Time-Lag Effect Between Sap Flow and Environmental Factors of Larix principis-rupprechtii Mayr
Abstract
1. Introduction
2. Materials and Methods
2.1. Study Site and Plant Materials
2.2. Meteorological Factors and Soil Water Measurements
2.3. Sap Flux Density Measurement
2.4. Dislocation Movement Method
2.5. Statistical Analysis
3. Results
3.1. Seasonal Variations in Sap Flux Density and Environmental Factors
3.2. Diurnal Variations in Sap Flux Density and Meteorological Factors
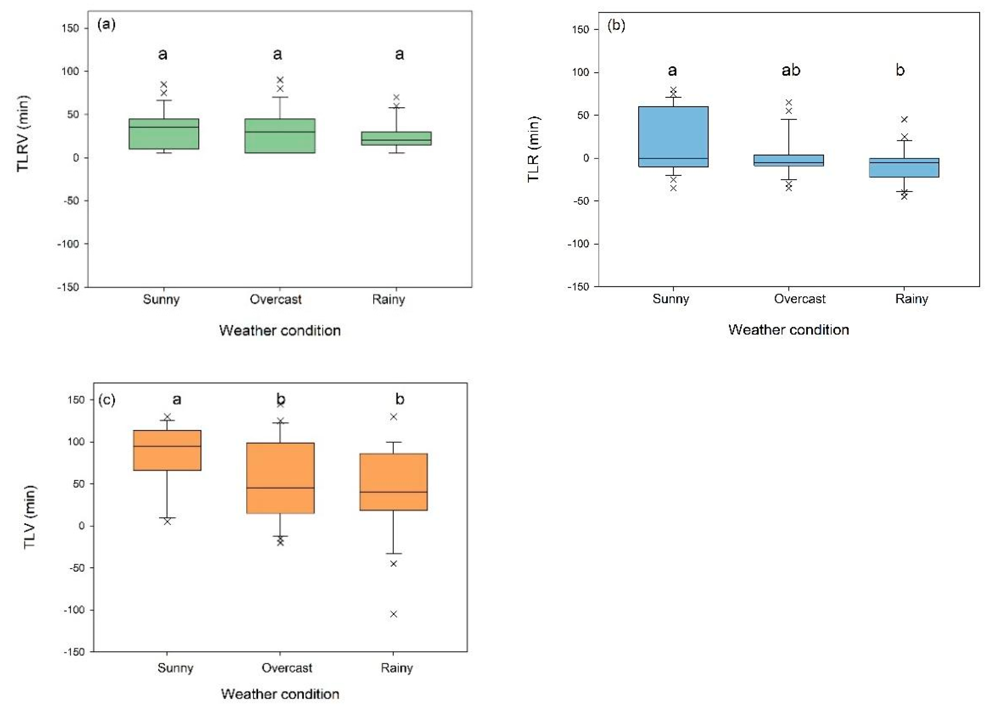
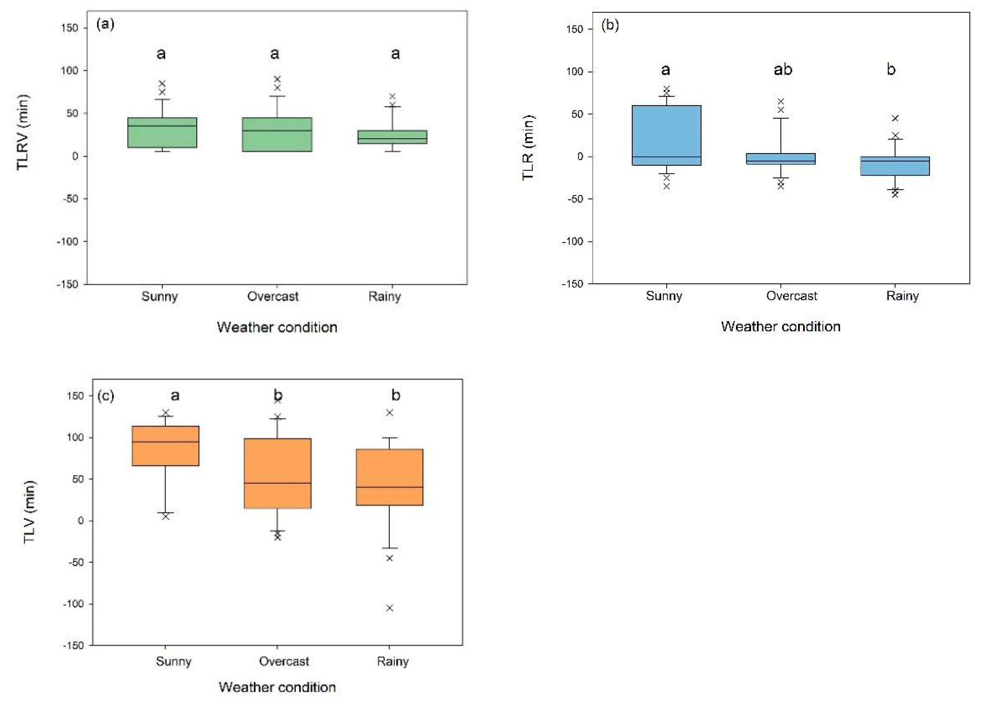
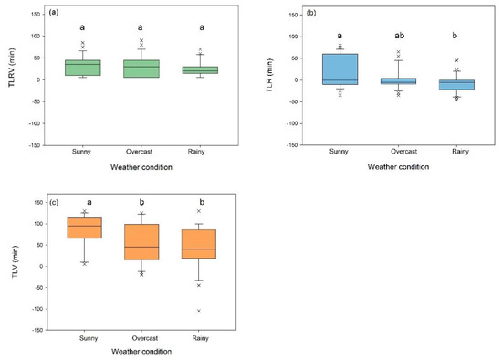
3.3. Time Lag Variations under Different Weather Conditions
3.4. Time Lag Fluctuations between Sap Flow and Meteorological Factors during the Growing Season
3.5. Time Lag Response to Different Environmental Factors
4. Discussion
4.1. Seasonal Variation in Time Lag
4.2. Influence of Environmental Factors on Variations in Time Lag
5. Conclusions
Supplementary Materials
Author Contributions
Funding
Acknowledgments
Conflicts of Interest
References
- Schlesinger, W.H.; Jasechko, S. Transpiration in the Global Water Cycle. Agric. For. Meteorol. 2014, 189, 115–117. [Google Scholar] [CrossRef]
- Jasechko, S.; Sharp, Z.D.; Gibson, J.J.; Birks, S.J.; Yi, Y.; Fawcett, P.J. Terrestrial Water Fluxes Dominated by Transpiration. Nature 2013, 496, 347–350. [Google Scholar] [CrossRef] [PubMed]
- Poyatos, R.; Granda, V.; Molowny-Horas, R.; Mencuccini, M.; Steppe, K.; Martínez-Vilalta, J. SAPFLUXNET: Towards a Global Database of Sap Flow Measurements. Tree Physiol. 2016, 36, 1449–1455. [Google Scholar] [CrossRef] [PubMed]
- Bonan, G.B. Forests and Climate Change: Forcings, Feedbacks, and the Climate Benefits of Forests. Science 2008, 320, 1444–1449. [Google Scholar] [CrossRef]
- Dai, A. Increasing Drought under Global Warming in Observations and Models. Nat. Clim. Chang. 2013, 3, 52–58. [Google Scholar] [CrossRef]
- Schlaepfer, D.R.; Bradford, J.B.; Lauenroth, W.K.; Munson, S.M.; Tietjen, B.; Hall, S.A.; Wilson, S.D.; Duniway, M.C.; Jia, G.; Pyke, D.A.; et al. Climate Change Reduces Extent of Temperate Drylands and Intensifies Drought in Deep Soils. Nat. Commun. 2017, 8, 1–9. [Google Scholar] [CrossRef]
- Urban, J.; Rubtsov, A.V.; Urban, A.V.; Shashkin, A.V.; Benkova, V.E. Canopy Transpiration of a Larix Sibirica and Pinus Sylvestris Forest in Central Siberia. Agric. For. Meteorol 2019, 271, 64–72. [Google Scholar] [CrossRef]
- Venturas, M.D.; MacKinnon, E.D.; Dario, H.L.; Jacobsen, A.L.; Pratt, R.B.; Davis, S.D. Chaparral Shrub Hydraulic Traits, Size, and Life History Types Relate to Species Mortality During California’s Historic Drought of 2014. PLoS ONE 2016, 11, e0159145. [Google Scholar] [CrossRef]
