Can an Exponential Function Be Applied to the Asymptotic Density–Size Relationship? Two New Stand-Density Indices in Mixed-Species Forests
Abstract
1. Introduction
2. Materials and Methods
2.1. Study Area and Data
2.2. Model Derivation
2.3. Model Fitting and Evaluation
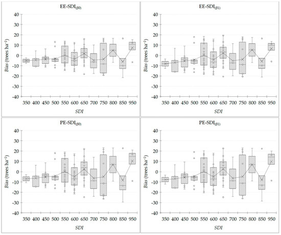
3. Results
4. Discussion
5. Conclusions
Author Contributions
Funding
Acknowledgments
Conflicts of Interest
References
- Curtis, R.O. Stand Density Measures: An Interpretation. For. Sci. 1970, 16, 403–414. [Google Scholar] [CrossRef]
- Burkhart, H.E. Comparison of maximum size–density relationships based on alternate stand attributes for predicting tree numbers and stand growth. For. Ecol. Manag. 2013, 289, 404–408. [Google Scholar] [CrossRef]
- Del Río, M.; Pretzsch, H.; Alberdi, I.; Bielak, K.; Bravo, F.; Brunner, A.; Condés, S.; Ducey, M.J.; Fonseca, T.; von Lüpke, N.; et al. Characterization of the structure, dynamics, and productivity of mixed-species stands: Review and perspectives. Eur. J. For. Res. 2016, 135, 23–49. [Google Scholar] [CrossRef]
- Allen, I.I.M.G.; Burkhart, H.E. Growth-Density Relationships in Loblolly Pine Plantations. For. Sci. 2018, 64, 1–15. [Google Scholar] [CrossRef]
- Dahlhausen, J.; Uhl, E.; Heym, M.; Biber, P.; Ventura, M.; Panzacchi, P.; Tonon, G.; Horváth, T.; Pretzsch, H. Stand density sensitive biomass functions for young oak trees at four different European sites. Trees 2017, 31, 1811–1826. [Google Scholar] [CrossRef]
- Zeide, B. How to measure stand density. Trees 2005, 19, 1–14. [Google Scholar] [CrossRef]
- Dean, T.J.; Baldwin, V.C. The relationship between Reineke’s stand-density index and physical stem mechanics. For. Ecol. Manag. 1996, 81, 25–34. [Google Scholar] [CrossRef]
- Pretzsch, H.; Biber, P. Tree species mixing can increase maximum stand density. Can. J. For. Res. 2016, 46, 1179–1193. [Google Scholar] [CrossRef]
- Condés, S.; Vallet, P.; Bielak, K.; Bravo-Oviedo, A.; Coll, L.; Ducey, M.J.; Pach, M.; Pretzsch, H.; Sterba, H.; Vayreda, J. Climate influences on the maximum size-density relationship in Scots pine (Pinus sylvestris L.) and European beech (Fagus sylvatica L.) stands. For. Ecol. Manag. 2017, 385, 295–307. [Google Scholar] [CrossRef]
- Reineke, L.H. Perfecting a stand-density index for even-aged forests. J. Agric. Res. 1933, 46, 627–638. [Google Scholar]
- Yoda, K.; Tatuo, K.; Husato, O.; Kazuo, H. Self-thinning in overcrowded pure stands under cultivated and natural conditions. J. Biol. Osaka City Univ. 1963, 14, 107–129. [Google Scholar]
- Burkhart, H.E.; Tomé, M. Modeling Forest Trees and Stands; Springer Science & Business Media: Dordrecht, The Netherlands, 2012. [Google Scholar]
- White, J. The allometric interpretation of the self-thinning rule. J. Theor. Biol. 1981, 89, 475–500. [Google Scholar] [CrossRef]
- Sterba, H.; Monserud, R.A. The Maximum Density Concept Applied to Uneven-Aged Mixed-Species Stands. For. Sci. 1993, 39, 432–452. [Google Scholar] [CrossRef]
- Torres-Rojo, J.; Velázquez-Martínez, A. Relative stand density index for mixed even-aged stands. Agrociencia 2000, 34, 497–507. [Google Scholar]
- Cao, Q.V.; Dean, T.J. Using segmented regression to model the density–size relationship in direct-seeded slash pine stands. For. Ecol. Manag. 2008, 255, 948–952. [Google Scholar] [CrossRef]
- Santiago-García, W.; De los Santos-Posadas, H.M.; Ángeles-Pérez, G.; Valdez-Lazalde, J.R.; Del Valle-Paniagua, D.H.; Corral-Rivas, J.J. Self-thinning and density management diagrams for Pinus patula fitted under the stochastic frontier regression approach. Agrociencia 2013, 47, 75–89. [Google Scholar]
