Which Selective Logging Intensity is Most Suitable for the Maintenance of Soil Properties and the Promotion of Natural Regeneration in Highly Continental Scots Pine Forests?–Results 19 Years after Harvest Operations in Mongolia
Abstract
:1. Introduction
2. Materials and Methods
2.1. Study Site
2.2. Treatments, Plot Design, and Data Assessment
2.2.1. Measurement of Trees before Selective Logging in Research Plots
2.2.2. Soil Sampling in Research Plots and Initial Analyses
2.2.3. Assessment of Natural Regeneration
2.3. Non-spatial Analysis of the Harvest Events in 1998
2.4. Basic Statistical Analyses
2.4.1. ANOVA
2.4.2. Correlation between Selective Logging Intensity and Soil Property Variables
2.5. Quantification of the Impact of Selective Logging Intensity on Soil Properties and Regeneration with Linear Mixed Models (LMM)
3. Results
3.1. Non-Spatial Harvest Event Analysis of the Harvest Operation in 1998
3.2. Impact of Logging Intensities on Physical Soil Properties in 2017
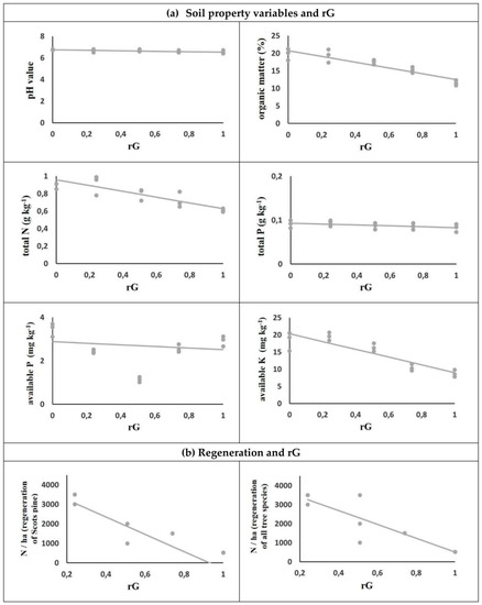
3.3. Impact of Selective Logging Intensities on Chemical Soil Properties in 2017
3.4. Regeneration Density and Species Composition
3.5. Differences in Soil Properties and Regeneration Explained by Different Selective Logging Intensities via Linear Mixed Effect Models
4. Discussion
4.1. Soil Compaction, Reduced Soil Moisture and Nutrient Depletion Caused by Selective Logging
4.1.1. Soil Compaction and Decrease of Organic Matter Caused by Logging
4.1.2. Changes Related to Soil Temperature and Moisture Content
4.1.3. Impact of Logging on Nutrients and Their Availability for Trees
4.1.4. Important Consideration for Forest Management in the Region with Regard to Soil
4.2. Low-Intensity Selective Logging Regimes Can Promote Natural Scots Pine Regeneration
4.3. Implications for Managing Selective Logging and Other Disturbance Impact in Continental Scots Pine Forests
5. Conclusions
Author Contributions
Funding
Acknowledgments
Conflicts of Interest
References
- Gebauer, R.; Neruda, J.; Ulrich, R.; Martinkova, M. Soil Compaction–Impact of Harvesters’ and Forwarders’ Passages on Plant Growth. In Sustainable Forest Management–Current Research; Diez, J., Ed.; InTech Europe: Rijeka, Croatia, 2012; pp. 179–196. [Google Scholar]
- Bulmer, C.E.; Simpson, D.G. Soil compaction and water content as factors affecting the growth of lodgepole pine seedlings on sandy clay loam soil. Can. J. Soil. Sci. 2005, 85, 667–679. [Google Scholar]
- Gomez, A.; Powers, R.F.; Singerz, M.J.; Horwath, W.R. Soil compaction effects on growth of young ponderosa pine following litter removal in California’s Sierra Nevada. Soil Sci. Soc. Am. J. 2002, 66, 1334–1343. [Google Scholar] [CrossRef]
- Sanchez, F.G.; Scott, D.A.; Ludovici, K.H. Negligible effects of severe organic matter removal and soil compaction on loblolly pine growth over 10 years. For. Ecol. Manag. 2006, 27, 145–154. [Google Scholar] [CrossRef]
- Tan, X.; Curran, M.; Chang, S.; Maynard, D. Early growth responses of lodgepole pine and douglas-fir to soil compaction, organic matter removal, and rehabilitation treatments in southeastern British Columbia. For. Sci. 2009, 55, 210–220. [Google Scholar]
- Missanjo, E.; Kamanga-Thole, G. Impact of Site Disturbances from Harvesting and Logging on Soil Physical Properties and Pinus kesiya Tree Growth. Int. Sch. Res. Not. 2014, 2014, 1–7. [Google Scholar] [CrossRef] [PubMed]
- Hosseini, S.A.; Akbarimehr, M.; Emadian, S.F.; Agh, A. Considering the soil compaction status on logging areas in a Hyrcanian forest. J. For. Sci. 2016, 61, 210–215. [Google Scholar]
