combustion suggest there are only slight increases in energy release in surface or crown fire when there are higher levels of CWD [61]. However, decayed and broken up CWD can make a greater contribution to wildfire [28]. Decayed wood has higher surface area-to-volume ratios, providing more area for the smoldering front to access oxygen [62,63]. Solid, dense logs have a greater heat capacity than decayed logs which are lower density fuels, and thus decayed CWD requires less heat to ignite [46]. In an assessment of post-fire drivers of re-burn severity, Coppoletta et al., (2016) found that decayed CWD mass was influential to re-burn severity in mixed-conifer forest, while sound CWD mass was not. CWD in treated burned sites was far more decayed than in untreated sites. Further investigation in this region is needed to determine how patterns in CWD decay influence patterns in wildfire behaviour.
Fine fuels influence the probability of wildfire ignition and spread, and play a large role in influencing wildfire hazard [45,46]. For instance, herbaceous fuels have exceptionally high flammability that allows for rapid fire spread [45,46]. Thus, patchy distributions of fine fuels can decrease fire spread rates across a landscape [64]. Bare ground cover has been found to be an influential predictor of post-fire re-burn severity [47]. The higher bare ground cover that we found in untreated areas could alter the probability of wildfire spread compared to untreated burned sites that were generally associated with higher grass cover. In contrast, higher fine woody debris cover in untreated burned sites can increase the likelihood of sustained ignition, fireline intensity, and fire spread [45,65,66].
4.3. Wildlife Community and Habitat Characteristics
There are clear ecological impacts of both severe wildfire and post-fire management in severely burned areas in eastern ponderosa pine forests. However, only sites treated with post-fire management suffered negative impacts to species richness. Numerous studies have noted the importance of mixed-severity wildfire legacies to wildlife community composition and diversity within a landscape [25,67,68,69]. Asynchronous patches dispersed across a landscape can boost landscape heterogeneity, diversity, and resilience [70]. Forest dwelling species like the western wood-peewee (Contopus sordidulus) and pygmy nuthatch (Sitta pygmaea) were strongly associated with unburned sites. Cavity-dwelling species like the redheaded wood pecker (Melanerpes erythrocephalus Linnaeus) and northern flicker (Colaptes auratus) were strongly associated with untreated burned sites. A number of bird species have been shown to be dependent on post-fire habitats [71,72]. In our study, both unburned forest and untreated burned forest hosted unique species, like the pygmy nuthatch in unburned forest, and the mountain bluebird (Sialia currucoides Bechstein) in untreated burned sites. In contrast, post-fire management treatments hosted a degraded bird community with a low level of uniqueness and almost half the level of species richness, suggesting negative ecological outcomes of post-fire management in severely burned sites. These findings are consistent with post-fire salvage logging studies that found changes in species richness and plant cover following post-fire treatments [12,13].
Low species richness within treated burned sites likely reflects the loss of important habitat features such as CWD, snags, and cavities. For instance, the common cavity-dwelling species the house wren (Troglodytes aedon) was abundant across both unburned and untreated burned sites, which had high numbers of snags and cavities, but were completely absent from treated burned sites. Snags and CWD are ecologically important for the recovery of both terrestrial and aquatic systems following fire [73,74]. Flora and fauna species richness and biomass decrease when snags and coarse woody debris are removed from a landscape [13,17]. In eastern ponderosa pine, coarse woody debris cover has been shown to be an important factor in determining cavity-nesting bird community composition [75]. Fallen trees can provide important nesting habitat, predator cover, and foraging opportunities [76,77]. A number of species, ranging from birds to mammals, also select for the presence and characteristics of forest cavities [16,78] and snag density [16,79]. Cavity-nesting birds overwhelmingly select for cavities in snags to make their nests [30]. Studies have shown declines in the diversity and abundance of cavity- and open-nesting birds with a loss of these structural features [17].