- Quiñonez-Barraza, G.; Tamarit-Urias, J.C.; Martínez-Salvador, M.; García-Cuevas, X.; Héctor, M.; Santiago-García, W. Maximum density and density management diagram for mixed-species forests in Durango, Mexico. Rev. Chapingo Ser. Cienc. For. Ambient. 2018, 24, 73–90. [Google Scholar] [CrossRef]
- Lonsdale, W.M. The Self-Thinning Rule: Dead or Alive? Ecology 1990, 71, 1373–1388. Available online: http://www.jstor.org/stable/1938275/10.2307/1938275 (accessed on 20 October 2018). [CrossRef]
- Hamilton, N.S.; Matthew, C.; Lemaire, G. In defence of the-3/2 boundary rule: A re-evaluation of self-thinning concepts and status. Ann. Bot. 1995, 76, 569–577. [Google Scholar] [CrossRef]
- Cao, Q.V.; Dean, T.J.; Baldwin, V.C., Jr. Modeling the Size-Density Relationship in Direct-Seeded Slash Pine Stands. For. Sci. 2000, 46, 317–321. [Google Scholar] [CrossRef]
- Ducey, M.J.; Larson, B.C. Is There a Correct Stand Density Index? An Alternate Interpretation. West. J. Appl. For. 2003, 18, 179–184. [Google Scholar] [CrossRef]
- Reyes-Hernández, V.; Comeau, P.G. Survival probability of white spruce and trembling aspen in boreal pure and mixed stands experiencing self-thinning. For. Ecol. Manag. 2014, 323, 105–113. [Google Scholar] [CrossRef]
- Minoche, D.; Risio-Allione, L.; Herrero De Aza, C.; Martínez-Zurimendi, P. Density management diagram for teak plantations in Tabasco, Mexico. iForest 2017, 10, 909–915. [Google Scholar] [CrossRef]
- Puettmann, K.J.; Hibbs, D.E.; Hann, D.W. The Dynamics of mixed stands of Alnus Rubra and Pseudotsuga Menziesii: Extension of Size-Density analysis to species mixture. J. Ecol. 1992, 80, 449–458. Available online: https://www.jstor.org/stable/10.2307/2260690 (accessed on 20 October 2018). [CrossRef]
- Andrews, C.; Weiskittel, A.; D’Amato, A.W.; Simons-Legaard, E. Variation in the maximum stand density index and its linkage to climate in mixed species forests of the North American Acadian Region. For. Ecol. Manag. 2018, 417, 90–102. [Google Scholar] [CrossRef]
- Drew, T.J.; Flewelling, J.W. Stand Density Management: An Alternative Approach and Its Application to Douglas-fir Plantations. For. Sci. 1979, 25, 518–532. [Google Scholar] [CrossRef]
- Newton, P.F. Stand density management diagrams: Review of their development and utility in stand-level management planning. For. Ecol. Manag. 1997, 98, 251–265. [Google Scholar] [CrossRef]
- Long, J.N.; Shaw, J.D. A density management diagram for even-aged Sierra Nevada mixed-conifer stands. West. J. Appl. For. 2012, 27, 187–195. [Google Scholar] [CrossRef]
- Jack, S.B.; Long, J.N. Linkages between silviculture and ecology: An analysis of density management diagrams. For. Ecol. Manag. 1996, 86, 205–220. [Google Scholar] [CrossRef]
- Corral-Rivas, S.; Álvarez-González, J.G.; Corral-Rivas, J.J.; Wehenkel, C.; López-Sánchez, C.A. Density management diagrams in mixed and uneven-aged forests of Durango, Mexico. Bosque 2015, 36, 409–421. [Google Scholar] [CrossRef]
- Torres-Rojo, J.M.; Moreno-Sánchez, R.; Mendoza-Briseño, M.A. Sustainable Forest Management in Mexico. Curr. For. Rep. 2016, 2, 93–105. [Google Scholar] [CrossRef]
- García, E. Modificaciones al Sistema de Clasificación Climática de Kóppen, Quinta ed.; Universidad Autónoma Nacional de México, Instituto de Geografía, Ed.; Universidad Autónoma Nacional de México, Instituto de Geografía: Ciudad de México, Mexico, 2004; Volume 98, p. 98. [Google Scholar]