- Zhou, X.; Zhou, Y.; Zhou, C.; Wu, Z.; Zheng, L.; Hu, X.; Chen, H.; Gan, J. Effects of Cutting Intensity on Soil Physical and Chemical Properties in a Mixed Natural Forest in Southeastern China. Forests 2015, 6, 4495–4509. [Google Scholar] [CrossRef]
- Blanco, J.A.; Imbert, J.B.; Castillo, F.J. Influence of site characteristics and thinning intensity on litterfall production in two Pinus sylvestris L. forests in the Western Pyrenees. For. Ecol. Manag. 2006, 237, 342–352. [Google Scholar] [CrossRef]
- Lafleur, B.; Fenton, N.J.; Pare, D.; Simard, M.; Bergeron, Y. Contrasting Effects of Season and Method of Harvest on Soil properties and the growth of Black Spruce regeneration in the Boreal Forested Peatlands of Eastern Canada. Silva Fenn. 2010, 44, 799–813. [Google Scholar] [CrossRef]
- Ares, A.; Terry, T.A.; Miller, R.E.; Anderson, H.W.; Flaming, B.L. Ground–based forest harvesting effect on soil physical properties and Douglas-fir growth. Soil Sci. Soc. Am. J. 2005, 69, 1822–1832. [Google Scholar] [CrossRef]
- IPCC. Summary for Policymakers. In Climate Change 2013: The Physical Science Basis. Contribution of Working Group I to the Fifth Assessment Report of the Intergovernmental Panel on Climate Change; Stocker, T.F., Qin, D., Plattner, G.-K., Tignor, M., Allen, S.K., Boschung, J., Nauels, A., Xia, Y., Bex, V., Midgley, P.M., Eds.; Cambridge University Press: Cambridge, United Kingdom and New York, NY, USA, 2017; Available online: http://www.ipcc.ch/pdf/assessmentreport/ar5/wg1/WG1AR5_SPM_FINAL (accessed on 22 June 2017).
- Batima, P.; Natsagdorj, L.; Gombluudev, P.; Erdenetsetseg, B. Observed climate change in Mongolia. AIACC Working Paper 13. 2005, p. 26. Available online: http://www.start.org/Projects/AIACC_Project/working_papers/Working%20Papers/AIACC_WP_No013.
- Dulamsuren, C.; Hauk, M. Spatial and seasonal variation of climate on steppe slopes of the northern Mongolian mountain taiga. Grassl Sci 2008, 54, 217–230. [Google Scholar] [CrossRef]
- Bohannon, J. The big thaw reaches Mongolia’s pristine north. Science 2018, 319, 567–568. [Google Scholar] [CrossRef] [PubMed]
- Dulamsuren, C.; Hauck, M.; Khishigjargal, M.; Leuschner, H.H.; Leuschner, C. Diverging climate trends in Mongolian taiga forests influence growth and regeneration of Larix sibirica. Oecologia 2010, 163, 1091–1102. [Google Scholar] [CrossRef]
- Tsogtbaatar, J. Deforestation and Reforestation of Degraded Forestland in Mongolia. In The Mongolian Ecosystem Network-Ecological Research Monographs; Yamamura, N., Fujita, N., Maekawa, A., Eds.; Springer: Tokyo, Japan, 2012; pp. 83–99. [Google Scholar]
- Government of Mongolia. Mongolia’s Forest Reference Level submission to the United Nations Framework Convention on Climate Change; UN-REDD Mongolia National Programme; Ministry of Environment and Tourism: Ulaanbaatar, Mongolia, 2018.
- Mühlenberg, M.; Appelfelder, J.; Hoffmann, H.; Ayush, E.; Wilson, K.J. Structure of the montane taiga forests of West Khentii, Northern Mongolia. J. For. Sci. 2012, 58, 45–56. [Google Scholar] [CrossRef]
- Corsi, A.; Dore, G.; Nagpal, T.; Whitten, T.; Iyer, R.; Mearns, R.; Lyngdoh, Y.R.; Rivera, S. Mongolia environment monitor: Mongolia Environment Monitor (Mongolian) 2002; Report Number: 25836; World Bank: Washington, DC, USA, 2002; p. 55. Available online: http://documents.worldbank.org/curated/en/600981468323101125/Mongolia-Environment-Monitor-2002(Mongolian version).
- Ykhanbai, H. Mongolian Forestry Outlook Study; Asia-Pacific Forestry Sector Outlook Study II; Working Paper Series; FAO: Bangkok, Thailand, 2010; p. 49. Available online: http://www.fao.org/3/a-am616e.pdf.
