Impact of Common Mistletoe (Viscum album L.) on Scots Pine Forests—A Call for Action
Abstract
1. Is Mistletoe a Problem in The Forests?
- the largest area of affected stands occurs in the south of the country, with affected areas running in a band towards the north-east, in the direction of prevailing warm winds;
- the distribution of mistletoe in Scots pine stands occurs mostly in areas with the highest percentage increase in spring air temperature and decrease in precipitation; presumably, these conditions increase stress in trees which favors Viscum colonization and creates tree crown conditions conducive for birds to act as vectors of seeds.
2. Viscum Biology and Host Impact
3. Potential Biocontrol Agents
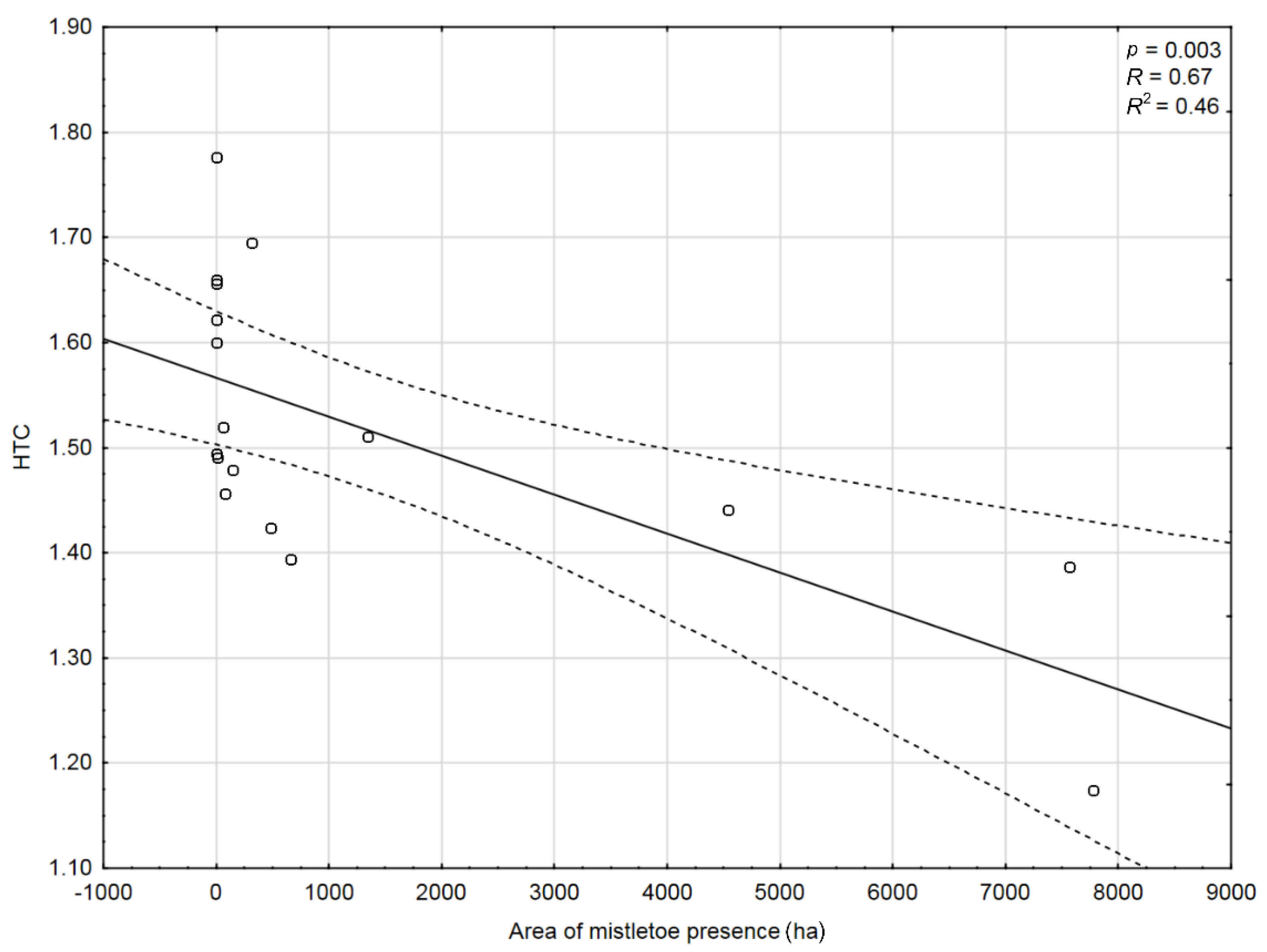
4. Tree Growth and Economic Losses Caused by Mistletoe and Possibilities of Prevention and Control
5. Perspectives
6. Conclusions
- We have proved that the damage caused by mistletoe have become an increasingly serious problem in pine stands.
