The Combined Role of Retention Pattern and Post-Harvest Site Preparation in Regulating Plant Functional Diversity: A Case Study in Boreal Forest Ecosystems
Abstract
1. Introduction
2. Methods
2.1. Study Area
2.2. Data Collection
2.3. Data Analysis
2.3.1. Functional Diversity Calculations
2.3.2. Model Comparison
2.3.3. RLQ Analysis
3. Results
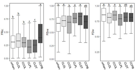
3.1. Variation of Functional Diversity Among Retention Patterns
3.2. Best Model for Functional Diversity and Its Effect
3.3. RLQ Analysis
4. Discussion
4.1. Variation in Functional Diversity among Retention Patterns
4.2. Best Model for Functional Diversity and Its Effect
4.3. Relationships between Site Preparation Techniques and Functional Trait Groups
4.4. The Role of Forest Attributes
5. Conclusions
Supplementary Materials
Author Contributions
Funding
Acknowledgments
Conflicts of Interest
References
- Boucher, D.; Gauthier, S.; Grandpré, L. De Structural changes in coniferous stands along a chronosequence and a productivity gradient in the northeastern boreal forest of Québec. Écoscience 2006, 13, 172–180. [Google Scholar] [CrossRef]
 - Chase, J.M. Drought mediates the importance of stochastic community assembly. Proc. Natl. Acad. Sci. USA 2007, 104, 17430–17434. [Google Scholar] [CrossRef] [PubMed]
 - Myers, J.A.; Chase, J.M.; Crandall, R.M.; Jiménez, I. Disturbance alters beta-diversity but not the relative importance of community assembly mechanisms. J. Ecol. 2015, 103, 1291–1299. [Google Scholar] [CrossRef]
 - Bergeron, Y.; Harvey, B.; Leduc, A.; Gauthier, S. Forest management guidelines based on natural disturbance dynamics: Stand- and forest-level considerations. For. Chron. 1999, 75, 49–54. [Google Scholar] [CrossRef]
 - Long, J.N. Emulating natural disturbance regimes as a basis for forest management: A North American view. For. Ecol. Manag. 2009, 257, 1868–1873. [Google Scholar] [CrossRef]
 - Paillet, Y.; Bergès, L.; HjÄltén, J.; Ódor, P.; Avon, C.; Bernhardt-Römermann, M.; Bijlsma, R.J.; De Bruyn, L.; Fuhr, M.; Grandin, U.; et al. Biodiversity differences between managed and unmanaged forests: Meta-analysis of species richness in Europe. Conserv. Biol. 2010, 24, 101–112. [Google Scholar] [CrossRef] [PubMed]
 - Fenton, N.J.; Imbeau, L.; Work, T.; Jacobs, J.; Bescond, H.; Drapeau, P.; Bergeron, Y. Lessons learned from 12 years of ecological research on partial cuts in black spruce forests of northwestern Québec. For. Chron. 2013, 89, 350–359. [Google Scholar] [CrossRef]
 - Gustafsson, L.; Baker, S.C.; Bauhus, J.; Beese, W.J.; Brodie, A.; Kouki, J.; Lindenmayer, D.B.; Lohmus, A.; Martinez Pastur, G.; Messier, C.; et al. Retention forestry to maintain multifunctional forests: A world perspective. Bioscience 2012, 62, 633–645. [Google Scholar] [CrossRef]
 - Hart, S.A.; Chen, H.Y.H. Fire, logging, and overstory affect understory abundance, diversity, and composition in boreal forest. Ecol. Monogr. 2008, 78, 123–140. [Google Scholar] [CrossRef]
 - Beaudet, M.; Harvey, B.D.; Messier, C.; Coates, K.D.; Poulin, J.; Kneeshaw, D.D.; Brais, S.; Bergeron, Y. Managing understory light conditions in boreal mixedwoods through variation in the intensity and spatial pattern of harvest: A modelling approach. For. Ecol. Manag. 2011, 261, 84–94. [Google Scholar] [CrossRef]