- FAO. State of the world’s forest 2011; Food and Agriculture Organization: Rome, Italy, 2011; p. 164. [Google Scholar]
- Teusan, S. Analyse der Waldentwicklung in der nördlichen Mongolei seit dem politischen Umbruch im Jahr 1991 unter besonderer Berücksichtigung feuerökologischer. Aspekte. Dissertation (Ph.D. Thesis), Freie Universität, Berlin, Germany, 2018; p. 171. (In German). [Google Scholar]
- Minderlein, S.; Menzel, L. Evapotranspiration and energy balance dynamics of a semi-arid mountainous steppe and shrubland site in northern Mongolia. Environ. Earth Sci 2015, 73, 593–609. [Google Scholar] [CrossRef]
- Karthe, D.; Heldt, S.; Houdret, A.; Borchardt, D. IWRM in a country under rapid transition: lessons learnt from the Kharaa river basin, Mongolia. Environ. Earth Sci. 2015, 73, 681–695. [Google Scholar] [CrossRef]
- Kasimov, N.; Karthe, D.; Chalov, S. Environmental change in the Selenga River–Lake Baikal Basin. Reg. Einviron. Chang. 2017, 17, 1945–1949. [Google Scholar] [CrossRef]
- Dulamsuren, C.; Hauck, M.; Mühlenberg, M. Ground vegetation in the Mongolian taiga forest-steppe ecotone does not offer evidence for the human origin of grasslands. Appl. Veg. Sci. 2005, 8, 149–154. [Google Scholar] [CrossRef]
- Tikhonova, I.V.; Mukhortova, L.V.; Danilova, I.V.; Mikhailova, I.A. Ocenka lesorastitelnogo potenciala pochv respubliki Tyva dlya osnovnyh lesoobrazujushih vidov hvojnyh. (Assessment of Soil Suitability for Growth of Coniferous Forests Species in Tuva Republic). Lesovedenie 2018, 3, 194–209. (In Russian) [Google Scholar]
- MET: Ministry of Environment and Tourism of Mongolia Mongolian. Multipurpose National Forest Inventory 2014–2016, 1st ed.; MET: Ulaanbaatar, Mongolia, 2016; p. 126.
- Gradel, A. Reaktion von Waldbeständen am Rande der südlichen Taiga auf Klimafaktoren, natürliche und waldbauliche Störungen/Response of forest stands at the edge of the southern taiga to climate factors, natural and silvicultural disturbances. Ph.D. Thesis, Georg-August-Universität, Göttingen, Germany, 2017; p. 191. [Google Scholar]
- Eroğlu, H.; Sariyildiz, T.; Kucuk, M.; Sancal, E. The effects of Different Logging Techniques on the Physical and Chemical Characteristics of Forest Soil. Baltic For. 2016, 22, 139–147. [Google Scholar]
- Behjou, F.K.; Mollabashi, O.G. Impact of logging intensity on stem density, basal area and biodiversity indices five years after logging in a Caspian hardwood forest. J. For. Sci. 2017, 63, 167–172. [Google Scholar]
- JICA. The forest resources management study in Selenge province; Final report; JICA, 1998; p. 116. [Google Scholar]
- Peel, M.C.; Finlayson, B.L.; McMahon, T.A. Updated world map of the Köppen-Geiger climate classification, Hydrol. Earth Syst. Sci. 2007, 11, 1633–1644. [Google Scholar] [CrossRef]
- Regzedmaa, M. Climate Resources and Changes of Meteorological Data of Selenge Province; Sukhbaatar, Mongolia, 2008; pp. 11–25. (In Mongolian) [Google Scholar]
- Brumelis, G.; Strazds, M.; Eglava, Ž. Stand Structure and Spatial Pattern of Regeneration of Pinus sylvestris in a Natural Treed Mire in Latvia. Silva Fennica 2009, 43, 767–781. Available online: http://www.metla.fi/silvafennica/full/sf43/sf435767.pdf. [CrossRef]
- Cheng, X.; Yu, M.; Wang, G.G. Effects of Thinning on Soil Organic Carbon Fractions and Soil Properties in Cunninghamia lanceolata Stands in Eastern China. Forests 2017, 8, 198. [Google Scholar] [CrossRef]
- Edaphic Scientific 2018. Available online: https://www.edaphic.com.au/soil-water-compendium/soil-moisture-sensor-calibration/ (accessed on 04 September 2018).
- Walkley, A.; Black, I.A. An examination of the Degtjareff method for determining organic carbon in soils: Effect of variations in digestion conditions and of inorganic soil constituents. Soil Sci. 1934, 63, 251–263. [Google Scholar] [CrossRef]
- Kjeldahl, J. New Method for the Determination of Nitrogen. Chem. News 1883, 48, 101–102. [Google Scholar] [CrossRef]
- Olsen, S.R.; Cole, C.V.; Watanabe, F.S.; Dean, L.A. Estimation of available phosphorus by extraction with sodium bicarbonate; Government Printing Office: Washington, D.C., USA, 1954; p. Circ. 939.