- Quiñonez-Barraza, G.; los Santos-Posadas, D.; Héctor, M.; Cruz-Cobos, F.; Velázquez-Martínez, A.; Ángeles-Pérez, G.; Ramírez-Valverde, G. Site index with complex polymorphism of forest stands in Durango, México. Agrociencia 2015, 49, 439–454. [Google Scholar]
- Bi, H.; Turkey, N.D. A method of selecting data points for fitting the maximum biomass-density line for stands undergoing self-thinning. Aust. J. Ecol. 1997, 22, 356–359. Available online: https://onlinelibrary.wiley.com/doi/abs/10.1111/j.1442-9993.1997.tb00683.x (accessed on 25 October 2018). [CrossRef]
- Bi, H.; Wan, G.; Turvey, N.D. Estimating the Self-Thinning Boundary Line as a Density-Dependent Stochastic Biomass Frontier. Ecology 2000, 81, 1477–1483. Available online: https://www.jstor.org/stable/10.2307/177300 (accessed on 25 October 2018). [CrossRef]
- Zhang, L.; Bi, H.; Gove, J.H.; Heath, L.S. A comparison of alternative methods for estimating the self-thinning boundary line. Can. J. For. Res. 2005, 35, 1507–1514. [Google Scholar] [CrossRef]
- Sheil, D.; David, F.R.P.B.; Alder, D. The Interpretation and Misinterpretation of Mortality Rate Measures. J. Ecol. 1995, 83, 331–333. Available online: http://www.jstor.org/stable/2261571/10.2307/2261571 (accessed on 20 November 2018). [CrossRef]
- Lieberman, D.; Lieberman, M.; Peralta, R.; Hartshorn, G.S. Mortality Patterns and Stand Turnover Rates in a Wet Tropical Forest in Costa Rica. J. Ecol. 1985, 73, 915–924. Available online: http://www.jstor.org/stable/2260157/10.2307/2260157 (accessed on 10 October 2018). [CrossRef]
- Lieberman, D.; Lieberman, M. Forest Tree Growth and Dynamics at La Selva, Costa Rica (1969–1982). J. Trop. Ecol. 1987, 3, 347–358. [Google Scholar] [CrossRef]
- Kitajima, K.; Augspurger, C.K. Seed and Seedling Ecology of a Monocarpic Tropical Tree, Tachigalia Versicolor. Ecology 1989, 70, 1102–1114. [Google Scholar] [CrossRef]
- Milton, K.; Laca, E.A.; Demment, M.W. Successional Patterns of Mortality and Growth of Large Trees in a Panamanian Lowland Forest. J. Ecol. 1994, 82, 79–87. Available online: http://www.jstor.org/stable/2261388/10.2307/2261388 (accessed on 30 November 2018). [CrossRef]
- Clark, D.A.; Clark, D.B. Life History Diversity of Canopy and Emergent Trees in a Neotropical Rain Forest. Ecol. Monogr. 1992, 62, 315–344. [Google Scholar] [CrossRef]
- Long, J.N.; Shaw, J.D. A density management diagram for even-aged ponderosa pine stands. West. J. Appl. For. 2005, 20, 205–215. [Google Scholar]
- Wilson, D.S.; Seymour, R.S.; Maguire, D.A. Density Management Diagram for Northeastern Red Spruce and Balsam Fir Forests. North. J. Appl. For. 1999, 16, 48–56. [Google Scholar] [CrossRef]
- Vacchiano, G.; Motta, R.; Long, J.N.; Shaw, J.D. A density management diagram for Scots pine (Pinus sylvestris L.): A tool for assessing the forest’s protective effect. For. Ecol. Manag. 2008, 255, 2542–2554. [Google Scholar] [CrossRef]
- Kamara, M.; Deshar, R.; Sharma, S.; Kamruzzaman, M.; Hagihara, A. The self-thinning exponent in overcrowded stands of the mangrove, Kandelia obovata, on Okinawa Island, Japan. J. Oceanogr. 2012, 68, 851–856. [Google Scholar] [CrossRef]
- Li, B.-L.; Wu, H.-I.; Zou, G. Self-thinning rule: A causal interpretation from ecological field theory. Ecol. Model. 2000, 132, 167–173. [Google Scholar] [CrossRef]
- R Core Team. R: A Language and Environment for Statistical Computing; R Foundation for Statistical Computing: Vienna, Austria, 2017; Available online: https://www.R-project.org/ (accessed on 10 October 2018).