5. Conclusions
The potential benefits of attempting to hasten forest regeneration and decrease wildland fuels in eastern ponderosa pine comes at the cost of post-fire habitats, which we demonstrate host unique community compositions that are as species rich as unburned forests. Our results are consistent with a number of other studies that highlight the detrimental ecological impacts of post-fire management that need to be reconciled with other management objectives [1,7]. Determining the value of post-fire management treatments requires weighing the costs and benefits of management outcomes with management objectives. Land management goals continue to diversify from predominantly yield-based paradigms to those that incorporate a broad range of societal and ecological conservation interests [3,4]. Given the status of this region as a conservation priority, these consequences will need to be balanced with yield-based goals when planning for future post-fire management in the Pine Ridge region and other eastern ponderosa pine forests. Additional research that includes fire modelling, assessments of patterns in re-burn severity, and long-term assessments of tree regeneration are needed to further quantify the potential benefits of post-fire treatments that are in conflict with one another. Continued uncertainty surrounding the conservation of resilient ecological communities within marketable environments will require cross-disciplinary strategies to better understand and balance conflicting management objectives.
Supplementary Materials
The following are available online at https://www.mdpi.com/1999-4907/10/3/286/s1, File S1: Data File.
Author Contributions
Conceptualization, V.M.D., C.P.R., and C.L.W.; Data curation, V.M.D., C.P.R., and C.L.W.; Methodology, V.M.D., C.L.W., and C.P.R.; Analysis, V.M.D.; Writing—Original Draft Preparation, V.M.D.; Writing—Review & Editing, V.M.D., C.P.R., C.L.W., D.A.W., and D.T.; Visualization, V.M.D.; Funding Acquisition, D.A.W. and D.T.
Funding
This research was funded by the USDA NIFA, McIntire Stennis project 1008861, the Nebraska Game & Parks Commission W-125-R-1, and U.S. Department of Defense Strategic Environmental Research Development Program W912HQ-15-C-0018 (https://www.serdp-estcp.org/).
Acknowledgments
We would like to thank the USDA Forest Service in Chadron, Nebraska for their assistance in locating and describing post-fire management treatments, and for allowing us to take field measurements within the Nebraska National Forest. This work was supported by the University of Nebraska’s Institute of Agriculture and Natural Resources. The Nebraska Cooperative Fish and Wildlife Research Unit is jointly supported by Hatch Act funds through a cooperative agreement between the U.S. Geological Survey, the Nebraska Game and Parks Commission, the University of Nebraska Agricultural Research Division, Lincoln, Nebraska the United States Fish and Wildlife Service and the Wildlife Management Institute.
Conflicts of Interest
The authors declare no conflict of interest.
References
- DellaSala, D.A.; Karr, J.R.; Schoennagel, T.; Perry, D.; Noss, R.F.; Lindenmayer, D.; Beschta, R.; Hutto, R.L.; Swanson, M.E.; Evans, J. Post-Fire Logging Debate Ignores Many Issues. Science 2006, 314, 51–52. [Google Scholar] [CrossRef] [PubMed]
- Dennison, P.E.; Brewer, S.C.; Arnold, J.D.; Moritz, M.A. Large wildfire trends in the western United States, 1984–2011. Geophys. Res. Lett. 2014, 41. [Google Scholar] [CrossRef]