- Choat, B.; Brodribb, T.J.; Brodersen, C.R.; Duursma, R.A.; López, R.; Medlyn, B.E. Triggers of Tree Mortality under Drought. Nature 2018, 558, 531–539. [Google Scholar] [CrossRef]
- Fatichi, S.; Katul, G.G.; Ivanov, V.Y.; Pappas, C.; Paschalis, A.; Consolo, A.; Kim, J.; Burlando, P. Abiotic and Biotic Controls of Soil Moisture Spatiotemporal Variability and the Occurrence of Hysteresis. Water Resour. Res. 2015, 51, 3505–3524. [Google Scholar] [CrossRef]
- Zhang, R.; Xu, X.; Liu, M.; Zhang, Y.; Xu, C.; Yi, R.; Luo, W.; Soulsby, C. Hysteresis in Sap Flow and Its Controlling Mechanisms for a Deciduous Broad-Leaved Tree Species in a Humid Karst Region. Sci. China Earth Sci. 2019, 62, 1–12. [Google Scholar] [CrossRef]
- Zhang, Q.; Manzoni, S.; Katul, G.; Porporato, A.; Yang, D. The Hysteretic Evapotranspiration-Vapor Pressure Deficit Relation: ET-VPD Hysteresis. J. Geophys. Res. Biogeosci. 2014, 119, 125–140. [Google Scholar] [CrossRef]
- Yu, M.H.; Ding, G.D.; Gao, G.L.; Zhao, Y.Y.; Sai, K. Hysteresis Resulting in Forestry Heat Storage Underestimation: A Case Study of Plantation Forestry in Northern China. Sci. Total Environ. 2019, 671, 608–616. [Google Scholar] [CrossRef] [PubMed]
- Wang, H.; Tetzlaff, D.; Soulsby, C. Hysteretic Response of Sap Flow in Scots Pine (Pinus Sylvestris) to Meteorological Forcing in a Humid Low-energy Headwater Catchment. Ecohydrology 2019. [Google Scholar] [CrossRef]
- Chen, L.X.; Zhang, Z.Q.; Li, Z.D.; Tang, J.W.; Caldwell, V.P.; Zhang, W.J. Biophysical Control of Whole Tree Transpiration Under an Urban Environment in Northern China. J. Hydrol. 2011, 402, 388–400. [Google Scholar] [CrossRef]
- Phillips, N.; Oren, R.; Zimmermann, R.; Wright, S.J. Temporal Patterns of Water Flux in Trees and Lianas in a Panamanian Moist Forest. Trees 1999, 14, 116–123. [Google Scholar] [CrossRef]
- Wang, H.; Zhao, P.; Cai, X.A. Time Lag Effect Between Stem Sap Flow and Photosynthetically Active Radiation, Vapor Pressure Deficit of Atacamanian. Chin. J. Appl. Ecol. 2008, 19, 225–230, (In Chinese with English Abstract). [Google Scholar] [CrossRef]
- Zhao, C.Y.; Si, J.H.; Feng, J.; Chang, Z.Q.; Yu, T.F.; Li, W. Time Lag Characteristics of Stem Sap Flow of Populus Euphratica in Desert Riparian Forest. J. Desert Res. 2014, 34, 1254–1260, (In Chinese with English Abstract). [Google Scholar] [CrossRef]
- Bai, Y.; Li, X.; Liu, S.; Wang, P. Modelling Diurnal and Seasonal Hysteresis Phenomena of Canopy Conductance in an Oasis Forest Ecosystem. Agric. For. Meteorol. 2017, 246, 98–110. [Google Scholar] [CrossRef]
