Physiological and Transcriptomic Analysis of Tree Peony (Paeonia section Moutan DC.) in Response to Drought Stress
Abstract
:1. Introduction
2. Materials and Methods
2.1. Plant Materials and Treatments
2.2. Measurement of Physiological Indices and Antioxidant Enzyme Activity
2.3. Measurement of Photosynthetic Characteristics and Chlorophyll Fluorescence Parameters
2.4. Observation of Anatomy
2.5. RNA-seq and Sata Analysis
2.6. Quantitative Real-Time Polymerase Chain Reaction (qRT-PCR) Verification
2.7. Statistical Analysis
3. Results
3.1. Physiological Indices
3.2. Antioxidant Enzyme Activity
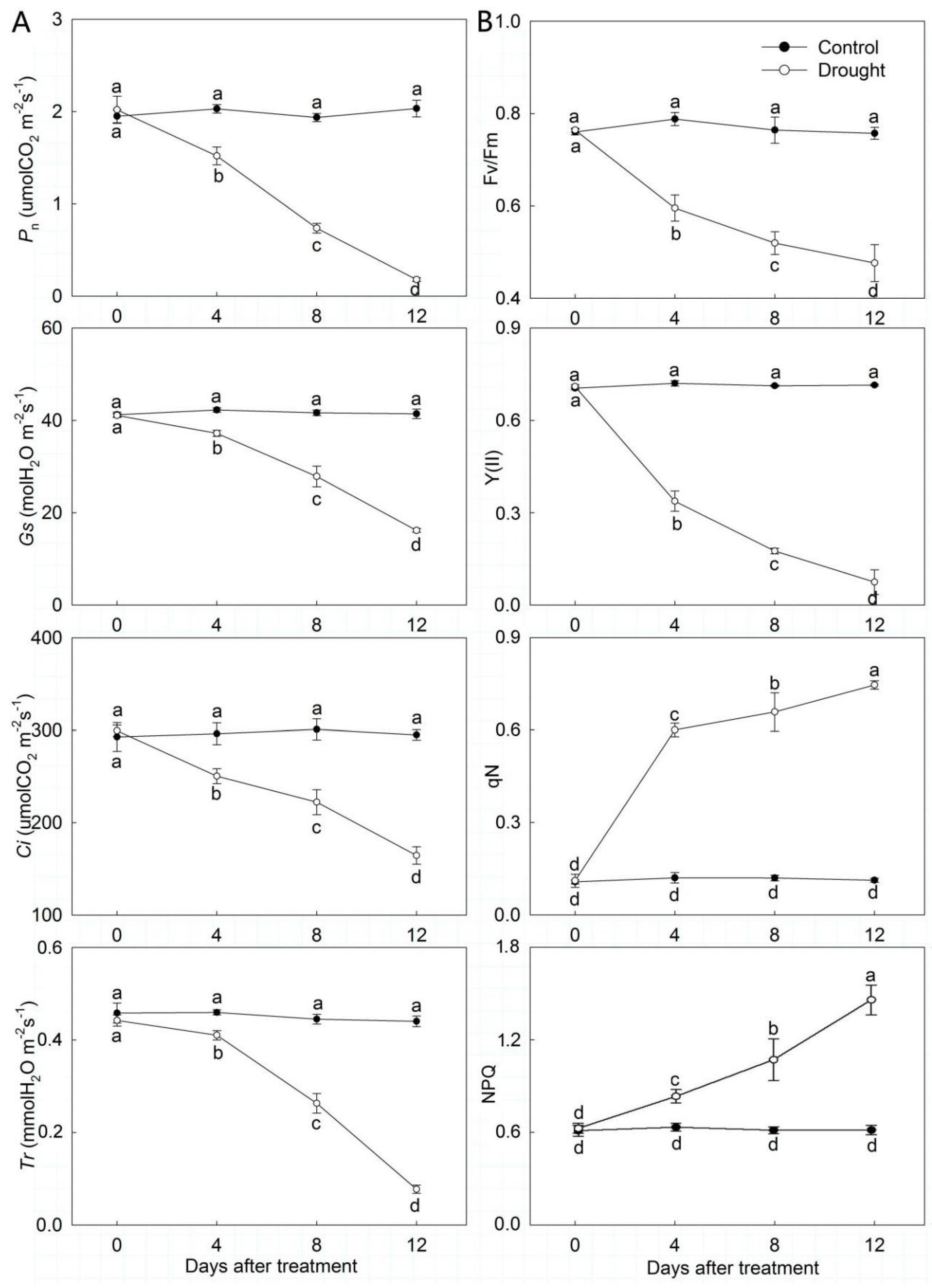
3.3. Photosynthesis
3.4. Anatomy Observation
3.5. Sequence Analysis, Transcript Assembly, and Gene Functional Annotation
3.6. Differential Gene Expression Analysis under Drought Stress
4. Discussion
5. Conclusions
Supplementary Materials
Author Contributions
Funding
Acknowledgments
Conflicts of Interest
References
- Farooq, M.; Wahid, A.; Kobayashi, N.; Fujita, D.; Basra, S.M.A. Plant drought stress: Effects, mechanisms and management. Sustain. Agric. 2009, 29, 185–212. [Google Scholar] [CrossRef]
- Koyro, H.W. Effect of salinityon growth, photosynthesis, water relations and solute composition of the potential cash crop plantago coronopus L. Environ. Exp. Bot. 2006, 56, 136–146. [Google Scholar] [CrossRef]
- Shilpi, M.; Narendra, T. Cold, salinity and drought stresses: An overview. Arch. Biochem. Biophys. 2005, 444, 139–158. [Google Scholar] [CrossRef]
- Chen, X.M.; Qiu, L.L.; Guo, H.P.; Wang, Y.; Yuan, H.W.; Yan, D.L.; Zheng, B.S. Spermidine induces physiological and biochemical changes in southern highbush blueberry under drought stress. Braz. J. Bot. 2017, 40, 841–851. [Google Scholar] [CrossRef]
- Xue, J.Q.; Wang, S.L.; Zhang, P.; Zhu, F.Y.; Ren, X.X.; Liu, C.J.; Zhang, X.X. On the role of physiological substances, abscisic acid and its biosynthetic genes in seed maturation and dormancy of tree peony (Paeonia ostii ‘Feng Dan’). Sci. Hortic. 2015, 182, 92–101. [Google Scholar] [CrossRef]
- Yang, X.L.; Zhang, K.; Xu, J.F.; Wang, Z.C. Research on pharmacological activities of Cortex Moutan. J. Henan Univ. Sci. Tech. (Med. Sci.) 2012, 30, 157–158. Available online: http://kns.cnki.net/KCMS/detail/detail.aspx?dbcode=CJFQ&dbname=CJFD2012&filename=LYYZ201202042&v=MjUwMDBGckNVUkxPZlplWm9GeWpoVzd2TUtUVFNkTEc0SDlQTXJZOUJab1I4ZVgxTHV4WVM3RGgxVDNxVHJXTTE (accessed on 7 February 2019). (In Chinese). [CrossRef]
