Abstract
Essential oils (EOs) are natural and economically valuable aromatic compounds obtained from a variety of crops and trees, including forest trees, which have different therapeutic and biological activities. This project aims to assess the impact of different residual forest biomass pretreatments on the yield and the properties of EOs, including their antibacterial and antioxidant characteristics. Forest biomass from black spruce (BS, Picea mariana Mill.), balsam fir (BF, Abies balsamea), and jack pine (JP, Pinus banksiana Lamb.) was processed mechanically by (i) shredding, (ii) grinding, (iii) pelletizing, and (iv) bundling. EOs were then extracted by hydro- and steam distillation. The densification into bundles was found to improve EOs yield compared to the other residual forest biomass pretreatments. For example, the yield of bundled BF was improved by 68%, 83%, and 93% compared to shredded, ground, and granulated biomass, respectively. The highest yield was obtained when densification into bundles was combined with extraction through hydrodistillation. As for EOs’ chemical composition, JP had the highest polyphenol content and consequently the greatest antioxidant activity. EOs derived from BS inhibited the growth of Gram-positive Staphylococcus aureus bacteria and Gram-negative Salmonella typhimurium and Escherichia coli bacteria. The densification of forest biomass into bundles did not affect the antioxidant capacity or the antibacterial activity of EOs, thereby preserving both properties. Thus, the pretreatment of forest biomass residue could have an impact on the volume and the transport costs and therefore improve the bioproducts market and the bioeconomy in Canada.
1. Introduction
Over the last few decades, conifers have been the most exploited species in Québec due to the quality of their wood. Sylvicultural and timber cutting activities generate large quantities of residual forest biomass. Royer et al. [] reported that sylvicultural activities generated approximately 2.9 million tons of forest residues in Québec in 2008. These residues could be a source of additional revenue for industries []. The forest residues supply system mainly contributes on energy sector improvement through high value-added materials such as biochar, bio-oil, syngas (biofuels), energy pellets, and electricity produced via thermochemical conversion methods. Besides, conifers have an interesting chemical structure composed of essential oils (EOs), which are economically valuable []. Black spruce (BS, Picea mariana Mill.), balsam fir (BF, Abies balsamea), and jack pine (JP, Pinus banksiana Lamb.) have EOs in their needles, buds, cones, resins, and gums [,]. The chemical composition of EOs depends on several external factors such as temperature, sunshine, soil conditions, seasonal variation, geographical location, and species [].
EOs are composed of: (i) terpenes and terpenoids, (ii) resins, and (iii) polyphenols []. Terpenes and terpenoids are usually found in all conifers and are mainly produced during photosynthesis. Their structure is composed of a variable number of iso terpene units, namely: hemiterpenes (C5), monoterpenes (C10), sesquiterpenes (C15), diterpenes (C20), sesterpenes (C25), triterpenes (C30), carotenoids (C40), and polyisoprenes (Cn) [,]. α-pinene, β-pinene, and 3-carene are among the main EOs compounds already identified in JP and BS []. They have considerable economic interest and participate in most antibacterial and antioxidation reactions. Croteau et al. [] noted that conifers produce a kind of resin, a mixture of terpene compounds, that protect the plant from different types of attacks by herbivores and pathogens []. At the same time, phenolic compounds are omnipresent and are linked to lignin biosynthesis []. These compounds perform the sustainability of certain species through their ability to trap free radicals and block enzymatic and antifungal reactions []. Besides, phenolic acids protect the plant from ultraviolet radiation and antioxidant actions [].
EOs can be extracted by traditional and modern methods. Traditional methods comprise maceration, soxhlet extraction, and hydrodistillation or steam distillation []. These methods are economically feasible, but they are time-consuming and may lead to the loss of some volatile compounds during the extraction process []. On the other hand, supercritical fluid and microwave-assisted extraction methods are among advanced techniques that are not economically advantageous, especially at an industrially large scale [,,,]. Generally, the process of EOs extraction from plant tissues is performed by the diffusion phenomenon following the principle of Fick’s law []. This law defines the diffusion and the entrainment of volatile compounds, which depend on several factors such as the amount of the lipid fraction of the plant, the degree of solubility of volatile compounds, and the total pressure and the temperature gradients during the extraction process []. For example, during EOs extraction, monoterpenes and sesquiterpenes are easily entrained by steam, while other compounds are not directly volatilized [].
More than 300 essential oils are commercialized worldwide, and the global market is expected to exceed two billion dollars by 2024 []. The increased interest for EOs is mainly related to their antimicrobial activity in the food market, cosmetics, and pharmaceutical products [,,]. The agro-food industry also uses EOs as flavors or preservatives for aliments because of their antibacterial and antioxidant properties. EOs are also known as mutagenic and carcinogenic chemical preservatives such as butylated hydroxytoluene (BHT) and butylated hydroxyanisole (BHA) []. During the process of EOs extraction, industries employ untreated raw material to preserve oil chemical composition. Since the supply chain is hardly secured, industries are looking for continuously available forest biomass sources to maintain the sustainability and to secure the chain supply. This situation implies high transport costs, especially when the resource is distant [,]. Thus, the development of new strategies to improve the forest residue supply system and to minimize the transport cost becomes a necessity.
Only few studies have evaluated the effects of mechanical pretreatment such as grinding on EOs yield and properties [,,]. For example, Tischer et al. [] studied grinding methods [cryogenic, knife (with and without cooling), and ball mills] for Baccharis articulata (Lam.) Pers. for the extraction of EOs. Using these methods, sesquiterpenes (hydrocarbons and oxygenated) and monoterpene hydrocarbons varied from 64 to 86% and from 14 to 36%, respectively. Also, cryogenic milling decreases the particle size of biomass, which may disrupt the glandular trichomes and the secretory ducts of the plant material, thus lowering EOs yield.
Thus, the main objective of this study was to evaluate the impact of new mechanical pretreatment and conditioning techniques for residual forest biomass in the supply chain on the quality and the quantity of EOs. The impact of four different pretreatment methods (shredding, grinding, and densification into pellets and bundles) could be directly related to the volume and the transportation costs of residual forest biomass []. Finally, a comparative study between two extraction techniques—hydrodistillation and steam distillation—was carried out to identify the optimal conditions for the highest yield and the best quality of EOs.