- Mistletoe in Scots pine stands occurs mostly in areas with the highest percentage increase in spring air temperature and decrease in precipitation.
- Mistletoe infestation of pines leads to a decrease in growth and a deterioration in the health condition of trees.
- There are currently no effective and cheap methods of controlling mistletoe on an economic scale.
- Climate change can increase the occurrence of mistletoe in pine stands.
Author Contributions
Funding
Acknowledgments
Conflicts of Interest
References
- Matula, R.; Svátek, M.; Pálková, M.; Volařík, D.; Vrška, T. Mistletoe infection in an oak forest is influenced by competition and host size. PLoS ONE 2015, 10, e0127055. [Google Scholar] [CrossRef] [PubMed]
- Kołodziejek, J.; Patykowski, J.; Kołodziejek, R. Distribution, frequency and host patterns of European mistletoe (Viscum album subsp. album) in the major city of Lodz, Poland. Biologia 2013, 68, 55–64. [Google Scholar]
- Procházka, F. A centre of occurrence of Viscum album subsp album in eastern Bohemia and an overview of the diversity of its host plants in the Czech Republic. Preslia 2004, 76, 349–359. [Google Scholar]
- Barney, C.W.; Hawksworth, F.G.; Geils, B.W. Hosts of Viscum album. For. Pathol. 1998, 28, 187–208. [Google Scholar] [CrossRef]
- Hawksworth, F.G.; Wiens, D. Dwarf Mistletoe: Biology, Pathology and Systematics; Agricultural handbook 709; USA Forest Service: Washington, DC, USA, 1996.
- Hawksworth, F.G. Mistletoes as forest parasites. In The Biology of Mistletoes; Calder, M., Bernhardt, P., Eds.; Academic Press: Sydney, NSW, Australia, 1983; pp. 317–333. [Google Scholar]
- Mawa, S.; Husain, K.; Jantan, I. Loranthus micranthus Linn: Biological Activities and Phytochemistry. Evid. Based Complement. Altern. Med. 2013, 2013. [Google Scholar] [CrossRef]
- Scharpf, R.F. Seed Viability, Germination, and Radicle Growth of Dwarf; Research Paper PSW-59; USDA Forest Service of California: Berkeley, CA, USA, 1970. [Google Scholar]
- Kim, C.-S.; Kim, S.-Y.; Sun, B.-Y.; Yi, J.S. A review of the taxonomic and ecological characteristics of Korean mistletoe types (Viscum, Korthalsella, Loranthus and Taxillus). Korean J. Plant Taxon. 2013, 43, 81–89. [Google Scholar] [CrossRef]
- Amico, G.; Aizen, M.A. Mistletoe seed dispersal by a marsupial. Nature 2000, 408, 929–930. [Google Scholar] [CrossRef]
- Zuber, D. Viscum album L. Flora 2004, 199, 181–203. [Google Scholar] [CrossRef]
- Plagnat, F. The Fir Mistletoe, Viscum album f. sp. abietis. Ann. Ec Eaux Nancy 1950, 12, 155–231. [Google Scholar]
- Böhling, N.; Greuter, W.; Raus, T.; Snogerup, B.; Snogerup, S. Notes on the Cretan mistletoe, Viscum album subsp. creticum subsp. nova (Loranthaceae/Viscaceae). Isr. J. Plant Sci. 2002, 50, 77–84. [Google Scholar]
- Michel, A.; Seidling, W.; Prescher, A.-K. Forest Condition in Europe: 2018. Technical Report of ICP Forests. Report under the UNECE Convention on Long-Range Transboundary Air Pollution (Air Convention); BFW-Dokume: Vienna, Austria, 2018. [Google Scholar]
- Plagnat, F. Le gui du sapin. In Annales de l’école nationale des eaux et forêts et de la station de recherches et expériences; ENEF, Ecole nationale des eaux et forêts: Nancy, France, 1950; Volume 7, pp. 158–229. [Google Scholar]
- Plagnat, F.; Brossier, J. Silver fir stands with mistletoe. Silviculture of infested fir stands. Tentative conclusions. Thoughts on fir mistletoe. Rev. For. Fr. 1969, 26, 553–561. [Google Scholar] [CrossRef]
- Hofstetter, M. Über die Verbreitung der Mistel in der Schweiz. Schweiz. Z. For. 1988, 139, 97–127. [Google Scholar]
- Noetzli, K.P.; Sieber, T.N. Impact of population dynamics of white mistletoe (Viscum album ssp. abietis) on European silver fir (Abies alba). Ann. For. Sci. 2003, 60, 773–779. [Google Scholar] [CrossRef]
- Idžojtić, M.; Pernar, R.; Glavaš, M.; Zebec, M.; Diminic, D. The incidence of mistletoe (Viscum album ssp. abietis) on silver fir (Abies alba) in Croatia. Biologia 2008, 63, 81–85. [Google Scholar]