- Franklin, J.F.; Spies, T.A.; Pelt, R.V.; Carey, A.B.; Thornburgh, D.A.; Berg, D.R.; Lindenmayer, D.B.; Harmon, M.E.; Keeton, W.S.; Shaw, D.C.; et al. Disturbances and structural development of natural forest ecosystems with silvicultural implications, using Douglas-fir forests as an example. For. Ecol. Manag. 2002, 155, 399–423. [Google Scholar] [CrossRef]
- Hodbod, J.; Barreteau, O.; Allen, C.; Magda, D. Managing adaptively for multifunctionality in agricultural systems. J. Environ. Manag. 2016, 183, 379–388. [Google Scholar] [CrossRef]
- Castro, J.; Allen, C.D.; Molina-Morales, M.; Marañón-Jiménez, S.; Sánchez-Miranda, Á.; Zamora, R. Salvage Logging Versus the Use of Burnt Wood as a Nurse Object to Promote Post-Fire Tree Seedling Establishment. Restor. Ecol. 2011, 19, 537–544. [Google Scholar] [CrossRef]
- Long, J.W.; Quinn-Davidson, L.; Skinner, C.N. Science Synthesis to Support Socioecological Resilience in the Sierra Nevada and Southern Cascade Range (No. PSW-GTR-247); U.S. Department of Agriculture, Forest Service, Pacific Southwest Research Station: Albany, CA, USA, 2014. [CrossRef]
- Noss, R.F.; Franklin, J.F.; Baker, W.L.; Schoennagel, T.; Moyle, P.B. Managing fire-prone forests in the western United States. Front. Ecol. Environ. 2006, 4, 481–487. [Google Scholar] [CrossRef]
- Peterson, D.L.; Agee, J.K.; Aplet, G.H.; Dykstra, D.P.; Graham, R.T.; Lehmkuhl, J.F.; Pilliod, D.S.; Potts, D.F.; Powers, R.F.; Stuart, J.D. Effects of Timber Harvest Following Wildfire in Western North America; General Technical Report PNW-GTR-776; U.S. Department of Agriculture, Forest Service, Pacific Northwest Research Station: Portland, OR, USA, 2009; Volume 51, p. 776. [CrossRef]
- Kirilenko, A.P.; Sedjo, R.A. Climate change impacts on forestry. Proc. Natl. Acad. Sci. USA 2007, 104, 19697–19702. [Google Scholar] [CrossRef]
- Lindenmayer, D.B.; Burton, P.J.; Franklin, J.F. Salvage Logging and Its Ecological Consequences; Island Press: Washington, DC, USA, 2008. [Google Scholar]
- McIver, J.D.; Starr, L. A literature review on the environmental effects of postfire logging. West. J. Appl. For. 2001, 16, 159–168. [Google Scholar]
- Leverkus, A.B.; Lorite, J.; Navarro, F.B.; Sánchez-Cañete, E.P.; Castro, J. Post-fire salvage logging alters species composition and reduces cover, richness, and diversity in Mediterranean plant communities. J. Environ. Manag. 2014, 133, 323–331. [Google Scholar] [CrossRef]
- Thorn, S.; Bässler, C.; Brandl, R.; Burton, P.J.; Cahall, R.; Campbell, J.L.; Castro, J.; Choi, C.-Y.; Cobb, T.; Donato, D.C.; et al. Impacts of salvage logging on biodiversity: A meta-analysis. J. Appl. Ecol. 2018, 55, 279–289. [Google Scholar] [CrossRef]
- Fraver, S.; Jain, T.; Bradford, J.B.; D’amato, A.W.; Kastendick, D.; Palik, B.; Shinneman, D.; Stanovick, J. The efficacy of salvage logging in reducing subsequent fire severity in conifer-dominated forests of Minnesota, USA. Ecol. Appl. 2011, 21, 1895–1901. [Google Scholar] [CrossRef]
- Passovoy, M.D.; Fulé, P.Z. Snag and woody debris dynamics following severe wildfires in northern Arizona ponderosa pine forests. For. Ecol. Manag. 2006, 223, 237–246. [Google Scholar] [CrossRef]
- Martin, K.; Aitken, K.E.H.; Wiebe, K.L. Nest sites and nest webs for cavity-nesting communities in interior British Columbia, Canada: Nest characteristics and niche partitioning. Condor 2004, 106, 5–19. [Google Scholar] [CrossRef]
- Riffell, S.; Verschuyl, J.; Miller, D.; Wigley, T.B. Biofuel harvests, coarse woody debris, and biodiversity–A meta-analysis. For. Ecol. Manag. 2011, 261, 878–887. [Google Scholar] [CrossRef]