2. Material and Methods
2.1. Raw Materials
Forest biomass residues from BF, BS, and JP were collected from a forest site located in Belcourt, Québec, Canada. These biomass residues were collected in summer and fall of 2018 and brought to the laboratory for EOs extraction and characterization. These residues were composed of about 70% needles and 30% branches.
2.2. Pretreatment Methods and Operating Conditions
The biomass residues from each species were prepared before the extraction of EOs. Figure 1 shows the five different methods used: (i) shredding using a branch shredder (Bandit, model: 65 XP compact disc); (ii) shredding, grinding, and milling using an industrial grinder equipped with a screen grate (Mills, Buffalo, NY, USA) and drying (Dryer, Abri-Tech Inc., Namur, QC, Canada) to decrease the biomass moisture content to below 40%; (iii) shredding, grinding, and pelleting using a KHAL mill (Amandus Kahl GmbH and Co.KG, Germany) with a capacity of 50 kg/h and a pellet pilot machine with a die filling at 6 mm of diameter for densification; (iv) densification into bundles (with no pretreatment) using a cylindrical mold placed under a mechanical testing machine at compaction forces up to 50 kN (Zwick Roell Z100, Zwick GmbH and Co.KG, Germany); and (v) for purposes of comparison, a non pretreated material was used as a “control”.

Figure 1.
The different types of residual forest biomass preparation before the extraction of essential oils (EOs).
2.3. Essential Oil Extraction
Hydrodistillation (HD) was applied directly to the freshly harvested raw biomass to prevent the volatilization of EOs contained in the forest biomass. The extraction of forest biomass was then carried out by using five different physical pretreatments (Figure 1). The quantity of raw material used for distillation was about 5 kg, and the extraction tests were performed in triplicate. This extraction method lasted 7–8 h and was carried out at atmospheric pressure using a hydrodistillation apparatus (Newhouse Manufacturing Co., USA) with a 34 L capacity stainless steel batch unit with an electrical resistance heater (2000 W) to heat and boil water. The pretreated forest residues were placed in an alembic with water and steam charged with aromatic components and then circulated through a cooling system to be condensed. After hydrodistillation, EOs were recovered in a flask and stored in hermetically sealed brown vials at 4 °C for further analysis.
For comparative purposes, the same apparatus and the same conditions were used during the steam distillation (SD). In this method, the pressure was applied to the surface of the residual biomass using a vacuum system. A barometer was used to measure the pressure of the hydrodistiller during heating. The generated steam passed through the raw material to extract the EOs. Subsequently, the steam was condensed, and EOs were separated from the water by decantation. This process lasted 4 h, and the extractions were performed three times.
2.4. Physiochemical Characterization of Essential Oils
According to the AFNOR (French Standardization Association) [], the EOs yield is the ratio between the volume of EOs extracted and the mass of residual forest biomass on a wet basis. The yield (R) was calculated according to Equation (1):
EOs’ relative density was determined by a liquid volume pycnometer (25 mL) according to the French standard NF ISO 279: 1999 (T75-111) [] and calculated according to Equation (2):
where D is the relative density of EOs, m0 is the mass of the empty pycnometer (g), m1 is the mass of the pycnometer filled with water (g), and m2 is the mass of the pycnometer filled with EOs (g).
The qualitative and the quantitative analyses of the EOs were performed using a gas chromatograph coupled with a mass spectrometer (GCMS, Agilent Technology 789B, USA). This technique separated the EOs constituents using a specific capillary fused silica column, HP-5MS with a 30 m length, 250 µm internal diameter, and 0.25 µm film thickness. Then, 1 µl of each volatile oil was injected into the GCMS at 150 °C. Subsequently, an inert carrier gas of helium (1.2 mL/min) transported the sample to be separated into the column and identified the contents according to its respective retention time using a computer library search (NIST spectral search program, Mass Spectral Library, version 1.7).
2.5. Antioxidant Properties
2.5.1. Polyphenols
The amount of total polyphenols in the EOs was determined in triplicate according to the Folin–Ciocalteu method []. According to this method, gallic acid was used as a standard material, and the quantity of phenols was expressed in mg per g of the gallic acid equivalent of EOs.
2.5.2. Iron Reduction Capacity
EOs’ capacity for reducing the ferric ion (Fe3+) to the ferrous ion (Fe2+) was measured by mixing the EOs with potassium ferricyanide (K3Fe(CN)6) according to Tolba et al. []. Iron reduction power was shown by a dark blue coloration. The concentration of the new compound was measured with an Ultrospec 2100 pro UV/Visible Spectrometer (Biochrom US, Holliston, MA, USA) at 700 nm. The reducing power of EOs was compared with ascorbic acid, which is a strong reducer.
2.6. Antimicrobial Activity of EOs
Antimicrobial activity was tested by measuring the bacterial power of EOs against microbial and pathogenic strains currently found in respiratory infections, meningitis, or gastroenteritis. Table 1 shows the information about the strains tested in this study: Salmonella typhimurium (S. typhimurium), Escherchia coli (E. coli), Pseudomonas aeruginosa (P. aeruginosa) and Staphylococcus aureus (S. aureus). Bacterial strains were stored in a freezer at −80 °C to suspend all their biological activities. To obtain freshly cultured bacterial suspensions, these strains were seeded in a Lauria-Bertan (LB) nutriment medium agitated at 150 rpm at 37 °C for 18 h to activate them. The maximum bacteria growth (exponential phase) was measured by UV/Visible spectrophotometer at 600 nm.

Table 1.
Provenance and antibiotic resistance of bacterial strains used in the disc diffusion test.
A disc diffusion test was carried out to measure EOs’ inhibition diameter. Three discs of 6 mm were used: (i) one impregnated with 1 µl of oil, (ii) one free of culture medium for a negative control, and (3) one with antibiotics (chlomarophenicol and piperacillin) for a positive control. After incubation (37 °C for 24 h), the diameter of the inhibition zone was measured. Tests were carried out in triplicate, and the results were read by measuring the inhibition zone around each disc with a ruler.