- Hu, Y.F.; Xu, G.B. Pharmacological activities of Cortex Moutan Radicis and its main component of paeonol. Anhui Med. Pharm. J. 2014, 18, 589–592. Available online: http://kns.cnki.net/KCMS/detail/detail.aspx?dbcode=CJFQ&dbname=CJFD2014&filename=AHYY201404001&v=MjY3MjdTN0RoMVQzcVRyV00xRnJDVVJMT2ZaZVpvRnl2bFViL0lKQ1hTZDdHNEg5WE1xNDlGWllSOGVYMUx1eFk (accessed on 7 February 2019). (In Chinese). [CrossRef]
- Dong, Z.X.; Peng, D.Y.; Xuan, Z.H.; Liu, C.B. Experimental study on hypolipidemic and hypoglycemic effects of Peony seed oil. Anhui Med. Pharma. J. 2013, 17, 1286–1289. Available online: http://kns.cnki.net/KCMS/detail/detail.aspx?dbcode=CJFQ&dbname=CJFD2013&filename=AHYY201308007&v=MTg4MTdXTTFGckNVUkxPZlplWm9GeXZsVmIvSkpDWFNkN0c0SDlMTXA0OUZZNFI4ZVgxTHV4WVM3RGgxVDNxVHI (accessed on 7 February 2019). (In Chinese). [CrossRef]
- A, R.W.; Sun, X.G.; Wang, L.L.; Guo, T.J. Physiological responses of three tree peony varieties to drought and leech stress. Jiangsu Agric. Sci. 2015, 43, 252–255. Available online: http://kns.cnki.net/KCMS/detail/detail.aspx?dbcode=CJFQ&dbname=CJFDLAST2016&filename=JSNY201511077&v=MDAwNDFyQ1VSTE9mWmVab0Z5dm1VcjNNTHo3RmQ3RzRIOVROcm85Q1k0UjhlWDFMdXhZUzdEaDFUM3FUcldNMUY (accessed on 7 February 2019). (In Chinese). [CrossRef]
- Hou, X.G.; Duan, C.Y.; Liu, S.Y.; Liu, G.X.; Xue, X. Physioecological characteristics of tree Peony under different soil water conditions. Acta Agric. Boreal. Sin. 2007, 22, 80–83. (In Chinese) [Google Scholar] [CrossRef]
- Zhang, F.; Kong, X.S.; Fan, Z.Y.; Zhao, Y.T.; Hen, X.L. Gradually drought on photosynthesis and fluorescence characteristics in Peony. Chin. Agric. Sci. Bull. 2008, 24, 251–255. Available online: http://kns.cnki.net/KCMS/detail/detail.aspx?dbcode=CJFQ&dbname=CJFD2008&filename=ZNTB200812057&v=MjUzMTdiM0JQeVBmYkxHNEh0bk5yWTlBWTRSOGVYMUx1eFlTN0RoMVQzcVRyV00xRnJDVVJMT2ZaZVpvRnl2bVU (accessed on 7 February 2019). (In Chinese).
- Muller, M.; Seifert, S.; Lubbe, T.; Leuschner, C.; Finkeldey, R. De novo transcriptome assembly and analysis of differential gene expression in response to drought in European Beech. PLoS ONE 2007, 12, e0184167. [Google Scholar] [CrossRef]
- Maruyama, K.; Todaka, D.; Mizoi, J.; Yoshida, T.; Kidokoro, S.; Matsukura, S.; Takasaki, H.; Sakurai, T.; Yamamoto, Y.Y.; Yoshiwara, K.; et al. Identification of cis-acting promoter elements in cold- and dehydration-induced transcriptional pathways in Arabidopsis, rice, and soybean. DNA Res. 2012, 19, 37–49. [Google Scholar] [CrossRef]