 - Bescond, H.; Fenton, N.J.; Bergeron, Y. Partial harvests in the boreal forest: Response of the understory vegetation five years after harvest. For. Chron. 2011, 87, 86–98. [Google Scholar] [CrossRef]
 - Halpern, C.B.; Halaj, J.; Evans, S.A.; Dovĉiak, M. Level and pattern of overstory retention interact to shape long-term responses of understories to timber harvest. Ecol. Appl. 2012, 22, 2049–2064. [Google Scholar] [CrossRef] [PubMed]
 - Bock, M.D.; Van Rees, K.C.J. Mechanical site preparation impacts on soil properties and vegetation communities in the Northwest Territories. Can. J. For. Res. 2002, 32, 1381–1392. [Google Scholar] [CrossRef]
 - Boateng, J.O.; Heineman, J.L.; Bedford, L.; Harper, G.J.; Linnell Nemec, A.F. Long-term effects of site preparation and postplanting vegetation control on Picea glauca survival, growth and predicted yield in boreal British Columbia. Scand. J. For. Res. 2009, 24, 111–129. [Google Scholar] [CrossRef]
 - Pidgen, K.; Mallik, A.U. Ecology of compounding disturbances: The effects of prescribed burning after clearcutting. Ecosystems 2013, 16, 170–181. [Google Scholar] [CrossRef]
 - Hämäläinen, A.; Kouki, J.; Lõhmus, P. The value of retained Scots pines and their dead wood legacies for lichen diversity in clear-cut forests: The effects of retention level and prescribed burning. For. Ecol. Manag. 2014, 324, 89–100. [Google Scholar] [CrossRef]
 - Decocq, G.; Aubert, M.; Dupont, F.; Alard, D.; Saguez, R.; Wattez-Franger, A.; De Foucault, B.; Delelis-Dusollier, A.; Bardat, J. Plant diversity in a managed temperate deciduous forest: Understorey response to two silvicultural systems. J. Appl. Ecol. 2004, 41, 1065–1079. [Google Scholar] [CrossRef]
 - Biswas, S.R.; Mallik, A.U. Disturbance effects on species diversity and functional diversity in riparian and upland plant communities. Ecology 2010, 91, 28–35. [Google Scholar] [CrossRef] [PubMed]
 - Prévosto, B.; Bousquet-Mélou, A.; Ripert, C.; Fernandez, C. Effects of different site preparation treatments on species diversity, composition, and plant traits in Pinus halepensis woodlands. Plant Ecol. 2011, 212, 627–638. [Google Scholar] [CrossRef]
 - Newmaster, S.G.; Parker, W.C.; Bell, F.W.; Paterson, J.M. Effects of forest floor disturbances by mechanical site preparation on floristic diversity in a central Ontario clearcut. For. Ecol. Manag. 2007, 246, 196–207. [Google Scholar] [CrossRef]
 - Hunter, M.L. Natural fire regimes as spatial models for managing boreal forests. Biol. Conserv. 1993, 65, 115–120. [Google Scholar] [CrossRef]
 - Bergeron, Y.; Gauthier, S.; Flannigan, M.; Kafka, V. Fire regimes at the transition between mixedwood and coniferous boreal forest in northwestern Quebec. Ecology 2004, 85, 1916–1932. [Google Scholar] [CrossRef]
 - Barbier, S.; Gosselin, F.; Balandier, P. Influence of tree species on understory vegetation diversity and mechanisms involved-A critical review for temperate and boreal forests. For. Ecol. Manag. 2008, 254, 1–15. [Google Scholar] [CrossRef]
 - Duguid, M.C.; Ashton, M.S. A meta-analysis of the effect of forest management for timber on understory plant species diversity in temperate forests. For. Ecol. Manag. 2013, 303, 81–90. [Google Scholar] [CrossRef]
 - Baeten, L.; Bauwens, B.; De Schrijver, A.; De Keersmaeker, L.; Van Calster, H.; Vandekerkhove, K.; Roelandt, B.; Beeckman, H.; Verheyen, K. Herb layer changes (1954-2000) related to the conversion of coppice-with-standards forest and soil acidification. Appl. Veg. Sci. 2009, 12, 187–197. [Google Scholar] [CrossRef]