- Oliva, J.; Colinas, C. Decline of silver fir (Abies alba Mill.) stands in the Spanish Pyrenees: Role of management, historic dynamics and pathogens. For. Ecol. Manag. 2007, 252, 84–97. [Google Scholar] [CrossRef]
- Barbu, C. The incidence and distribution of white mistletoe (Viscum album ssp. abietis) on Silver fir (Abies alba Mill.) stands from Eastern Carpathians. Ann. For. Res. 2010, 53, 27–36. [Google Scholar]
- Tsopelas, P.; Angelopoulos, A.; Economou, A.; Soulioti, N. Mistletoe (Viscum album) in the fir forest of Mount Parnis, Greece. For. Ecol. Manag. 2004, 202, 59–65. [Google Scholar] [CrossRef]
- Peter-Contesse, J. Influence du gui sur la production du bois de service. J. For. Suisse 1937, 88, 145–153. [Google Scholar]
- Stopp, F. Unsere Misteln Our Mistletoe; A. Ziemsen: Wittenberg-Lutherstadt, Germany, 1961. [Google Scholar]
- Coaz, J. Über die Verbreitung der Mistel (Viscum album L.) in der Schweiz. Naturwiss Z Forst Landwirtsch 1918, 16, 138–195. [Google Scholar]
- Nierhaus-Wunderwald, D.; Lawrenz, P. Zur Biologie der Mistel; Merkblatt Prax; WSL/FNP: Birmensdorf, Switzerland, 1997. [Google Scholar]
- Dobbertin, M.; Hilker, N.; Rebetez, M.; Zimmermann, N.E.; Wohlgemuth, T.; Rigling, A. The upward shift in altitude of pine mistletoe (Viscum album ssp. austriacum) in Switzerland—The result of climate warming? Int. J. Biometeorol. 2005, 50, 40–47. [Google Scholar] [CrossRef]
- Iversen, J. Viscum, Hedera and Ilex as Climate Indicators. Geol. Fören. i Stock. Förh. 1944, 66, 463–483. [Google Scholar] [CrossRef]
- MLU Waldzustandsbericht. Nordwestdeutsche Forstliche Versuchsanstalt; Sachsen-Anhalt, M., Ed.; Ministerium für Ländliche Entwicklung, Umwelt und Landwirtschaft (MLUL) des Landes Brandenburg Landesbetrieb Forst Brandenburg: Göttingen, Germany, 2015; p. 43. [Google Scholar]
- Short-term forecast of the occurrence of major pests and infectious diseases of forest trees in 2019; Jabłoński, T., Ed.; Analysis a.; Forest Research Institute: Sekocin Stary, Poland, 2019. [Google Scholar]
- Stypinski, P.T. Biology and ecology of the European mistletoe (Viscum album, Viscaceae) in Poland. Fragm. Flor. Geobot. Ser. Pol. 1997, 1, 3–115. [Google Scholar]
- Figarski, T. Selected aspects of wintering of Mistle Thrush Turdus viscivorus in the Kozienice Forest. Kulon 2019, 14, 1–7. [Google Scholar]
- Frochot, H.; Sallé, G. Modalités de Dissémination et D’implantation du Gui; Agro Paris Tech: Nancy, France, 1980. [Google Scholar]
- Wangerin, W. Loranthaceae, W. Lebensgeschichte der Blütenpflanzen Mitteleuropas; Kirchner, O., Loew, E., Schroeter, C., Eds.; Ulmer: Stuttgart, Germany, 1937; Volume 2, pp. 953–1146. [Google Scholar]
- Sayre, R.M. Factors Affecting the Germination of Seeds of the Dwarf Mistletoe Arceuthobium Campylopodum f. Typicum (Engelm.) Gill; Oregon State College: Corvallis, OR, USA, 1954. [Google Scholar]
- Vallauri, D. Dynamique parasitaire de Viscum album L. sur pin noir dans le bassin du Saignon (préalpes françaises du sud). Ann. Sci. For. 1998, 55, 823–835. [Google Scholar] [CrossRef]
- Sanguesa-Barreda, G.; Linares, J.C.; Camarero, J.J. Mistletoe effects on Scots pine decline following drought events: Insights from within-tree spatial patterns, growth and carbohydrates. Tree Physiol. 2012, 32, 585–598. [Google Scholar] [CrossRef] [PubMed]
- Troll, W. Vergleichende Morphologie der Höheren Pflanzen; Borntraeger: Berlin, Germany, 1941. [Google Scholar]
- Salle, G. Germination and Establishment of Viscum album L. In The Biology of Mistletoes; Calder, M., Bernhardt, P., Eds.; Academic Press: Sydney, NSW, Australia, 1983; pp. 145–159. [Google Scholar]
- Thoday, D. The haustorial system of Viscum album. J. Exp. Bot. 1951, 2, 1–19. [Google Scholar] [CrossRef]
- Luther, P.; Becker, H. Die Mistel-Botanik, Lektine, Medizinische Anwendung.; Verlag Volk und Gesundheit: Berlin, Germany, 1986. [Google Scholar]
- Aparicio, A.; Gallego, M.J.; Vázquez, C. Reproductive Biology of Viscum cruciatum (Viscaceae) in Southern Spain. Int. J. Plant Sci. 1995, 156, 42–49. [Google Scholar] [CrossRef]