- Haider, M.S.; Cheng, Z.; Kurjogi, M.M.; Pervaiz, T.; Ting, Z.; Zhang, C.B.; Chen, L.D.; Shangguan, L.F.; Fang, J.G. Insights into grapevine defense response against drought as revealed by biochemical, physiological and RNA-seq analysis. Sci. Rep. 2017, 7, 1–15. [Google Scholar] [CrossRef]
- Chen, W.; Yao, Q.M.; Patil, G.B.; Agarwal, G.; Deshmukh, R.K.; Lin, L.; Wang, B.A.; Wang, Y.Q.; Prince, S.J.; Song, L.; et al. Identification and comparative analysis of differential gene expression in soybean leaf tissue under drought and flooding stress revealed by RNA-seq. Front. Plant Sci. 2016, 7, 1–19. [Google Scholar] [CrossRef]
- Han, C.J.; Wang, Q.; Zhang, H.B.; Wang, S.H.; Song, H.D.; Hao, J.M.; Dong, H.Z. Light shading improves the yield and quality of seed in oil-seed Peony (Paeonia ostii Feng Dan). J. Integr. Agric. 2018, 17, 1631–1640. [Google Scholar] [CrossRef]
- Du, S.B. The Physiological and Biochemical Effects on Paeonia ostii under Waterlogging Stress and Restoration. Master’s Thesis, East China Normal University, Shanghai, China, 2016. (In Chinese). [Google Scholar]
- Tian, F.X.; Gong, J.F.; Zhang, J.; Zhang, M.; Wang, G.K.; Li, A.X.; Wang, W. Enhanced stability of thylakoid membrane proteins and antioxidant competence contribute to drought stress resistance in the Tasg1 wheat stay-green mutant. J. Exp. Bot. 2013, 64, 1509–1520. [Google Scholar] [CrossRef]
- Yang, G.P.; Rhodes, D.; Joly, R.J. Effects of high temperature on membrane stability and chlorophyll fluorescence in glycinebetaine-deficient and glycinebetaine-containing maize lines. Funct. Plant. Biol. 1996, 23, 437–443. [Google Scholar] [CrossRef]
- Akrami, M.; Arzani, A. Physiological alterations due to field salinity stress in melon (Cucumis melo L.). Acta Physiol. Plant. 2018, 40, 14. [Google Scholar] [CrossRef]
- Genty, B.; Briantais, J.M.; Baker, N.R. The relationship between the quantum yield of photosynthetic electron transport and quenching of chlorophyll fluorescence. Biochim. Biophys. Acta 1989, 990, 87–92. [Google Scholar] [CrossRef]
- Kooten, O.V.; Snel, J.F.H. The use of chlorophyll fluorescence nomenclature in plant stress physiology. Photosynth. Res. 1990, 25, 147–150. [Google Scholar] [CrossRef]
- Ding, F.; Allen, V.; Luo, W.; Zhang, S.; Duan, Y. Molecular mechanisms underlying heat or tetracycline treatments for citrus HLB control. Hortic. Res. 2018, 5, 30. [Google Scholar] [CrossRef]