 - Roberts, M.R. Response of the herbaceous layer to natural disturbance in North American forests. Can. J. Bot. 2004, 82, 1273–1283. [Google Scholar] [CrossRef]
 - Nilsson, M.C.; Wardle, D.A. Understory vegetation as a forest ecosystem driver: Evidence from the northern Swedish boreal forest. Front. Ecol. Environ. 2005, 3, 421–428. [Google Scholar] [CrossRef]
 - Wei, L.; Hulin, F.; Chevalier, R.; Archaux, F.; Gosselin, F. Is plant diversity on tractor trails more influenced by disturbance than by soil characteristics? For. Ecol. Manag. 2016, 379, 173–184. [Google Scholar] [CrossRef]
 - López-Marcos, D.; Turrión, M.-B.; Bravo, F.; Martínez-Ruiz, C. Understory response to overstory and soil gradients in mixed versus monospecific Mediterranean pine forests. Eur. J. Forest Res. 2019, 138, 939–955. [Google Scholar] [CrossRef]
 - Begley-Miller, D.R.; Diefenbach, D.R.; McDill, M.E.; Drohan, P.J.; Rosenberry, C.S.; Just Domoto, E.H. Soil chemistry, and not short-term (1–2 year) deer exclusion, explains understory plant occupancy in forests affected by acid deposition. AoB Plants 2019, 11, plz044. [Google Scholar] [CrossRef] [PubMed]
 - Hedwall, P.O.; Gustafsson, L.; Brunet, J.; Lindbladh, M.; Axelsson, A.L.; Strengbom, J. Half a century of multiple anthropogenic stressors has altered northern forest understory plant communities. Ecol. Appl. 2019, 29, e01874. [Google Scholar] [CrossRef] [PubMed]
 - Jean, M.; Lafleur, B.; Fenton, N.J.; Pare, D.; Bergeron, Y. Influence of fire and harvest severity on understory plant communities. For. Ecol. Manag. 2019, 436, 88–104. [Google Scholar] [CrossRef]
 - Gilliam, F.S. Effects of harvesting on herbaceous layer diversity of a central Appalachian hardwood forest in West Virginia, USA. For. Ecol. Manag. 2002, 155, 33–43. [Google Scholar] [CrossRef]
 - Aubin, I.; Venier, L.; Pearce, J.; Moretti, M. Can a trait-based multi-taxa approach improve our assessment of forest management impact on biodiversity? Biodivers. Conserv. 2013, 22, 2957–2975. [Google Scholar] [CrossRef]
 - Martin, A.R.; Isaac, M.E. REVIEW: Plant functional traits in agroecosystems: A blueprint for research. J. Appl. Ecol. 2015, 52, 1425–1435. [Google Scholar] [CrossRef]
 - Violle, C.; Navas, M.-L.; Vile, D.; Kazakou, E.; Fortunel, C.; Hummel, I.; Garnier, E. Let the concept of trait be functional! Oikos 2007, 116, 882–892. [Google Scholar] [CrossRef]
 - Aubin, I.; Munson, A.D.; Cardou, F.; Burton, P.J.; Isabel, N.; Pedlar, J.H.; Paquette, A.; Taylor, A.R.; Delagrange, S.; Kebli, H.; et al. Traits to stay, traits to move: A review of functional traits to assess sensitivity and adaptive capacity of temperate and boreal trees to climate change. Environ. Rev. 2016, 24, 164–186. [Google Scholar] [CrossRef]
 - Wei, L.; Villemey, A.; Hulin, F.; Bilger, I.; Yann, D.; Chevalier, R.; Archaux, F.; Gosselin, F. Plant diversity on skid trails in oak high forests: A matter of disturbance, micro-environmental conditions or forest age? For. Ecol. Manag. 2015, 338, 20–31. [Google Scholar] [CrossRef]
 - OMNR. Silviculture Guide to Managing for Black Spruce, Jack Pine, and Aspen on Boreal Ecosites in Ontario; Version 1.1; Ont. Min. Natur. Resour.; Queen’s Printer for Ontario: Toronto, ON, Canada, 1997.