- Franklin, J.F.; Donato, D.; Fontaine, J.B.; Campbell, J.; Robinson, W.; Kauffman, J.; Law, B.E. Post-wildfire logging hinders regeneration and increases fire risk. Science 2006, 311, 352. [Google Scholar]
- Lindenmayer, D.B.; Noss, R.F. Salvage Logging, Ecosystem Processes, and Biodiversity Conservation: Overview of Salvage Logging. Conserv. Biol. 2006, 20, 949–958. [Google Scholar] [CrossRef] [PubMed]
- Macdonald, S.E. Effects of partial post-fire salvage harvesting on vegetation communities in the boreal mixedwood forest region of northeastern Alberta, Canada. For. Ecol. Manag. 2007, 239, 21–31. [Google Scholar] [CrossRef]
- Brown, P.M.; Sieg, C.H. Historical variability in fire at the ponderosa pine-Northern Great Plains prairie ecotone, southeastern Black Hills, South Dakota. Écoscience 1999, 6, 539–547. [Google Scholar] [CrossRef]
- Donovan, V.M.; Wonkka, C.L.; Twidwell, D. Surging wildfire activity in a grassland biome. Geophys. Res. Lett. 2017, 44. [Google Scholar] [CrossRef]
- Myster, R.W. Ecotones between Forest and Grassland; Springer: New York, NY, USA, 2012. [Google Scholar]
- Malamud, B.D.; Millington, J.D.; Perry, G.L. Characterizing wildfire regimes in the United States. Proc. Natl. Acad. Sci. USA 2005, 102, 4694–4699. [Google Scholar] [CrossRef]
- RRoberts, C.P.; Donovan, V.M.; Wonkka, C.L.; Powell, L.A.; Allen, C.R.; Angeler, D.G.; Wedin, D.; Twidwell, D. Fire legacies in eastern ponderosa pine forests. Ecol. Evol. 2019, 9, 1869–1879. [Google Scholar] [CrossRef] [PubMed]
- Johnsgard, P.A. The Nature of Nebraska: Ecology and Biodiversity; University of Nebraska Press: Lincoln, NE, USA, 2005. [Google Scholar]
- Schneider, R.; Stoner, K.; Steinauer, G.; Panella, M.; Humpert, M. The Nebraska Natural Legacy Project: State Wildlife Action Plan, 2nd ed.; Nebraska Game and Parks Commission: Lincoln, NE, USA, 2011. [Google Scholar]
- Brown, J.K.; Reinhardt, E.D.; Kramer, K.A. Coarse Woody Debris: Managing Benefits and Fire Hazard in the Recovering Forest; General Technical Report RMRS-GTR-105; US Department of Agriculture, Forest Service, Rocky Mountain Research Station: Ogden, UT, USA, 2003; Volume 16, p. 105.
- Saab, V.A.; Russell, R.E.; Dudley, J.G. Nest densities of cavity-nesting birds in relation to postfire salvage logging and time since wildfire. Condor 2007, 109, 97–108. [Google Scholar] [CrossRef]
- Gutzat, F.; Dormann, C.F. Decaying trees improve nesting opportunities for cavity-nesting birds in temperate and boreal forests: A meta-analysis and implications for retention forestry. Ecol. Evol. 2018, 8, 8616–8626. [Google Scholar] [CrossRef] [PubMed]
- USDA Forest Service, U.S. Geological Survey, MTBS Project. MTBS Data Access: National Geospatial Data; USDA Forest Service, U.S. Geological Survey: Reston, VA, USA, 2017.
- Renewable Resource Solutions, LLC. Western Nebraska Timber Supply Study Report; Renewable Resource Solutions, LLC: Crystal Falls, MI, USA, 2018. [Google Scholar]
- Spellman, F. Forest-Based Biomass Energy: Concepts and Applications; CRC Press: Boca Raton, FL, USA, 2011. [Google Scholar]
- Harmon, M.E.; Sexton, J. Guidelines for Measurements of Woody Debris in Forest Ecosystems; LTER Network Office, University of Washington: Seattle, WA, USA, 1996; 73p. [Google Scholar]
- Thomas, J.W. Wildlife Habitats in Managed Forests: The Blue Mountains of Oregon and Washington; No. General Technical Report PNW-118; USDA Forest Service, Pacific Northwest Forest and Range Experiment Station: Portland, OR, USA, 1979.