- Gilmore, D.W.; O’Brien, T.C.; Hoganson, H.M. Thinning red pine plantations and the Langsaeter hypothesis: A northern Minnesota case study. North. J. Appl. For. 2005, 22, 19–26. [Google Scholar] [CrossRef]
- Langsæter, A. Om tynning i enaldret gran-og furuskog. Meddelelser fra Det Norske Skogforsøksvesen 1941, 8, 131–216. [Google Scholar]
- McCarthy, J.W.; Weetman, G. Self-thinning dynamics in a balsam fir (Abies balsamea (L.) Mill.) insect-mediated boreal forest chronosequence. For. Ecol. Manag. 2007, 241, 295–309. [Google Scholar] [CrossRef]
- Comeau, P.G.; White, M.; Kerr, G.; Hale, S.E. Maximum density-size relationships for Sitka spruce and coastal Douglas-fir in Britain and Canada. Forestry 2010, 83, 461–468. [Google Scholar] [CrossRef]
- Fang, Z.; Bailey, R.L. Height–diameter models for tropical forests on Hainan Island in southern China. For. Ecol. Manag. 1998, 110, 315–327. [Google Scholar] [CrossRef]
- Dean, T.J.; Jerez, M.; Cao, Q.V. A Simple Stand Growth Model Based on Canopy Dynamics and Biomechanics. For. Sci. 2013, 59, 335–344. [Google Scholar] [CrossRef]
- Zeide, B. Tolerance and self-tolerance of trees. For. Ecol. Manag. 1985, 13, 149–166. [Google Scholar] [CrossRef]
- Zeide, B. Analysis of the 3/2 power law of self-thinning. For. Sci. 1987, 33, 517–537. [Google Scholar] [CrossRef]
- Pretzsch, H.; Biber, P. A re-evaluation of Reineke’s rule and stand density index. For. Sci. 2005, 51, 304–320. Available online: https://search.proquest.com/docview/197679492?accountid=14537 (accessed on 20 October 2018).
- Pretzsch, H.; Schütze, G. Effect of tree species mixing on the size structure, density, and yield of forest stands. Eur. J. For. Res. 2016, 135, 1–22. [Google Scholar] [CrossRef]
- Zeide, B. Optimal stand density: A solution. Can. J. For. Res. 2004, 34, 846–854. [Google Scholar] [CrossRef]
- Bi, H. Stochastic frontier analysis of a classic self-thinning experiment. Austral Ecol. 2004, 29, 408–417. [Google Scholar] [CrossRef]
- Shaw, J.D.; Long, J.N. A Density Management Diagram for Longleaf Pine Stands with Application to Red-Cockaded Woodpecker Habitat. South. J. Appl. For. 2007, 31, 28–38. [Google Scholar] [CrossRef]
- Kweon, D.; Comeau, P.G. Effects of climate on maximum size-density relationships in Western Canadian trembling aspen stands. For. Ecol. Manag. 2017, 406, 281–289. [Google Scholar] [CrossRef]







| Variable | Minimum | Maximum | Mean | SD |
|---|---|---|---|---|
| G (m2 ha−1) | 13.30 | 65.31 | 37.65 | 10.42 |
| Vt (m3 ha−1) | 77.72 | 837.30 | 383.31 | 143.49 |