- Wiens, D.; Nickrent, D.L.; Shaw, C.G.; Hawksworth, F.G.; Hennon, P.E.; King, E.J. Embryonic and host-associated skewed adult sex ratios in dwarf mistletoe. Hered. (Edinb.) 1996, 77, 55–63. [Google Scholar] [CrossRef][Green Version]
- Heinricher, E. Wie erfolgt die Bestäubung der Mistel: Scheiden ihre Blüten wirklich Nektar ab? Biol. Zbl. 1920, 40, 514–527. [Google Scholar]
- Walldén, B. Misteln vid dess nordgräns. Sv. Bot. Tidskr. 1961, 55, 427–549. [Google Scholar]
- Salle, G. Étude autoradiographique et cytophotométrique de la synthèse du DNA au cours de la germination du Viscum album L. Phytomorphology 1976, 26, 183–189. [Google Scholar]
- Tubeuf, K.; Neckel, G.; Marzell, H. Monographie der Mistel; R. Oldenbourg: München, Germany, 1923. [Google Scholar]
- Lamont, B. Germination of mistletoes. In The Biology of Mistletoes; Calder, M., Bernhardt, P., Eds.; Academic Press: Sydney, NSW, Australia, 1983; pp. 129–143. [Google Scholar]
- Weber, H.C. Untersuchungen zur Entwicklungsweise der Laubholzmistel Viscum album L.(Viscaceae) und über Zuwachsraten während ihrer ersten Stadien. Beitr. Biol. Pflanz 1993, 67, 319–331. [Google Scholar]
- Weber, H.C. Parasitismus von Blütenpflanzen; Wissensch Buchgesellschaft: Darmstadt, Germany, 1993. [Google Scholar]
- Fischer, J.T. Water relations of mistletoes and their hosts. In The Biology of Mistletoes; Calder, M., Bernhardt, P., Eds.; Academic Press: San Diego, CA, USA, 1983; pp. 161–183. [Google Scholar]
- Pilichowski, S.; Filip, R.; Kościelska, A.; Żyźniewska, A.; Iszkuło, G. Influence of Viscum album ssp. austriacum (Wiesb.) Vollm. on tree radial growth of Pinus sylvestris L. Sylwan 2018, 162, 452–459. [Google Scholar]
- Jasiczek, N.; Giertych, M.J.; Suszka, J. Influence of mistletoe (Viscum album) on the quality of Scots pine (Pinus sylvestris) seeds. Sylwan 2017, 161, 558–564. [Google Scholar]
- Mathiasen, R.L.; Nickrent, D.L.; Shaw, D.C.; Watson, D.M. Mistletoes: Pathology, Systematics, Ecology, and Management. Plant Dis. 2008, 92, 988–1006. [Google Scholar] [CrossRef] [PubMed]
- Flexas, J.; Medrano, H. Energy dissipation in C3 plants under drought. Funct. Plant Biol. 2002, 29, 1209–1215. [Google Scholar] [CrossRef]
- Bilgili, E.; Ozturk, M.; Coskuner, K.A.; Baysal, I.; Serdar, B.; Yavuz, H.; Eroglu, M.; Usta, Y. Quantifying the effect of pine mistletoe on the growth of Scots pine. For. Pathol. 2018, 48, e12435. [Google Scholar] [CrossRef]
- Mutlu, S.; Osma, E.; Ilhan, V.; Turkoglu, H.I.; Atici, O. Mistletoe (Viscum album) reduces the growth of the Scots pine by accumulating essential nutrient elements in its structure as a trap. Trees 2016, 30, 815–824. [Google Scholar] [CrossRef]
- Rigling, A.; Eilmann, B.; Koechli, R.; Dobbertin, M. Mistletoe-induced crown degradation in Scots pine in a xeric environment. Tree Physiol. 2010, 30, 845–852. [Google Scholar] [CrossRef]
- Meinzer, F.C.; Woodruff, D.R.; Shaw, D.C. Integrated responses of hydraulic architecture, water and carbon relations of western hemlock to dwarf mistletoe infection. Plant. Cell Environ. 2004, 27, 937–946. [Google Scholar] [CrossRef]
- Zweifel, R.; Bangerter, S.; Rigling, A.; Sterck, F.J. Pine and mistletoes: How to live with a leak in the water flow and storage system? J. Exp. Bot. 2012, 63, 2565–2578. [Google Scholar] [CrossRef] [PubMed]
- Sanders, I.R.; Koide, R.T.; Shumway, D.L. Mycorrhizal stimulation of plant parasitism. Can. J. Bot. 1993, 71, 1143–1146. [Google Scholar] [CrossRef]
- Cullings, K.; Raleigh, C.; Vogler, D.R. Effects of severe dwarf mistletoe infection on the ectomycorrhizal community of a Pinus contorta stand in Yellowstone Park. Can. J. Bot. 2005, 83, 1174–1180. [Google Scholar] [CrossRef]
- Gehring, C.A.; Whitham, T.G. Reduced mycorrhizae on Juniperus monosperma with mistletoe: The influence of environmental stress and tree gender on a plant parasite and a plant-fungal mutualism. Oecologia 1992, 89, 298–303. [Google Scholar] [CrossRef]
- Gill, L.S.; Hawksworth, F.G. The Mistletoes: A Literature Review; US Dept. of Agriculture: Washington, DC, USA, 1961.