2.7. Statistical Analysis
The impact of conditioning the residual forest biomass into bundles on the efficiency of EOs was studied according to a factorial system where the independent factors were: tree species (BF, BS, and JP), extraction process (hydrodistillation and steam distillation), and bundle compression level (0 = control, 10 kN, 20 kN, 30 kN, 40 kN, 50 kN). Response variables were the yield of EOs, the antioxidant capacity (total phenol content and capacity for iron reduction), and the antibacterial activity. These results were processed using an analysis of variance (ANOVA), and F-values were considered statistically significant at p ≤ 0.05. Analyses were performed using the following Equation (3):
where Y represents EOs yield, antioxidant capacity (total phenol content and capacity for iron reduction), or antibacterial activity; μ, the general effect (intercept); E, the tree species; F, the level of biomass compression; G, the extraction method; E*F, the interaction between species and compression level; E*G, the interaction between species and the extraction method; F*G, the interaction between the extraction method and the compression level; F*G*E, the interaction between the three factors; and finally, ε represents the residual error. Tukey’s studentized range was used to test significant statistical differences between the means of the two extraction processes, the three species, and the compression levels of the residual forest biomass.
Yijk = μ + Ei + Fj + Gk + E*F + E*G + F*G + F*G*E + εijk
3. Results and Discussion
3.1. Effect of Mechanical Pretreatments on EOs Yield
The effects of pretreated (shred, ground, pelletized, and bundled) and non-pretreated residual forest biomass on the extraction of EOs by hydrodistillation are shown in Figure 2. The yields of EOs extracted from non-pretreated biomass were found to be 6.16 ± 1.17 mL/kg, 1.60 ± 0.30 mL/kg, and 2.88 ± 0.13 mL/kg for BF, BS, and JP, respectively. Figure 2a shows that BF in the form of bundles increased the amount of EOs extracted by 68%, 83%, and 93% over shredded, ground, and granulated residual biomass, respectively. Also, the amount of EOs extracted from BS densified into bundles increased by 63% over shredded or granulated biomass (Figure 2b). Figure 2c illustrates a decrease of EOs yield from bundles compared to shredded and non-treated JP biomass but also increases of 2% and 26% compared to ground and granulated biomass, respectively.

Figure 2.
The yield of EOs extracted from untreated, shredded, ground, and densified (pellets and bundles) (50 kN) residual forest biomass: (a) balsam fir (BF), (b) black spruce (BS), and (c) jack pine (JP) by hydrodistillation.
Thus, residual forest biomass prepared in bundles presented the highest EO yield compared to the other mechanical pretreatments. These findings may indicate that the surface of residual forest biomass has larger quantities of EOs than the internal part. Tischer et al. [] reported that the type of mill, the shape of the biomass, and its moisture content are among the main factors that affect EOs extraction yield. Grinding of forest biomass is the method usually used to preserve the stability and the homogeneity of the material during EOs extraction. However, it has been reported that ground biomass causes the volatilization of some compounds that are retained in raw biomass cells due to temperature variations []. Murthy et al. [] also confirmed that grinding leads to a reduction in the particle size and increases the surface area exposed to the atmosphere. Indeed, the volatilization of aromatic fractions and the modification of organoleptic characteristics are the result of particle size reduction []. Also, densification into pellets affects EOs yield and leads to high losses of hydrocarbon compounds such as monoterpenes []. Thus, shredding, grinding, and granulation are mechanical pretreatments that may result in losses of EOs quantities, while densification into bundles leads to an improvement in the quantity of EOs recovered.
Hydrodistillation requires a large quantity of water but allows the maximum recovery of aromatic compounds from the cells of the raw material. Thus, an optimization study of residual forest biomass pretreatments through hydrodistillation concluded that bundled biomass had the best yield for EOs extraction. Consequently, an evaluation of different forces (from 10 to 50 kN) applied during the compaction of residual forest biomass was studied. The evolution of EOs extraction from BF, BS, and JP residual biomass densified into bundles is presented in Figure 3. An improvement of EOs efficiency was noted following the densification into bundles from 10 to 50 kN. An increase in EOs yield of 34% was observed for BF bundles compressed at 50 kN (8.81 ± 0.82 mL/kg) compared to the control (6.16 ± 1.17 mL/kg) (Figure 3). The yield of EOs extracted from BS densified into bundles (Figure 3) increased by 47% for residual forest biomass compressed at 50 kN (3.04 ± 1.38 mL/kg) over non-treated biomass (1.6 ± 0.3 mL/kg). However, in the case of JP (Figure 3), the curves illustrated a decrease of EO yield coming from bundles (1.64 ± 0.28 mL/kg) compared to the control biomass (2.88 ± 0.13 mL/kg). This finding could be related to the possible contact between the residual forest biomass and the water, which may have caused its settling and agglutination, leading to the formation of a compact mass that blocked the passage of steam []. Also, the geographical location, the harvest period, the climatic conditions, and the organ used by the plant during the biosynthesis of EOs can affect its yield [].

Figure 3.
The yield of EOs extracted by hydrodistillation from residual forest biomass densified into bundles for (a) BF, (b) BS, and (c) JP.
In general, residual forest biomass prepared into bundles promotes the entrainment of the aromatic compounds through the accessibility of water to all cells or glands containing EOs and the improvement of water contact between the branches. As a result, heat transfer phenomena by conduction and convection during hydrodistillation is improved. Also, the conduction of heat from the surface to the bottom of the matrix becomes more pronounced, and this promotes the entrainment of volatile compounds. Evaporation and condensation of EO from the bottom to the surface of the plant are ensured by the diffusion mechanism according to Fick’s law, which depends mainly on the temperature gradient and the partial pressure [,,].
Following the optimization study of biomass preparation methods previously described, only the biomass densified into bundles was used for the EO extraction by steam distillation study. Figure 4a–c show the maximum yields of EOs extracted from BF (3.93 ± 0.12 mL/kg), BS (3.72 ± 0.41 mL/kg), and JP (3.72 ± 0.41 mL/kg) control material. Improvements in the yield of EOs extracted from bundles compacted at 50 kN were found to be in the order of 32, 25, and 24% for BF, JP, and BS, respectively (Figure 4a–c). This improvement can be explained by the heat transfer phenomena. Indeed, saturated steam ensures the transfer to heat by convection onto the external surface of the plant. Thus, the migration of volatile molecules is achieved through concentration gradients (from the most concentrated space to the least concentrated space), and total pressure gradient until a thermodynamic equilibrium is reached [,].

Figure 4.
The yield of EOs extracted by steam distillation from residual forest biomass densified into bundles for (a) BF, (b) BS, and (c) JP.