 - Groot, A.; Adams, M.J. Long-term effects of peatland black spruce regeneration treatments in northeastern Ontario. Forest. Chron. 2005, 81, 42–49. [Google Scholar] [CrossRef]
 - Harvey, B.; Brais, S. Effects of mechanized careful logging on natural regeneration and vegetation competition in the southeastern Canadian boreal forest. Can. J. Forest Res. 2002, 32, 653–666. [Google Scholar] [CrossRef]
 - Vincent, J.-S.; Hardy, L. L’évolution et l’extension des lacs glaciaires Barlow et Ojibway en territoire québécois. Géographie Phys. Quat. 1977, 31, 357. [Google Scholar] [CrossRef]
 - Kpodo, E. Impacts des Conditions Pré-Récolte sur L’efficacité des Traitements Sylvicoles dans la Pessière à Mousse de la Ceinture D’argile du Québec. Ph.D. Thesis, Université du Québec à Montréal, Québec, QC, Canada, July 2014. [Google Scholar]
 - Lafleur, B.; Fenton, N.J.; Paré, D.; Simard, M.; Bergeron, Y. Contrasting effects of season and method of harvest on soil properties and the growth of black spruce regeneration in the boreal forested Peatlands of Eastern Canada. Silva Fenn. 2010, 44, 799–813. [Google Scholar] [CrossRef]
 - Renard, S.M.; Gauthier, S.; Fenton, N.J.; Lafleur, B.; Bergeron, Y. Prescribed burning after clearcut limits paludification in black spruce boreal forest. For. Ecol. Manag. 2016, 359, 147–155. [Google Scholar] [CrossRef]
 - Grandpré, L.; Gagnon, D.; Bergeron, Y. Changes in the understory of Canadian southern boreal forest after fire. J. Veg. Sci. 1993, 4, 803–810. [Google Scholar] [CrossRef]
 - Cornelissen, J.H.C.; Lavorel, S.; Garnier, E.; Díaz, S.; Buchmann, N.; Gurvich, D.E.; Reich, P.B.; ter Steege, H.; Morgan, H.D.; van der Heijden, M.G.A.; et al. A handbook of protocols for standardised and easy measurement of plant functional traits worldwide. Aust. J. Bot. 2003, 51, 335–380. [Google Scholar] [CrossRef]
 - Aubin, I.; Messier, C.; Gachet, S.; Lawrence, K.; McKenney, D.; Arseneault, A.; Bell, W.; De Grandpé, L.; Shipley, B.; Ricard, J.P.; et al. TOPIC-Traits of Plants in Canada; Natural Resources Canada, Canadian Forest Service: Sault Ste. Marie, ON, Canada, 2012. Available online: http://www.nrcan.gc.ca/forests/research-centres/glfc/20303 (accessed on 8 June 2019).
 - Casanoves, F.; Pla, L.; Di Rienzo, J.A.; Díaz, S.F. Diversity: A software package for the integrated analysis of functional diversity. Methods Ecol. Evol. 2011, 2, 233–237. [Google Scholar] [CrossRef]
 - Villéger, S.; Mason, N.W.H.; Mouillot, D. New multidimensional functional diversity indices for a multifaceted framework in functional ecology. Ecology 2008, 89, 2290–2301. [Google Scholar] [CrossRef] [PubMed]
 - Laliberté, E.; Legendre, P.; Shipley, B. FD: Measuring Functional Diversity from Multiple Traits, and Other Tools for Functional Ecology, R package version 1.0-12; 2014. Available online: https://cran.r-project.org/web/packages/FD/FD.pdf (accessed on 20 June 2019).