- Range Inventory Standardization Committee. Guidelines and Terminology for Range Inventories and Monitoring; Society for Range Management: Albuquerque, NM, USA, 1983; 13p. [Google Scholar]
- Remm, J.; Lõhmus, A.; Remm, K. Tree cavities in riverine forests: What determines their occurrence and use by hole-nesting passerines? For. Ecol. Manag. 2006, 221, 267–277. [Google Scholar] [CrossRef]
- Huff, M.; Bettinger, K.; Ferguson, H.; Brown, M.; Altman, B. A habitat-based point-count protocol for terrestrial birds, emphasizing Washington and Oregon. In USDA Forest Service-Pacific Northwest Research Station General Technical Report; General Technical Report PNW-GTR-501; USDA Forest Service: Portland, OR, USA, 2000. [Google Scholar]
- Flanders, A.A.; Kuvlesky Jr, W.P.; Ruthven III, D.C.; Zaiglin, R.E.; Bingham, R.L.; Fulbright, T.E.; Hernández, F.; Brennan, L.A. Effects of invasive exotic grasses on south Texas rangeland breeding birds. The Auk 2006, 123, 171–182. [Google Scholar] [CrossRef]
- Buckland, S.T.; Anderson, D.R.; Burnham, K.P.; Laake, J.L.; Borchers, D.L.; Thomas, L. Introduction to Distance Sampling Estimating Abundance of Biological Populations; Oxford University Press: Oxford, UK, 2001. [Google Scholar]
- Silverman, B.W. Density estimation for statistics and data analysis; Chapman & Hall: London, UK, 1986. [Google Scholar]
- Oksanen, J.; Blanchet, F.G.; Friendly, M.; Kindt, R.; Legendr, P.; McGlinn, D.; Minchin, P.R.; O’Hara, R.B.; Simpson, G.L.; Solymos, P.; et al. Vegan: Community Ecology Package. 2017. R package version 2.4-2. Available online: https://CRAN.R-project.org/package=vegan (accessed on 18 February 2019).
- Legendre, P.; Gallagher, E.D. Ecologically meaningful transformations for ordination of species data. Oecologia 2001, 129, 271–280. [Google Scholar] [CrossRef]
- Thompson, J.R.; Spies, T.A.; Ganio, L.M. Reburn severity in managed and unmanaged vegetation in a large wildfire. Proc. Natl. Acad. Sci. USA 2007, 104, 10743–10748. [Google Scholar] [CrossRef]
- Keane, R.E. Surface and Ground Fuels. In Wildland Fuel Fundamentals and Applications; Keane, R.E., Ed.; Springer International Publishing: Cham, Switzerland, 2015; pp. 39–56. [Google Scholar]
- Payne, S.J.; Andrews, P.L.; Lavean, R.D. Introduction to Wildland Fire, 2nd ed.; John Wiley & Sons: New York, NY, USA, 1996. [Google Scholar]
- Coppoletta, M.; Merriam, K.E.; Collins, B.M. Post-fire vegetation and fuel development influences fire severity patterns in reburns. Ecol. Appl. 2016, 26, 686–699. [Google Scholar] [CrossRef]
- Sessions, J.; Bettinger, P.; Buckman, R.; Newton, M.; Hamann, J. Hastening the Return of Complex Forests Following Fire: The Consequences of Delay. J. For. 2004, 102, 38–45. [Google Scholar] [CrossRef]
- Ouzts, J.; Kolb, T.; Huffman, D.; Sánchez Meador, A. Post-fire ponderosa pine regeneration with and without planting in Arizona and New Mexico. For. Ecol. Manag. 2015, 354, 281–290. [Google Scholar] [CrossRef]
- Owen, S.M.; Sieg, C.H.; Sánchez Meador, A.J.; Fulé, P.Z.; Iniguez, J.M.; Baggett, L.S.; Fornwalt, P.J.; Battaglia, M.A. Spatial patterns of ponderosa pine regeneration in high-severity burn patches. For. Ecol. Manag. 2017, 405, 134–149. [Google Scholar] [CrossRef]