- Grabherr, M.G.; Haas, B.J.; Yassour, M.; Levin, J.Z.; Thompson, D.A.; Amit, I.; Adiconis, X.; Fan, L.; Raychowdhury, R.; Zeng, Q.D.; et al. Full-length transcriptome assembly from RNA-seq data without a reference genome. Nat. Biotechnol. 2011, 29, 644–652. [Google Scholar] [CrossRef]
- Mortazavi, A.; Williams, B.A.; Mccue, K.; Schaeffer, L.; Wold, B. Mapping and quantifying mammalian transcriptomes by RNA-seq. Nat. Methods 2008, 5, 621–628. [Google Scholar] [CrossRef]
- Schmittgen, T.D.; Livak, K.J. Analyzing real-time PCR data by the comparative CT method. Nat. Protoc. 2008, 36, 1101–1108. [Google Scholar] [CrossRef]
- Zhao, D.Q.; Cheng, M.L.; Tang, W.H.; Liu, D.; Zhou, S.Y.; Meng, J.S.; Tao, J. Nano-silver modifies the vase life of cut herbaceous peony (Paeonia lactiflora Pall.) flowers. Protoplasma 2018, 25, 1001–1013. [Google Scholar] [CrossRef]
- Sharif, P.; Seyedsalehi, M.; Van-Damme, P.P.; Sillanpaa, M.; Sharifi, A.A. Effect of drought and salinity stresses on morphological and physiological characteristics of canola. Int. J. Environ. Sci. Technol. 2018, 15, 1859–1866. [Google Scholar] [CrossRef]
- Karami, L.; Ghaderi, N.; Javadi, T. Morphological and hysiological esponses of rapevine (Vitis vinifera L.) to rought tress and dust pollution. Folia Hortic. 2017, 29, 231–240. [Google Scholar] [CrossRef]
- Wang, J.Y.; Turner, N.C.; Liu, Y.X.; Siddique, K.H.M.; Xiong, Y.C. Effects of drought stress on morphological, physiological and biochemical characteristics of wheat species differing in ploidy level. Funct. Plant. Biol. 2017, 44, 219–234. [Google Scholar] [CrossRef]
- Maksup, S.; Roytrakul, S.; Supaibulwatana, K. Physiological and comparative proteomic analyses of Thai jasmine rice and two check cultivars in response to drought stress. J. Plant. Interact. 2014, 9, 43–55. [Google Scholar] [CrossRef]
- Sarker, U.; Oba, S. Drought stress effects on growth, ROS markers, compatible colutes, phenolics, flavonoids, and antioxidant activity in Amaranthus tricolor. Appl. Biochem. Biotechnol. 2018, 1, 1–18. [Google Scholar] [CrossRef]
- Cheng, L.; Han, M.; Yang, L.M.; Yang, L.; Sun, Z.; Zhang, T. Changes in the physiological characteristics and Baicalin biosynthesis metabolism of Scutellaria baicalensis Georgi under drought stress. Ind. Crop Products 2018, 122, 473–482. [Google Scholar] [CrossRef]