- Sun, D.; Guan, D.X.; Yuan, F.H.; Wang, A.Z.; Wu, J.B. Time Lag Effect Between Poplar’s Sap Flow Velocity and Microclimate Factors in Agroforestry System in West Liaoning Province. Chin. J. Appl. Ecol. 2010, 21, 2742–2748, (In Chinese with English Abstract). [Google Scholar]
- O’Grady, A.P.; Eamus, D.; Hutley, L.B. Transpiration Increases during the Dry Season: Patterns of Tree Water Use in Eucalypt Open-Forests of Northern Australia. Tree Physiol. 1999, 19, 591–597. [Google Scholar] [CrossRef] [PubMed]
- Zeppel, M.J.B.; Murray, B.R.; Barton, C.; Eamus, D. Seasonal Responses of Xylem Sap Velocity to VPD and Solar Radiation during Drought in a Stand of Native Trees in Temperate Australia. Funct. Plant Biol. 2004, 31, 461–470. [Google Scholar] [CrossRef]
- Wullschleger, S.D.; Hanson, P.J.; Tschaplinski, T.J. Whole-Plant Water Flux in Understory Red Maple Exposed to Altered Precipitation Regimes. Tree Physiol. 1998, 18, 71–79. [Google Scholar] [CrossRef] [PubMed]
- Tuzet, A.; Perrier, A.; Leuning, R.A. Coupled Model of Stomatal Conductance, Photosynthesis and Transpiration. Plant Cell Environ. 2003, 26, 1097–1116. [Google Scholar] [CrossRef]
- Allen, R.G.; Pereira, L.S.; Raes, D.; Smith, M. Crop Evapotranspiration-Guidelines for Computing Crop Water Requirements-FAO Irrigation and Drainage Paper 56; FAO: Rome, Italy, 1998. [Google Scholar]
- Xue, L.; Ogawa, K.; Hagihara, A.; Liang, S.; Bai, J. Self-Thinning Exponents Based on the Allometric Model in Chinese Pine (Pinus Tabulaeformis Carr.) and Prince Rupprecht’s Larch (Larix Principis-Rupprechtii Mayr.) Stands. For. Ecol. Manag. 1999, 117, 87–93. [Google Scholar] [CrossRef]
- Wang, J.L.; Jin, H.X.; Yang, Z.B.; Wang, G. Species Diversity and Productivity of Larix Principis-rupprechtii Plantation Woods in Liupan Mountains. J. Lanzhou Univ. 2008, 44, 31–42, (In Chinese with English Abstract). [Google Scholar] [CrossRef]
- Xiong, W.; Wang, Y.; Yu, P.; Liu, H.; Shi, Z.; Guan, W. Growth in Stem Diameter of Larix Principis-Rupprechtii and its Response to Meteorological Factors in the South of Liupan Mountain, China. Acta Ecol. Sin. 2007, 27, 432–440. [Google Scholar] [CrossRef]
- Yao, Y.Q.; Chen, K.; Wang, Y.H.; Wang, Y.B.; Li, Z.H.; Xu, L.H.; Han, X.S. Relationships Between Sap Flow Velocity of Larix Principis-rupprechtii and Environmental Factors and Their Variation with Time Scales. J. Arid Land Resour. Environ. 2017, 31, 154–161, (In Chinese with English Abstract). [Google Scholar] [CrossRef]