- Gea-Izquierdo, G.; Férriz, M.; García-Garrido, S.; Aguín, O.; Elvira-Recuenco, M.; Hernandez-Escribano, L.; Martin-Benito, D.; Raposo, R. Synergistic abiotic and biotic stressors explain widespread decline of Pinus pinaster in a mixed forest. Sci. Total Environ. 2019, 685, 963–975. [Google Scholar] [CrossRef] [PubMed]
- Galiano, L.; Martínez-Vilalta, J.; Lloret, F. Carbon reserves and canopy defoliation determine the recovery of Scots pine 4-year after a drought episode. N. Phytol. 2011, 190, 750–759. [Google Scholar] [CrossRef]
- Bale, J.S.; van Lenteren, J.C.; Bigler, F. Biological control and sustainable food production. Philos. Trans. R. Soc. Lond. B Biol. Sci. 2008, 363, 761–776. [Google Scholar] [CrossRef]
- DeBach, P. Biological Control of Insect Pests and Weeds; Chapman & Hall: London, UK, 1964. [Google Scholar]
- Brandenburger, W. Parasitische Pilze an Gefäßpflanzen in Europa; Fischer: Stuttgart, NY, USA, 1985; ISBN 343730433X. [Google Scholar]
- Stojanović, S. The investigation of Sphaeropsis visci (Salm.) Sacc. and Colletotrichum gloeosporoides (Sacc.) Penz., parasite on European mistletoe (Viscum album ssp. typicum Beck). Zašt. Bilja 1989, 40, 493–503. [Google Scholar]
- Fischl, G. The leaf-spot disease of mistletoe (Viscum album L.). Novenyvedelem 1996, 32, 181–183. [Google Scholar]
- Geza, F.; Laszlo, J.; Ildiko, V.; Szilvia, P. Parasitic fungi of European mistletoe (Viscum album L.). Növényvédelem 2009, 45, 178–183. [Google Scholar]
- Karadžić, D.; Lazarev, V.S.; Milenković, M. The most significant parasitic and saprophytic fungi on common mistletoe (Viscum album L) and their potential application in biocontrol. Glas. Šumar. Fak. 2004, 89, 115–126. [Google Scholar] [CrossRef]
- Varga, I.; Taller, J.; Baltazár, T.; Hyvönen, J.; Poczai, P. Leaf-spot disease on European mistletoe (Viscum album) caused by Phaeobotryosphaeria visci: A potential candidate for biological control. Biotechnol. Lett. 2012, 34, 1059–1065. [Google Scholar] [CrossRef] [PubMed]
- Kotan, R.; Okutucu, A.; Ala Görmez, A.; Karagoz, K.; Dadasoglu, F.; Karaman, I.; Hasanekoglu, I.; Kordali, Ş. Parasitic Bacteria and Fungi on Common Mistletoe (Viscum album L.) and Their Potential Application in Biocontrol. J. Phytopathol. 2013, 161, 165–171. [Google Scholar] [CrossRef]
- Holtorf, S.; Ludwig-Müller, J.; Apel, K.; Bohlmann, H. High-level expression of a viscotoxin in Arabidopsis thaliana gives enhanced resistance against Plasmodiophora brassicae. Plant Mol. Biol. 1998, 36, 673–680. [Google Scholar] [CrossRef] [PubMed]
- Jendek, E.; Poláková, J. Host Plants of World Agrilus (Coleoptera, Buprestidae). A Critical Review; Springer: Berlin/Heidelberg, Germany; New York, NY, USA; Dordrecht, The Netherlands; London, UK, 2014; ISBN 978-3-319-08410-7. [Google Scholar]
- Królik, R. Agrilus kutahyanus n. sp. from Turkey (Coleoptera: Buprestidae). Genus 2002, 13, 25–31. [Google Scholar]
- Grzywocz, J.; Królik, R.; Szołtys, H. Gastrallus knizeki Zahradnik, 1996—New for the Polish entomofauna deathwatch beetle (Coleoptera: Ptinidae). Acta Entomol. Silesiana 2017, 25, 1–2. [Google Scholar]
- Wanat, M.; Jałoszyński, P.; Miłkowski, M.; Ruta, R.; Sawoniewicz, J. New records of occurrence of fungus weevils (Coleoptera: Anthribidae) in Poland. Wiadomości Entomol. 2011, 30, 69–83. [Google Scholar]
- Shaw, M.R.; Mendel, H. A rearing record of Triaspis podlussanyi Papp (Hymenoptera: Braconidae, Brachistinae), new to Britain. Entomol. Mon. Mag. 2016, 152, 137–138. [Google Scholar]
