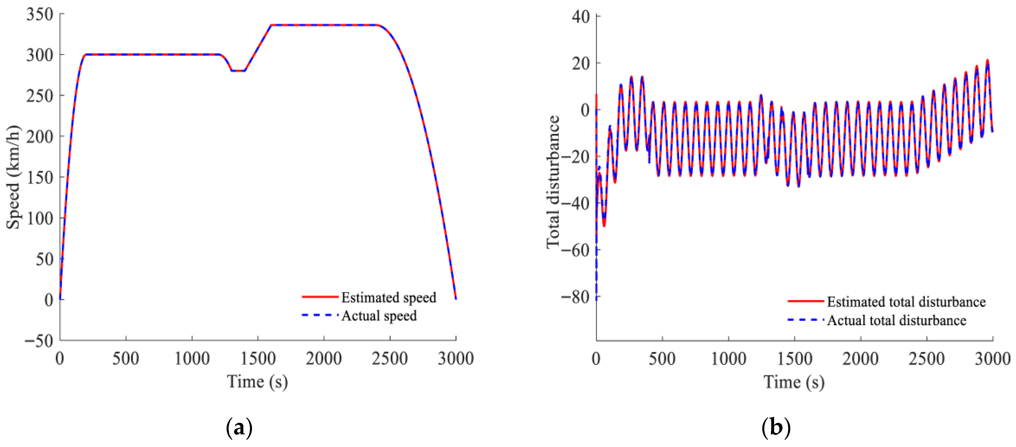
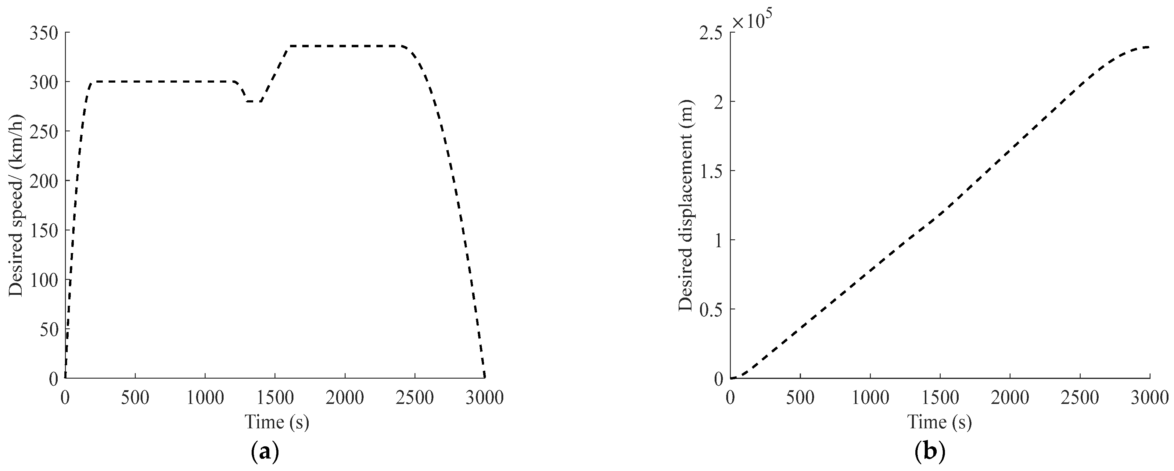
Improved Active Disturbance Rejection Speed Tracking Control for High-Speed Trains Based on SBWO Algorithm
Abstract
Share and Cite
Xu, C.; Zhang, C.; Xu, M.; Chen, J.; Wang, L.; Han, Z. Improved Active Disturbance Rejection Speed Tracking Control for High-Speed Trains Based on SBWO Algorithm. Algorithms 2025, 18, 566. https://doi.org/10.3390/a18090566
Xu C, Zhang C, Xu M, Chen J, Wang L, Han Z. Improved Active Disturbance Rejection Speed Tracking Control for High-Speed Trains Based on SBWO Algorithm. Algorithms. 2025; 18(9):566. https://doi.org/10.3390/a18090566
Chicago/Turabian StyleXu, Chuanfang, Chengyu Zhang, Mingxia Xu, Jiaqing Chen, Longda Wang, and Zhaoyu Han. 2025. "Improved Active Disturbance Rejection Speed Tracking Control for High-Speed Trains Based on SBWO Algorithm" Algorithms 18, no. 9: 566. https://doi.org/10.3390/a18090566
APA StyleXu, C., Zhang, C., Xu, M., Chen, J., Wang, L., & Han, Z. (2025). Improved Active Disturbance Rejection Speed Tracking Control for High-Speed Trains Based on SBWO Algorithm. Algorithms, 18(9), 566. https://doi.org/10.3390/a18090566