The yield of EO extraction via hydrodistillation was higher than steam distillation. This increase can be explained by the short time that the residual forest biomass was subjected to the steaming process, thereby preventing the entrainment of a large proportion of the constituents of EOs. During the hydrodistillation process, it took a long time to heat the water, and thus the surface of the biomass waste stayed directly in contact with the water much longer. This was an advantage for the removal of oxygenated terpene compounds that have high boiling points and thus require longer extraction times [].
Table 2 presents the statistical analysis and the effect of species type, compression level, extraction method, and their interactions on the chemical composition of EOs. The statistical analysis confirms the positive interaction between these three factors and the significant effect on EOs yield for all three species tested in the current study.

Table 2.
Analysis of variance (ANOVA) of different factors and their effect on EO yield, total phenol content, capacity for iron reduction, and antibacterial activity.
3.2. Physicochemical Properties of EOs
The density of the EOs is one of the most important criteria to be considered following the extraction process. It determines the quality of EOs for their use in several fields (cosmetics, pharmaceuticals, agri-food, and chemicals). In this study, the two extraction processes did not affect the density of EOs extracted from the five prepared forest biomass types. BF, BS, and JP had average densities of 0.76 ± 0.01, 0.85 ± 0.01, and 0.87 ± 0.01, respectively, which are in good agreement with other studies [].
Five compounds belonging to the terpene family were studied and selected for the identification and the quantification of the EOs (Table 3). Indeed, bundling did not have an impact on EOs chemical composition, while the grinding and the granulation methods caused decreases in the concentration of all compounds. These losses can be explained by the sensitivity of EO constituents to temperature variations []. Table 3 also shows that EOs extracted from BF by the hydrodistillation process were rich in β-pinene, limonene, and α-pinene. The other compounds (camphene, α-terpineol, bornyl acetate, and borneol) were mostly present with various concentrations. When comparing the chromatogram of EOs obtained from hydro- and steam distillation, every single compound was present but with some differences in their concentrations. The concentration of EOs was more important when hydrodistillation was carried out, especially for BF densified into bundles (50 kN), which reached up to 103.7 µg/mL and 317.9 µg/mL for 3-carene and limonene, respectively. On the contrary, the lowest concentrations of 3-carene, camphene, limonene, α-pinene, and β-pinene were observed when hydrodistillation and bundling were performed in the case of BS. Finally, the concentration of EOs from JP compressed in bundles increased twofold higher compared to the other species using the same extraction method.

Table 3.
The chemical composition of EOs extracted by hydrodistillation (HD) and steam distillation (SD) from residual forest biomass densified into bundles (50 kN) and the control for BF, BS, and JP.
For the steam distillation method, the composition of EOs extracted from BF showed a 30% decrease in limonene concentration. This reduction is mainly explained by the phenomenon of solubility and the effect of the extraction temperature. α-pinene and limonene are two monoterpene compounds with low boiling points that require high extraction temperatures and short extraction times. According to Charl et al. [], during hydrodistillation, some monoterpene compounds (limonene, β-pinene, and α-pinene) have low boiling points and can be denatured in the case of long exposure times at high temperatures. However, solubility plays a key role during the extraction of monoterpene compounds. For example, limonene and β-pinene have low or near zero solubility in water, around 0.15 mmol/L and 0.08 mmol/L, respectively. This immiscibility is due to the apolar nature of these compounds, the fact that explains the use of organic solvents (e.g., cyclohexane) for better solubilization. Therefore, a long exposure time associated with high temperatures facilitates their recovery. According to Lucchesi et al. [], hydrodistillation is among the listed processes that promote the greatest recovery of terpene compounds such as limonene.
In general, the chemical composition of EOs varies from one species to another. Qualitative analyses of EOs derived from BS revealed the presence of multiple compounds (camphene, α-pinene, β-pinene, limonene, δ-carene, bornyl acetate, 1,8-cineole, linalol, borneol, α-terpinene, β-Myrcene, α-Muurolene, and β-Guaiene). EOs extracted by hydrodistillation and steam entrainment were highly concentrated in camphene and α-pinene, with concentrations ranging from 139.09 to 156.54 µg/mL and 117.0 to 173.5 µg/mL, respectively. A decrease in the concentration of both compounds has been reported following steam entrainment, because these stable aromatic structures require high temperatures for their solubilization. Similarly, the concentration of EO constituents depends on the phenological stage of the plant and their biotic and abiotic stress levels []. Table 3 also shows that EOs extracted from JP were rich in α-pinene and 3-carene, with concentrations ranging from 29.54 to 32.029 µg/mL and 159.12 to 189.44 µg/mL, respectively depending on the extraction method. Thus, the extraction of EOs by hydrodistillation versus steam distillation affects the concentration of some components due to their chemical composition, solubility, and boiling point [].
3.3. Antioxidant Capacity
3.3.1. Determination of Total Phenols
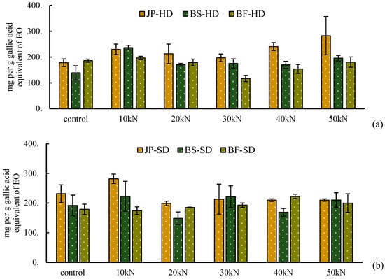
Phenolic compounds are capable of trapping and inhibiting the free radical genesis [,]. The total phenol content of EOs in BF, BS, and JP extracted by hydrodistillation is expressed in mg per g of gallic acid equivalent (Figure 5a). JP had the highest polyphenol content compared to BS and BF. Its content varied from 178.13 mg/g gallic acid equivalent from the control material to 282.83 mg/g gallic acid equivalent from the bundles compacted at 50 kN. This finding is related to the nature of JP bark, which is rich in polyphenols []. Preston et al. [] reported in a comparative study that JP needles are richer in polyphenols compared to BS. In addition, the presence of phenolic compounds in plants also depends on the type of species, the harvest period, the post-harvest treatments, the pretreatment conditions, and the sample particle size during extraction process [].

Figure 5.
Effect of compression level (10–50 kN), species type (BF, BS, and JP), and extraction method—(a) hydrodistillation (HD) and (b) steam distillation (SD)—on total phenol content.
The total content of phenols present in EOs extracted from the tree species by steam distillation is shown in Figure 5b. Similarly to hydrodistillation, JP had the highest polyphenol content compared to BS and BF by steam distillation. Thus, total phenol content varied according to species type, whereas the extraction method and the compression levels of the residual forest biomass did not have an effect (Table 2).