- Szczepański, W. Longhorn Beetles (Coleoptera: Cerambycidae) of Selected Natura 2000 Sites Along the Upper Reaches of Odra River; University of Silesia in Katowice: Katowice, Poland, 2017. [Google Scholar]
- Zieliński, S.; Graczyk, D. The mistletoe Viscum album L.—A new host plant for larvae Oplosia fennica (Payk.) (Coleoptera: Cerambycidae). Prz. Przyr. 2003, 14, 174–175. [Google Scholar]
- Mokrzycki, T.; Hilszczański, J.; Borowski, J.; Cieślak, R.; Mazur, A.; Miłkowski, M.; Szołtys, H. Faunistic review of Polish Platypodinae and Scolytinae (Coleoptera: Curculionidae). Pol. J. Entomol. Pismo Entomol. 2011, 80, 343–364. [Google Scholar] [CrossRef]
- Holecová, M.; Hollá, K.; Šebestová, M. Poznámky k rozšíreniu Ixapion variegatum (Wencker, 1864) (Coleoptera, Curculionoidea, Apionidae) na území Borskej nížiny (Jz Slovensko). Folia Faun. Slov. 2016, 21, 9–12. [Google Scholar]
- Laštůvka, Z. Morphology and biology of clear wing moths Synanthedon cephiformis (O.) and Synanthedon loranthi (Kr.) (Lepidoptera, Sesiidae). Acta Univ. Agric. Fac. Agron. 1983, 31, 143–158. [Google Scholar]
- Laštůvka, Z.; Laštůvka, A. The Sesiidae of Europe; Apollo Books Aps: Stenstrup, Denmark, 2001; ISBN 8788757528. [Google Scholar]
- Bella, S.; Bartsch, D.; Laštůvka, Z. Bibliographic summary and new records of the Brachodidae and Sesiidae of Sicily, with an updated list and some comments on the distribution of Italian species (Lepidoptera, Cossoidea). Spixiana 2017, 40, 139–156. [Google Scholar]
- Reichholf, J.H. Aspekte der Biologie und Fragen zur Verbreitung des Mistelwicklers Celypha woodiana Barrett, 1882, in Bayern. Atalanta 2008, 39, 379–383. [Google Scholar]
- Buszko, J.; Nowacki, J. A Distributional Checklist of the Lepidoptera of Poland. Pol. Entomol. Monogr. 2017, 13, 1–222. [Google Scholar]
- Senna, P. New localities of Ditula angustiorana (Haworth, 1811) (Lepidoptera: Tortricidae) and first records of males of this species in Poland. Wiadomości Entomol. 2018, 37, 125–126. [Google Scholar]
- Briggs, J. Mistletoe (Viscum album): A brief review of its local status with recent observations on its insects associations and conservation problems. Proc. Cotteswold Nat. Fld Club 2011, 45, 181–193. [Google Scholar]
- Lazaro-Gonzalez, A.; Hodar, J.A.; Zamora, R. Do the arthropod communities on a parasitic plant and its hosts differ? Eur. J. Entomol. 2017, 114, 215–221. [Google Scholar] [CrossRef]
- Mutlu, S.; Ilhan, V.; Turkoglu, H.I. Mistletoe (Viscum album) infestation in the Scots pine stimulates drought-dependent oxidative damage in summer. Tree Physiol. 2016, 36, 479–489. [Google Scholar] [CrossRef]
- Hosseini, S.M.; Kartoolinejad, D.; Mirnia, S.K.; Tabibzadeh, Z.; Akbarinia, M.; Shayanmehr, F. The effects of Viscum album L. on foliar weight and nutrients content of host trees in Caspian forests (Iran). Pol. J. Ecol. 2007, 55, 579–583. [Google Scholar]
- Catal, Y.; Carus, S. Effect of pine mistletoe on radial growth of crimean pine (Pinus nigra) in Turkey. J. Environ. Biol. 2011, 32, 263–270. [Google Scholar] [PubMed]
- Barbu, C. Impact of mistletoe attack (Viscum album ssp. abietis) on the radial growth of silver fir. A case study in the North of Eastern Carpathians. Ann. For. Res. 2009, 52, 89–96. [Google Scholar]
- Kollas, C.; Gutsch, M.; Hommel, R.; Lasch-Born, P.; Suckow, F. Mistletoe-induced growth reductions at the forest stand scale. Tree Physiol. 2018, 38, 735–744. [Google Scholar] [CrossRef] [PubMed]
- Yan, C.-F.; Gessler, A.; Rigling, A.; Dobbertin, M.; Han, X.-G.; Li, M.-H. Effects of mistletoe removal on growth, N and C reserves, and carbon and oxygen isotope composition in Scots pine hosts. Tree Physiol. 2016, 36, 562–575. [Google Scholar] [CrossRef] [PubMed]