- Bray, R.H.; Kurtz, L.T. Determination of total, organic, and available forms of phosphorus in soils. Soil Sci. 1945, 59, 39–45. [Google Scholar] [CrossRef]
- Hosseinpur, A.R.; Samavati, M. Evaluation of chemical extractants for the determination of available potassium. Commun. Soil Sci. Plant Anal. 2008, 39, 1559–1570. [Google Scholar] [CrossRef]
- Dorjsuren, C.; Dugarjav, C.; Tsogt, Z.; Tsedendash, G.; Chuluunbaatar, T. References for the Mongolian Forest Mensuration; Bembi san: Ulaanbaatar, Mongolia, 2012; p. 263. (In Mongolian) [Google Scholar]
- Von Gadow, K.; Zhang, Y.C.; Wehenkel, C.; Pommerening, A.; Corral-Rivas, J.; Korol, M.; Myklush, S.; Hui, G.Y.; Kiviste, A.; Zhao, X.H. Forest Structure and Diversity. In Continuous Cover Forestry; Pukkala, T., von Gadow, K., Eds.; Springer Netherlands: Dordrecht, The Netherlands, 2012; pp. 29–83. [Google Scholar]
- Gradel, A.; Ammer, C.; Batsaikhan, G.; Ochirragchaa, N.; Batdorj, D.; Wagner, S. On the effect of thinning on tree growth and stand structure of white birch (Betula platyphylla Sukaczev) and Siberian larch (Larix sibirica Ledeb.) in Mongolia. Forests 2017, 8, 105. [Google Scholar] [CrossRef]
- Murray, D.M.; von Gadow, K. A flexible yield model for regional timber forecasting. South J. Appl. For. 1993, 17, 112–115. [Google Scholar]
- Vítková, L.; Ni Dhubhain, A.; Pommerening, A. Agreement in Tree Marking: What Is the Uncertainty of Human Tree Selection in Selective Forest Management? For. Sci. 2016, 62, 288–296. [Google Scholar] [CrossRef]
- Von Gadow, K.; Hui, G.Y. Characterizing forest spatial structure and diversity. In Sustainable Forestry in Temperate Regions; Björk, L., Ed.; SUFOR, University of Lund: Lund, Sweden, 2002; pp. 20–30. [Google Scholar]
- Fisher, R.A. Statistical Methods for Research Workers. Biological Monographs and Manuals V. Oliver and Boyd Ltd.: (Edinburgh), Great Britain, 1934, 5th ed. p. 319. Available online: http://www.haghish.com/resources/materials/Statistical_Methods_for_Research_Workers.pdf (accessed on 09 November 2018).
- O’Brien, R.G. A General ANOVA Method for Robust Tests of Additive Models for Variances. J. Am. Stat. Association 1979, 74, 877–880. [Google Scholar] [CrossRef]
- McDonald, J.H. Handbook of Biological Sciences; Sparky House Publishing: Baltimore, Maryland, 2014, 3rd ed. pp. 157–164. Available online: http://www.biostathandbook.com/kruskalwallis.html (accessed on 10 December 2018).
- STHDA Statistical tools for high-throughout data analysis. 2018. Available online: http://www.sthda.com/english/wiki/one-way-anova-test-in-r#assumptions-of-anova-test (accessed on 22 January 2019).
- R Development Core Team. R: A Language and Environment for Statistical Computing, R Version 3.5.1; R Foundation for Statistical Computing: Vienna, Austria, 2018. The R Project for Statistical Computing. Available online: http://www.R-project.org (accessed on August 05 2018).
- Hadley, W.; Romain, F.; Lionel, H.; Müller, K. A Grammar of Data Manipulation. R package version 0.7.8. 2018. Available online: https://CRAN.R-project.org/package=dplyrg (accessed on January 22 2019).
- Kassambara, A. ggpubr: 'ggplot2' Based Publication Ready Plots. R package version 0.2. 2018. Available online: https://CRAN.R-project.org/package=ggpubr (accessed on January 22 2019).
- Fox, J.; Weisberg, S. An R Companion to Applied Regression; Sage: Thousand Oaks, CA, USA, 2nd ed. Available online: http://socserv.socsci.mcmaster.ca/jfox/Books/Companion (accessed on 11 December 2017).
- Edwards, A.L. The Correlation Coefficient. In An introduction to Linear regression and Correlation; W. H. Freeman: San Francisco, CA, USA, 1976; pp. 33–46. [Google Scholar]
- Crawley, M.J. The R-Book; Wiley: New York, NY, USA, 2007; p. 942. [Google Scholar]
- Zuur, A.F.; Ieno, E.N.; Walker, N.J.; Saveliev, A.A.; Smith, G.M. Mixed EffectsModels and Extensions in Ecology with R; Springer: New York, NY, USA, 2009; p. 574. [Google Scholar]
- R-bloggers: Linear mixed models in R. Post by Luis. 2011. Available online: https://www.r-bloggers.com/linear-mixed-models-in-r/ (accessed on 24 September 2017).