- Shatford, J.P.A.; Hibbs, D.E.; Puettmann, K.J. Conifer Regeneration after Forest Fire in the Klamath-Siskiyous: How Much, How Soon? J. For. 2007, 105, 139–146. [Google Scholar] [CrossRef]
- Haire, S.L.; McGarigal, K. Effects of landscape patterns of fire severity on regenerating ponderosa pine forests (Pinus ponderosa) in New Mexico and Arizona, USA. Landsc. Ecol. 2010, 25, 1055–1069. [Google Scholar] [CrossRef]
- Chambers, M.E.; Fornwalt, P.J.; Malone, S.L.; Battaglia, M.A. Patterns of conifer regeneration following high severity wildfire in ponderosa pine—Dominated forests of the Colorado Front Range. For. Ecol. Manag. 2016, 378, 57–67. [Google Scholar] [CrossRef]
- Keigley, R.; Undlin, K. Effect of Browsing Following Wildfire in the Missouri Breaks. Nat. Resour. Environ. Issues 2011, 16, 7. [Google Scholar]
- Meyer, G.A.; Witmer, M.C. Influence of Seed Processing by Frugivorous Birds on Germination Success of Three North American Shrubs. Am. Midl. Nat. 1998, 140, 129–139. [Google Scholar] [CrossRef]
- Newton, M.; Cole, E.C. Twenty-six-year response of ponderosa pine and Douglas-fir plantations to woody competitor density in treated stands of madrone and whiteleaf manzanita. For. Ecol. Manag. 2008, 256, 410–420. [Google Scholar] [CrossRef]
- Thompson, J.R.; Spies, T.A. Factors associated with crown damage following recurring mixed-severity wildfires and post-fire management in southwestern Oregon. Landsc. Ecol. 2010, 25, 775–789. [Google Scholar] [CrossRef]
- Hyde, J.C.; Smith, A.M.; Ottmar, R.D.; Alvarado, E.C.; Morgan, P. The combustion of sound and rotten coarse woody debris: A review. Int. J. Wildland Fire 2011, 20, 163–174. [Google Scholar] [CrossRef]
- Albini, F.A.; Reinhardt, E.D. Modeling ignition and burning rate of large woody natural fuels. Int. J. Wildland Fire 1995, 5, 81–91. [Google Scholar] [CrossRef]
- Urbanski, S. Combustion efficiency and emission factors for wildfire-season fires in mixed conifer forests of the northern Rocky Mountains, US. Atmos. Chem. Phys. 2013, 13, 7241–7262. [Google Scholar] [CrossRef]
- Rothermel, R.C. Predicting Behavior and Size of Crown Fires in the Northern Rocky Mountains; Research Paper INT-438; U.S. Department of Agriculture, Forest Service, Intermountain Research Station: Ogden, UT, USA, 1991; Volume 46, p. 438. [CrossRef]
- Means, J.E.; Cromack Jr, K.; MacMillan, P.C. Comparison of decomposition models using wood density of Douglas-fir logs. Can. J. For. Res. 1985, 15, 1092–1098. [Google Scholar] [CrossRef]
- Rein, G. Smouldering combustion phenomena in science and technology. Int. Rev. Chem. Eng. 2009, 1, 3–18. [Google Scholar]
- Kerby, J.D.; Fuhlendorf, S.D.; Engle, D.M. Landscape heterogeneity and fire behavior: Scale-dependent feedback between fire and grazing processes. Landsc. Ecol. 2007, 22, 507–516. [Google Scholar] [CrossRef]
- Rothermel, R.C. A Mathematical Model for Predicting Fire Spread in Wildland Fuels; No. Research Paper INT-115; USDA Forest Service: Ogden, UT, USA, 1972.