 - Pavoine, S.; Vallet, J.; Dufour, A.-B.; Gachet, S.; Daniel, H. On the challenge of treating various types of variables: Application for improving the measurement of functional diversity. Oikos 2009, 118, 391–402. [Google Scholar] [CrossRef]
 - Garnier, E.; Cortez, J.; Billès, G.; Navas, M.L.; Roumet, C.; Debussche, M.; Laurent, G.; Blanchard, A.; Aubry, D.; Bellmann, A.; et al. Plant functional markers capture ecosystem properties during secondary succession. Ecology 2004, 85, 2630–2637. [Google Scholar] [CrossRef]
 - Grime, J.P. Benefits of plant diversity to ecosystems: Immediate, filter and founder effects. J. Ecol. 1998, 86, 902–910. [Google Scholar] [CrossRef]
 - Bates, D.; Maechler, M. Matrix: Sparse and Dense Matrix Classes and Methods, R package version 1.1-4; 2014. Available online: http://mtweb.cs.ucl.ac.uk/mus/lib64/R/library/Matrix/html/00Index.html (accessed on 20 June 2019).
 - Mazerolle, M.J. AlCcmodavg: model selection and multi-model inference based on (Q)AIC(c), R package version 1.24; 2012. Available online: http://CRAN.R-project.org/package=AICcmodavg (accessed on 25 June 2019).
 - Dolédec, S.; Chessel, D.; ter Braak, C.J.F.; Champely, S. Matching species traits to environmental variables: A new three-table ordination method. Environ. Ecol. Stat. 1996, 3, 143–166. [Google Scholar] [CrossRef]
 - Van Buuren, S.; Groothuis-Oudshoorn, K. Mice: Multivariate imputation by chained equations in R. J. Stat. Softw. 2011, 45, 1–67. [Google Scholar] [CrossRef]
 - Wesuls, D.; Oldeland, J.; Dray, S. Disentangling plant trait responses to livestock grazing from spatio-temporal variation: The partial RLQ approach. J. Veg. Sci. 2012, 23, 98–113. [Google Scholar] [CrossRef]
 - Wienk, C.L.; Sieg, C.H.; McPherson, G.R. Evaluating the role of cutting treatments, fire and soil seed banks in an experimental framework in ponderosa pine forests of the Black Hills, South Dakota. For. Ecol. Manag. 2004, 192, 375–393. [Google Scholar] [CrossRef]
 - Metlen, K.L.; Fiedler, C.E. Restoration treatment effects on the understory of ponderosa pine/Douglas-fir forests in western Montana, USA. For. Ecol. Manag. 2006, 222, 355–369. [Google Scholar] [CrossRef]
 - Zenner, E.K.; Kabrick, J.M.; Jensen, R.G.; Peck, J.E.; Grabner, J.K. Responses of ground flora to a gradient of harvest intensity in the Missouri Ozarks. For. Ecol. Manag. 2006, 222, 326–334. [Google Scholar] [CrossRef]
 - Dodson, E.K.; Peterson, D.W.; Harrod, R.J. Understory vegetation response to thinning and burning restoration treatments in dry conifer forests of the eastern Cascades, USA. For. Ecol. Manag. 2008, 255, 3130–3140. [Google Scholar] [CrossRef]
 - Pakeman, R.J. Functional diversity indices reveal the impacts of land use intensification on plant community assembly. J. Ecol. 2011, 99, 1143–1151. [Google Scholar] [CrossRef]
 - Mason, N.W.H.; Mouillot, D.; Lee, W.G.; Wilson, J.B. Functional richness, functional evenness and functional divergence: The primary components of functional diversity. Oikos 2005, 111, 112–118. [Google Scholar] [CrossRef]
 - Harper, J.L. Population Biology of Plants; Academic Press: London, UK; New York, NY, USA, 1977. [Google Scholar]
 - Fahrig, L.; Coffin, D.P.; Lauenroth, W.K.; Shugart, H.H. The advantage of long-distance clonal spreading in highly disturbed habitats. Evol. Ecol. 1994, 8, 172–187. [Google Scholar] [CrossRef]