- Gallardo, K.; Courty, P.E.; Le-Signor, C.; Wipf, D.; Vernoud, V. Sulfate transporters in the plant’s response to drought and salinity: Regulation and possible functions. Front. Plant Sci. 2014, 5, 580–587. [Google Scholar] [CrossRef]
- Kang, Y.H.; Gong, X.C.; Zhao, H.C.; Zhang, L.P.; Zhang, W.P.; Tian, Z.M.; Qiao, H.M. Physiological and biochemical response of potato under the drought stress in different growth period. Chin. Agric. Sci. Bull. 2011, 27, 97–101. Available online: http://kns.cnki.net/KCMS/detail/detail.aspx?dbcode=CJFQ&dbname=CJFD2011&filename=ZNTB201115021&v=MjQ3MDFyQ1VSTE9mWmVab0Z5dm1WYnZKUHlQZmJMRzRIOUROcW85SFpZUjhlWDFMdXhZUzdEaDFUM3FUcldNMUY (accessed on 7 February 2019). (In Chinese).
- Lei, Z.Y.; Han, J.M.; Yi, X.P.; Zhang, W.F.; Zhang, Y.L. Coordinated variation between veins and stomata in cotton and its relationship with water-use efficiency under drought stress. Photosynthetica 2018, 56, 1326–1335. [Google Scholar] [CrossRef]
- Li, G.L.; Wu, H.X.; Sun, Y.Q.; Zhang, S.Y. Response of chlorophyll fluorescence parameters to drought stress in sugar beet seedlings. Russ. J. Plant Physiol. 2013, 60, 337–342. [Google Scholar] [CrossRef]
- Zhao, L.L.; Wang, P.C.; Chen, C.; Liu, H.L.; Ma, L. Effects of drought stress on chlorophyll fluorescence characteristics of Lotus corniculatus. Chin. J. Grassl. 2014, 36, 18–23. Available online: http://kns.cnki.net/KCMS/detail/detail.aspx?dbcode=CJFQ&dbname=CJFD2014&filename=ZGCD201401005&v=MjY1NjNVUkxPZlplWm9GeXZuVXI3UFB5cklhckc0SDlYTXJvOUZZWVI4ZVgxTHV4WVM3RGgxVDNxVHJXTTFGckM (accessed on 7 February 2019). (In Chinese). [CrossRef]
- Yang, Y.; Xu, M.; Luo, Q.F.; Wang, J.; Li, H.G. De novo transcriptome analysis of Liriodendron chinense petals and leaves by Illumina sequencing. Gene 2013, 534, 155–162. [Google Scholar] [CrossRef]
- Chaves, M.; Flexas, J.; Pinheiro, C. Photosynthesis under drought and salt stress: Regulation mechanisms from whole plant to cell. Ann. Bot. 2009, 103, 551–560. [Google Scholar] [CrossRef]
- Hörtensteiner, S.; Kräutler, B. Chlorophyll breakdown in higher plants. Biochim. Biophys. Acta 2011, 56, 977–988. [Google Scholar] [CrossRef]
- Haddadi, P.; Yazdi-Samadi, B.; Langlade, N.B.; Naghavi, M.R.; Berger, M.; Kalantari, A.; Calmon, A.; Maury, P.; Vincourt, P.; Sarrafi, A. Genetic control of protein, oil and fatty acids content under partial drought stress and late sowing conditions in sunflower (Helianthus annuus). Afr. J. Biotechnol. 2010, 9, 6768–6782. [Google Scholar] [CrossRef]