3.3.2. Determination of Antioxidant Capacity by Iron Reduction Method
The iron-reducing power of EOs is also closely related to the chemical composition of the tree species. Figure 6a shows the iron-reducing capacity of EOs extracted from BF prepared into bundles at different compression levels. In this study, ascorbic acid was used as reference owing to its oxidizing power of 315.54 mmol Fe2+/mL of EOs. EOs extracted by hydrodistillation from raw BF (control) presented a low iron reduction capacity (205.46 mmol Fe2+/mL) compared to BF prepared in bundles (from 241.84 to 298.7 mmol Fe2+/mL of EOs), while EOs extracted by steam distillation presented a reduction of 56% in iron-reducing capacity. These results showed that EOs extracted by hydrodistillation are richer in phenols because they can break down hydrogen atoms through their hydroxyl groups and inactivate oxidants causing the denaturation of organic chemical compounds []. Similarly, EOs distilled by hydrodistillation are more concentrated in monoterpene compounds that are responsible for the total phenol amount for iron reduction [].

Figure 6.
Evaluation of the iron reduction capacity of EOs extracted by hydrodistillation and steam distillation of (a) BF, (b) BS, and (c) JP in bundles at different compaction levels.
The iron reduction capacity of EOs extracted from BS relative to compression level and extraction process is shown in Figure 6b. The ferric reduction power of EO extracted by hydrodistillation from BS bundles compacted at 50 kN increased from 157.6 mmol Fe2+/mL (control material) to 223.63 mmol Fe2+/mL. On the other hand, steam extraction resulted in a 23% improvement of ferric reduction power. It passed from 171.4 mmol Fe2+/mL (control material) to 225.3 mmol Fe2+/mL for EO extracted from BS bundles compacted at 50 kN. Indeed, the reducing power of EOs extracted from BS can be explained by the strong affinity created between the polyphenols and the metal ions of the ferric ion (Fe3+). Similarly, other compounds such as alcohols (linalool and 1,8-cineole), ketones (menthone and isomenthone), aldehydes (neural and citronellol), esters, and hydrocarbons (α-terpinene and α-terpinol) can participate in the reduction of ferric iron (Fe3+) to ferrous iron (Fe2+) and have synergistic effects on the determination of the antioxidant activity of EOs []. These observations are consistent with the qualitative analysis of EOs from BS and their amount of oxygenated compounds (see Section 3.2).
Figure 6c shows an improvement of 75% in the reducing power of EOs extracted from JP by steam distillation for the five compression levels when compared to hydrodistillation. A GCMS analysis showed that EOs from JP extracted by steam distillation were rich in monoterpenes and cyclic compounds with more than two double bonds (limonene, γ-terpinene, and α-pinene) compared to BF and BS, which in turn could yield hydrogen atoms for ferric reduction []. Thus, a strong correlation was observed between the total phenol content and the iron reduction capacity []. The statistical analysis (Table 2) also confirmed that the extraction processes had a significant effect on the iron reduction capacity.
3.4. Antibacterial Power
The antibacterial activity of EOs extracted from the three tree species in bundles compressed from 10 to 50 kN was tested against four different microbial strains [S. aureus (Gram-positive), E. coli, S. typhimurium (Gram-negative), and P. aieuroginosa (Gram-negative)]. The classification of the strain’s sensitivity level was based on Ponce at al. [] and Moreira et al. []: (i) not sensitive (-) or resistant (diameter < 8 mm); (ii) sensitive (+) (diameter between 9 and 14 mm); (iii) very sensitive (++) (diameter between 15 and 19 mm); and finally, (iv) extremely sensitive (+++) (diameter > 20 mm). Chloramphenicol and penicillium were the two antibiotics used as positive controls in this study with inhibition diameters ranging from 23 ± 1 mm to 25 ± 1 mm, respectively.
In summary, S. aureus, P. aieuroginosa, and S. typhimurium were highly resistant to the bactericidal power of EOs derived from BF, whereas E. coli showed some sensitivity with an inhibition diameter ranging from sensitive to very sensitive for both extraction processes (Table 4). According to Poaty et al. [], E. coli is sensitive to β-pinene and limonene. These results agree with the GCMS analysis of EOs derived from BF that were rich in both compounds (Table 3). Indeed, the antibacterial activity of β-pinene and limonene could be improved by an alkylation reaction promoting the interaction between the EOs and the Gram-negative bacteria []. Other researchers found that the resistance of Gram-negative bacteria is due to a layer of peptidoglycan containing proteins that give the cell an impermeability power. Thus, peptidoglycans are components that protect the bacteria and give it the ability to resist in the presence of EOs [].

Table 4.
Inhibition diameters of S. aureus, E. coli, P. aieuroginosa, and S. typhymurium against the EOs of BF, BS, and JP.
On the other hand, EOs derived from BS had a significant effect against Gram-negative strains (see Figure 7). The gram-negative strains E. coli and S. typhimurium were extremely sensitive (Table 4). EOs extracted from BS were rich in camphene and α-pinene and consequently had a greater capacity of attacking S. aureus and S. typhimurium []. Similarly, the high concentration of total phenols in EOs derived from BS could improve their antibacterial activities. Indeed, the composition and the dimensional structure of phenolic compounds play an important role in antibacterial activity. Also, the position of the hydroxyl group in the aromatic ring and the length of the saturated side chain affect the sensitivity of microorganisms. Similarly, the substitution of a double bond by an alkyl group on the phenolic ring improves antibacterial activity []. Thus, β-pinene, limonene, and phenols can merge with the lipids in the cell membrane of microorganisms and cause metabolic disturbances and nutrient ion exchange [].

Figure 7.
The effect of EOs extracted from (a) BS and (b) JP on the E. coli strain.
It is interesting that EOs extracted by steam distillation from JP had significant antibacterial activity compared to those extracted by hydrodistillation. Indeed, EOs from non-pretreated JP (control) and those extracted from bundles were very sensitive compared to S. aureus. As previously mentioned, EOs derived from JP are rich in polyphenols and monoterpene compounds. This chemical composition gives them interesting antibacterial properties. Moreover, the hydrophobic nature of phenols gives them the potential to fuse with the cell membrane of the bacteria (Gram-negative). This effect modifies the permeability of the cell causing the leakage of intracellular components such as glutamates, ribose, and sodium.