- Sangüesa-Barreda, G.; Linares, J.C.; Julio Camarero, J. Drought and mistletoe reduce growth and water-use efficiency of Scots pine. For. Ecol. Manag. 2013, 296, 64–73. [Google Scholar] [CrossRef]
- Popp, M.; Richter, A. Ecophysiology of Xylem-Tapping Mistletoes. In Progress in Botany: Genetics Cell Biology and Physiology Ecology and Vegetation Science; Behnke, H.-D., Esser, K., Kadereit, J.W., Lüttge, U., Runge, M., Eds.; Springer: Berlin/Heidelberg, Germany, 1998; pp. 659–674. ISBN 978-3-642-80446-5. [Google Scholar]
- Kahle-Zuber, D. Biology and Evolution of the European Mistletoe (Viscum album); ETH Zurich: Zürich, Switzerland, 2008. [Google Scholar]
- Knutson, D.M. Physiology of mistletoe parasitism and disease responses in the host. In The Biology of Mistletoes; Academic Press: Sydney, NSW, Australia, 1983; pp. 295–316. [Google Scholar]
- Geils, B.W.; Hawksworth, F.G. Damage, Effects, and Importance of Dwarf Mistletoes; US Department of Agriculture, Forest Service, Rocky Mountain Research Station: Ogden, UT, USA, 2002; Volume 98.
- Drummond, D.B. Timber Loss Estimates for the Coniferous Forests of the United States Due to Dwarf Mistletoes; US Dept. of Agriculture, Forest Service, Forest Pest Management, Methods: Washington, DC, USA, 1982; Volume 83. [Google Scholar]
- Vázquez Collazo, I. Determinacion de Tipo de Sitio Para Evaluar Rodales Infestados por Muerdago Enano (Arceuthobium Globosum Hawksworth et Wiens); Instituto Nacional de Investigaciones Forestales y Agropecuarias: Mexico City, Mexico, 1994. [Google Scholar]
- Singh, P.; Carew, G.C. Impact of eastern dwarf mistletoe in black spruce forests of Newfoundland. Eur. J. For. Pathol. 1989, 19, 305–322. [Google Scholar] [CrossRef]
- Brandt, J.P.; Brett, R.D.; Knowles, K.R.; Sproule, A. Distribution of Severe Dwarf Mistletoe Damage in West-Central Canada (Includes CD-ROM); Nat. Resour. Can. Can. For. Serv Edmonton, Alta Spec. Rep. 13: Edmonton, AB, Canada, 1998; ISBN 0660175339. [Google Scholar]
- Mellado, A.; Zamora, R. Parasites structuring ecological communities: The mistletoe footprint in Mediterranean pine forests. Funct. Ecol. 2017, 31, 2167–2176. [Google Scholar] [CrossRef]
- Barbu, C. Aspects regarding mistletoe (Viscum album abietis) attack on silver fir stands. In Proceedings of the Lucrările sesiunii științifice bienale cu participare internațională Pădurea și Dezvoltarea Durabilă, Brașov, Romania, 27–28 octombrie 2006; Transilvania University of Brașov: Brașov, Romania, 2007; pp. 183–188. [Google Scholar]
- Dobbertin, M.; Forster, B.; Knizek, M.; Grodzki, W. Relating defoliation and its causes to premature tree mortality. In Methodology of Forest Insect and Disease Survey in Central Europe, Proceedings of the Second Workshop of the IUFRO WP; Birmensdorf: Swiss Federal Institute for Forest, Snow and Landscape (WSL): Sion-Chateauneuf, Switzerland, 1999; Volume 7, pp. 20–23. [Google Scholar]
- Dobbertin, M.; Rigling, A. Pine mistletoe (Viscum album ssp. austriacum) contributes to Scots pine (Pinus sylvestris) mortality in the Rhone valley of Switzerland. For. Pathol. 2006, 36, 309–322. [Google Scholar] [CrossRef]
- Alam, M.K. A critical review on the biology and control of Loranthaceae with a particular reference to Bangladesh. Bano Biggyan Patrika 1984, 13, 7–18. [Google Scholar]
- Kulkarni, H.D.; Srimathi, K.A. Plant pests of sandal (Santalum album L.). My For. 1988, 24, 29–38. [Google Scholar]