- Zhang, M.; Mi, T.Z.; Zhen, Y.; Wang, H.L. Description of fatty acid synthesis pathway based on Skeletonema marinoi Transcriptome. Period. Ocean Univ. China 2018, 48, 81–93. Available online: http://kns.cnki.net/KCMS/detail/detail.aspx?dbcode=CJFQ&dbname=CJFDLAST2018&filename=QDHY201804010&v=MDY4MDlEaDFUM3FUcldNMUZyQ1VSTE9mWmVab0Z5dm5VN3ZMTkNuRGQ3RzRIOW5NcTQ5RVpJUjhlWDFMdXhZUzc (accessed on 7 February 2019). (In Chinese). [CrossRef]
- Zhang, J.; Kenworthy, K.; Unruh, J.B.; Erickson, J.; MacDonald, G. Changes of leaf membrane fatty acid composition and saturation level of warm-season turfgrass during drought stress. Crop Sci. 2017, 57, 2843–2851. [Google Scholar] [CrossRef]
- Chen, X.Y.; Xue, W.H. Plant Physiology and Molecular Biology, 3rd ed.; Higher Education Press: Beijing, China, 2012; pp. 514–522. [Google Scholar]
- Li, L.J.; Gu, W.R.; Li, J.; Li, C.F.; Xie, T.L.; Qu, D.Y.; Meng, Y.; Li, C.F.; Wei, S. Exogenously applied spermidine alleviates photosynthetic inhibition under drought stress in maize (Zea mays L.) seedlings associated with changes in endogenous polyamines and phytohormones. Plant Physiol. Biochem. 2018, 129, 35–55. [Google Scholar] [CrossRef]









© 2019 by the authors. Licensee MDPI, Basel, Switzerland. This article is an open access article distributed under the terms and conditions of the Creative Commons Attribution (CC BY) license (http://creativecommons.org/licenses/by/4.0/).
Share and Cite
Zhao, D.; Zhang, X.; Fang, Z.; Wu, Y.; Tao, J. Physiological and Transcriptomic Analysis of Tree Peony (Paeonia section Moutan DC.) in Response to Drought Stress. Forests 2019, 10, 135. https://doi.org/10.3390/f10020135
Zhao D, Zhang X, Fang Z, Wu Y, Tao J. Physiological and Transcriptomic Analysis of Tree Peony (Paeonia section Moutan DC.) in Response to Drought Stress. Forests. 2019; 10(2):135. https://doi.org/10.3390/f10020135
Chicago/Turabian StyleZhao, Daqiu, Xiayan Zhang, Ziwen Fang, Yanqing Wu, and Jun Tao. 2019. "Physiological and Transcriptomic Analysis of Tree Peony (Paeonia section Moutan DC.) in Response to Drought Stress" Forests 10, no. 2: 135. https://doi.org/10.3390/f10020135
APA StyleZhao, D., Zhang, X., Fang, Z., Wu, Y., & Tao, J. (2019). Physiological and Transcriptomic Analysis of Tree Peony (Paeonia section Moutan DC.) in Response to Drought Stress. Forests, 10(2), 135. https://doi.org/10.3390/f10020135