On the other hand, the evaluation of the antibacterial properties of the three species (BF, BS, and BS) against P. aeruginosa (Gram-negative) shows that this strain was very resistant. This strain is capable of synthesizing a laminated biofilm that allows it to preserve the specific physiological conditions necessary for its survival []. The statistical analyses (Table 2) confirmed that the densification of the residual forest biomass into bundles had no significant effect on the antibacterial activity of EOs from BS (p > 0.05), whereas the type of species and the extraction process (hydro- and steam distillation) had an impact on their antibacterial activity.
4. Conclusions
The objective of this study was to evaluate the effect of different mechanical preparation methods for residual forest biomass (black spruce, BS; balsam fir, BF; and jack pine, JP) on the quality and the quantity of EOs extracted by hydrodistillation and steam distillation. Before EOs extraction, the residues were subjected to four preparation methods: shredding, grinding, and densification into pellets and bundles. The EOs extracted were then physically, chemically, and biologically characterized. The main findings are as follows:
- Shredding, grinding, and densification of the residual forest biomass from BF and JP caused losses of EOs compared to the non-pretreated biomass (control), while densification into bundles led to an improvement in the quantity of EOs recovered. This is because the shape of the bundles improved the surface of the biomass in the presence of steam and ensured a better heat transfer between the branches. Also, the format of the bundles promoted the circulation of steam and ensured its accessibility to secretory cells during EOs extraction. Thus, this forest biomass preparation method preserved EOs quality and prevented the volatilization of the EOs compounds;
- Hydrodistillation led to the extraction of EOs with higher concentrations of monoterpenes and phenolic compounds compared to steam distillation, especially for JP and BF compacted in bundles;
- The antioxidant and the antibacterial properties of EOs depended mainly on the type of species and the concentration of total polyphenols, monoterpene compounds, and oxygenated compounds.
- EOs derived from BS were able to inhibit the growth of Gram-positive S. aureus bacteria and Gram-negative S. typhimurium and E. coli bacteria.
- This study successfully proved that it is possible to reduce the volume of the residual forest biomass (especially branches and needles) while preserving the quantity and the quality of extracted EOs.
Author Contributions
This study was part of a research project written and administrated by H.B., A.K. and H.B. were the main supervisors of M.H. (during her Master’s degree). H.B., S.M. and M.H. conceived and designed the methodology. M.H. prepared the first version of the manuscript. A.K., S.M. and F.L.B. reviewed and edited the publication.
Funding
This research was funded by MITACS (Fund IT11796) and the Canada Research Chair Program (fund 557752).
Acknowledgments
The authors of this article thank CTRI members for their technical assistance during the research.
Conflicts of Interest
The authors declare no conflict of interest.
References and Notes
- Royer, M.; Houde, R.; Stevanovic, T. Potentiel de Développement lié aux Extractibles Forestiers: État des Connaissances et Revue des Marchés. In Volet 1: Les Extractibles Forestiers Québecois; Université Laval: Québec, QC, Canada, 2010. [Google Scholar]
- Morency, P.-O. Le Potentiel de Valorisation de la Biomasse Forestière à des fins Energétiques au Québec: État de la Situation. Master’s Thesis, Université Laval, Québec, QC, Canada, 2011. [Google Scholar]
- Golmakani, M.-T.; Rezaei, K. Comparison of microwave-assisted hydrodistillation withthe traditional hydrodistillation method in the extraction of essential oils from Thymus vulgaris L. Food Chem. 2008, 109, 925–930. [Google Scholar] [CrossRef] [PubMed]
- Risi, J.; Brûlé, M. Étude des huiles essentielles tirées des feuilles de quelques conifères du Québec. Can. J. Res. 1945, 23, 199–207. [Google Scholar] [CrossRef]
- Francezon, N.; Stevanovic, T. Chemical composition of essential oil and hydrosol from Picea mariana bark residue. BioResources 2017, 12, 2635–2645. [Google Scholar] [CrossRef]
- Figueiredo, A.C.; Barroso, J.G.; Pedro, L.G.; Scheffer, J.J.C. Factors affecting secondary metabolite production in plants: Volatile components and essential oils. Flavour Fragr. J. 2008, 23, 213–226. [Google Scholar] [CrossRef]
- Royer, M.; Houde, R.; Stevanovic, T. Non-wood forest products based on extractives—A new opportunity for Canadian forest industry Part 2—Softwood forest species. J. Food Res. 2013, 2, 164–189. [Google Scholar] [CrossRef]
- Figueredo, G. Étude Chimique et Statistique de la Composition D’huiles Essentielles D’origans (Lamiaceae) Cultivés Issus de Graines D’origine Méditerranéenne. Ph.D. Thesis, Université Blaise Pascal—Clermont-Ferrand II, Clermont-Ferrand, France, 2007. [Google Scholar]
- Kubeczka, K.-H. History and sources of essential oil research. In Handbook of Essential Oils: Science, Technology, and Applications; Başer, K.H.C., Buchbauer, G., Eds.; CRC Press, Taylor & Francis Group: Boca Raton, FL, USA, 2016; pp. 12–47. [Google Scholar]
- Croteau, R.; Johnson, M.A. Biosynthesis of terpenoid wood extractives. In Biosynthesis and Biodegradation of Wood Components; Higuchi, T., Ed.; Academic Press: Orlando, FL, USA, 1985. [Google Scholar]