| QMD (cm) | 12.60 | 55.40 | 32.75 | 11.80 |
| N (trees ha−1) | 106 | 1594 | 651 | 417 |
| EE-SDI(β0) | 331 | 1150 | 775 | 153 |
| PE-SDI(β0) | 233 | 1006 | 680 | 203 |
| Species | Variable | Plots * | Minimum | Maximum | Mean | SD |
|---|---|---|---|---|---|---|
| Ad | QMD (cm) | 10 (5.0%) | 12.00 | 90.00 | 32.53 | 21.77 |
| N (trees ha−1) | 10 | 620 | 139 | 197 | ||
| Af | QMD (cm) | 10 (5.00%) | 12.36 | 47.00 | 26.52 | 12.49 |
| N (trees ha−1) | 10 | 100 | 29 | 27 | ||
| Ax | QMD (cm) | 88 (43.6%) | 7.50 | 60.95 | 19.90 | 10.22 |
| N (trees ha−1) | 10 | 120 | 31 | 26 | ||
| Cl | QMD (cm) | 6 (3.0%) | 10.61 | 46.22 | 26.92 | 16.07 |
| N (trees ha−1) | 10 | 210 | 72 | 93 | ||
| Jd | QMD (cm) | 88 (43.6%) | 8.00 | 72.00 | 23.84 | 14.33 |
| N (trees ha−1) | 10 | 400 | 41 | 55 | ||
| Pa | QMD (cm) | 163 (80.7%) | 9.38 | 91.00 | 31.04 | 15.67 |
| N (trees ha−1) | 10 | 1040 | 118 | 180 | ||
| Pay | QMD (cm) | 126 (62.4%) | 10.00 | 52.21 | 22.66 | 8.27 |
| N (trees ha−1) | 10 | 380 | 66 | 57 | ||
| Pd | QMD (cm) | 161 (79.7%) | 8.00 | 65.00 | 35.31 | 14.28 |
| N (trees ha−1) | 10 | 970 | 190 | 196 | ||
| Pe | QMD (cm) | 19 (9.4%) | 9.00 | 63.41 | 32.59 | 18.19 |
| N (trees ha−1) | 10 | 340 | 45 | 75 | ||
| Pl | QMD (cm) | 53 (26.2%) | 8.00 | 75.00 | 32.79 | 14.19 |
| N (trees ha−1) | 10 | 460 | 94 | 106 | ||
| Plu | QMD (cm) | 20 (9.9%) | 12.00 | 41.98 | 24.36 | 10.65 |
| N (trees ha−1) | 10 | 180 | 37 | 44 | ||
| Po | QMD (cm) | 17 (8.4%) | 16.98 | 54.27 | 25.33 | 8.63 |
| N (trees ha−1) | 13 | 933 | 307 | 244 | ||
| Pt | QMD (cm) | 104 (51.5%) | 10.22 | 73.00 | 30.88 | 14.58 |
| N (trees ha−1) | 10 | 650 | 164 | 168 | ||
| Ptr | QMD (cm) | 6 (3.0%) | 16.00 | 52.01 | 37.99 | 13.69 |
| N (trees ha−1) | 10 | 50 | 22 | 16 | ||
| Pse | QMD (cm) | 7 (3.5%) | 8.00 | 57.00 | 28.70 | 16.78 |
| N (trees ha−1) | 10 | 190 | 40 | 67 | ||
| Ps | QMD (cm) | 21 (10.4%) | 10 | 49.71 | 25.57 | 9.88 |
| N (trees ha−1) | 10 | 670 | 114 | 153 | ||
| Qs | QMD (cm) | 91 (45.0%) | 8.00 | 81.00 | 34.01 | 15.74 |
| N (trees ha−1) | 10 | 790 | 147 | 160 | ||
| Qc | QMD (cm) | 24 (11.9%) | 8.00 | 85.00 | 28.51 | 19.74 |
| N (trees ha−1) | 10 | 220 | 47 | 52 | ||
| Qd | QMD (cm) | 47 (23.3%) | 8.78 | 75.00 | 30.89 | 16.92 |
| N (trees ha−1) | 10 | 850 | 148 | 192 | ||
| Qo | QMD (cm) | 14 (6.9%) | 8.00 | 51.29 | 23.01 | 15.33 |
| N (trees ha−1) | 10 | 80 | 29 | 24 | ||
| Qr | QMD (cm) | 32 (15.8%) | 14.00 | 67.41 | 34.38 | 15.46 |
| N (trees ha−1) | 10 | 290 | 80 | 81 | ||