- Robinson, A.P.; Hamann, J.D. Forest Analytics with R—An Introduction; Springer: New York, NY, USA, 2011; p. 354. [Google Scholar]
- Grothendieck, G. nls2: Non-Linear Regression with Brute Force. R Package Version 0.2. Available online: http://CRAN.R-project.org/package=nls2 (accessed on 19 January 2017).
- Pinheiro, J.; Bates, D.; DebRoy, S.; Sarkar, D.; R Development Core Team. nlme: Linear and Nonlinear Mixed Effects Models. R Package Version 3.1-113. Available online: http://packages.renjin.org/package/org.renjin. cran/nlme/3.1-113 (accessed on 21 January 2017).
- Sarkar, D. Lattice: Multivariate Data Visualization with R; Springer: New York, NY, USA, 2008; p. 268. [Google Scholar]
- Hajabbasi, M.A.; Jalalian, A.; Karimzadeh, H.R. Deforestation effects on soil physical and chemical properties, Lordegan, Iran. Plant and Soil 1997, 190, 301–308. [Google Scholar] [CrossRef]
- Ampoorter, E.; Goris, R.; Cornelis, W.M.; Verheyen, K. Impact of mechanized logging on compaction status of sandy forest soils. For. Ecol. Manag. 2007, 241, 162–174. [Google Scholar] [CrossRef]
- Hashimoto, S.; Suzuki, M. The impact of clear-cutting on soil temperature: A comparison between and after clear-cut and control sites. J. For. Res. 2004, 9, 125–132. [Google Scholar] [CrossRef]
- Ma, J.; Kang, F.; Cheng, X.; Han, H. Moderate thinning increases soil organic carbon in Larix principes-rupprechtii (Pinaceae) plantations. Geoderma 2018, 329, 118–128. [Google Scholar] [CrossRef]
- Savin, E.N.; Milyutin, L.I.; Krasnoshhekov, J.N.; Korotkov, I.A.; Suncov, A.V.; Dugarzhav, C.; Cogoo, Z.; Dorzhsuren, C.; Zhamjansurjen, S.; Gombosuren, N. Forests of the Mongolian People’s Republic (Larch forests of the Eastern Khentey), Soviet-Mongolian Expedition; Nauka, Siberian Department: Novosibirsk, Russia, 1988; p. 176. (In Russian) [Google Scholar]
- Gebhardt, T.; Häberle, K.H.; Matyssek, R.; Ammer, C. The more, the better? Water relations of Norway spruce stands after progressive thinning. Agric. For. Meteorol. 2014, 197, 235–243. [Google Scholar] [CrossRef]
- Olivar, J.; Bogino, S.; Rathgeber, C.; Bonnesoeur, V.; Bravo, F. Thinning has a positive effect on growth dynamics and growth-climate relationships in Aleppo pine (Pinus halepensis L.) trees of different crown classes. Ann. For. Sci. 2014, 71, 395–404. [Google Scholar]
- Del Rio, M.; Bravo-Oviedo, A.; Pretzsch, H.; Löf, M.; Ruiz-Peinado, R. A review of thinning effects on Scots pine stands: From growth and yield to new challenges under global change. For. Syst. 2017, 26, eR03S. [Google Scholar]
- Wang, Y.; Bonell, M.; Feger, K.-H.; Yu, P.; Xiong, W.; Xu, L. Changing Forestry Policy by Integrating Water Aspects into Forest/Vegetation Restoration in Dryland Areas in China. Agric. Water Ecol. 2012, 26, 59–67. [Google Scholar]
- Hou, Q.S.; Han, X.L.; Han, S.F. A primary study on the soil drying in the forest and grassland in the Loess Plateau. Soil and Water Conserv. in China 1999, 5, 11–14. [Google Scholar]
- Gerelbaatar, S.; Batsaikhan, G.; Tsogtbaatar, J.; Battulga, P.; Baatarbileg, N.; Gradel, A. Early survival and growth of planted Scots pine (Pinus sylvestris L.) seedlings in northern Mongolia. In Book of Abstracts – GMIT Symposium on Environmental Science and Engineering; Vossen, P., Karthe, D., Gunsmaa, B., Enkhjargal, S., Eds.; Nalaikh, Mongolia, 2018; pp. 8–9. Available online: http://gmit.edu.mn/site/files/downloads/gmit_sese-2018_book-of-abstracts.pdf.