- Schultz, T.P.; Nicholas, D.D. Development of environmentally-benign wood preservatives based on the combination of organic biocides with antioxidants and metal chelators. Phytochemistry 2002, 61, 555–560. [Google Scholar] [CrossRef]
- Turtola, S. The Effects of Drought Stress and Enhanced UV-B Radiation on the Growth and Secondary Chemistry of Boreal Conifer and Willow Seedlings; University of Joensuu: Joensuu, Finland, 2005. [Google Scholar]
- Royer, M.; Houde, R.; Viano, Y.; Stevanovic, T. Non-wood Forest products based on extractives—A new opportunity for the Canadian forest industry Part 1: Hardwood forest species. J. Food Res. 2012, 1, 8–45. [Google Scholar] [CrossRef]
- Khajeh, M.; Yamini, Y.; Sefidkon, F.; Bahramifar, N. Comparison of essential oil composition of Carum copticum obtained by supercritical carbon dioxide extraction and hydrodistillation methods. Food Chem. 2004, 86, 587–591. [Google Scholar] [CrossRef]
- Vian, M.A.; Fernandez, X.; Visinoni, F.; Chemat, F. Microwave hydrodiffusion and gravity, a new technique for extraction of essential oils. J. Chromatogr. A 2008, 1190, 14–17. [Google Scholar] [CrossRef]
- Lucchesi, M.E.; Chemat, F.; Smadja, J. Solvent-free microwave extraction of essential oil from aromatic herbs: Comparison with conventional hydro-distillation. J. Chromatogr. A 2004, 1043, 323–327. [Google Scholar] [CrossRef]
- Chemat, F.; Vian, M.A.; Cravotto, G. Green extraction of natural products: Concept and principles. Int. J. Mol. Sci. 2012, 13, 8615–8627. [Google Scholar] [CrossRef] [PubMed]
- Chemat, F.; Smadja, J.; Lucchesi, M. Solvent Less Microwave Extraction of Natural Plants. European Patent Application EP 1.439.218.A1, 2003. [Google Scholar]
- Hamitouche, T.I. Étude de L’autovaporisation Instantanee dans l’intensification de L’extraction de L’huile Essentielle du Bois de Santal. Ph.D. Thesis, Université de La Rochelle, La Rochelle, France, 2016. [Google Scholar]
- Djerrari, A. Influence du Mode D’extraction et des Conditions de Conservation sur la Composition des Huiles Essentielles de Thym et de Basilic. Ph.D. Thesis, Université des Sciences et Techniques du Languedoc, Motpellier, France, 1986. [Google Scholar]
- Couic-Marinier, F.; Lobstein, A. Composition chimique des huiles essentielles. Actual. Pharm. 2013, 52, 22–25. [Google Scholar] [CrossRef]
- Tisserand, R.; Young, R. Essential Oil Safety: A Guide for Health Care Professionals, 2nd ed.; Elsevier Ltd: Edinburgh, UK, 2013. [Google Scholar]
- Zhang, H.; Chen, F.; Wang, X.; Yao, H.-Y. Evaluation of antioxidant activity of parsley (Petroselinum crispum) essential oil and identification of its antioxidant constituents. Food Res. Int. 2006, 39, 833–839. [Google Scholar] [CrossRef]
- Bouhlal, T.; Loukili, K.; Zidane, L.; Fadli, M. Plants used in traditional medicines by the human population of the Gharb plain (morocco). J. Med. Plants Stud. 2017, 5, 170–174. [Google Scholar]
- Hammer, K.A.; Carson, C.F.; Riley, T.V. Antimicrobial activity of essential oils and other plant extracts. J. Appl. Microbiol. 1999, 86, 985–990. [Google Scholar] [CrossRef]
- Burt, S. Essential oils: Their antibacterial properties and potential applications in foods—A review. Int. J. Food Microbiol. 2004, 94, 223–253. [Google Scholar] [CrossRef]
- Gabrielle, B.; Perrin, A.; Wohlfahrt, J.; Flatberg, T.; BjØrkvoll, T.; Echevarría, G.I.; Sanchez, D.; Van Der Linden, R.; Loyce, C.; Pelzer, E.; et al. Comment optimiser les chaînes d’approvisionnement en biomasse issue de cultures énergétiques? Innov. Agron. 2016, 54, 23–29. [Google Scholar]
- Ba, B.H. Modélisation et Optimisation de Chaines D’approvisionnement en Biomasses pour des Bioraffineries. Master’s Thesis, Université de Technologie de Troyes, Troyes, France, 2016. [Google Scholar]
- Tischer, B.; Vendruscolo, R.G.; Wagner, R.; Menezes, C.R.; Barin, C.S.; Giacomelli, S.R.; Budel, J.M.; Barin, J.S. Effect of grinding method on the analysis of essential oil from Baccharis articulata (Lam.) Pers. Chem. Pap. 2017, 71, 753–761. [Google Scholar] [CrossRef]
- Murthy, C.T.; Krishnamurthy, N.; Ramesh, T.; Srinivasa Rao, P.N. Effect of grinding methods on the retention of black pepper volatiles. J. Food Sci. Technol. 1996, 33, 299–301. [Google Scholar]
- Murthy, C.T.; Bhattacharya, S. Cryogenic grinding of black pepper. J. Food Eng. 2008, 85, 18–28. [Google Scholar] [CrossRef]
- Puy, N.; Murillo, R.; Navarro, M.V.; López, J.M.; Rieradevall, J.; Fowler, G.; Aranguren, I.; García, T.; Bartrolí, J.; Mastral, A.M. Valorisation of forestry waste by pyrolysis in an auger reactor. Waste Manag. 2011, 31, 1339–1349. [Google Scholar] [CrossRef] [PubMed]
- Lammerink, J.; Wallace, A.R.; Porter, N.G. Effects of harvest time and postharvest drying on oil from lavandin (Lavandula × intermedia). N. Z. J. Crop Hortic. Sci. 1989, 17, 315–326. [Google Scholar] [CrossRef]
- Valarezo, E.; Castillo, A.; Guaya, D.; Morocho, V.; Malagón, O. Chemical composition of essential oils of two species of the Lamiaceae family: Scutellaria volubilis and Lepechinia paniculata from Loja, Ecuador. J. Essent. Oil Res. 2012, 24, 31–37. [Google Scholar] [CrossRef]
- Singleton, V.L.; Orthofer, R.; Lamuela-Raventós, R.M. Analysis of total phenols and other oxidation substrates and antioxidants by means of folin-ciocalteu reagent. In Methods in Enzymology; Elsevier: Amsterdam, The Netherlands, 1999; Volume 299, pp. 152–178. [Google Scholar]
- Tolba, I. Détermination d’un méta-Paramètre Pour L’estimation de la Capacité Antioxydante Globale des Thés, Tisanes et jus. Master’s Thesis, Université du Québec à Trois-Rivières, Québec, QC, Canada, 2016. [Google Scholar]