 - Stallins, J.A. Dune plant species diversity and function in two barrier island biogeomorphic systems. Plant Ecol. 2003, 165, 183–196. [Google Scholar] [CrossRef]
 - Noy-Meir, I.; Oron, T. Effects of grazing on geophytes in Mediterranean vegetation. J. Veg. Sci. 2001, 12, 749–760. [Google Scholar] [CrossRef]
 - Aubin, I.; Gachet, S.; Messier, C.; Bouchard, A. How resilient are northern hardwood forests to human disturbance? An evaluation using a plant functional group approach. Ecoscience 2007, 14, 259–271. [Google Scholar] [CrossRef]
 - Hermy, M.; Honnay, O.; Firbank, L.; Grashof-Bokdam, C.; Lawesson, J.E. An ecological comparison between ancient and other forest plant species of Europe, and the implications for forest conservation. Biol. Conserv. 1999, 91, 9–22. [Google Scholar] [CrossRef]
 - Brumelis, G.; Carleton, T.J. The vegetation of Post-Logged Black Spruce Lowlands in Central Canada. II. understorey vegetation. J. Appl. Ecol. 1989, 26, 321–339. [Google Scholar] [CrossRef]
 - Haeussler, S.; Bedford, L.; Leduc, A.; Bergeron, Y.; Kranabetter, J.M. Silvicultural disturbance severity and plant communities of the southern Canadian boreal forest. Silva Fenn. 2002, 36, 307–327. [Google Scholar] [CrossRef]
 - Escudero, A.; Nunez, Y.; Perez-Garcia, F. Is fire a selective force of seed size in pine species? Acta Oecol. 2000, 21, 245–256. [Google Scholar] [CrossRef]
 - Osazuwa-Peters, O.L.; Chapman, C.A.; Zanne, A.E. Selective logging: Does the imprint remain on tree structure and composition after 45 years? Conserv. Physiol. 2015, 3, cov012. [Google Scholar] [CrossRef] [PubMed]
 - Bartels, S.F.; Chen, H.Y.H.; Wulder, M.A.; White, J.C. Trends in post-disturbance recovery rates of Canada’s forests following wildfire and harvest. For. Ecol. Manag. 2016, 361, 194–207. [Google Scholar] [CrossRef]
 - Bermúdez, A.M.; Fernández-Palacios, J.M.; González-Mancebo, J.M.; Patiño, J.; Arévalo, J.R.; Otto, R.; Delgado, J.D. Floristic and structural recovery of a laurel forest community after clear-cutting: A 60 years chronosequence on La Palma (Canary Islands). Ann. For. Sci. 2007, 64, 109–119. [Google Scholar] [CrossRef][Green Version]
 




| Retention Pattern | Retention Pattern + Site Preparation | Code | Study | Stand Type | Site Number | Plot (400 m2) Number | Mean Time Since Fire When Harvested or When Sampled, (Years) | Mean Time Since Harvest When Sampled, (Years) | |
|---|---|---|---|---|---|---|---|---|---|
| Harvested | Careful logging (CL) | Careful logging only, no soil disturbance after CL | CLOL | Kpodo, 2014 [43] | bS | 3 | 38 | 92 | 2 | 
| Lafleur et al., 2010 [44], and Lafleur et al., unpublished | bS | 10 | 30 | >100 | 20 | ||||
| Bescond et al., 2011 [11] | bS, bS, jP or bS-wB | 11 | 150 | 5.5 | |||||
| Renard et al., 2016 [45] | bS | 5 | 12 | >120 | 29 | ||||
| Plow after careful logging | CLPL | Kpodo, 2014 [43] | bS | 3 | 43 | 92 | 2 | ||
| Disk trenching after careful logging | CLDT | 3 | 40 | 2 | |||||
| Clear cut (CC) | Clear cut only, no soil disturbance after CC | CCOL | Lafleur et al., 2010 [44] | bS | 20 | 56 | >100 | 20 | |
| Renard et al., 2016 [45] | bS | 5 | 17 | >120 | 24 | ||||
| Prescribed burning after clear cut | CCPB | Renard et al., 2016 [45] | bS | 3 | 17 | 21 | |||
| Unharvested | --- | --- | unharv | Kpodo, 2014 [43] | bS | 9 | 120 | 92 | --- | 
| Bescond et al., 2011 [11] | bS, jP or bS-wB | 11 | 152 | >100 | |||||