| Qru | QMD (cm) | 77 (38.1%) | 8.00 | 84.00 | 25.70 | 14.48 |
| N (trees ha−1) | 10 | 453 | 99 | 102 |
| Equation | Parameter | Estimate | SE | t | Pr >|t| | RMSE | Bias | R2 | AIC |
|---|---|---|---|---|---|---|---|---|---|
| (trees ha−1) | |||||||||
| EE | 3120.3 | 66.510 | 46.92 | <0.00001 | 82.52 | 7.9677 | 0.9611 | 2360 | |
| −0.0532 | 0.0009 | −56.88 | <0.00001 | ||||||
| PE | 44420.5 | 4508.0 | 9.85 | <0.00001 | 134.75 | 13.8754 | 0.8963 | 2558 | |
| −1.2698 | 0.0336 | −37.80 | <0.00001 | ||||||
| Equation | Species Group * | Parameter | Estimate | SE | t | Pr >|t| | RMSE | Bias | R2 | AIC |
|---|---|---|---|---|---|---|---|---|---|---|
| (trees ha−1) | ||||||||||
| EE | 1 | 272.1 | 29.1 | 9.34 | <0.00001 | 161.24 | 0.4664 | 0.0708 | 8625 | |
| −0.0561 | 0.0043 | −5.99 | <0.00001 | |||||||
| 2 | 56.8 | 16.3 | 3.50 | 0.00065 | 101.87 | 0.0500 | 0.0063 | 1514 | ||
| 0.0036 | 0.0092 | 0.39 | 0.69577 | |||||||
| 3 | 174.1 | 25.7 | 6.77 | <0.00001 | 136.24 | 0.7985 | 0.0385 | 3614 | ||
| −0.0150 | 0.0054 | −2.76 | 0.0059 | |||||||
| 4 | 26.6 | 5.1 | 5.26 | <0.00001 | 29.68 | 0.0114 | 0.0005 | 1071 | ||
| 0.0069 | 0.0069 | 0.99 | 0.32100 | |||||||
| 5 | 305.54 | 35.2 | 8.67 | <0.00001 | 162.23 | 0.0674 | 0.0855 | 7214 | ||
| −0.0294 | 0.0048 | −6.07 | <0.00001 | |||||||
| 6 | 690.8 | 90.7 | 7.61 | <0.00001 | 161.44 | 0.1746 | 0.3216 | 2097 | ||
| −0.0414 | 0.0055 | −7.49 | <0.00001 | |||||||
| PE | 1 | 786.5 | 235.9 | 3.33 | <0.00001 | 162.57 | 1.1000 | 0.0553 | 8636 | |
| −0.5521 | 0.0976 | −5.65 | <0.00001 | |||||||
| 2 | 26.6 | 23.4 | 1.13 | 0.25700 | 101.37 | 0.2876 | 0.0034 | 1513 | ||
| 0.2735 | 0.2682 | 1.02 | 0.31000 | |||||||
| 3 | 256.6 | 106.6 | 2.41 | 0.01670 | 137.91 | 0.4623 | 0.0148 | 3620 | ||
| −0.2539 | 0.1313 | −1.93 | 0.05420 | |||||||
| 4 | 16.65 | 9.12 | 1.86 | 0.07060 | 29.62 | 0.0107 | 0.0042 | 1071 | ||
| 0.2097 | 0.1760 | 1.92 | 0.23600 | |||||||
| 5 | 1099.1 | 355.1 | 3.09 | 0.00260 | 163.25 | 1.1319 | 0.0739 | 7221 | ||
| −0.6468 | 0.1062 | −6.01 | <0.00001 | |||||||
| 6 | 3661.2 | 1305.6 | 2.80 | 0.00568 | 167.02 | 4.8485 | 0.2738 | 2109 | ||
| −0.8749 | 0.1173 | −7.46 | <0.00001 | |||||||
| Equation | np | QMD-Mean (cm) | SDI-Mean | SD | SSE | RMSE | Bias | R2 * (%) | CV (%) |
|---|---|---|---|---|---|---|---|---|---|
| (trees ha−1) | |||||||||
| EE-SDI(β0) | 122 | 25.06 | 599.89 | 9.476 | 11289.1 | 9.619 | 1.652 | 99.378 | 1.580 |
| EE-SDI(β1) | 11.264 | 16044.1 | 11.468 | 2.153 | 99.116 | 1.878 | |||
| PE-SDI(β0) | 13.005 | 21242.0 | 13.195 | 2.230 | 98.829 | 2.168 | |||