- Phanphanich, M.; Mani, S. Impact of torrefaction on the grindability and fuel characteristics of forest biomass. Bioresour. Technol. 2011, 102, 1246–1253. [Google Scholar] [CrossRef]
- Yokouchi, Y.; Ambe, Y. Factors affecting the emission of monoterpenes from red pine (Pinus densiflora). Plant Physiol. 1984, 75, 1009–1012. [Google Scholar] [CrossRef]
- Guenther, E. The Essential Oils: Volume One: History, Origin in Plants, Production; D. Van Nostrand Company, Inc.: New York, NY, USA, 1948. [Google Scholar]
- Vekiari, S.A.; Protopapadakis, E.E.; Papadopoulou, P.; Papanicolaou, D.; Panou, C.; Vamvakias, M. Composition and seasonal variation of the essential oil from leaves and peel of a cretan lemon variety. J. Agric. Food Chem. 2002, 50, 147–153. [Google Scholar] [CrossRef]
- Al Haddad, M. Contribution Théorique et Modélisation des Phénomènes Instantanés Dans les Opérations D’autovaporisation et de Déshydratation. Ph.D. Thesis, Université de La Rochelle, La Rochelle, France, 2007. [Google Scholar]
- Besombes, C. Contribution à L’étude des Phénomènes D’extraction Hydro-Thermo-Mécanique D’herbes Aromatiques. Applications Généralisées. Ph.D. Thesis, Université de La Rochelle, La Rochelle, France, 2008. [Google Scholar]
- Allaf, T.; Allaf, K. Instant Controlled Pressure Drop (D.I.C.) in Food Processing: From Fundamental to Industrial Applications; Food Engineering Series; Springer: New York, NY, USA, 2014. [Google Scholar]
- Lucchesi, M.-E. Extraction Sans Solvant Assistée par Micro-ondes Conception et Application à L’extraction des Huiles Essentielles. Ph.D. Thesis, Université de la Réunion, La Réunion, France, 2005. [Google Scholar]
- Poaty, B.; Lahlah, J.; Porqueres, F.; Bouafif, H. Composition, antimicrobial and antioxidant activities of seven essential oils from the North American boreal forest. World J. Microbiol. Biotechnol. 2015, 31, 907–919. [Google Scholar] [CrossRef]
- Ghanmi, M.; Satrani, B.; Aafi, A.; Isamili, M.R.; Houti, H.; El Monfalouti, H.; Benchakroun, K.H.; Aberchane, M.; Harki, L.; Boukir, A.; et al. Effet de la date de récolte sur le rendement, la composition chimique et la bioactivité des huiles essentielles de l’armoise blanche (Artemisia herba-alba) de la région de Guerçif (Maroc oriental). Phytothérapie 2010, 8, 295–301. [Google Scholar] [CrossRef]
- Podsędek, A. Natural antioxidants and antioxidant capacity of Brassica vegetables: A review. LWT Food Sci. Technol. 2007, 40, 1–11. [Google Scholar] [CrossRef]
- Shahidi, F.; Arachchi, J.K.V.; Jeon, Y.-J. Food applications of chitin and chitosans. Trends Food Sci. Technol. 1999, 10, 37–51. [Google Scholar] [CrossRef]
- Jerez, M.; Selga, A.; Sineiro, J.; Torres, J.L.; Núñez, M.J. A comparison between bark extracts from Pinus pinaster and Pinus radiata: Antioxidant activity and procyanidin composition. Food Chem. 2007, 100, 439–444. [Google Scholar] [CrossRef]
- Preston, C.M.; Bhatti, J.S.; Norris, C.E. Chemical quality of aboveground litter inputs for jack pine and black spruce stands along the Canadian Boreal Forest Transect Case Study. Écoscience 2014, 21, 202–216. [Google Scholar] [CrossRef]
- Stevanovic, T.; Diouf, P.; Garcia-Perez, M. Bioactive polyphenols from healthy diets and forest biomass. Curr. Nutr. Food Sci. 2009, 5, 264–295. [Google Scholar] [CrossRef]
- Bougandoura, N.; Bendimerad, N. Evaluation de l’activité antioxydante des extraits aqueux et méthanolique de Satureja calamintha ssp. Nepeta (L.) Briq. Nat. Technol. 2013, 5, 14–19. [Google Scholar]
- Edris, A.E. Pharmaceutical and therapeutic potentials of essential oils and their individual volatile constituents: A review. Phytother. Res. 2007, 21, 308–323. [Google Scholar] [CrossRef] [PubMed]
- Lau, X.C.; Chong, K.H.; Poh, B.K.; Ismail, M.N. Physical activity, fitness and the energy cost of activities. In Advances in Food and Nutrition Research; Elsevier: Amsterdam, The Netherlands, 2013; Volume 70, pp. 49–101. [Google Scholar]
- Lagha-Benamrouche, S.; Madani, K. Phenolic contents and antioxidant activity of orange varieties (Citrus sinensis L. and Citrus aurantium L.) cultivated in Algeria: Peels and leaves. Ind. Crops Prod. 2013, 50, 723–730. [Google Scholar] [CrossRef]
- Ponce, A.G.; Fritz, R.; del Valle, C.; Roura, S.I. Antimicrobial activity of essential oils on the native microflora of organic Swiss chard. LWT Food Sci. Technol. 2003, 36, 679–684. [Google Scholar] [CrossRef]
- Moreira, M.R.; Ponce, A.G.; del Valle, C.E.; Roura, S.I. Inhibitory parameters of essential oils to reduce a foodborne pathogen. LWT Food Sci. Technol. 2005, 38, 565–570. [Google Scholar] [CrossRef]
- Chan, E.C.S.; Pelczar, M.J.; Krieg, N.R. Microbiology, 5th ed.; Tata McGraw-Hill: New York, NY, USA, 2003. [Google Scholar]
- Chao, S.C.; Young, D.G.; Oberg, C.J. Screening for inhibitory activity of essential oils on selected bacteria, fungi and viruses. J. Essent. Oil Res. 2000, 12, 639–649. [Google Scholar] [CrossRef]
- Gyawali, R.; Ibrahim, S.A. Natural products as antimicrobial agents. Food Control 2014, 46, 412–429. [Google Scholar] [CrossRef]
- Sikkema, J.; de Bont, J.A.; Poolman, B. Interactions of cyclic hydrocarbons with biological membranes. J. Biol. Chem. 1994, 269, 8022–8028. [Google Scholar] [PubMed]
- Abi-Ayad, M.; Abi-Ayad, F.Z.; Lazzouni, H.A.; Rebiahi, S.A. Antibacterial activity of Pinus halepensisessential oil from Algeria (Tlemcen). J. Nat. Prod. Plant Resour. 2011, 1, 33–36. [Google Scholar]
© 2019 by the authors. Licensee MDPI, Basel, Switzerland. This article is an open access article distributed under the terms and conditions of the Creative Commons Attribution (CC BY) license (http://creativecommons.org/licenses/by/4.0/).