| Grandpré et al., 1993 [46] | bS-bF-wB | 10 | 81 | 123, 45–250 | |||||
| Higelin, unpublished | bS | 8 | 39 | 185, 50–350 | 
| Variable | Levels | Description | Major Environmental Gradient | 
|---|---|---|---|
| Retention pattern | Unharv | Pre-harvested or unharvested forests | Light availability from low to high | 
| CL | Harvest of commercial trees with retention of non-commercial trees, and with the protection of regeneration and soils | ||
| CC | Clear cut | ||
| Combined disturbance of retention pattern and site preparation | CLOL | Careful logging only, no soil disturbance after CL | Soil disturbance degree from low to high | 
| CCOL | Clear cut only, no soil disturbance after CC | ||
| CLPL | Plowing after CL, to incorporate the organic layer into the underlying mineral soil | ||
| CLDT | Disk trenching after CL, to produce three microsites: trench, berm, and hinge | ||
| CCPB | Prescribed burning after CC, to emulate wildfire in an ecosystem and to prepare microsites for tree planting | ||
| Stand type (STP) | bS | Black spruce-dominated forests | |
| Mixed | Two mixed forests, 1 bS.bF.wB: black spruce, balsam fir, and white birch; 2 bS.wP.wB: black spruce, white pine, and white birch | ||
| Time since fire (TSF) | ≤100 yr | Time since fire when harvested, or when sampled for unharvested | |
| >100 yr | |||
| Time since harvest (TSH) | ≤15 yr | Time since harvest when sampled | |
| >15 yr | 
| Category | Trait | Group Code | Description | Importance | 
|---|---|---|---|---|
| Morphology | Raunkiaer life form | Rauk.cha | Chamaephyte, bud between 1 mm and 25 cm from the ground | Bud position in relation to forest soil surface affects plant species’ ability to survive disturbance | 
| Rauk.geo | Geophyte, bud is located in the ground | |||
| Rauk.hem | Hemicryptophyte, bud on the surface of the ground | |||
| Rauk.mcpha | Micro and nano phanerophyte, bud between 25 cm and 8 m from the ground | |||
| Rauk.mgpha | Mega and meso phanerophyte, bud ≥8 m from ground | |||
| Lateral extension | Clone.compact | Clonal compact, <10 cm, includes caespitose, caespitose with minimal horizontal spread | Colonize available space in disturbed habitat | |
| Clone.phalanx | Clonal phalanx, 10 to 25 cm, spreads in multiple simultaneous directions | |||
| Clone.guerilla | Clonal guerilla, >25 cm, mostly rapid unilateral spread | |||
| Vegetative propagation | Rhizome | Rhizome, suckering root or stolon, runner | Recolonization from surviving buried structures | |
| Non-rhizome | The Others, mainly collar sprout, and layering | |||
| Maximum height | Height, numeric, cm | The shortest distance between the upper boundary of the main photosynthetic tissues on a plant and the ground level | Competitive ability | |
| Regeneration | Mode of reproduction | Repro.veg | Mainly vegetative propagation | Adaptability to transient, unpredictable, and disturbed habitat | 
| Repro.mse | Non-clonal, seeds only or mostly by seeds, vegetative propagation possible | |||
| Flowering phenology | Flower.sp | The presence of flower in spring | The periodicity of flowering is affected by management disturbance | |
| Flower.su | The presence of flower in summer or in early fall | |||
| Seed bank persistence | Seed.short | Short viability, ≤1 year | Ensuring population persistence in disturbed habitats | |