- Schroeder, D.; Russo, G.; Beck, J.A.; Hawkes, B.C.; Dalrymple, G.N. Modelling Ignition Probability of Thinned Lodgepole Pine Stands; Forest Engineering Research Institute of Canada (FERIC): Pointe-Claire, QC, Canada; Vancouver, BC, Canada, 2006; Volume 1–8. [Google Scholar]
- Dudley, J.G.; Saab, V.A.; Hollenbeck, J.P. Foraging-habitat selection of Black-backed Woodpeckers in forest burns of southwestern Idaho. Condor 2012, 114, 348–357. [Google Scholar]
- Fontaine, J.B.; Kennedy, P.L. Meta-analysis of avian and small-mammal response to fire severity and fire surrogate treatments in U.S. fire-prone forests. Ecol. Appl. 2012, 22, 1547–1561. [Google Scholar] [CrossRef] [PubMed]
- Kotliar, N.B.; Kennedy, P.L.; Ferree, K. Avifaunal responses to fire in southwestern montane forests along a burn severity gradient. Ecol. Appl. 2007, 17, 491–507. [Google Scholar] [CrossRef] [PubMed]
- Johnstone, J.F.; Allen, C.D.; Franklin, J.F.; Frelich, L.E.; Harvey, B.J.; Higuera, P.E.; Mack, M.C.; Meentemeyer, R.K.; Metz, M.R.; Perry, G.L.; et al. Changing disturbance regimes, ecological memory, and forest resilience. Front. Ecol. Environ. 2016, 14, 369–378. [Google Scholar] [CrossRef]
- Hutto, R.L. The Ecological Importance of Severe Wildfires: Some Like It Hot. Ecol. Appl. 2008, 18, 1827–1834. [Google Scholar] [CrossRef]
- Hutto, R.L.; Bond, M.L.; DellaSala, D.A. Using bird ecology to learn about the benefits of severe fire. In The Ecological Importance of Mixed-Severity Fires: Natures Phoenix; DellaSala, D.A., Hanson, C.T., Eds.; Elsevier: Amsterdam, The Netherlands, 2015; pp. 55–88. [Google Scholar] [CrossRef]
- Bolton, N.W.; D’Amato, A.W. Regeneration responses to gap size and coarse woody debris within natural disturbance-based silvicultural systems in northeastern Minnesota, USA. For. Ecol. Manag. 2011, 262, 1215–1222. [Google Scholar] [CrossRef]
- May, C.L.; Gresswell, R.E. Processes and rates of sediment and wood accumulation in headwater streams of the Oregon Coast Range, USA. Earth Surf. Process. Landf. 2003, 28, 409424. [Google Scholar] [CrossRef]
- Keele, E.C.; Donovan, V.M.; Roberts, C.P.; Nodskov, S.M.; Wonkka, C.L.; Allen, C.R.; Powell, L.A.; Wedin, D.A.; Angeler, D.G.; Twidwell, D. Relationships between Wildfire Burn Severity, Cavity-Nesting Bird Assemblages, and Habitat in an Eastern Ponderosa Pine Forest. Am. Midl. Nat. 2019, 181, 1–18. [Google Scholar] [CrossRef]
- Lohr, S.M.; Gauthreaux, S.A.; Kilgo, J.C. Importance of Coarse Woody Debris to Avian Communities in Loblolly Pine Forests. Conserv. Biol. 2002, 16, 767–777. [Google Scholar] [CrossRef]
- Mac Nally, R.; Parkinson, A.; Horrocks, G.; Conole, L.; Tzaros, C. Relationships between terrestrial vertebrate diversity, abundance and availability of coarse woody debris on south-eastern Australian floodplains. Biol. Conserv. 2001, 99, 191–205. [Google Scholar] [CrossRef]
- Sedgwick, J.A.; Knopf, F.L. Habitat relationships and nest site characteristics of cavity-nesting birds in cottonwood floodplains. J. Wildl. Manag. 1990, 54, 112–124. [Google Scholar] [CrossRef]
- Kotliar, N.B.; Hejl, S.J.; Hutto, R.L.; Saab, V.; Melcher, C.; McFadzen, M.E. Effects of fire and post-fire salvage logging on avian communities in conifer-dominated forests of the western United States. Stud. Avian Biol. 2002, 25, 49–64. [Google Scholar]
© 2019 by the authors. Licensee MDPI, Basel, Switzerland. This article is an open access article distributed under the terms and conditions of the Creative Commons Attribution (CC BY) license (http://creativecommons.org/licenses/by/4.0/).