- Guan, W. A Study on the Growth of Larix Principis-Rupprechtii and the Influence of Water Condition in the Small Watershed of Diediegou on the North Side of Liupan Mountains; Chinese Academy of Forestry: Beijing, China, 2007. [Google Scholar]
- Granier, A.; Loustau, D.; Breda, N. A Generic Model of Forest Canopy Conductance Dependent on Climate Soil Water Availability and Leaf Area Index. Ann. For. Sci. 2000, 57, 755–765. [Google Scholar] [CrossRef]
- Fang, S.; Zhao, C.; Jian, S. Canopy Transpiration of Pinus Tabulaeformis Plantation Forest in the Loess Plateau Region of China. Environ. Earth Sci. 2016, 75, 376. [Google Scholar] [CrossRef]
- Zhao, P.; Rao, X.Q.; Ma, L.; Cai, X.A.; Zeng, X.P. The variations of sap flux density and whole-tree transpiration across individuals of Acacia mangium. Acta Ecol. Sin. 2006, 26, 4050–4058, (In Chinese with English Abstract). [Google Scholar] [CrossRef]
- Aguilos, M.; Stahl, C.; Burban, B.; Hérault, B.; Courtois, E.; Coste, S.; Wagner, F.; Ziegler, C.; Takagi, K.; Bonal, D. Interannual and Seasonal Variations in Ecosystem Transpiration and Water Use Efficiency in a Tropical Rainforest. Forests 2018, 10, 14. [Google Scholar] [CrossRef]
- R Development Core Team. R: A Language and Environment for Statistical Computing; R. Development Core Team: Vienna, Austria, 2014. [Google Scholar]
- Wang, H.M.; Sun, W.; Zu, Y.G.; Wang, W.J. Complexity and Its Integrative Effects of The Time Lags of Environment Factors Affecting Larix Gmelinii Stem Sap Flow. Chin. J. Appl. Ecol. 2011, 22, 3109–3116, (In Chinese with English Abstract). [Google Scholar] [CrossRef]
- Yao, Z.W.; Zhu, J.M.; Wu, L.L.; Yuan, Q.; Dang, H.Z.; Zhang, X.Y.; Gan, H.H.; Jiang, S.X. Time lag characteristics of the stem sap flow of Haloxylon ammodendron in the Minqin oasis-desert ecotone. Chin. J. Appl. Ecol. 2018, 29, 2339–2346, (In Chinese with English Abstract). [Google Scholar] [CrossRef]
- Zheng, C.; Wang, Q. Water-Use Response to Climate Factors at Whole Tree and Branch Scale for a Dominant Desert Species in Central Asia: Haloxylon ammodendron. Ecohydrology 2014, 7, 56–63. [Google Scholar] [CrossRef]
- Xu, J.L.; Ma, L.Y.; Yan, H.P. Relationship Between Process of Sap Flow of P. tabulaeformis and Solar Radiation. Sci. Soil Water Conserv. 2006, 4, 103–107, (In Chinese with English Abstract). [Google Scholar] [CrossRef]
- Meinzer, F.C.; Clearwater, M.J.; Goldstein, G. Water Transport in Trees: Current Perspectives, New Insights and Some Controversies. Environ. Exp. Bot. 2001, 45, 239–262. [Google Scholar] [CrossRef]