| Seed.semi-permanent | Semipermanent seed bank, >1–5 years | |||
| Seed.permanent | Bank of seeds, >5 years | |||
| Seed weight | Seed.weight, numeric, mg | The oven-dry mass of an average seed of a species | Survive and establish in the face of environmental hazards | |
| Resource utilization | Humidity preference | Humid | Plant species prefer humid or humid–mesic habitat | Competitive ability | 
| Xeric | Habitat xeric or xeric–mesic | |||
| Broad.humid | Habitat from humid to xeric | |||
| Light requirement | Shad.int | Shade intolerant, needs >6 hours of direct sunlight at mid-summer | Competitive ability | |
| Shad.mid | Mid tolerant, 2–5 hours of direct sunlight | |||
| Shad.tol | Shade tolerant, <2 hours of direct sunlight | 
| Model | K | AICc | Delta_AICc | |
|---|---|---|---|---|
| FRic | Combined disturbance of retention pattern and site preparation | 9 | 260.50 | 0.00 | 
| Retention pattern | 6 | 285.08 | 24.58 | |
| Time since harvest | 5 | 302.28 | 41.78 | |
| Time since fire | 5 | 342.92 | 82.42 | |
| Null model | 4 | 348.13 | 87.63 | |
| Stand type | 5 | 349.76 | 89.26 | |
| FEve | Combined disturbance of retention pattern and site preparation | 9 | 350.48 | 0.00 | 
| Stand type | 5 | 361.28 | 10.80 | |
| Retention pattern | 6 | 372.46 | 21.98 | |
| Time since harvest | 5 | 372.53 | 22.04 | |
| Null model | 4 | 380.08 | 29.6 | |
| Time since fire | 5 | 381.69 | 31.21 | |
| FDiv | Combined disturbance of retention pattern and site preparation | 9 | 428.72 | 0.00 | 
| Retention pattern | 6 | 439.34 | 10.62 | |
| Time since harvest | 5 | 470.84 | 42.12 | |
| Time since fire | 5 | 485.98 | 57.25 | |
| Null model | 4 | 495.36 | 66.64 | |
| Stand type | 5 | 497.37 | 68.64 | 
| Axis 1 | Axis 2 | ||||
|---|---|---|---|---|---|
| Eigenvalues | % | Eigenvalues | % | Cum.% | |
| Basic RLQ | 0.24 | 75.40 | 0.04 | 17.87 | 93.27 | 
| RLQcovSTP | 0.03 | 63.30 | 0.02 | 10.52 | 73.82 | 
| RLQcovTSF | 0.04 | 72.50 | 0.01 | 17.51 | 90.01 | 
| RLQcovTSH | 0.02 | 69.42 | 0.01 | 18.92 | 88.34 | 
© 2019 by the authors. Licensee MDPI, Basel, Switzerland. This article is an open access article distributed under the terms and conditions of the Creative Commons Attribution (CC BY) license (http://creativecommons.org/licenses/by/4.0/).
Share and Cite
Wei, L.; Fenton, N.J.; Lafleur, B.; Bergeron, Y. The Combined Role of Retention Pattern and Post-Harvest Site Preparation in Regulating Plant Functional Diversity: A Case Study in Boreal Forest Ecosystems. Forests 2019, 10, 1006. https://doi.org/10.3390/f10111006
Wei L, Fenton NJ, Lafleur B, Bergeron Y. The Combined Role of Retention Pattern and Post-Harvest Site Preparation in Regulating Plant Functional Diversity: A Case Study in Boreal Forest Ecosystems. Forests. 2019; 10(11):1006. https://doi.org/10.3390/f10111006
Chicago/Turabian StyleWei, Liping, Nicole J. Fenton, Benoit Lafleur, and Yves Bergeron. 2019. "The Combined Role of Retention Pattern and Post-Harvest Site Preparation in Regulating Plant Functional Diversity: A Case Study in Boreal Forest Ecosystems" Forests 10, no. 11: 1006. https://doi.org/10.3390/f10111006
APA StyleWei, L., Fenton, N. J., Lafleur, B., & Bergeron, Y. (2019). The Combined Role of Retention Pattern and Post-Harvest Site Preparation in Regulating Plant Functional Diversity: A Case Study in Boreal Forest Ecosystems. Forests, 10(11), 1006. https://doi.org/10.3390/f10111006
        