- Demina, A.V.; Belokopytova, L.V.; Andreev, S.G.; Kostyakova, T.V. Babushkina, E.A. Radial increments dynamics of Scots Pine (Pinus sylvestris L.) as an indicator of hydrothermal regime of the Western Transbaikalia forest steppe. Contemp. Probl. Ecol. 2017, 10, 476–487. [Google Scholar] [CrossRef]
- Gradel, A.; Batsaikhan, G.; Ochirragchaa, N.; Batdorj, D.; Kusbach, A. Climate-growth relationships and pointer year analysis of a Siberian larch (Larix sibirica Ledeb.) chronology in the Mongolian mountain forest steppe compared to white birch (Betula platyphylla Sukazcev). For. Ecosyst. 2017, 4, 22. [Google Scholar] [CrossRef]
- Razaq, M.; Zhang, P.; Shen, H.L. Influence of nitrogen and phosphorous on the growth and root morphology of Acer mono. PloS one 2017, 12, 0171321. [Google Scholar] [CrossRef] [PubMed]
- He, M.; Dijkstra, F.A. Drought effect on plant nitrogen and phosphorus: a meta-analysis. New Phytologist 2014, 204, 924–931. [Google Scholar] [CrossRef] [PubMed]
- Faustino, L.I.; Bulfe, N.M.; Pinazo, M.A.; Monteoliva, S.E.; Graciano, C. Dry weight partitioning and hydraulic traits in young Pinus taeda trees fertilized with nitrogen and phosphorus in a subtropical area. Tree physiology 2013, 33, 241–251. [Google Scholar] [CrossRef] [PubMed]
- Wang, M.; Zheng, Q.; Shen, Q.; Guo, S. The critical role of potassium in plant stress response. Int. J. Mol. Sci. 2013, 14, 7370–7390. [Google Scholar] [CrossRef] [PubMed]
- Wall, A. Risk analysis of effects of whole-tree harvesting on site productivity. For. Ecol. Manag. 2012, 282, 175–184. [Google Scholar] [CrossRef]
- Baena, C.W.; Andrés-Abellán, M.; Lucas-Borja, M.E.; Martínez-García, E.; García-Morote, F.A.; Rubio, E.; López-Serrano, F.R. Thinning and recovery effects on soil properties in two sites of a Mediterranean forest, in Cuenca Mountain (South-eastern of Spain). For. Ecol. Manag. 2013, 308, 223–230. [Google Scholar] [CrossRef]
- Saarsalmi, A.; Tamminen, P.; Kukkola, M.; Hautajärvi, R. Whole-tree harvesting at clear-felling: Impact on soil chemistry, needle nutrient concentrations and growth of Scots pine. Scandinavian J. For. Res. 2010, 25, 148–156. [Google Scholar] [CrossRef]
- Jang, W.; Page-Dumroese, D.S.; Keyes, C.R. Long-term soil changes from forest harvesting and residue management in the northern rocky mountains. Soil Sci. Soc. Am. J. 2016, 80, 727–741. [Google Scholar] [CrossRef]
- Kopp, B.J.; Minderlein, S.; Menzel, L. Soil moisture dynamics in a mountainous headwater area in the discontinuous permafrost zone of northern Mongolia. Arct. Alp. Res. 2014, 46, 459–470. [Google Scholar] [CrossRef]
- Juřička, D.; Novotná, J.; Houška, J.; Pařílková, J.; Hladký, J.; Pecina, V.; Cihlářová, H.; Burnog, M.; Elbl, J.; Rosická, Z.; Brtnický, M.; Kynický, J. Large-scale permafrost degradation as a primary factor in Larix sibirica forest dieback in the Khentii massif, northern Mongolia. J. For. Res. 2018, 29, 1–12. [Google Scholar] [CrossRef]
- Allen, C.D.; Macalady, A.K.; Chenchouni, H.; Bachelet, D.; Mcdowell, N.; Vennetier, M.; Kitzberger, T.; Rigling, A.; Breshears, D.D.; Hogg, E.N. A global overview of drought and heat-induced tree mortality reveals emerging climate change risks for forests. For. Ecol. Manag. 2010, 259, 660–684. [Google Scholar] [CrossRef]
- Willams, A.P.; Allen, C.D.; Macalady, A.K.; Griffin, D.; Woodhouse, C.A.; Meko, D.M.; Swetnam, T.W.; Rauscher, S.A.; Seager, R.; Grissino-Mayer, H.D.; Dean, J.S.; Cook, E.R.; Gandodagamage, C.; Cai, M.; McDowell, N.G. Temperature as a potent driver of regional forest drought stress and tree mortality. Nature Climate Change 2013, 3, 292–297. [Google Scholar] [CrossRef]