- Minko, G.; Fagg, P.C. Control of some mistletoe species on eucalypts by trunk injection with herbicides. Aust. For. 1989, 52, 94–102. [Google Scholar] [CrossRef]
- Goldwasser, Y.; Kleifeld, Y. Recent approaches to Orobanche management. In Weed Biology and Management; Inderjit, K., Ed.; Springer: Dordrecht, The Netherlands, 2004; pp. 439–466. [Google Scholar]
- Gressel, J.; Hanafi, A.; Head, G.; Marasas, W.; Obilana, A.B.; Ochanda, J.; Souissi, T.; Tzotzos, G. Major heretofore intractable biotic constraints to African food security that may be amenable to novel biotechnological solutions. Crop Prot. 2004, 23, 661–689. [Google Scholar] [CrossRef]
- Baillon, F.; Chamel, A.; Fer, A.; Frochot, H.; Gambonnet, B.; Manzato, M.C. Lutte chimique contre le gui (Viscum album L.). Pénétration, transport, efficacité de deux herbicides phloème-mobiles (2,4-DB et glyphosate). Ann. Sci. For. 1988, 45, 1–16. [Google Scholar] [CrossRef]
- Adams, D.H.; Frankel, S.J.; Lichter, J.M. Considerations when using ethephon for supressing dwarf and leafy mistletoe infestations in ornamental landscapes. J. Arboric. 1993, 19, 351. [Google Scholar]
- Zahradníková, M.; Zahradník, P. Metodická Příručka Integrované Ochrany Rostlin pro Lesní Porosty Příloha 1 Seznam Povolených Přípravků a Dalších Prostředků na Ochranu Lesa; Výzkumný ústav lesního hospodářství a myslivosti: Jíloviště, Czech Republic, 2019. [Google Scholar]
- Kartoolinejad, D.; Hosseini, S.M.; Mirnia, S.K.; Akbarinia, M.; Shayanmehr, F. The relationship among infection intensity of Viscum album with some ecological parameters of host trees. Int. J. Environ. Res. 2007, 1, 143–149. [Google Scholar]
- Grazi, G.; Urech, K. La susceptibilité des chênes, des ormes et des mélèzes au gui (Viscum album L.). Rev. Sci. Bourbon. 1983, 6–12. [Google Scholar]
- Sallé, G.; Hariri, E.B.; Andary, C. Bases structurales et biochimiques de la résistance au gui dans le genre Populus. Acta Bot. Gall. 1993, 140, 633–648. [Google Scholar] [CrossRef]
- El Hariri, B.; Sallé, G.; Andary, C. Involvement of flavonoids in the resistance of two poplar cultivars to mistletoe (Viscum album L.). Protoplasma 1991, 162, 20–26. [Google Scholar] [CrossRef]
- Hariri, E.B.; Jeune, B.; Baudino, S.; Urech, K.; Sallé, G. Élaboration d’un coefficient de résistance au gui chez le chêne. Can. J. Bot. 1992, 70, 1239–1246. [Google Scholar] [CrossRef]




© 2019 by the authors. Licensee MDPI, Basel, Switzerland. This article is an open access article distributed under the terms and conditions of the Creative Commons Attribution (CC BY) license (http://creativecommons.org/licenses/by/4.0/).
Share and Cite
Szmidla, H.; Tkaczyk, M.; Plewa, R.; Tarwacki, G.; Sierota, Z. Impact of Common Mistletoe (Viscum album L.) on Scots Pine Forests—A Call for Action. Forests 2019, 10, 847. https://doi.org/10.3390/f10100847
Szmidla H, Tkaczyk M, Plewa R, Tarwacki G, Sierota Z. Impact of Common Mistletoe (Viscum album L.) on Scots Pine Forests—A Call for Action. Forests. 2019; 10(10):847. https://doi.org/10.3390/f10100847
Chicago/Turabian StyleSzmidla, Hanna, Miłosz Tkaczyk, Radosław Plewa, Grzegorz Tarwacki, and Zbigniew Sierota. 2019. "Impact of Common Mistletoe (Viscum album L.) on Scots Pine Forests—A Call for Action" Forests 10, no. 10: 847. https://doi.org/10.3390/f10100847
APA StyleSzmidla, H., Tkaczyk, M., Plewa, R., Tarwacki, G., & Sierota, Z. (2019). Impact of Common Mistletoe (Viscum album L.) on Scots Pine Forests—A Call for Action. Forests, 10(10), 847. https://doi.org/10.3390/f10100847