| PE-SDI(β1) | 13.234 | 22026.1 | 13.437 | 2.322 | 98.786 | 2.206 | |||
| Stand | QMD (cm) | EE-SDI(β0) | EE-SDI(β1) | Variable Per Hectare | Removals Per Hectare | |||||||
|---|---|---|---|---|---|---|---|---|---|---|---|---|
| DMG(β0) | DMG(β1) | |||||||||||
| N | BA | V | N | BA | V | N | BA | V | ||||
| 1 | 15.08 | 755 | 712 | 1280 | 22.87 | 195.51 | 510 | 9.11 | 77.90 | 280 | 5.00 | 42.77 |
| 2 | 16.01 | 793 | 776 | 1280 | 25.77 | 185.76 | 540 | 10.87 | 78.37 | 370 | 7.45 | 53.70 |
| 3 | 15.68 | 877 | 909 | 1440 | 27.81 | 244.01 | 690 | 13.33 | 116.92 | 510 | 9.85 | 86.42 |
| 4 | 21.50 | 1121 | 1178 | 1350 | 49.02 | 377.97 | 780 | 28.32 | 218.38 | 750 | 27.23 | 209.98 |
| 5 | 15.27 | 769 | 735 | 1290 | 23.64 | 208.10 | 540 | 9.89 | 87.11 | 320 | 5.86 | 51.62 |
| 6 | 20.19 | 991 | 1035 | 1280 | 40.97 | 296.55 | 660 | 21.12 | 152.91 | 600 | 19.20 | 139.01 |
| 7 | 15.50 | 772 | 741 | 1280 | 24.14 | 223.47 | 530 | 10.00 | 92.53 | 350 | 6.60 | 61.11 |
| 8 | 14.32 | 725 | 658 | 1280 | 20.60 | 154.56 | 490 | 7.89 | 59.17 | 260 | 4.18 | 31.40 |
| 9 | 19.41 | 1040 | 1112 | 1400 | 41.44 | 319.02 | 750 | 22.20 | 170.91 | 690 | 20.42 | 157.23 |
| 10 | 16.70 | 823 | 822 | 1280 | 28.04 | 189.99 | 560 | 12.27 | 83.12 | 460 | 10.08 | 68.28 |
© 2018 by the authors. Licensee MDPI, Basel, Switzerland. This article is an open access article distributed under the terms and conditions of the Creative Commons Attribution (CC BY) license (http://creativecommons.org/licenses/by/4.0/).
Share and Cite
Quiñonez-Barraza, G.; Ramírez-Maldonado, H. Can an Exponential Function Be Applied to the Asymptotic Density–Size Relationship? Two New Stand-Density Indices in Mixed-Species Forests. Forests 2019, 10, 9. https://doi.org/10.3390/f10010009
Quiñonez-Barraza G, Ramírez-Maldonado H. Can an Exponential Function Be Applied to the Asymptotic Density–Size Relationship? Two New Stand-Density Indices in Mixed-Species Forests. Forests. 2019; 10(1):9. https://doi.org/10.3390/f10010009
Chicago/Turabian StyleQuiñonez-Barraza, Gerónimo, and Hugo Ramírez-Maldonado. 2019. "Can an Exponential Function Be Applied to the Asymptotic Density–Size Relationship? Two New Stand-Density Indices in Mixed-Species Forests" Forests 10, no. 1: 9. https://doi.org/10.3390/f10010009
APA StyleQuiñonez-Barraza, G., & Ramírez-Maldonado, H. (2019). Can an Exponential Function Be Applied to the Asymptotic Density–Size Relationship? Two New Stand-Density Indices in Mixed-Species Forests. Forests, 10(1), 9. https://doi.org/10.3390/f10010009