- Kondrashov, L.; Teusan, S.; Chuluunbaatar, T.; Nyamjav, B.; Enkhtur, D.; Goldammer, J. Wildland fire disaster risk assessment for Mongolia; GTZ: Ulaanbaatar, Mongolia; Global Forest Monitoring Center: Pacific Forest Forum, 2008; p. 80. [Google Scholar]
- Dulamsuren, C.; Hauck, M.; Leuschner, H.H.; Leuschner, C. Climate response of tree ring width in Larix sibirica growing in the drought-stressed forest-steppe ecotone of northern Mongolia. Ann. For. Sci. 2011, 68, 275–282. [Google Scholar] [CrossRef]
- Kopp, B.; Lange, J.; Menzel, L. Effects of wildfire on runoff generating processes in northern Mongolia. Reg Environ Chang 2016, 17, 1951–1963. [Google Scholar] [CrossRef]
- Hanson, J.J.; Stuart, J.D. Vegetation responses to natural and salvage logged fire edges in Douglas-fir/hardwood forests. For. Ecol. Manag. 2005, 214, 266–275. [Google Scholar] [CrossRef]
- Shatford, J.P.A.; Hibbs, D.E.; Puettmann, K.J. Conifer Regeneration after Forest Fire in the Klamath-Siskiyous: How Much, How Soon? J. For. 2007, 105, 139–146. [Google Scholar]
- Altenkirch, W.; Majunke, C.; Ohnesorge, B. Waldschutz auf ökologischer Grundlage; Verlag Eugen Ulmer: Stuttgart, Germany, 2002; p. 434. (In German) [Google Scholar]
- Tsogtbaatar, J. Deforestation and Reforestation need in Mongolia. For. Ecol. Manag. 2004, 201, 57–63. [Google Scholar] [CrossRef]
- Kuehne, C.; Puettmann, K.J. Natural Regeneration in Thinned Douglas-fir Stands in Western Oregon. J. Sus. For. 2008, 27, 246–274. [Google Scholar] [CrossRef]
- Liira, J.; Sepp, T.; Kohv, K. The ecology of tree regeneration in mature and old forests: combined knowledge for sustainable forest management. J. For. Res. 2011, 16, 184–193. [Google Scholar] [CrossRef]
- Brang, P.; Spathelf, P.; Larsen, J.B.; Bauhus, L.; Bonccina, A.; Chauvin, C.; Drossler, L.; Güemes, C.G.; Heiry, C.; Kerr, G.; Lexer, M.J.; Mason, B.; Mohren, F.; Muhlethaler, U.; Nocentini, S.; Svoboda, M. Suitability of close-to-nature silviculture for adopting temperate European forests to climate change. Forestry 2014, 87, 492–503. [Google Scholar] [CrossRef]







| Treatment | Stand Age in 1998 | Number of Research Plots | Number of Regeneration Plots | Number of Soil Pits | Stand Density (Trees ha−1) | Growing Stock Volume (m3 ha−1) | ||||
|---|---|---|---|---|---|---|---|---|---|---|
| Pre-Logging | Post-Logging | Removal (%) | Pre-Logging | Post-Logging | Removal (%) | |||||
| RE | 136 | 3 | 15 | 3 | 650 | - | - | 151.0 | - | - |
| LI | 116 | 3 | 15 | 3 | 775 | 550 | 29 | 201.7 | 153.0 | 24.2 |
| MI | 128 | 3 | 15 | 3 | 850 | 383 | 55 | 213.4 | 114.8 | 46.2 |
| HI | 121 | 3 | 15 | 3 | 950 | 242 | 75 | 206.2 | 51.3 | 75.1 |
| CC | 128 | 3 | 15 | 3 | 658 | 0 | 100 | 135.6 | 0 | 100 |
| Treatment | BA/ha | CV | D (cm) | Dg (cm) | D_200 (cm) | Dg_200 (cm) | ||||||
|---|---|---|---|---|---|---|---|---|---|---|---|---|
| Pre-Logging | Post-Logging | Pre-Logging | Post-Logging | Pre-Logging | Post-Logging | Pre-Logging | Post-Logging | Pre-Logging | Post-Logging | Pre-Logging | Post-Logging | |
| RE | 21.880 | 21.880 | 0.306 | 0.306 | 19.8 | 19.8 | 20.7 | 20.7 | 26.6 | 26.6 | 26.8 | 26.8 |
| LI | 28.993 | 21.972 | 0.348 | 0.318 | 20.7 | 21.5 | 21.9 | 22.6 | 29.9 | 28.4 | 30.1 | 28.7 |
| MI | 30.395 | 14.798 | 0.361 | 0.249 | 20.2 | 21.5 | 21.4 | 22.2 | 29.6 | 25.4 | 29.9 | 25.6 |
| HI | 29.874 | 7.635 | 0.371 | 0.227 | 18.7 | 19.6 | 20.0 | 20.1 | 28.3 | 19.1 | 28.4 | 19.7 |