- Bo, X.; Du, T.; Ding, R.; Comas, L. Time Lag Characteristics of Sap Flow in Seed-Maize and Their Implications for Modeling Transpiration in an Arid Region of Northwest China. J. Arid Land 2017, 9, 515–529. [Google Scholar] [CrossRef]
- Brodribb, T.J.; Holbrook, N.M. Declining Hydraulic Efficiency as Transpiring Leaves Desiccate: Two Types of Response. Plant Cell Environ. 2006, 29, 2205–2215. [Google Scholar] [CrossRef]









| Tree No. | DBH (cm) | Tree Height (m) | Crown Diameter (m) | Sapwood Area (cm2) | Sapwood Thickness (cm) |
|---|---|---|---|---|---|
| 1 | 20.21 | 17.07 | 3.70 | 174.83 | 3.29 |
| 2 | 19.50 | 15.65 | 5.06 | 164.72 | 3.22 |
| 3 | 19.94 | 16.63 | 4.15 | 178.67 | 3.45 |
| 4 | 21.18 | 18.90 | 2.77 | 203.90 | 3.71 |
| 5 | 16.91 | 16.90 | 2.66 | 124.55 | 2.81 |
| 6 | 17.84 | 16.60 | 2.88 | 140.04 | 3.00 |
| 7 | 16.95 | 15.00 | 2.89 | 125.20 | 2.82 |
| 8 | 13.07 | 16.40 | 2.21 | 70.86 | 2.05 |
| REW Categories | Time Lag | Factor | Standardized Coefficient | Equation | R2 | p |
|---|---|---|---|---|---|---|
| REW < 0.38 | TLR | ETref | 0.785 | TLR = 25.46·ETref − 65.33·REW − 54.45 | 0.659 | <0.001 |
| REW | −0.213 | |||||
| REW > 0.38 | ETref | 0.764 | TLV = 23.698·ETref + 7.913·REW − 56.929 | 0.576 | <0.001 | |
| REW | 0.035 | |||||
| REW < 0.38 | TLV | ETref | 0.493 | TLV = 27.98·ETref + 100.06·REW − 29.86 | 0.278 | 0.004 |
| REW | 0.172 | |||||
| REW > 0.38 | ETref | 0.713 | TLV = 32.67·ETref + 57.21·REW − 62.82 | 0.513 | <0.001 | |
| REW | 0.170 |
© 2019 by the authors. Licensee MDPI, Basel, Switzerland. This article is an open access article distributed under the terms and conditions of the Creative Commons Attribution (CC BY) license (http://creativecommons.org/licenses/by/4.0/).
Share and Cite
Hong, L.; Guo, J.; Liu, Z.; Wang, Y.; Ma, J.; Wang, X.; Zhang, Z. Time-Lag Effect Between Sap Flow and Environmental Factors of Larix principis-rupprechtii Mayr. Forests 2019, 10, 971. https://doi.org/10.3390/f10110971
Hong L, Guo J, Liu Z, Wang Y, Ma J, Wang X, Zhang Z. Time-Lag Effect Between Sap Flow and Environmental Factors of Larix principis-rupprechtii Mayr. Forests. 2019; 10(11):971. https://doi.org/10.3390/f10110971
Chicago/Turabian StyleHong, Liu, Jianbin Guo, Zebin Liu, Yanhui Wang, Jing Ma, Xiao Wang, and Ziyou Zhang. 2019. "Time-Lag Effect Between Sap Flow and Environmental Factors of Larix principis-rupprechtii Mayr" Forests 10, no. 11: 971. https://doi.org/10.3390/f10110971
APA StyleHong, L., Guo, J., Liu, Z., Wang, Y., Ma, J., Wang, X., & Zhang, Z. (2019). Time-Lag Effect Between Sap Flow and Environmental Factors of Larix principis-rupprechtii Mayr. Forests, 10(11), 971. https://doi.org/10.3390/f10110971