| CC | 19.991 | - | 0.343 | - | 18.6 | - | 16.3 | - | 29.9 | - | 26.1 | - |
| Treatment | EC (dS m−1) | pH | Organic Matter (%) | Total Nitrogen (N) (g kg−1) | Total Phosphorus (P) (g kg−1) | Available Phosphorus (P) (mg kg−1) | Available Potassium (K) (mg kg−1) |
|---|---|---|---|---|---|---|---|
| RE | 0.12 | 6.75 (0.05) | 19.7 (1.0) | 0.93 (0.03) | 0.091 (0.003) | 3.45 (0.04) | 18.35 (2.4) |
| LI | 0.14 | 6.66 (0.03) | 19.3 (0.8) | 0.91 (0.09) | 0.093 (0.007) | 2.43 (0.02) | 19.56 (3.6) |
| MI | 0.11 | 6.71 (0.04) | 17.5 (1.2) | 0.80 (0.05) | 0.087 (0.005) | 1.13 (0.07) | 16.32 (2.7) |
| HI | 0.09 | 6.58 (0.05) | 15.2 (0.9) | 0.72 (0.10) | 0.086 (0.002) | 2.56 (0.06) | 10.45 (3.3) |
| CC | 0.08 | 6.52 (0.03) | 11.5 (0.7) | 0.61 (0.02) | 0.082 (0.005) | 2.92 (0.04) | 8.74 (1.9) |
| Thematic Topic | Model | Variable | Fixed Effects | Degrees of Freedom | Outlier Correction | Model Parameter (Fixed Effects) | AIC of the Model | |||
|---|---|---|---|---|---|---|---|---|---|---|
| Intercept | p-Value | rG | p-Value | |||||||
| (a) soil property variables | (a)1 | pH | rG | 13 | no | 6.738 | 0.0000 | −0.198 | 0.0304 | −8.75 |
| (a)2 | OgM | rG | 13 | no | 20.772 | 0.0000 | −8.229 | 0.0000 | 57.48 | |
| (a)3 | TN | rG | 13 | no | 0.959 | 0.0000 | −0.332 | 0.0000 | −18.87 | |
| (a)4 | TP | rG | 13 | no | 0.093 | 0.0000 | −0.010 | 0.0760 | −80.22 | |
| (a)5 | AP | rG | 11 | yes (−2) | 2.888 | 0.0000 | −0.376 | 0.4639 | 33.86 | |
| (a)6 | AK | rG | 13 | no | 20.321 | 0.0000 | −11.316 | 0.0000 | 68.84 | |
| (b) regeneration | (b)1 | Rpine | rG | 9 | yes (−1) | 4125 | 0.0000 | −4436 | 0.0000 | 147.91 |
| (b)2 | Rspecies | rG | 10 | no | 4141 | 0.0000 | −3630 | 0.0000 | 166.17 | |
© 2019 by the authors. Licensee MDPI, Basel, Switzerland. This article is an open access article distributed under the terms and conditions of the Creative Commons Attribution (CC BY) license (http://creativecommons.org/licenses/by/4.0/).
Share and Cite
Sukhbaatar, G.; Nachin, B.; Purevragchaa, B.; Ganbaatar, B.; Mookhor, K.; Tseveen, B.; Gradel, A. Which Selective Logging Intensity is Most Suitable for the Maintenance of Soil Properties and the Promotion of Natural Regeneration in Highly Continental Scots Pine Forests?–Results 19 Years after Harvest Operations in Mongolia. Forests 2019, 10, 141. https://doi.org/10.3390/f10020141
Sukhbaatar G, Nachin B, Purevragchaa B, Ganbaatar B, Mookhor K, Tseveen B, Gradel A. Which Selective Logging Intensity is Most Suitable for the Maintenance of Soil Properties and the Promotion of Natural Regeneration in Highly Continental Scots Pine Forests?–Results 19 Years after Harvest Operations in Mongolia. Forests. 2019; 10(2):141. https://doi.org/10.3390/f10020141
Chicago/Turabian StyleSukhbaatar, Gerelbaatar, Baatarbileg Nachin, Battulga Purevragchaa, Batsaikhan Ganbaatar, Khishigjargal Mookhor, Batchuluun Tseveen, and Alexander Gradel. 2019. "Which Selective Logging Intensity is Most Suitable for the Maintenance of Soil Properties and the Promotion of Natural Regeneration in Highly Continental Scots Pine Forests?–Results 19 Years after Harvest Operations in Mongolia" Forests 10, no. 2: 141. https://doi.org/10.3390/f10020141
APA StyleSukhbaatar, G., Nachin, B., Purevragchaa, B., Ganbaatar, B., Mookhor, K., Tseveen, B., & Gradel, A. (2019). Which Selective Logging Intensity is Most Suitable for the Maintenance of Soil Properties and the Promotion of Natural Regeneration in Highly Continental Scots Pine Forests?–Results 19 Years after Harvest Operations in Mongolia. Forests, 10(2), 141. https://doi.org/10.3390/f10020141

